Predictive Response to Immunotherapy Score: A Useful Tool for Identifying Eligible Patients for Allergen Immunotherapy
Abstract
:1. Introduction
2. Materials and Methods
2.1. Patients
2.2. Predictive Response to Immunotherapy Score (PRIS)
2.3. Skin Prick Test
2.4. In Vitro Tests
2.5. Immunotherapy
2.6. Data Analysis
3. Results
3.1. Demographic Data
3.2. Evaluation of Sublingual Immunotherapy Efficacy
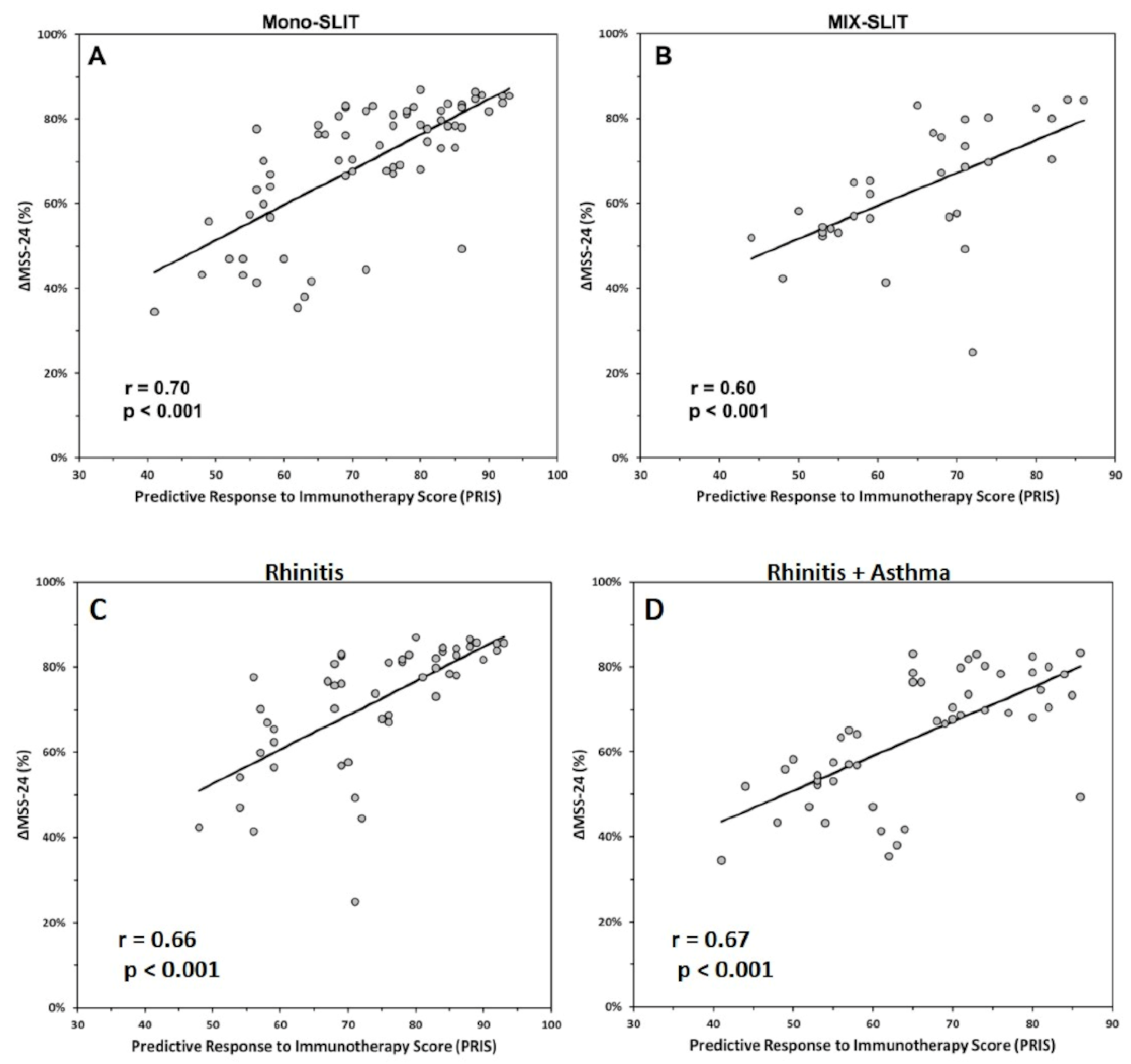
3.3. Validation of the Predictive Response to Immunotherapy Score (PRIS)
3.4. Stratification in Quartiles
4. Discussion
Author Contributions
Funding
Institutional Review Board Statement
Informed Consent Statement
Data Availability Statement
Conflicts of Interest
References
- di Coste, A.; Occasi, F.; De Castro, G.; Zicari, A.M.; Galandrini, R.; Giuffrida, A.; Indinnimeo, L.; Duse, M. Predictivity of clinical efficacy of sublingual immunotherapy (SLIT) based on sensitisation pattern to molecular allergens in children with allergic rhinoconjunctivitis. Allergol. Immunopathol. 2017, 45, 452–456. [Google Scholar] [CrossRef] [PubMed]
- Wheatley, L.M.; Togias, A. Clinical practice. Allergic rhinitis. N. Engl. J. Med. 2015, 372, 456–463. [Google Scholar] [CrossRef] [PubMed] [Green Version]
- Dhami, S.; Kakourou, A.; Asamoah, F.; Agache, I.; Lau, S.; Jutel, M.; Muraro, A.; Roberts, G.; Akdis, C.A.; Bonini, M.; et al. Allergen immunotherapy for allergic asthma: A systematic review and meta-analysis. Allergy 2017, 72, 1825–1848. [Google Scholar] [CrossRef]
- Penagos, M.; Eifan, A.O.; Durham, S.R.; Scadding, G.W. Duration of Allergen Immunotherapy for Long-Term Efficacy in Allergic Rhinoconjunctivitis. Curr. Treat. Options Allergy 2018, 5, 275–290. [Google Scholar] [CrossRef] [PubMed] [Green Version]
- Cox, L.; Nelson, H.; Lockey, R.; Calabria, C.; Chacko, T.; Finegold, I.; Nelson, M.; Weber, R.; Bernstein, D.I.; Blessing-Moore, J.; et al. Allergen immunotherapy: A practice parameter third update. J. Allergy Clin. Immunol. 2011, 127, S1–S55. [Google Scholar] [CrossRef] [PubMed]
- Muraro, A.; Roberts, G.; Halken, S.; Agache, I.; Angier, E.; Fernandez-Rivas, M.; Gerth van Wijk, R.; Jutel, M.; Lau, S.; Pajno, G.; et al. EAACI guidelines on allergen immunotherapy: Executive statement. Allergy 2018, 73, 739–743. [Google Scholar] [CrossRef]
- Alvaro-Lozano, M.; Akdis, C.A.; Akdis, M.; Alviani, C.; Angier, E.; Arasi, S.; Arzt-Gradwohl, L.; Barber, D.; Bazire, R.; Cavkaytar, O.; et al. EAACI Allergen Immunotherapy User’s Guide. Pediatr Allergy Immunol 2020, 31, 1–101. [Google Scholar] [CrossRef]
