Current Developments of N-Heterocyclic Carbene Au(I)/Au(III) Complexes toward Cancer Treatment
Abstract
:1. Introduction
1.1. Retrospect in Use of Medicinal Gold
1.2. Gold Chemistry
1.3. Nitrogen (N)—Heterocyclic Carbenes
1.4. Cancer
2. DNA as a Target Molecule
2.1. G-Quadruplex Systems and Telomeric DNA
2.2. Gold Targeted Biomolecules, Biodistribution, and Gold Prodrugs
3. Recent Examples of NHC Au(I) and Au(III) Anticancer Drugs
3.1. General Synthetic Approaches to Obtain NHC Au(I/III) Complexes
3.2. Gold(I) NHC Complexes
3.3. Gold(III) NHC Complexes
3.4. Hetero-Bimetallic Gold Containing NHC Complexes
3.5. Acyclic Gold Compounds as Promising Alternative Anticancer Agents
4. Conclusions
Author Contributions
Funding
Acknowledgments
Conflicts of Interest
References
- Kean, W.F.; Lock, C.J.L.; Howard-Lock, H. Gold complex research in medical science. Difficulties with experimental design. Inflammopharmacology 1991, 1, 103–114. [Google Scholar] [CrossRef]
- Sadler, P.J.; Sue, R.E. The Chemistry of Gold Drugs. Met.-Based Drugs 1994, 1, 107–144. [Google Scholar] [CrossRef] [PubMed] [Green Version]
- Eisler, R. Chrysotherapy: A synoptic review. Inflamm. Res. 2003, 52, 487–501. [Google Scholar] [CrossRef] [PubMed]
- Kauffman, G.B. The role of gold in alchemy. Part I. Gold Bull. 1985, 18, 31–44. [Google Scholar] [CrossRef] [Green Version]
- Shaw, C.F. Gold-Based Therapeutic Agents. Chem. Rev. 1999, 99, 2589–2600. [Google Scholar] [CrossRef] [PubMed]
- Higby, G.J. Gold in medicine. Gold Bull. 1982, 15, 130–140. [Google Scholar] [CrossRef] [Green Version]
- Kauffman, G.B. The role of gold in alchemy. Part II. Gold Bull. 1985, 18, 69–78. [Google Scholar] [CrossRef] [Green Version]
- Huaizhi, Z.; Yuantao, N. China’s ancient gold drugs. Gold Bull. 2001, 34, 24–29. [Google Scholar] [CrossRef] [Green Version]
- Pricker, S.P. Medical uses of gold compounds: Past, present and future. Gold Bull. 1996, 29, 53–60. [Google Scholar] [CrossRef] [Green Version]
- Sadler, P.J. The biological chemistry of gold: A Metallo-drug and heavy-atom label with variable valency. In Biochemistry; Structure and Bonding; Springer: Berlin/Heidelberg, Germany, 1976; Volume 29, pp. 171–214. [Google Scholar]
- Sadler, P.J. The biological chemistry of gold. Gold Bull. 1976, 9, 110–118. [Google Scholar] [CrossRef] [Green Version]
- Roder, C.; Thomson, M.J. Auranofin: Repurposing an old drug for a golden new age. Drugs RD 2015, 15, 13–20. [Google Scholar] [CrossRef] [PubMed] [Green Version]
- Kostova, I. Gold Coordination Complexes as Anticancer Agents. Anti-Cancer Agents Med. Chem. 2006, 6, 19–32. [Google Scholar] [CrossRef] [PubMed]
- Meyler’s Side Effects of Drugs, 16th ed.; Elsevier: Oxford, UK, 2016.
- Bhabak, K.P.; Bhuyan, B.J.; Mugesh, G. Bioinorganic and medicinal chemistry: Aspects of gold(i)-protein complexes. Dalton Trans. 2011, 40, 2099. [Google Scholar] [CrossRef]
- Berners-Price, S.J. Therapeutic Gold Compounds. In Ligand Design in Medicinal Inorganic Chemistry; John Wiley & Sons Inc.: New York, NY, USA, 2014; pp. 227–256. [Google Scholar]
- Hu, D.; Lok, C.-N.; Che, C.-M. Anticancer Gold Compounds. In Metal-Based Anticancer Agents; The Royal Society of Chemistry: London, UK, 2019; pp. 120–142. [Google Scholar]
- Spreckelmeyer, S.; Orvig, C.; Casini, A. Cellular transport mechanisms of cytotoxic metallodrugs: An overview beyond cisplatin. Molecules 2014, 19, 15584–15610. [Google Scholar] [CrossRef] [Green Version]
- Casini, A.; Cinellu, M.A.; Minghetti, G.; Gabbiani, C.; Coronnello, M.; Mini, E.; Messori, L. Structural and Solution Chemistry, Antiproliferative Effects, and DNA and Protein Binding Properties of a Series of Dinuclear Gold(III) Compounds with Bipyridyl Ligands. J. Med. Chem. 2006, 49, 5524–5531. [Google Scholar] [CrossRef]
- Bertrand, B.; Casini, A. A golden future in medicinal inorganic chemistry: The promise of anticancer gold organometallic compounds. Dalton Trans. 2014, 43, 4209–4219. [Google Scholar] [CrossRef]
- Zou, T.; Lok, C.N.; Wan, P.K.; Zhang, Z.F.; Fung, S.K.; Che, C.M. Anticancer metal-N-heterocyclic carbene complexes of gold, platinum and palladium. Curr. Opin. Chem. Biol. 2018, 43, 30–36. [Google Scholar] [CrossRef]
- Zou, T.; Lum, C.T.; Lok, C.N.; Zhang, J.J.; Che, C.M. Chemical biology of anticancer gold(III) and gold(I) complexes. Chem. Soc. Rev. 2015, 44, 8786–8801. [Google Scholar] [CrossRef]
