The Efficacy of a Metacognitive Training Program in Amnestic Mild Cognitive Impairment: A 6-Month Follow-Up Clinical Study
Abstract
1. Introduction
Aim and Hypotheses
2. Materials and Methods
2.1. Design
2.2. Participants
2.3. Procedure
2.4. Cognitive Measures
2.4.1. Wisconsin Card Sorting Test—64 Card Version (WCST-64)
2.4.2. Doors and People
2.5. Metacognitive Measures
2.5.1. Metacognitive Knowledge for Everyday Memory (MKEM)
2.5.2. Metacognitive Knowledge for Everyday Attention (MKEA)
2.5.3. Metacognitive Knowledge for Everyday Executive Functions (MKEEFs)
2.5.4. Multifactorial Memory Questionnaire—Strategies Subscale (MMQ)
2.6. Interventions
2.6.1. Metacognitive Training Program (MTP)
- “How easy was it for you to maintain your attention on the task at hand?”
- “Did you had any difficulties in maintaining your attention? If yes, what was it?”
- “Write down what you did in order to learn the story.”
- “Of the two strategies you used, which one was more effective?”
- “Think and describe other situations in which you could use the strategy that helped you the most. Provide 2 or 3 examples.”
2.6.2. Cognitive Exercises Program (CEP)
2.7. Statistical Analysis
2.8. Ethics
3. Results
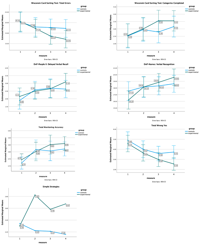
3.1. Effects of Metacognitive Training on Cognitive Performance
3.2. Effects of Metacognitive Training on Metacognitive Outcomes
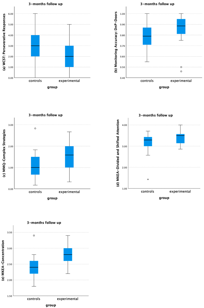
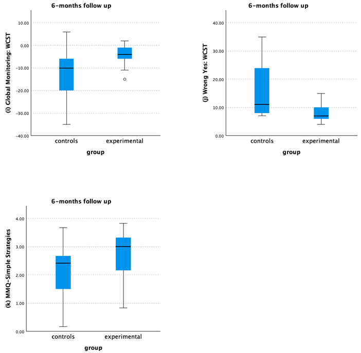
3.3. Group Differences at Each Time of Measurement after the Training Sessions
3.3.1. Post-Training
3.3.2. Three-Month Follow-Up
3.3.3. Six-Month Follow-Up
4. Discussion
5. Limitations
6. Conclusions
Author Contributions
Funding
Institutional Review Board Statement
Informed Consent Statement
Data Availability Statement
Conflicts of Interest
Appendix A

Appendix B

Appendix C



References
- Petersen, R.C. Mild cognitive impairment as a diagnostic entity. J. Intern. Med. 2004, 256, 183–194. [Google Scholar] [CrossRef]
- Gauthier, S.; Reisberg, B.; Zaudig, M.; Petersen, R.C.; Ritchie, K.; Broich, K.; Belleville, S.; Brodaty, H.; Bennett, D.; Chertkow, H.; et al. Mild cognitive impairment. Lancet 2006, 367, 1262–1270. [Google Scholar] [CrossRef]
- Petersen, R.C.; Caracciolo, B.; Brayne, C.; Gauthier, S.; Jelic, V.; Fratiglioni, L. Mild cognitive impairment: A concept in evolution. J. Intern. Med. 2014, 275, 214–228. [Google Scholar] [CrossRef]
- Monastero, R.; Mangialasche, F.; Camarda, C.; Ercolani, S.; Camarda, R. A Systematic Review of Neuropsychiatric Symptoms in Mild Cognitive Impairment. J. Alzheimer’s Dis. 2009, 18, 11–30. [Google Scholar] [CrossRef]
- Rickenbach, E.H.; Condeelis, K.L.; Haley, W.E. Daily stressors and emotional reactivity in individuals with mild cognitive impairment and cognitively healthy controls. Psychol. Aging 2015, 30, 420–431. [Google Scholar] [CrossRef]
- Butler, M.; McCreedy, E.; Nelson, V.A.; Desai, P.; Ratner, E.; Fink, H.A.; Hemmy, L.S.; McCarten, J.R.; Barclay, T.R.; Brasure, M.; et al. Does Cognitive Training Prevent Cognitive Decline?: A Systematic Review. Ann. Intern. Med. 2018, 168, 63. [Google Scholar] [CrossRef]