- Sokolowska, M.; Boonpiyathad, T.; Escribese, M.M.; Barber, D. Allergen-specific immunotherapy: Power of adjuvants and novel predictive biomarkers. Allergy 2019, 74, 2061–2063. [Google Scholar] [CrossRef] [Green Version]
- Ciprandi, G.; Tosca, M.A.; Silvestri, M. The practical role of serum allergen-specific IgE as potential biomarker for predicting responder to allergen immunotherapy. Expert Rev. Clin. Immunol. 2014, 10, 321–324. [Google Scholar] [CrossRef] [Green Version]
- Ciprandi, G.; Silvestri, M. Serum specific IgE: A biomarker of response to allergen immunotherapy. J. Investig. Allergol. Clin. Immunol. 2014, 24, 35–39. [Google Scholar]
- Di Lorenzo, G.; Mansueto, P.; Pacor, M.L.; Rizzo, M.; Castello, F.; Martinelli, N.; Ditta, V.; Lo Bianco, C.; Leto-Barone, M.S.; D’Alcamo, A.; et al. Evaluation of serum s-IgE/total IgE ratio in predicting clinical response to allergen-specific immunotherapy. J. Allergy Clin. Immunol. 2009, 123, 1103–1110. [Google Scholar] [CrossRef] [PubMed] [Green Version]
- Shamji, M.H.; Kappen, J.H.; Akdis, M.; Jensen-Jarolim, E.; Knol, E.F.; Kleine-Tebbe, J.; Bohle, B.; Chaker, A.M.; Till, S.J.; Valenta, R.; et al. Biomarkers for monitoring clinical efficacy of allergen immunotherapy for allergic rhinoconjunctivitis and allergic asthma: An EAACI Position Paper. Allergy 2017, 72, 1156–1173. [Google Scholar] [CrossRef] [PubMed]
- Incorvaia, C.; Ridolo, E.; Bagnasco, D.; Scurati, S.; Canonica, G.W. Personalized medicine and allergen immunotherapy: The beginning of a new era? Clin. Mol. Allergy 2021, 19, 10. [Google Scholar] [CrossRef] [PubMed]
- Gueguen, C.; Luce, S.; Lombardi, V.; Baron-Bodo, V.; Moingeon, P.; Mascarell, L. IL-10 mRNA levels in whole blood cells correlate with house dust mite allergen immunotherapy efficacy. Allergy 2019, 74, 2223–2226. [Google Scholar] [CrossRef] [PubMed]
- Jutel, M.; Akdis, M.; Budak, F.; Aebischer-Casaulta, C.; Wrzyszcz, M.; Blaser, K.; Akdis, C.A. IL-10 and TGF-beta cooperate in the regulatory T cell response to mucosal allergens in normal immunity and specific immunotherapy. Eur. J. Immunol. 2003, 33, 1205–1214. [Google Scholar] [CrossRef]
- Stringari, G.; Tripodi, S.; Caffarelli, C.; Dondi, A.; Asero, R.; Di Rienzo Businco, A.; Bianchi, A.; Candelotti, P.; Ricci, G.; Bellini, F.; et al. The effect of component-resolved diagnosis on specific immunotherapy prescription in children with hay fever. J. Allergy Clin. Immunol. 2014, 134, 75–81. [Google Scholar] [CrossRef]
- Di Spigna, G.; Ladogana, P.; Covelli, B.; Ricciardone, M.; Salzano, S.; Spalletti Cernia, D.; Mormile, I.; Varriale, G.; Catapano, O.; Spadaro, G.; et al. Component resolved diagnosis by recombinant allergens in patients with allergies to inhalants. J. Biol. Regul. Homeost. Agents 2020, 34, 1729–1737. [Google Scholar] [CrossRef]