- Ott, I. On the medicinal chemistry of gold complexes as anticancer drugs. Coord. Chem. Rev. 2009, 253, 1670–1681. [Google Scholar] [CrossRef]
- van der Westhuizen, D.; Bezuidenhout, D.I.; Munro, O.Q. Cancer molecular biology and strategies for the design of cytotoxic gold(I) and gold(III) complexes: A tutorial review. Dalton Trans. 2021, 50, 17413–17437. [Google Scholar] [CrossRef]
- Parish, R.V. Organogold chemistry: II reactions. Gold Bull. 1997, 30, 55–62. [Google Scholar] [CrossRef] [Green Version]
- Gimeno, M.C.; Laguna, A. Three- and Four-Coordinate Gold(I) Complexes. Chem. Rev. 1997, 97, 511–522. [Google Scholar] [CrossRef] [PubMed]
- Nobili, S.; Mini, E.; Landini, I.; Gabbiani, C.; Casini, A.; Messori, L. Gold compounds as anticancer agents: Chemistry, cellular pharmacology, and preclinical studies. Med. Res. Rev. 2010, 30, 550–580. [Google Scholar] [CrossRef] [PubMed]
- Romero-Canelón, I.; Sadler, P.J. Next-Generation Metal Anticancer Complexes: Multitargeting via Redox Modulation. Inorg. Chem. 2013, 52, 12276–12291. [Google Scholar] [CrossRef] [PubMed]
- Wanzlick, H.W.; Schikora, E. Ein nucleophiles Carben. Chem. Ber. 1961, 94, 2389–2393. [Google Scholar] [CrossRef]
- Hindi, K.M.; Panzner, M.J.; Tessier, C.A.; Cannon, C.L.; Youngs, W.J. The Medicinal Applications of Imidazolium Carbene−Metal Complexes. Chem. Rev. 2009, 109, 3859–3884. [Google Scholar] [CrossRef] [Green Version]
- Öfele, K. 1,3-Dimethyl-4-imidazolinyliden-(2)-pentacarbonylchrom ein neuer übergangsmetall-carben-komplex. J. Organomet. Chem. 1968, 12, P42–P43. [Google Scholar] [CrossRef]
- Hopkinson, M.N.; Richter, C.; Schedler, M.; Glorius, F. An overview of N-heterocyclic carbenes. Nature 2014, 510, 485–496. [Google Scholar] [CrossRef]
- Pyykko, P. Theoretical chemistry of gold. Angew. Chem. 2004, 43, 4412–4456. [Google Scholar] [CrossRef]
- Marchione, D.; Belpassi, L.; Bistoni, G.; Macchioni, A.; Tarantelli, F.; Zuccaccia, D. The Chemical Bond in Gold(I) Complexes with N-Heterocyclic Carbenes. Organometallics 2014, 33, 4200–4208. [Google Scholar] [CrossRef]
- Scattolin, T.; Nolan, S.P. Synthetic Routes to Late Transition Metal–NHC Complexes. Trends Chem. 2020, 2, 721–736. [Google Scholar] [CrossRef]
- Bourissou, D.; Guerret, O.; Gabbaï, F.P.; Bertrand, G. Stable Carbenes. Chem. Rev. 2000, 100, 39–92. [Google Scholar] [CrossRef] [PubMed]
- Herrmann, W.A. N-Heterocyclic Carbenes: A New Concept in Organometallic Catalysis. Angew. Chem. 2002, 41, 1290–1309. [Google Scholar] [CrossRef]
- Glorius, F. N-Heterocyclic Carbenes in Transition Metal Catalysis. In Topics in Organometallic Chemistry; Springer: Berlin, Gernamy, 2006; Volume 21. [Google Scholar]
- Eisen, C.; Chin, J.M.; Reithofer, M.R. Catalytically Active Gold Nanomaterials Stabilized by N-heterocyclic Carbenes. Chem. Asian J. 2021, 16, 3026–3037. [Google Scholar] [CrossRef] [PubMed]
- Wenzel, M.; Casini, A. Mass spectrometry as a powerful tool to study therapeutic metallodrugs speciation mechanisms: Current frontiers and perspectives. Coord. Chem. Rev. 2017, 352, 432–460. [Google Scholar] [CrossRef]
- Mohamed, M.M.; Sloane, B.F. multifunctional enzymes in cancer. Nat. Rev. Cancer 2006, 6, 764–775. [Google Scholar] [CrossRef]
- Martins, A.P.; Ciancetta, A.; De Almeida, A.; Marrone, A.; Re, N.; Soveral, G.; Casini, A. Aquaporin Inhibition by Gold(III) Compounds: New Insights. ChemMedChem 2013, 8, 1086–1092. [Google Scholar] [CrossRef]
- Karver, M.R.; Krishnamurthy, D.; Kulkarni, R.A.; Bottini, N.; Barrios, A.M. Identifying Potent, Selective Protein Tyrosine Phosphatase Inhibitors from a Library of Au(I) Complexes. J. Med. Chem. 2009, 52, 6912–6918. [Google Scholar] [CrossRef] [Green Version]
- Fung, S.K.; Zou, T.; Cao, B.; Lee, P.-Y.; Fung, Y.M.E.; Hu, D.; Lok, C.-N.; Che, C.-M. Cyclometalated Gold(III) Complexes Containing N-Heterocyclic Carbene Ligands Engage Multiple Anti-Cancer Molecular Targets. Angew. Chem. 2017, 56, 3892–3896. [Google Scholar] [CrossRef]
- Li, Y.; Liu, G.-F.; Tan, C.-P.; Ji, L.-N.; Mao, Z.-W. Antitumor properties and mechanisms of mitochondria-targeted Ag(i) and Au(i) complexes containing N-heterocyclic carbenes derived from cyclophanes. Metallomics 2014, 6, 1460. [Google Scholar] [CrossRef]
- Rubbiani, R.; Salassa, L.; de Almeida, A.; Casini, A.; Ott, I. Cytotoxic gold(I) N-heterocyclic carbene complexes with phosphane ligands as potent enzyme inhibitors. ChemMedChem 2014, 9, 1205–1210. [Google Scholar] [CrossRef] [PubMed]