- Chandler, M.J.; Parks, A.C.; Marsiske, M.; Rotblatt, L.J.; Smith, G.E. Everyday Impact of Cognitive Interventions in Mild Cognitive Impairment: A Systematic Review and Meta-Analysis. Neuropsychol. Rev. 2016, 26, 225–251. [Google Scholar] [CrossRef]
- Salzman, T.; Sarquis-Adamson, Y.; Son, S.; Montero-Odasso, M.; Fraser, S. Associations of Multidomain Interventions With Improvements in Cognition in Mild Cognitive Impairment: A Systematic Review and Meta-analysis. JAMA Netw. Open 2022, 5, e226744. [Google Scholar] [CrossRef]
- Sherman, D.S.; Mauser, J.; Nuno, M.; Sherzai, D. The Efficacy of Cognitive Intervention in Mild Cognitive Impairment (MCI): A Meta-Analysis of Outcomes on Neuropsychological Measures. Neuropsychol. Rev. 2017, 27, 440–484. [Google Scholar] [CrossRef]
- Sherman, D.S.; Durbin, K.A.; Ross, D.M. Meta-Analysis of Memory-Focused Training and Multidomain Interventions in Mild Cognitive Impairment. J. Alzheimer’s Dis. 2020, 76, 399–421. [Google Scholar] [CrossRef]
- Zhang, H.; Huntley, J.; Bhome, R.; Holmes, B.; Cahill, J.; Gould, R.L.; Wang, H.; Yu, X.; Howard, R. Effect of computerised cognitive training on cognitive outcomes in mild cognitive impairment: A systematic review and meta-analysis. BMJ Open 2019, 9, e027062. [Google Scholar] [CrossRef]
- Zhong, D.; Chen, L.; Feng, Y.; Song, R.; Huang, L.; Liu, J.; Zhang, L. Effects of virtual reality cognitive training in individuals with mild cognitive impairment: A systematic review and meta-analysis. Int. J. Geriatr. Psychiatry 2021, 36, 1829–1847. [Google Scholar] [CrossRef]
- Bapka, V.; Bika, I.; Kavouras, C.; Savvidis, T.; Konstantinidis, E.; Bamidis, P.; Papantoniou, G.; Masoura, E.; Moraitou, D. Brain Plasticity in Older Adults: Could It Be Better Enhanced by Cognitive Training via an Adaptation of the Virtual Reality Platform FitForAll or via a Commercial Video Game? In Interactive Mobile Communication Technologies and Learning; Auer, M.E., Tsiatsos, T., Eds.; Springer International Publishing: Cham, Switzerland, 2018; Volume 725, pp. 728–742. [Google Scholar] [CrossRef]
- Flavell, J.H. Metacognition and cognitive monitoring: A new area of cognitive–developmental inquiry. Am. Psychol. 1979, 34, 906–911. [Google Scholar] [CrossRef]
- Efklides, A. Interactions of Metacognition With Motivation and Affect in Self-Regulated Learning: The MASRL Model. Educ. Psychol. 2011, 46, 6–25. [Google Scholar] [CrossRef]
- Schraw, G.; Moshman, D. Metacognitive Theories. Educ. Psychol. Rev. 1995, 7, 351–371. [Google Scholar] [CrossRef]
- Dunlosky, J.; Metcalfe, J. Metacognition; SAGE: Thousand Oaks, CA, USA, 2008. [Google Scholar]
- Efklides, A. Metacognition and affect: What can metacognitive experiences tell us about the learning process? Educ. Res. Rev. 2006, 1, 3–14. [Google Scholar] [CrossRef]
- Nelson, T. Metamemory: A theoretical framework and new findings. Psychol. Learn. Motiv. 1990, 26, 125–173. [Google Scholar] [CrossRef]
- Chudoba, L.A.; Schmitter-Edgecombe, M. Insight into Memory and Functional Abilities in Individuals with Amnestic Mild Cognitive Impairment. J. Clin. Exp. Neuropsychol. 2020, 42, 822–833. [Google Scholar] [CrossRef]