- Cohen, J. Statistical Power Analysis for the Behavioral Sciences, 2nd ed.; Routledge Academic: New York, NY, USA, 1988; p. 567. [Google Scholar]
- Mauer, Y.; Taliercio, R.M. Managing adult asthma: The 2019 GINA guidelines. Cleve Clin. J. Med. 2020, 87, 569–575. [Google Scholar] [CrossRef]
- Fortescue, R.; Kew, K.M.; Leung, M.S.T. Sublingual immunotherapy for asthma. Cochrane Database Syst. Rev. 2020, 9, CD011293. [Google Scholar] [CrossRef]
- Passalacqua, G.; Canonica, G.W. Specific immunotherapy in asthma: Efficacy and safety. Clin. Exp. Allergy 2011, 41, 1247–1255. [Google Scholar] [CrossRef]
- Bernstein, D.I.; Wanner, M.; Borish, L.; Liss, G.M.; Immunotherapy Committee of the American Academy of Allergy, Asthma and Immunology. Twelve-year survey of fatal reactions to allergen injections and skin testing: 1990–2001. J. Allergy Clin. Immunol. 2004, 113, 1129–1136. [Google Scholar] [CrossRef] [PubMed]
- Przybyszowski, M.; Stachura, T.; Szafraniec, K.; Sladek, K.; Bochenek, G. The influence of self-assessment of asthma control on the Asthma Control Test outcome. J. Asthma 2021, 58, 537–546. [Google Scholar] [CrossRef] [PubMed]
- Schatz, M.; Mosen, D.M.; Kosinski, M.; Vollmer, W.M.; Magid, D.J.; O’Connor, E.; Zeiger, R.S. Validity of the Asthma Control Test completed at home. Am. J. Manag. Care 2007, 13, 661–667. [Google Scholar] [PubMed]
- Schatz, M.; Zeiger, R.S.; Drane, A.; Harden, K.; Cibildak, A.; Oosterman, J.E.; Kosinski, M. Reliability and predictive validity of the Asthma Control Test administered by telephone calls using speech recognition technology. J. Allergy Clin. Immunol. 2007, 119, 336–343. [Google Scholar] [CrossRef]
- Ciprandi, G.; La Mantia, I. VAS for assessing the perception of antihistamines use in allergic rhinitis. Acta Biomed. 2019, 90, 41–44. [Google Scholar] [CrossRef]
- Sousa-Pinto, B.; Azevedo, L.F.; Jutel, M.; Agache, I.; Canonica, G.W.; Czarlewski, W.; Papadopoulos, N.G.; Bergmann, K.C.; Devillier, P.; Laune, D.; et al. Development and validation of combined symptom-medication scores for allergic rhinitis. Allergy 2021, 54. [Google Scholar] [CrossRef]
- Bourdin, A.; Bjermer, L.; Brightling, C.; Brusselle, G.G.; Chanez, P.; Chung, K.F.; Custovic, A.; Diamant, Z.; Diver, S.; Djukanovic, R.; et al. ERS/EAACI statement on severe exacerbations in asthma in adults: Facts, priorities and key research questions. Eur. Respir J. 2019, 54, 1900900. [Google Scholar] [CrossRef] [Green Version]