- Özdemir, İ.; Denizci, A.; Öztürk, H.T.; Çetinkaya, B. Synthetic and antimicrobial studies on new gold(I) complexes of imidazolidin-2-ylidenes. Appl. Organomet. Chem. 2004, 18, 318–322. [Google Scholar] [CrossRef]
- Owings, J.P.; McNair, N.N.; Mui, Y.F.; Gustafsson, T.N.; Holmgren, A.; Contel, M.; Goldberg, J.B.; Mead, J.R. Auranofin andN-heterocyclic carbene gold-analogs are potent inhibitors of the bacteriaHelicobacter pylori. FEMS Microbiol. Lett. 2016, 363, fnw148. [Google Scholar] [CrossRef] [PubMed] [Green Version]
- Boselli, L.; Carraz, M.; Mazères, S.; Paloque, L.; González, G.; Benoit-Vical, F.; Valentin, A.; Hemmert, C.; Gornitzka, H. Synthesis, Structures, and Biological Studies of Heterobimetallic Au(I)–Ru(II) Complexes Involving N-Heterocyclic Carbene-Based Multidentate Ligands. Organometallics 2015, 34, 1046–1055. [Google Scholar] [CrossRef]
- Al-Majid, A.M.; Choudhary, M.I.; Yousuf, S.; Jabeen, A.; Imad, R.; Javeed, K.; Shaikh, N.N.; Collado, A.; Sioriki, E.; Nahra, F.; et al. In vitro Biological Activities of Gold(I) and Gold(III) Bis(N-Heterocyclic Carbene) Complexes. ChemistrySelect 2017, 2, 5316–5320. [Google Scholar] [CrossRef]
- Guarra, F.; Terenzi, A.; Pirker, C.; Passannante, R.; Baier, D.; Zangrando, E.; Gmez-Vallejo, V.; Biver, T.; Gabbiani, C.; Berger, W.; et al. 124 I Radiolabeling of a Au III-NHC Complex for In Vivo Biodistribution Studies. Angew. Chem. 2020, 59, 17130–17136. [Google Scholar] [CrossRef]
- Paloque, L.; Hemmert, C.; Valentin, A.; Gornitzka, H. Synthesis, characterization, and antileishmanial activities of gold(I) complexes involving quinoline functionalized N-heterocyclic carbenes. Eur. J. Med. Chem. 2015, 94, 22–29. [Google Scholar] [CrossRef]
- Winter, I.; Lockhauserbäumer, J.; Lallinger-Kube, G.; Schobert, R.; Ersfeld, K.; Biersack, B. Anti-trypanosomal activity of cationic N -heterocyclic carbene gold(I) complexes. Mol. Biochem. Parasitol. 2017, 214, 112–120. [Google Scholar] [CrossRef]
- Carlberg, C.; Velleuer, E. Cancer Biology: How Science Works, 1st ed.; Springer: Cham, Switzerland, 2021. [Google Scholar]
- Hajdu, S.I. A note from history: Landmarks in history of cancer, part 1. Cancer 2011, 117, 1097–1102. [Google Scholar] [CrossRef]
- Faguet, G.B. A brief history of cancer: Age-old milestones underlying our current knowledge database. Int. J. Cancer 2015, 136, 2022–2036. [Google Scholar] [CrossRef]
- Sung, H.; Ferlay, J.; Siegel, R.L.; Laversanne, M.; Soerjomataram, I.; Jemal, A.; Bray, F. Global Cancer Statistics 2020: GLOBOCAN Estimates of Incidence and Mortality Worldwide for 36 Cancers in 185 Countries. CA Cancer J. Clin. 2021, 71, 209–249. [Google Scholar] [CrossRef] [PubMed]
- Schüz, J.; Borkhardt, A.; Bouaoun, L.; Erdmann, F. The impact of the COVID-19 pandemic on the future incidence of acute lymphoblastic leukaemia in children: Projections for Germany under a COVID-19 related scenario. Int. J. Cancer 2022, 151, 153–155. [Google Scholar] [CrossRef] [PubMed]
- Nelson, S.M.; Ferguson, L.R.; Denny, W.A. DNA and the chromosome—Varied targets for chemotherapy. Cell Chromosome 2004, 3, 2. [Google Scholar] [CrossRef] [PubMed] [Green Version]
- Hanahan, D.; Weinberg, R.A. The Hallmarks of Cancer. Cell 2000, 100, 57–70. [Google Scholar] [CrossRef] [Green Version]
- Avendano, C.; Menendez, J.C. Medicinal Chemistry of Anticancer Drugs, 2nd ed.; Elsevier B.V.: Amsterdam, The Netherlands, 2015. [Google Scholar]
- Patrick, G.L. An Introduction to Medicinal Chemistry; Oxford University Press: Oxford, UK, 2017. [Google Scholar]
- Blackadar, C.B. Historical review of the causes of cancer. World J. Clin. Oncol. 2016, 7, 54. [Google Scholar] [CrossRef] [PubMed]
- Mora, M.; Gimeno, M.C.; Visbal, R. Recent advances in gold-NHC complexes with biological properties. Chem. Soc. Rev. 2019, 48, 447–462. [Google Scholar] [CrossRef]
- Hanahan, D.; Weinberg, R.A. Hallmarks of Cancer: The Next Generation. Cell 2011, 144, 646–674. [Google Scholar] [CrossRef] [Green Version]
- Devita, V.T.; Chu, E. A History of Cancer Chemotherapy. Cancer Res. 2008, 68, 8643–8653. [Google Scholar] [CrossRef] [Green Version]
- Hajdu, S.I.; Darvishian, F. A note from history: Landmarks in history of cancer, Part 5. Cancer 2013, 119, 1450–1466. [Google Scholar] [CrossRef]
- Hajdu, S.I.; Vadmal, M. A note from history: Landmarks in history of cancer, Part 6. Cancer 2013, 119, 4058–4082. [Google Scholar] [CrossRef] [Green Version]