- Clare, L.; Whitaker, C.J.; Roberts, J.L.; Nelis, S.M.; Martyr, A.; Marková, I.S.; Roth, I.; Woods, R.T.; Morris, R.G. Memory Awareness Profiles Differentiate Mild Cognitive Impairment from Early-Stage Dementia: Evidence from Assessments of Performance Monitoring and Evaluative Judgement. Dement. Geriatr. Cogn. Disord. 2013, 35, 266–279. [Google Scholar] [CrossRef]
- Seelye, A.M.; Schmitter-Edgecombe, M.; Flores, J. Episodic memory predictions in persons with amnestic and nonamnestic mild cognitive impairment. J. Clin. Exp. Neuropsychol. 2010, 32, 433–441. [Google Scholar] [CrossRef]
- Anderson, J.W.; Schmitter-Edgecombe, M. Mild cognitive impairment and feeling-of-knowing in episodic memory. J. Clin. Exp. Neuropsychol. 2010, 32, 505–514. [Google Scholar] [CrossRef] [PubMed]
- Chi, S.Y.; Chua, E.F.; Kieschnick, D.W.; Rabin, L.A. Retrospective metamemory monitoring of semantic memory in community-dwelling older adults with subjective cognitive decline and mild cognitive impairment. Neuropsychol. Rehabil. 2022, 32, 429–463. [Google Scholar] [CrossRef] [PubMed]
- Perrotin, A.; Belleville, S.; Isingrini, M. Metamemory monitoring in mild cognitive impairment: Evidence of a less accurate episodic feeling-of-knowing. Neuropsychologia 2007, 45, 2811–2826. [Google Scholar] [CrossRef] [PubMed]
- Ryals, A.J.; O’Neil, J.T.; Mesulam, M.-M.; Weintraub, S.; Voss, J.L. Memory awareness disruptions in amnestic mild cognitive impairment: Comparison of multiple awareness types for verbal and visuospatial material. Aging Neuropsychol. Cogn. 2019, 26, 577–598. [Google Scholar] [CrossRef] [PubMed]
- Bampa, G.; Moraitou, D.; Metallidou, P.; Masoura, E.; Mintziviri, M.; Paparis, K.; Tsourou, D.; Papantoniou, G.; Sofologi, M.; Papaliagkas, V.; et al. Metacognitive Differences in Amnestic Mild Cognitive Impairment and Healthy Cognition: A Cross-Sectional Study Employing Online Measures. J. Intell. 2023, 11, 184. [Google Scholar] [CrossRef] [PubMed]
- Yu, R.L.; Wu, R.M. Mild cognitive impairment in patients with Parkinson’s disease: An updated mini-review and future outlook. Front. Aging Neurosci. 2022, 14, 943438. [Google Scholar] [CrossRef]
- Beaudoin, M. Memory performance in older adults: Experimental evidence for the indirect effect of memory self-efficacy on processing efficiency through worry. Motiv. Emot. 2018, 42, 885–895. [Google Scholar] [CrossRef]
- Cherry, K.E.; Lyon, B.A.; Boudreaux, E.O.; Blanchard, A.B.; Hicks, J.L.; Elliott, E.M.; Myers, L.; Kim, S.; Jazwinski, S.M. Memory Self-Efficacy and Beliefs about Memory and Aging in Oldest-Old Adults in the Louisiana Healthy Aging Study (LHAS). Exp. Aging Res. 2019, 45, 28–40. [Google Scholar] [CrossRef]
- Farias, S.T.; Schmitter-Edgecombe, M.; Weakley, A.; Harvey, D.; Denny, K.G.; Barba, C.; Gravano, J.T.; Giovannetti, T.; Willis, S. Compensation Strategies in Older Adults: Association With Cognition and Everyday Function. Am. J. Alzheimer’s Dis. Other Dement. 2018, 33, 184–191. [Google Scholar] [CrossRef]
- Froger, C.; Sacher, M.; Gaudouen, M.-S.; Isingrini, M.; Taconnat, L. Metamemory judgments and study time allocation in young and older adults: Dissociative effects of a generation task. Can. J. Exp. Psychol./Rev. Can. Psychol. Expérimentale 2011, 65, 269–276. [Google Scholar] [CrossRef]