- Chung, K.F.; Wenzel, S.E.; Brozek, J.L.; Bush, A.; Castro, M.; Sterk, P.J.; Adcock, I.M.; Bateman, E.D.; Bel, E.H.; Bleecker, E.R.; et al. International ERS/ATS guidelines on definition, evaluation and treatment of severe asthma. Eur. Respir J. 2014, 43, 343–373. [Google Scholar] [CrossRef] [Green Version]
- Miller, M.K.; Lee, J.H.; Blanc, P.D.; Pasta, D.J.; Gujrathi, S.; Barron, H.; Wenzel, S.E.; Weiss, S.T.; Group, T.S. TENOR risk score predicts healthcare in adults with severe or difficult-to-treat asthma. Eur. Respir J. 2006, 28, 1145–1155. [Google Scholar] [CrossRef]
- Barber, D.; de la Torre, F.; Feo, F.; Florido, F.; Guardia, P.; Moreno, C.; Quiralte, J.; Lombardero, M.; Villalba, M.; Salcedo, G.; et al. Understanding patient sensitization profiles in complex pollen areas: A molecular epidemiological study. Allergy 2008, 63, 1550–1558. [Google Scholar] [CrossRef]
- Ruiz-Garcia, M.; Garcia Del Potro, M.; Fernandez-Nieto, M.; Barber, D.; Jimeno-Nogales, L.; Sastre, J. Profilin: A relevant aeroallergen? J. Allergy Clin. Immunol. 2011, 128, 416–418. [Google Scholar] [CrossRef] [PubMed]
- Rodriguez Del Rio, P.; Diaz-Perales, A.; Sanchez-Garcia, S.; Escudero, C.; Ibanez, M.D.; Mendez-Brea, P.; Barber, D. Profilin, a Change in the Paradigm. J. Investig. Allergol. Clin. Immunol. 2018, 28, 1–12. [Google Scholar] [CrossRef] [PubMed] [Green Version]
- Pfaar, O.; Lou, H.; Zhang, Y.; Klimek, L.; Zhang, L. Recent developments and highlights in allergen immunotherapy. Allergy 2018, 73, 2274–2289. [Google Scholar] [CrossRef] [PubMed]
- Dhami, S.; Nurmatov, U.; Arasi, S.; Khan, T.; Asaria, M.; Zaman, H.; Agarwal, A.; Netuveli, G.; Roberts, G.; Pfaar, O.; et al. Allergen immunotherapy for allergic rhinoconjunctivitis: A systematic review and meta-analysis. Allergy 2017, 72, 1597–1631. [Google Scholar] [CrossRef] [PubMed] [Green Version]
- Kristiansen, M.; Dhami, S.; Netuveli, G.; Halken, S.; Muraro, A.; Roberts, G.; Larenas-Linnemann, D.; Calderon, M.A.; Penagos, M.; Du Toit, G.; et al. Allergen immunotherapy for the prevention of allergy: A systematic review and meta-analysis. Pediatr. Allergy Immunol. 2017, 28, 18–29. [Google Scholar] [CrossRef] [PubMed] [Green Version]
- Roberts, G.; Pfaar, O.; Akdis, C.A.; Ansotegui, I.J.; Durham, S.R.; Gerth van Wijk, R.; Halken, S.; Larenas-Linnemann, D.; Pawankar, R.; Pitsios, C.; et al. EAACI Guidelines on Allergen Immunotherapy: Allergic rhinoconjunctivitis. Allergy 2018, 73, 765–798. [Google Scholar] [CrossRef] [PubMed] [Green Version]
- Agache, I.; Lau, S.; Akdis, C.A.; Smolinska, S.; Bonini, M.; Cavkaytar, O.; Flood, B.; Gajdanowicz, P.; Izuhara, K.; Kalayci, O.; et al. EAACI Guidelines on Allergen Immunotherapy: House dust mite-driven allergic asthma. Allergy 2019, 74, 855–873. [Google Scholar] [CrossRef] [Green Version]