- Hurley, L.H. DNA and its associated processes as targets for cancer therapy. Nat. Rev. Cancer 2002, 2, 188–200. [Google Scholar] [CrossRef] [PubMed]
- Sun, D.; Thompson, B.; Cathers, B.E.; Salazar, M.; Kerwin, S.M.; Trent, J.O.; Jenkins, T.C.; Neidle, S.; Hurley, L.H. Inhibition of Human Telomerase by a G-Quadruplex-Interactive Compound. J. Med. Chem. 1997, 40, 2113–2116. [Google Scholar] [CrossRef] [PubMed]
- Balasubramanian, S.; Neidle, S. G-quadruplex nucleic acids as therapeutic targets. Curr. Opin. Chem. Biol. 2009, 13, 345–353. [Google Scholar] [CrossRef] [Green Version]
- Visvader, J.E. Cells of origin in cancer. Nature 2011, 469, 314–322. [Google Scholar] [CrossRef] [PubMed]
- Stratton, M.R.; Campbell, P.J.; Futreal, P.A. The cancer genome. Nature 2009, 458, 719–724. [Google Scholar] [CrossRef] [Green Version]
- Alessio, E. Bioinorganic Medicinal Chemistry; Wiley-VCH: Weinheim, Germany, 2011. [Google Scholar]
- Bakewell, S.; Conde, I.; Fallah, Y.; McCoy, M.; Jin, L.; Shajahan-Haq, A.N. Inhibition of DNA Repair Pathways and Induction of ROS Are Potential Mechanisms of Action of the Small Molecule Inhibitor BOLD-100 in Breast Cancer. Cancers 2020, 12, 2647. [Google Scholar] [CrossRef] [PubMed]
- Collery, P.; Keppler, B.; Madoulet, C.; Desoize, B. Gallium in cancer treatment. Crit. Rev. Oncol. Hematol. 2002, 42, 283–296. [Google Scholar] [CrossRef]
- Bernstein, L.R. Mechanisms of therapeutic activity for gallium. Pharmacol. Rev. 1998, 50, 665–682. [Google Scholar]
- Mjos, K.D.; Orvig, C. Metallodrugs in Medicinal Inorganic Chemistry. Chem. Rev. 2014, 114, 4540–4563. [Google Scholar] [CrossRef]
- Kelland, L. The resurgence of platinum-based cancer chemotherapy. Nat. Rev. Cancer 2007, 7, 573–584. [Google Scholar] [CrossRef]
- Wheate, N.J.; Walker, S.; Craig, G.E.; Oun, R. The status of platinum anticancer drugs in the clinic and in clinical trials. Dalton Trans. 2010, 39, 8113. [Google Scholar] [CrossRef] [PubMed] [Green Version]
- Ibrahim, A.; Hirschfeld, S.; Cohen, M.H.; Griebel, D.J.; Williams, G.A.; Pazdur, R. FDA Drug Approval Summaries: Oxaliplatin. Oncologist 2004, 9, 8–12. [Google Scholar] [CrossRef] [PubMed] [Green Version]
- Palchaudhuri, R.; Hergenrother, P.J. DNA as a target for anticancer compounds: Methods to determine the mode of binding and the mechanism of action. Curr. Opin. Biotechnol. 2007, 18, 497–503. [Google Scholar] [CrossRef]
- Deo, K.M.; Pages, B.J.; Ang, D.L.; Gordon, C.P.; Aldrich-Wright, J.R. Transition Metal Intercalators as Anticancer Agents-Recent Advances. Int. J. Mol. Sci. 2016, 17, 1818. [Google Scholar] [CrossRef] [PubMed] [Green Version]
- Wheate, N.J.; Brodie, C.R.; Collins, J.G.; Kemp, S.; Aldrich-Wright, J.R. DNA intercalators in cancer therapy: Organic and inorganic drugs and their spectroscopic tools of analysis. Mini Rev. Med. Chem. 2007, 7, 627–648. [Google Scholar] [CrossRef]
- Lee, N.-K.; Park, J.-S.; Johner, A.; Obukhov, S.; Hyon, J.-Y.; Lee, K.J.; Hong, S.-C. Elasticity of Cisplatin-Bound DNA Reveals the Degree of Cisplatin Binding. Phys. Rev. Lett. 2008, 101, 248101. [Google Scholar] [CrossRef] [Green Version]
- Pinto, A.L.; Lippard, S.J. Binding of the antitumor drug cis-diamminedichloroplatinum(II) (cisplatin) to DNA. Biochim. Biophys. Acta (BBA) Rev. Cancer 1985, 780, 167–180. [Google Scholar] [CrossRef]
- Pages, B.J.; Garbutcheon-Singh, K.B.; Aldrich-Wright, J.R. Platinum Intercalators of DNA as Anticancer Agents. Eur. J. Inorg. Chem. 2017, 2017, 1613–1624. [Google Scholar] [CrossRef] [Green Version]
- Holenya, P.; Can, S.; Rubbiani, R.; Alborzinia, H.; Jünger, A.; Cheng, X.; Ott, I.; Wölfl, S. Detailed analysis of pro-apoptotic signaling and metabolic adaptation triggered by a N-heterocyclic carbene–gold(i) complex. Metallomics 2014, 6, 1591–1601. [Google Scholar] [CrossRef] [Green Version]
- Meyer, A.; Oehninger, L.; Geldmacher, Y.; Alborzinia, H.; Wolfl, S.; Sheldrick, W.S.; Ott, I. Gold(I) N-heterocyclic carbene complexes with naphthalimide ligands as combined thioredoxin reductase inhibitors and DNA intercalators. ChemMedChem 2014, 9, 1794–1800. [Google Scholar] [CrossRef]
- Streciwilk, W.; Terenzi, A.; Lo Nardo, F.; Prochnow, P.; Bandow, J.E.; Keppler, B.K.; Ott, I. Synthesis and Biological Evaluation of Organometallic Complexes Bearing Bis-1,8-naphthalimide Ligands. Eur. J. Inorg. Chem. 2018, 2018, 3104–3112. [Google Scholar] [CrossRef]