- Hertzog, C.; Price, J.; Dunlosky, J. Age differences in the effects of experimenter-instructed versus self-generated strategy use. Exp. Aging Res. 2012, 38, 42–62. [Google Scholar] [CrossRef]
- Bampa, G.; Moraitou, D.; Metallidou, P.; Masoura, E.; Papantoniou, G.; Sofologi, M.; Kougioumtzis, G.; Papatzikis, E.; Tsolaki, M. Metacognitive Beliefs of Efficacy about Daily Life Situations and Use of Cognitive Strategies in Amnestic Mild Cognitive Impairment: A Cross-Sectional Study. Front. Psychol. 2024, 15, 1275678. [Google Scholar] [CrossRef] [PubMed]
- Bailey, H.; Dunlosky, J.; Hertzog, C. Metacognitive training at home: Does it improve older adults’ learning? Gerontology 2010, 56, 414–420. [Google Scholar] [CrossRef] [PubMed][Green Version]
- Bottiroli, S.; Cavallini, E.; Dunlosky, J.; Vecchi, T.; Hertzog, C. The importance of training strategy adaptation: A learner-oriented approach for improving older adults’ memory and transfer. J. Exp. Psychol. Appl. 2013, 19, 205–218. [Google Scholar] [CrossRef] [PubMed]
- Bottiroli, S.; Cavallini, E.; Dunlosky, J.; Vecchi, T.; Hertzog, C. Self-guided strategy-adaption training for older adults: Transfer effects to everyday tasks. Arch. Gerontol. Geriatr. 2017, 72, 91–98. [Google Scholar] [CrossRef]
- Hertzog, C.; Dunlosky, J. Metacognition in Later Adulthood: Spared Monitoring Can Benefit Older Adults’ Self-regulation. Curr. Dir. Psychol. Sci. 2011, 20, 167–173. [Google Scholar] [CrossRef] [PubMed]
- Hertzog, C.; Pearman, A.; Lustig, E.; Hughes, M. Fostering Self-Management of Everyday Memory in Older Adults: A New Intervention Approach. Front. Psychol. 2021, 11, 560056. [Google Scholar] [CrossRef] [PubMed]
- Bampa, G.; Moraitou, D.; Metallidou, P. Metacognition in cognitive rehabilitation in adults: A systematic review. In Trends and Prospects in Metacognition Research across the Life Span: A Tribute to Anastasia Efklides; Springer: Cham, Switzerland, 2021. [Google Scholar] [CrossRef]
- Bandura, A. Self-efficacy: Toward a unifying theory of behavioral change. Psychol. Rev. 1977, 84, 191–215. [Google Scholar] [CrossRef]
- McDougall, G.J.; Becker, H.; Pituch, K.; Acee, T.W.; Vaughan, P.W.; Delville, C.L. The SeniorWISE Study: Improving Everyday Memory in Older Adults. Arch. Psychiatr. Nurs. 2010, 24, 291–306. [Google Scholar] [CrossRef]
- Wiegand, M.A.; Troyer, A.K.; Gojmerac, C.; Murphy, K.J. Facilitating change in health-related behaviors and intentions: A randomized controlled trial of a multidimensional memory program for older adults. Aging Ment. Health 2013, 17, 806–815. [Google Scholar] [CrossRef]
- Sella, E.; Carbone, E.; Vincenzi, M.; Toffalini, E.; Borella, E. Efficacy of memory training interventions targeting metacognition for older adults: A systematic review and meta-analysis. Aging Ment. Health 2023, 27, 674–694. [Google Scholar] [CrossRef] [PubMed]
- Moro, V.; Condoleo, M.T.; Valbusa, V.; Broggio, E.; Moretto, G.; Gambina, G. Cognitive stimulation of executive functions in mild cognitive impairment: Specific efficacy and impact in memory. Am. J. Alzheimer’s Dis. Other Dement. 2015, 30, 153–164. [Google Scholar] [CrossRef] [PubMed]