- Ryan, D.; Gerth van Wijk, R.; Angier, E.; Kristiansen, M.; Zaman, H.; Sheikh, A.; Cardona, V.; Vidal, C.; Warner, A.; Agache, I.; et al. Challenges in the implementation of the EAACI AIT guidelines: A situational analysis of current provision of allergen immunotherapy. Allergy 2018, 73, 827–836. [Google Scholar] [CrossRef]
- Bousquet, J.; Pfaar, O.; Togias, A.; Schunemann, H.J.; Ansotegui, I.; Papadopoulos, N.G.; Tsiligianni, I.; Agache, I.; Anto, J.M.; Bachert, C.; et al. 2019 ARIA Care pathways for allergen immunotherapy. Allergy 2019, 74, 2087–2102. [Google Scholar] [CrossRef]
- Borg, M.; Lokke, A.; Hilberg, O. Compliance in subcutaneous and sublingual allergen immunotherapy: A nationwide study. Respir Med. 2020, 170, 106039. [Google Scholar] [CrossRef]
- Musa, F.; Al-Ahmad, M.; Arifhodzic, N.; Al-Herz, W. Compliance with allergen immunotherapy and factors affecting compliance among patients with respiratory allergies. Hum. Vaccin. Immunother. 2017, 13, 514–517. [Google Scholar] [CrossRef] [PubMed] [Green Version]
- Leader, B.A.; Rotella, M.; Stillman, L.; DelGaudio, J.M.; Patel, Z.M.; Wise, S.K. Immunotherapy compliance: Comparison of subcutaneous versus sublingual immunotherapy. Int. Forum Allergy Rhinol. 2016, 6, 460–464. [Google Scholar] [CrossRef] [PubMed]
- Fujimura, T.; Yonekura, S.; Horiguchi, S.; Taniguchi, Y.; Saito, A.; Yasueda, H.; Inamine, A.; Nakayama, T.; Takemori, T.; Taniguchi, M.; et al. Increase of regulatory T cells and the ratio of specific IgE to total IgE are candidates for response monitoring or prognostic biomarkers in 2-year sublingual immunotherapy (SLIT) for Japanese cedar pollinosis. Clin. Immunol. 2011, 139, 65–74. [Google Scholar] [CrossRef] [PubMed]
- Ciprandi, G.; Alesina, R.; De Amici, M. Serum specific IgE: Biomarker for specific immunotherapy responsiveness? Allergol. Immunopathol. 2014, 42, 369–371. [Google Scholar] [CrossRef] [PubMed]
- Tosca, M.; Silvestri, M.; Accogli, A.; Rossi, G.A.; Ciprandi, G. Serum-specific IgE and allergen immunotherapy in allergic children. Immunotherapy 2014, 6, 29–33. [Google Scholar] [CrossRef]
- Matricardi, P.M.; Dramburg, S.; Potapova, E.; Skevaki, C.; Renz, H. Molecular diagnosis for allergen immunotherapy. J. Allergy Clin. Immunol. 2019, 143, 831–843. [Google Scholar] [CrossRef]
- Caruso, M.; Cibella, F.; Emma, R.; Campagna, D.; Tringali, G.; Amaradio, M.D.; Polosa, R. Basophil biomarkers as useful predictors for sublingual immunotherapy in allergic rhinitis. Int. Immunopharmacol. 2018, 60, 50–58. [Google Scholar] [CrossRef]