- Gürses, C.; Aktaş, A.; Balcıoğlu, S.; Fadhilah, A.; Gök, Y.; Ateş, B. Synthesis, characterization, DNA binding and anticancer activities of the imidazolidine-functionalized (NHC)Ru(II) complexes. J. Mol. Struct. 2022, 1247. [Google Scholar] [CrossRef]
- Nelson, D.L.; Cox, M.M. Lehninger’s Principles of Biochemistry, 6th ed.; Susan Winslow: New York, NY, USA, 2013; Volume 53, pp. 1689–1699. [Google Scholar]
- Dirks, R.M. Paradigms for computational nucleic acid design. Nucleic Acids Res. 2004, 32, 1392–1403. [Google Scholar] [CrossRef] [Green Version]
- Sivakova, S.; Rowan, S.J. Nucleobases as supramolecular motifs. Chem. Soc. Rev. 2005, 34, 9–21. [Google Scholar] [CrossRef] [PubMed]
- Varshney, D.; Spiegel, J.; Zyner, K.; Tannahill, D.; Balasubramanian, S. The regulation and functions of DNA and RNA G-quadruplexes. Nat. Rev. Mol. Cell Biol. 2020, 21, 459–474. [Google Scholar] [CrossRef] [PubMed]
- Nikolova, E.N.; Zhou, H.; Gottardo, F.L.; Alvey, H.S.; Kimsey, I.J.; Al-Hashimi, H.M. A historical account of hoogsteen base-pairs in duplex DNA. Biopolymers 2013, 99, 955–968. [Google Scholar] [CrossRef] [Green Version]
- Georgiades, S.N.; Abd Karim, N.H.; Suntharalingam, K.; Vilar, R. Interaction of Metal Complexes with G-Quadruplex DNA. Angew. Chem. 2010, 49, 4020–4034. [Google Scholar] [CrossRef]
- Ruggiero, E.; Richter, S.N. G-quadruplexes and G-quadruplex ligands: Targets and tools in antiviral therapy. Nucleic Acids Res. 2018, 46, 3270–3283. [Google Scholar] [CrossRef]
- Collie, G.W.; Parkinson, G.N. The application of DNA and RNA G-quadruplexes to therapeutic medicines. Chem. Soc. Rev. 2011, 40, 5867. [Google Scholar] [CrossRef]
- Spiegel, J.; Adhikari, S.; Balasubramanian, S. The Structure and Function of DNA G-Quadruplexes. Trends Chem. 2020, 2, 123–136. [Google Scholar] [CrossRef] [Green Version]
- Hänsel-Hertsch, R.; Di Antonio, M.; Balasubramanian, S. DNA G-quadruplexes in the human genome: Detection, functions and therapeutic potential. Nat. Rev. Mol. Cell Biol. 2017, 18, 279–284. [Google Scholar] [CrossRef] [PubMed]
- Neidle, S. Quadruplex Nucleic Acids as Novel Therapeutic Targets. J. Med. Chem. 2016, 59, 5987–6011. [Google Scholar] [CrossRef] [PubMed]
- Brooks, T.A.; Kendrick, S.; Hurley, L. Making sense of G-quadruplex and i-motif functions in oncogene promoters. FEBS J. 2010, 277, 3459–3469. [Google Scholar] [CrossRef] [PubMed] [Green Version]
- Kench, T.; Vilar, R. Metal complexes as G-quadruplex binders. In Quadruplex Nucleic Acids as Targets for Medicinal Chemistry; Annual Reports in Medicinal Chemistry; Academic Press: Cambridge, MA, USA, 2020; pp. 485–515. [Google Scholar]
- Izbicka, E.; Wheelhouse, R.T.; Raymond, E.; Davidson, K.K.; Lawrence, R.A.; Sun, D.; Windle, B.E.; Hurley, L.H.; Von Hoff, D.D. Effects of cationic porphyrins as G-quadruplex interactive agents in human tumor cells. Cancer Res. 1999, 59, 639–644. [Google Scholar]
- Wragg, D.; de Almeida, A.; Bonsignore, R.; Kuhn, F.E.; Leoni, S.; Casini, A. On the Mechanism of Gold/NHC Compounds Binding to DNA G-Quadruplexes: Combined Metadynamics and Biophysical Methods. Angew. Chem. 2018, 57, 14524–14528. [Google Scholar] [CrossRef] [Green Version]
- Yan, J.J.; Chow, A.L.-F.; Leung, C.-H.; Sun, R.W.-Y.; Ma, D.-L.; Che, C.-M. Cyclometalated gold(iii) complexes with N-heterocyclic carbene ligands as topoisomerase I poisons. Chem. Commun. 2010, 46, 3893–3895. [Google Scholar] [CrossRef]
- Stefan, L.; Bertrand, B.; Richard, P.; Le Gendre, P.; Denat, F.; Picquet, M.; Monchaud, D. Assessing the Differential Affinity of Small Molecules for Noncanonical DNA Structures. ChemBioChem 2012, 13, 1905–1912. [Google Scholar] [CrossRef]
- Zell, J.; Rota Sperti, F.; Britton, S.; Monchaud, D. DNA folds threaten genetic stability and can be leveraged for chemotherapy. RSC Chem. Biol. 2021, 2, 47–76. [Google Scholar] [CrossRef]
- Bindoli, A.; Rigobello, M.P.; Scutari, G.; Gabbiani, C.; Casini, A.; Messori, L. Thioredoxin reductase: A target for gold compounds acting as potential anticancer drugs. Coord. Chem. Rev. 2009, 253, 1692–1707. [Google Scholar] [CrossRef]
- Fricker, S.P. Cysteine proteases as targets for metal-based drugs. Metallomics 2010, 2, 366. [Google Scholar] [CrossRef]
- Balfourier, A.; Kolosnjaj-Tabi, J.; Luciani, N.; Carn, F.; Gazeau, F. Gold-based therapy: From past to present. Proc. Natl. Acad. Sci. USA 2020, 117, 22639–22648. [Google Scholar] [CrossRef] [PubMed]