- Youn, J.-H.; Park, S.; Lee, J.-Y.; Cho, S.-J.; Kim, J.; Ryu, S.-H. Cognitive Improvement in Older Adults with Mild Cognitive Impairment: Evidence from a Multi-Strategic Metamemory Training. J. Clin. Med. 2020, 9, 362. [Google Scholar] [CrossRef] [PubMed]
- Faul, F.; Erdfelder, E.; Lang, A.-G.; Buchner, A. G*Power 3: A flexible statistical power analysis program for the social, behavioral, and biomedical sciences. Behav. Res. Methods 2007, 39, 175–191. [Google Scholar] [CrossRef]
- American Psychiatric Association. Diagnostic and Statistical Manual of Mental Disorders, 5th ed.; American Psychiatric Association: Arlington, TX, USA, 2013. [Google Scholar] [CrossRef]
- Fountoulakis, K.N.; Tsolaki, M.; Iacovides, A.; Yesavage, J.; O’Hara, R.; Kazis, A.; Ierodiakonou, C. The validation of the short form of the Geriatric Depression Scale (GDS) in Greece. Aging Clin. Exp. Res. 1999, 11, 367–372. [Google Scholar] [CrossRef] [PubMed]
- Yesavage, J.A.; Brink, T.L.; Rose, T.L.; Lum, O.; Huang, V.; Adey, M.; Leirer, V.O. Development and validation of a geriatric depression screening scale: A preliminary report. J. Psychiatr. Res. 1982, 17, 37–49. [Google Scholar] [CrossRef] [PubMed]
- Beck, A.T. An Inventory for Measuring Depression. Arch. Gen. Psychiatry 1961, 4, 561–571. [Google Scholar] [CrossRef] [PubMed]
- Beck, A.T.; Epstein, N.; Brown, G.; Steer, R.A. An inventory for measuring clinical anxiety: Psychometric properties. J. Consult. Clin. Psychol. 1988, 56, 893–897. [Google Scholar] [CrossRef] [PubMed]
- Grammatikopoulos, I.A.; Sinoff, G.; Alegakis, A.; Kounalakis, D.; Antonopoulou, M.; Lionis, C. The Short Anxiety Screening Test in Greek: Translation and validation. Ann. Gen. Psychiatry 2010, 9, 1. [Google Scholar] [CrossRef]
- Sinoff, G.; Liora, O.; Zlotogorsky, D.; Tamir, A. Short Anxiety Screening Test–a brief instrument for detecting anxiety in the elderly. Int. J. Geriatr. Psychiatry 1999, 14, 1062–1071. [Google Scholar] [CrossRef]
- Cummings, J.L.; Mega, M.; Gray, K.; Rosenberg-Thompson, S.; Carusi, D.A.; Gornbein, J. The Neuropsychiatric Inventory: Comprehensive assessment of psychopathology in dementia. Neurology 1994, 44, 2308. [Google Scholar] [CrossRef]
- Politis, A.M.; Mayer, L.S.; Passa, M.; Maillis, A.; Lyketsos, C.G. Validity and reliablity of the newly translated Hellenic Neuropsychiatric Inventory (H-NPI) applied to Greek outpatients with Alzheimer’s disease: A study of disturbing behaviors among referrals to a memory clinic. Int. J. Geriatr. Psychiatry 2004, 19, 203–208. [Google Scholar] [CrossRef]
- Folstein, M.F.; Folstein, S.E.; McHugh, P.R. “Mini-mental state”. A practical method for grading the cognitive state of patients for the clinician. J. Psychiatr. Res. 1975, 12, 189–198. [Google Scholar] [CrossRef]
- Fountoulakis, K.N.; Tsolaki, M.; Chantzi, H.; Kazis, A. Mini Mental State Examination (MMSE): A validation study in Greece. Am. J. Alzheimer’s Dis. Other Dement. 2000, 15, 342–345. [Google Scholar] [CrossRef]
- Nasreddine, Z.S.; Phillips, N.A.; Bédirian, V.; Charbonneau, S.; Whitehead, V.; Collin, I.; Cummings, J.L.; Chertkow, H. The Montreal Cognitive Assessment, MoCA: A brief screening tool for mild cognitive impairment. J. Am. Geriatr. Soc. 2005, 53, 695–699. [Google Scholar] [CrossRef]