- Van Overtvelt, L.; Baron-Bodo, V.; Horiot, S.; Moussu, H.; Ricarte, C.; Horak, F.; Zieglmayer, P.; Zieglmayer, R.; Montagut, A.; Galvain, S.; et al. Changes in basophil activation during grass-pollen sublingual immunotherapy do not correlate with clinical efficacy. Allergy 2011, 66, 1530–1537. [Google Scholar] [CrossRef]
- Breiteneder, H.; Peng, Y.Q.; Agache, I.; Diamant, Z.; Eiwegger, T.; Fokkens, W.J.; Traidl-Hoffmann, C.; Nadeau, K.; O’Hehir, R.E.; O’Mahony, L.; et al. Biomarkers for diagnosis and prediction of therapy responses in allergic diseases and asthma. Allergy 2020, 75, 3039–3068. [Google Scholar] [CrossRef]
- Tortajada-Girbes, M.; Mesa Del Castillo, M.; Larramona, H.; Lucas, J.M.; Alvaro Lozano, M.; Tabar, A.I.; Soler Lopez, B.; Martinez-Canavate, A.; Immunotherapy Working Group of the Spanish Society of Pediatric Clinical Immunology and Allergology. Decision-making for pediatric allergy immunotherapy for aeroallergens: A narrative review. Eur. J. Pediatr. 2019, 178, 1801–1812. [Google Scholar] [CrossRef]
- Pitsios, C. Allergen Immunotherapy: Biomarkers and Clinical Outcome Measures. J. Asthma Allergy 2021, 14, 141–148. [Google Scholar] [CrossRef] [PubMed]
- Kouser, L.; Kappen, J.; Walton, R.P.; Shamji, M.H. Update on Biomarkers to Monitor Clinical Efficacy Response During and Post Treatment in Allergen Immunotherapy. Curr. Treat. Options Allergy 2017, 4, 43–53. [Google Scholar] [CrossRef] [PubMed] [Green Version]
- Pfaar, O.; Agache, I.; Bergmann, K.C.; Bindslev-Jensen, C.; Bousquet, J.; Creticos, P.S.; Devillier, P.; Durham, S.R.; Hellings, P.; Kaul, S.; et al. Placebo effects in allergen immunotherapy-An EAACI Task Force Position Paper. Allergy 2021, 76, 629–647. [Google Scholar] [CrossRef] [PubMed]
- Bonertz, A.; Roberts, G.; Slater, J.E.; Bridgewater, J.; Rabin, R.L.; Hoefnagel, M.; Timon, M.; Pini, C.; Pfaar, O.; Sheikh, A.; et al. Allergen manufacturing and quality aspects for allergen immunotherapy in Europe and the United States: An analysis from the EAACI AIT Guidelines Project. Allergy 2018, 73, 816–826. [Google Scholar] [CrossRef] [PubMed]
- Bonertz, A.; Roberts, G.C.; Hoefnagel, M.; Timon, M.; Slater, J.E.; Rabin, R.L.; Bridgewater, J.; Pini, C.; Pfaar, O.; Akdis, C.; et al. Challenges in the implementation of EAACI guidelines on allergen immunotherapy: A global perspective on the regulation of allergen products. Allergy 2018, 73, 64–76. [Google Scholar] [CrossRef] [Green Version]





| ΔMSS | ΔMSS-12 (N, %) | ΔMSS-24 (N, %) | |
|---|---|---|---|
| Very high symptom improvement | ΔMSS ≥ 75% | 39 (39.80%) | 41 (41.84%) | 
| High symptom improvement | 50% ≤ ΔMSS < 75% | 37 (37.76%) | 41 (41.84%) | 
| Mild symptom improvement | 25% ≤ ΔMSS < 50% | 10 (10.20%) | 14 (14.29%) | 