- McQueen, E.G.; Dykes, P.W. Transport of gold in the body. Ann. Rheum. Dis. 1969, 28, 437–442. [Google Scholar] [CrossRef] [PubMed] [Green Version]
- Elder, R.C.; Eidsness, M.K. Synchrotron x-ray studies of metal-based drugs and metabolites. Chem. Rev. 1987, 87, 1027–1046. [Google Scholar] [CrossRef]
- Mascarenhas, B.R.; Granda, J.L.; Freyberg, R.H. Gold metabolism in patients with rheumatoid arthritis treated with gold compounds—Reinvestigated. Arthritis Rheum. 1972, 15, 391–402. [Google Scholar] [CrossRef] [PubMed]
- Kean, W.F.; Hart, L.; Buchanan, W.W. Auranofin. Rheumatology 1997, 36, 560–572. [Google Scholar] [CrossRef] [Green Version]
- Matos, M.J.; Labão-Almeida, C.; Sayers, C.; Dada, O.; Tacke, M.; Bernardes, G.J.L. Synthesis and Biological Evaluation of Homogeneous Thiol-Linked NHC*-Au-Albumin and -Trastuzumab Bioconjugates. Chem. Eur. J. 2018, 24, 12250–12253. [Google Scholar] [CrossRef] [Green Version]
- Rautio, J.; Meanwell, N.A.; Di, L.; Hageman, M.J. The expanding role of prodrugs in contemporary drug design and development. Nat. Rev. Drug Discov. 2018, 17, 559–587. [Google Scholar] [CrossRef]
- Schmidt, C.; Karge, B.; Misgeld, R.; Prokop, A.; Franke, R.; Brönstrup, M.; Ott, I. Gold(I) NHC Complexes: Antiproliferative Activity, Cellular Uptake, Inhibition of Mammalian and Bacterial Thioredoxin Reductases, and Gram-Positive Directed Antibacterial Effects. Chem. Eur. J. 2017, 23, 1869–1880. [Google Scholar] [CrossRef]
- Cetinkaya, B.; Dixneuf, P.; Lappert, M.F. Carbene complexes. Part VIII. Chromium(0), iron(0), rhodium(I), iridium(I), nickel(II), palladium(II), platinum(II), and gold(I) mono- and oligo-carbene species from electron-rich olefins. J. Chem. Soc. Dalton Trans. 1974, 1827–1833. [Google Scholar] [CrossRef]
- Raubenheimer, H.G.; Cronje, S. Carbene complexes of gold: Preparation, medical application and bonding. Chem. Soc. Rev. 2008, 37, 1998–2011. [Google Scholar] [CrossRef]
- Huynh, H.V. The Organometallic Chemistry of N-Heterocyclic Carbenes; John Wiley & Sons Ltd.: New York, NY, USA, 2017. [Google Scholar]
- King, R.B.; Eiscb, J.J. Organometallic Syntheses; Elsevier Science Ltd.: Amsterdam, The Netherlands, 1986; Volume 3. [Google Scholar]
- Wang, H.M.J.; Lin, I.J.B. Facile Synthesis of Silver(I)−Carbene Complexes. Useful Carbene Transfer Agents. Organometallics 1998, 17, 972–975. [Google Scholar] [CrossRef]
- Visbal, R.; Laguna, A.; Gimeno, M.C. Simple and efficient synthesis of [MCI(NHC)] (M = Au, Ag) complexes. Chem. Commun. 2013, 49, 5642. [Google Scholar] [CrossRef] [PubMed]
- Collado, A.; Gómez-Suárez, A.; Martin, A.R.; Slawin, A.M.Z.; Nolan, S.P. Straightforward synthesis of [Au(NHC)X] (NHC = N-heterocyclic carbene, X = Cl, Br, I) complexes. Chem. Commun. 2013, 49, 5541–5543. [Google Scholar] [CrossRef] [PubMed]
- Raubenheimer, H.G.; Olivier, P.J.; Lindeque, L.; Desmet, M.; Hrušak, J.; Kruger, G.J. Oxidative addition of mono and bis(carbene) complexes derived from imidazolyl and thiazolyl gold(I) compounds. J. Organomet. Chem. 1997, 544, 91–100. [Google Scholar] [CrossRef]
- De Frémont, P.; Singh, R.; Stevens, E.D.; Petersen, J.L.; Nolan, S.P. Synthesis, Characterization and Reactivity of N-Heterocyclic Carbene Gold(III) Complexes. Organometallics 2007, 26, 1376–1385. [Google Scholar] [CrossRef]
- Zou, T.; Lum, C.T.; Chui, S.S.; Che, C.M. Gold(III) complexes containing N-heterocyclic carbene ligands: Thiol “switch-on” fluorescent probes and anti-cancer agents. Angew. Chem. 2013, 52, 2930–2933. [Google Scholar] [CrossRef]
- Nolan, S.P. N-Heterocyclic Carbenes-Effective Tools for Organometallic Synthesis; Wiley-VCH: Weinheim, Germany, 2014. [Google Scholar]
- Zhu, S.; Liang, R.; Jiang, H. A direct and practical approach for the synthesis of N-heterocyclic carbene coinage metal complexes. Tetrahedron 2012, 68, 7949–7955. [Google Scholar] [CrossRef]
- Johnson, A.; Gimeno, M.C. An efficient and sustainable synthesis of NHC gold complexes. Chem. Commun. 2016, 52, 9664–9667. [Google Scholar] [CrossRef]
- Reid, J.P.; Hu, M.; Ito, S.; Huang, B.; Hong, C.M.; Xiang, H.; Sigman, M.S.; Toste, F.D. Strategies for remote enantiocontrol in chiral gold(iii) complexes applied to catalytic enantioselective γ,δ-Diels–Alder reactions. Chem. Sci. 2020, 11, 6450–6456. [Google Scholar] [CrossRef] [Green Version]
- Huang, B.; Hu, M.; Toste, F.D. Homogeneous Gold Redox Chemistry: Organometallics, Catalysis, and Beyond. Trends Chem. 2020, 2, 707–720. [Google Scholar] [CrossRef]