| Low symptom improvement | ΔMSS < 25% | 12 (12.24%) | 2 (2.04%) | 
| Total | 98 (100.00%) | 98 (100.00%) | 
| Parameter | Group | Score | Score Range | 
|---|---|---|---|
| Age (years) | 0–12 | 15 | 3–15 | 
| 13–18 | 12 | ||
| 19–28 | 9 | ||
| 29–38 | 6 | ||
| >38 | 3 | ||
| Clinical features | Rhinitis | 9 | 3–9 | 
| Rhinitis + Asthma | 6 | ||
| Rhinitis + Asthma + Other Allergies | 3 | ||
| Disease onset (years) | 3 | 9 | 3–9 | 
| 4–10 | 6 | ||
| >10 | 3 | ||
| Number of allergen sensitizations a | 1 | 16 | 4–16 | 
| 2–3 | 12 | ||
| 4–5 | 8 | ||
| >5 | 4 | ||
| Presence of symptoms following exposure to allergen(s) to which the patient is sensitized | Symptoms when exposed to 1 allergen | 12 | 3–12 | 
| Symptoms when exposed to 2 allergens | 9 | ||
| Symptoms when exposed to 3 allergens | 6 | ||
| Symptoms when exposed to ≥4 allergens | 3 | ||
| Specific IgE/total IgE (s/t) ratio | s/t ≥ 0.2 | 12 | 4–12 | 
| 0.2 > s/t ≥ 0.05 | 8 | ||
| s/t < 0.05 | 4 | ||
| Component-Resolved Diagnosis for major allergens | High Positive (IgE ≥ 3.50 KUA/L) | 12 | 0–12 | 
| Positive (0.35 ≤ IgE < 3.50) | 6 | ||
| Negative (IgE < 0.35 KUA/L) | 0 | ||
| Allergen dominance b | 1 | 15 | 0–15 | 
| 2 | 10 | ||
| 3 | 5 | ||
| >3 | 0 | ||
| Total | 20–100 | ||
| Allergen(s) | Number of Patients N (%) | |
|---|---|---|
| Single-allergen SLIT | Parietaria | 38 (38.77%) | 
| House dust mite | 18 (18.36%) | |
| Gramineae grass | 18 (18.36%) | |
| Alternaria | 1 (1.02%) | |
| Olive | 1 (1.02%) | |
| Two-allergen SLIT | Parietaria + Gramineae grass | 27 (27.55%) | 
| Parietaria + mugwort | 2 (2.04%) | |
| House dust mite + Parietaria | 1 (1.02%) | |
| Gramineae grass + mugwort | 1 (1.02%) | |
| Gramineae grass + olive | 1 (1.02%) | |
| Olive + mugwort | 1 (1.02%) | |
| Parietaria + olive | 1 (1.02%) | 
| PRIS Parameter | N | Outcome ΔMSS-24(%) | |||
|---|---|---|---|---|---|
| Beta | 95% CI | p-Value | |||
| Age (years) | 98 | <0.001 | |||
| Group | Score | ||||
| >38 | 3 | — | — | ||
| 29–38 | 6 | 0.01 | −0.09, 0.10 | ||
| 19–28 | 9 | 0.13 | 0.04, 0.22 | ||
| 13–18 | 12 | 0.13 | 0.03, 0.23 | ||
| 0–12 | 15 | 0.19 | 0.08, 0.30 | ||
| Clinical features | 98 | <0.001 | |||
| Group | Score | ||||
| Rhinitis + Asthma + Other Allergies | 3 | — | — | ||
| Rhinitis + Asthma | 6 | 0.12 | 0.02, 0.22 | ||
| Rhinitis | 9 | 0.19 | 0.09, 0.29 | ||
| Disease onset (years) | 98 | 0.006 | |||
| Group | Score | ||||
| >10 | 3 | — | — | ||
| 4–10 | 6 | 0.09 | 0.03, 0.16 | ||
| ≤3 | 9 | 0.11 | 0.03, 0.18 | ||
| Number of allergen sensitizations | 98 | 0.003 | |||
| Group | Score | ||||
| >5 | 4 | — | — | ||
| 4–5 | 8 | −0.02 | −0.12, 0.07 | ||