- Pushpakom, S.; Iorio, F.; Eyers, P.A.; Escott, K.J.; Hopper, S.; Wells, A.; Doig, A.; Guilliams, T.; Latimer, J.; McNamee, C.; et al. Drug repurposing: Progress, challenges and recommendations. Nat. Rev. Drug Discov. 2019, 18, 41–58. [Google Scholar] [CrossRef] [PubMed]
- Rudrapal, M.; Khairnar, S.J.; Jadhav, A.G. Drug Repurposing (DR): An Emerging Approach in Drug Discovery; IntechOpen: London, UK, 2020. [Google Scholar]
- Murat, P.; Singh, Y.; Defrancq, E. Methods for investigating G-quadruplex DNA/ligand interactions. Chem. Soc. Rev. 2011, 40, 5293–5307. [Google Scholar] [CrossRef] [PubMed]
- Bazzicalupi, C.; Ferraroni, M.; Papi, F.; Massai, L.; Bertrand, B.; Messori, L.; Gratteri, P.; Casini, A. Determinants for Tight and Selective Binding of a Medicinal Dicarbene Gold(I) Complex to a Telomeric DNA G-Quadruplex: A Joint ESI MS and XRD Investigation. Angew. Chem. 2016, 55, 4256–4259. [Google Scholar] [CrossRef] [PubMed]
- Bertrand, B.; Stefan, L.; Pirrotta, M.; Monchaud, D.; Bodio, E.; Richard, P.; Le Gendre, P.; Warmerdam, E.; De Jager, M.H.; Groothuis, G.M.M.; et al. Caffeine-Based Gold(I) N-Heterocyclic Carbenes as Possible Anticancer Agents: Synthesis and Biological Properties. Inorg. Chem. 2014, 53, 2296–2303. [Google Scholar] [CrossRef] [PubMed]
- Meier-Menches, S.M.; Aikman, B.; Dollerer, D.; Klooster, W.T.; Coles, S.J.; Santi, N.; Luk, L.; Casini, A.; Bonsignore, R. Comparative biological evaluation and G-quadruplex interaction studies of two new families of organometallic gold(I) complexes featuring N-heterocyclic carbene and alkynyl ligands. J. Inorg. Biochem. 2020, 202, 110844. [Google Scholar] [CrossRef]
- Oberkofler, J.; Aikman, B.; Bonsignore, R.; Pöthig, A.; Platts, J.; Casini, A.; Kühn, F.E. Exploring the Reactivity and Biological Effects of Heteroleptic N-Heterocyclic Carbene Gold(I)-Alkynyl Complexes. Eur. J. Inorg. Chem. 2020, 2020, 1040–1051. [Google Scholar] [CrossRef]
- Visbal, R.; Fernández-Moreira, V.; Marzo, I.; Laguna, A.; Gimeno, M.C. Cytotoxicity and biodistribution studies of luminescent Au(i) and Ag(i) N-heterocyclic carbenes. Searching for new biological targets. Dalton Trans. 2016, 45, 15026–15033. [Google Scholar] [CrossRef]
- Bertrand, B.; Fernandez-Cestau, J.; Angulo, J.; Cominetti, M.M.D.; Waller, Z.A.E.; Searcey, M.; O’Connell, M.A.; Bochmann, M. Cytotoxicity of Pyrazine-Based Cyclometalated (C^Npz^C)Au(III) Carbene Complexes: Impact of the Nature of the Ancillary Ligand on the Biological Properties. Inorg. Chem. 2017, 56, 5728–5740. [Google Scholar] [CrossRef] [Green Version]
- Williams, M.R.M.; Bertrand, B.; Fernandez-Cestau, J.; Waller, Z.A.E.; O’Connell, M.A.; Searcey, M.; Bochmann, M. Acridine-decorated cyclometallated gold(III) complexes: Synthesis and anti-tumour investigations. Dalton Trans. 2018, 47, 13523–13534. [Google Scholar] [CrossRef] [Green Version]
- Reinhardt, C.G.; Krugh, T.R. A comparative study of ethidium bromide complexes with dinucleotides and DNA: Direct evidence for intercalation and nucleic acid sequence preferences. Biochemistry 1978, 17, 4845–4854. [Google Scholar] [CrossRef]
- Garbett, N.C.; Hammond, N.B.; Graves, D.E. Influence of the Amino Substituents in the Interaction of Ethidium Bromide with DNA. Biophys. J. 2004, 87, 3974–3981. [Google Scholar] [CrossRef] [PubMed] [Green Version]
- Fernández-Gallardo, J.; Elie, B.T.; Sanaú, M.; Contel, M. Versatile synthesis of cationic N-heterocyclic carbene–gold(I) complexes containing a second ancillary ligand. Design of heterobimetallic ruthenium–gold anticancer agents. Chem. Commun. 2016, 52, 3155–3158. [Google Scholar] [CrossRef] [PubMed] [Green Version]
- Bertrand, B.; O’Connell, M.A.; Waller, Z.A.E.; Bochmann, M. A Gold(III) Pincer Ligand Scaffold for the Synthesis of Binuclear and Bioconjugated Complexes: Synthesis and Anticancer Potential. Chem. Eur. J. 2018, 24, 3613–3622. [Google Scholar] [CrossRef] [PubMed]
- Mui, Y.F.; Fernández-Gallardo, J.; Elie, B.T.; Gubran, A.; Maluenda, I.; Sanaú, M.; Navarro, O.; Contel, M.A. Titanocene–Gold Complexes Containing N-Heterocyclic Carbene Ligands Inhibit Growth of Prostate, Renal, and Colon Cancers in Vitro. Organometallics 2016, 35, 1218–1227. [Google Scholar] [CrossRef]
- Boyarskiy, V.P.; Luzyanin, K.V.; Kukushkin, V.Y. Acyclic diaminocarbenes (ADCs) as a promising alternative to N-heterocyclic carbenes (NHCs) in transition metal catalyzed organic transformations. Coord. Chem. Rev. 2012, 256, 2029–2056. [Google Scholar] [CrossRef]
- Bertrand, B.; Romanov, A.S.; Brooks, M.; Davis, J.; Schmidt, C.; Ott, I.; O’Connell, M.; Bochmann, M. Synthesis, structure and cytotoxicity of cyclic (alkyl)(amino) carbene and acyclic carbene complexes of group 11 metals. Dalton Trans. 2017, 46, 15875–15887. [Google Scholar] [CrossRef] [Green Version]
- Montanel-Pérez, S.; Elizalde, R.; Laguna, A.; Villacampa, M.D.; Gimeno, M.C. Synthesis of Bioactive N-Acyclic Gold(I) and Gold(III) Diamino Carbenes with Different Ancillary Ligands. Eur. J. Inorg. Chem. 2019, 2019, 4273–4281. [Google Scholar] [CrossRef]
- Kinzhalov, M.A.; Luzyanin, K.V. Reactivity of acyclic diaminocarbene ligands. Coord. Chem. Rev. 2019, 399, 213014. [Google Scholar] [CrossRef]
- Montanel-Pérez, S.; Herrera, R.P.; Laguna, A.; Villacampa, M.D.; Gimeno, M.C. The fluxional amine gold(III) complex as an excellent catalyst and precursor of biologically active acyclic carbenes. Dalton Trans. 2015, 44, 9052–9062. [Google Scholar] [CrossRef] [Green Version]

























| Compound | PC3 | DU-145 | Caki-1 | DLD1 | MDA-MB-231 | HEK-293T | 
|---|---|---|---|---|---|---|
| titanocene | 58.1 ± 11.2 | 55.2± 7.9 | 29.4 ± 4.2 | 56.2 ± 9.8 | 18.0 ± 3.6 | >200 | 
| 16a | 9.8 ± 2.2 | 11.8 ± 3.0 | 21.0 ± 1.9 | 13.9 ± 1.7 | >100 | 58.8 ± 6.7 | 
| 16b | 10.3 ± 2.8 | 18.9 ± 3.0 | 51.5 ± 3.7 | 30.4 ± 4.1 | >100 | >100 | 
| 16c | 17.1 ± 2.9 | 13.76 ± 2.7 | 29.11 ± 4.1 | 19.9 ± 4.1 | >100 | 69.7 ± 9.9 | 
| 16d | 11.8 ± 1.6 | 16.7 ± 2 | 42.9 ± 5.8 | 21.5 ± 2.0 | >100 | 77.1 ± 9.1 | 
| Gold(I) NHC Complexes | ||||||
|---|---|---|---|---|---|---|
| No. | Compounds | IC50 Values (μM) | Ref. | |||
| 2 |  | A2780 16.2 ± 2.1 (5.2 ± 1.9, cisplatin) | A2780r 15.6 ± 2.7 (35 ± 7, cisplatin) | [139] | ||
| 3b |  | A375 8.8 ± 0.8 | SKOV-3 13.0 ± 0.9 | MCF-7 6.1 ± 0.8 | [140] | |
| 3c |  | A375 28 ± 3 | SKOV-3 36 ± 4 | MCF-7 18 ± 2 | [140] | |
| 4d |  | HT-29 1.9 ± 0.3 | MCF-7 2.1 ± 0.5 | [89] | ||
| 5 |  | A375 3.4 ± 0.5 (3.7 ± 0.9, cisplatin) | [141] | |||
| 7 |  | A549 13.0 ± 3.6 (114.2 ± 9.1, cisplatin) | MiaPaca2 3.4 ± 0.8 (76.5 ± 7.4, cisplatin) | [142] | ||
| Gold(III) NHC Complexes | ||||||
| 8 |  | HL60 0.31 ± 0.15 (3.70 ± 0.25, cisplatin) | MCF-7 0.56 ± 0.02 (21.2 ± 3.9, cisplatin) | A549 7.8 ± 1.3 (33.7 ± 3.7, cisplatin) | MRC-5 1.4 ± 0.4 (10.7 ± 3.0, cisplatin) | [143] | 
| 11 |  | MCF-7 1.5 (21.2 ± 3.9, cisplatin) | [144] | |||
| Hetero-Bimetallic Gold Containing NHC Complexes | ||||||
| 13b |  | KB-CPT-100 12 ± 1.3 | [147] | |||
| 14a |  | HepG2 7.9 ± 0.6 | [107] | |||
| 14b |  | HepG2 1.1 ± 0.1 | [107] | |||
| 15 |  | MCF-7 13.7 ± 2.2 | MDA-MB-231 9.2 ± 2.9 | [148] | ||
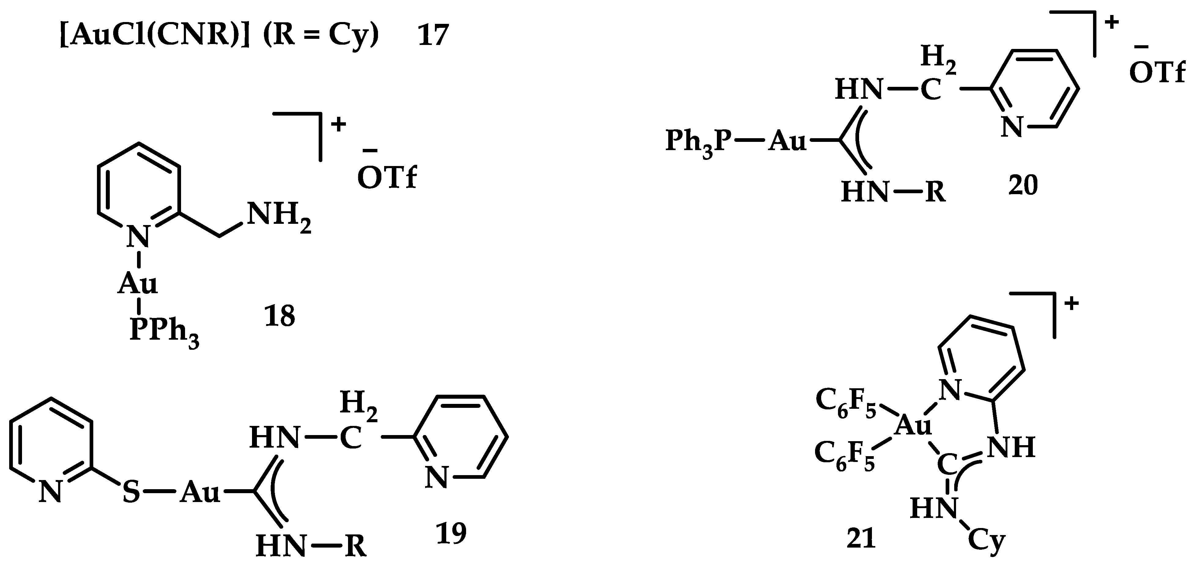
| 17 | [AuCl(CNR)] (R = Cy) | Jurkat 0.61 ± 0.2 | [152] | |||
| 18 |  | MiaPaca2 5.30 ± 0.6 | [152] | |||
| 19 |  | A549 9.85 ± 0.8 | [152] | |||
| 20 |  | MDA-MB-231 8.8 ± 1.6 | [152] | |||
| 21 |  | MDA-MB-231 16.0 ± 5.4 | [152] | |||
| 23 |  | HL60 0.10 ± 0.01 | MCF-7 2.3 ± 0.9 | A549 6.1 ± 0.3 | [151] | |
| Publisher’s Note: MDPI stays neutral with regard to jurisdictional claims in published maps and institutional affiliations. | 
© 2022 by the authors. Licensee MDPI, Basel, Switzerland. This article is an open access article distributed under the terms and conditions of the Creative Commons Attribution (CC BY) license (https://creativecommons.org/licenses/by/4.0/).
Share and Cite
Tialiou, A.; Chin, J.; Keppler, B.K.; Reithofer, M.R. Current Developments of N-Heterocyclic Carbene Au(I)/Au(III) Complexes toward Cancer Treatment. Biomedicines 2022, 10, 1417. https://doi.org/10.3390/biomedicines10061417
Tialiou A, Chin J, Keppler BK, Reithofer MR. Current Developments of N-Heterocyclic Carbene Au(I)/Au(III) Complexes toward Cancer Treatment. Biomedicines. 2022; 10(6):1417. https://doi.org/10.3390/biomedicines10061417
Chicago/Turabian StyleTialiou, Alexia, Jiamin Chin, Bernhard K. Keppler, and Michael R. Reithofer. 2022. "Current Developments of N-Heterocyclic Carbene Au(I)/Au(III) Complexes toward Cancer Treatment" Biomedicines 10, no. 6: 1417. https://doi.org/10.3390/biomedicines10061417
APA StyleTialiou, A., Chin, J., Keppler, B. K., & Reithofer, M. R. (2022). Current Developments of N-Heterocyclic Carbene Au(I)/Au(III) Complexes toward Cancer Treatment. Biomedicines, 10(6), 1417. https://doi.org/10.3390/biomedicines10061417
 
         
                                                

 
       