| 2–3 | 12 | 0.05 | −0.04, 0.15 | ||
| 1 | 16 | 0.16 | 0.04, 0.29 | ||
| Symptoms when exposed to | 98 | <0.001 | |||
| Group | Score | ||||
| 3 allergens | 6 | — | — | ||
| 2 allergens | 9 | 0.04 | −0.04, 0.11 | ||
| 1 allergen | 12 | 0.15 | 0.07, 0.22 | ||
| Specific IgE/Total IgE (s/t) ratio | 98 | <0.001 | |||
| Group | Score | ||||
| s/t < 0.05 | 4 | — | — | ||
| 0.2 > s/t ≥ 0.05 | 8 | 0.05 | −0.02, 0.13 | ||
| s/t ≥ 0.2 | 12 | 0.15 | 0.07, 0.22 | ||
| CRD for major allergens | 98 | <0.001 | |||
| Group | Score | ||||
| Negative (IgE < 0.35 KUA/L) | 0 | — | — | ||
| Positive (0.35 ≤ IgE < 3.50) | 6 | 0.11 | 0.00, 0.21 | ||
| High Positive (IgE ≥ 3.50 KUA/L) | 12 | 0.20 | 0.09, 0.31 | ||
| Allergen Dominance | 98 | 0.002 | |||
| Group | Score | ||||
| 3 | 5 | — | — | ||
| 2 | 10 | 0.02 | −0.08, 0.12 | ||
| 1 | 15 | 0.12 | 0.02, 0.22 | ||
| Publisher’s Note: MDPI stays neutral with regard to jurisdictional claims in published maps and institutional affiliations. | 
© 2022 by the authors. Licensee MDPI, Basel, Switzerland. This article is an open access article distributed under the terms and conditions of the Creative Commons Attribution (CC BY) license (https://creativecommons.org/licenses/by/4.0/).
Share and Cite
Mormile, I.; Granata, F.; Detoraki, A.; Pacella, D.; Della Casa, F.; De Rosa, F.; Romano, A.; de Paulis, A.; Rossi, F.W. Predictive Response to Immunotherapy Score: A Useful Tool for Identifying Eligible Patients for Allergen Immunotherapy. Biomedicines 2022, 10, 971. https://doi.org/10.3390/biomedicines10050971
Mormile I, Granata F, Detoraki A, Pacella D, Della Casa F, De Rosa F, Romano A, de Paulis A, Rossi FW. Predictive Response to Immunotherapy Score: A Useful Tool for Identifying Eligible Patients for Allergen Immunotherapy. Biomedicines. 2022; 10(5):971. https://doi.org/10.3390/biomedicines10050971
Chicago/Turabian StyleMormile, Ilaria, Francescopaolo Granata, Aikaterini Detoraki, Daniela Pacella, Francesca Della Casa, Felicia De Rosa, Antonio Romano, Amato de Paulis, and Francesca Wanda Rossi. 2022. "Predictive Response to Immunotherapy Score: A Useful Tool for Identifying Eligible Patients for Allergen Immunotherapy" Biomedicines 10, no. 5: 971. https://doi.org/10.3390/biomedicines10050971
APA StyleMormile, I., Granata, F., Detoraki, A., Pacella, D., Della Casa, F., De Rosa, F., Romano, A., de Paulis, A., & Rossi, F. W. (2022). Predictive Response to Immunotherapy Score: A Useful Tool for Identifying Eligible Patients for Allergen Immunotherapy. Biomedicines, 10(5), 971. https://doi.org/10.3390/biomedicines10050971
 
         
                                                



 
       