- Poptsi, E.; Moraitou, D.; Eleftheriou, M.; Kounti-Zafeiropoulou, F.; Papasozomenou, C.; Agogiatou, C.; Bakoglidou, E.; Batsila, G.; Liapi, D.; Markou, N.; et al. Normative Data for the Montreal Cognitive Assessment in Greek Older Adults With Subjective Cognitive Decline, Mild Cognitive Impairment and Dementia. J. Geriatr. Psychiatry Neurol. 2019, 32, 265–274. [Google Scholar] [CrossRef]
- Kounti, F.; Tsolaki, M.; Kiosseoglou, G. Functional cognitive assessment scale (FUCAS): A new scale to assess executive cognitive function in daily life activities in patients with dementia and mild cognitive impairment. Hum. Psychopharmacol. 2006, 21, 305–311. [Google Scholar] [CrossRef]
- Tsolaki, M.; Poptsi, E.; Aggogiatou, C.; Markou, N.; Zafeiropoulos, S. Computer-Based Cognitive Training Versus Paper and Pencil Training: Which is more Effective? A Randomized Controlled Trial in People with Mild Cognitive Impairment. JSM Alzheimer’s Dis. Relat. Dement. 2017, 4, 1032. [Google Scholar]
- Reisberg, B.; Ferris, S.H.; Leon, M.J.D.; Crook, T. The Global Deterioration Scale for assessment of primary degenerative dementia. Am. J. Psychiatry 1982, 139, 1136–1139. [Google Scholar] [CrossRef]
- Winblad, B.; Palmer, K.; Kivipelto, M.; Jelic, V.; Fratiglioni, L.; Wahlund, L.O.; Nordberg, A.; Bäckman, L.; Albert, M.; Almkvist, O.; et al. Mild cognitive impairment—Beyond controversies, towards a consensus: Report of the International Working Group on Mild Cognitive Impairment. J. Intern. Med. 2004, 256, 240–246. [Google Scholar] [CrossRef]
- Kongs, S.K.; Thompson, L.L.; Iverson, G.L.; Heaton, R.K. Wisconsin Card Sorting Test-, 64 Card Version: WCST-64; PAR: Lutz, FL, USA, 2000. [Google Scholar]
- Berg, E.A. A Simple Objective Technique for Measuring Flexibility in Thinking. J. Gen. Psychol. 1948, 39, 15–22. [Google Scholar] [CrossRef] [PubMed]
- Grant, D.A.; Berg, E. A behavioral analysis of degree of reinforcement and ease of shifting to new responses in a Weigl-type card-sorting problem. J. Exp. Psychol. 1948, 38, 404–411. [Google Scholar] [CrossRef]
- Axelrod, B.N.; Goldman, R.S.; Woodard, J.L. Interrater reliability in scoring the Wisconsin card sorting test. Clin. Neuropsychol. 1992, 6, 143–155. [Google Scholar] [CrossRef] [PubMed]
- Chiu, E.-C.; Lee, S.-C. Test–retest reliability of the Wisconsin Card Sorting Test in people with schizophrenia. Disabil. Rehabil. 2021, 43, 996–1000. [Google Scholar] [CrossRef] [PubMed]
- Greve, K.W.; Love, J.M.; Sherwin, E.; Mathias, C.W.; Ramzinski, P.; Levy, J. Wisconsin Card Sorting Test in chronic severe traumatic brain injury: Factor structure and performance subgroups. Brain Inj. 2002, 16, 29–40. [Google Scholar] [CrossRef]
- Nyhus, E.; Barceló, F. The Wisconsin Card Sorting Test and the cognitive assessment of prefrontal executive functions: A critical update. Brain Cogn. 2009, 71, 437–451. [Google Scholar] [CrossRef] [PubMed]
- Miyake, A.; Friedman, N.P.; Emerson, M.J.; Witzki, A.H.; Howerter, A.; Wager, T.D. The unity and diversity of executive functions and their contributions to complex “Frontal Lobe” tasks: A latent variable analysis. Cogn. Psychol. 2000, 41, 49–100. [Google Scholar] [CrossRef]
- Axelrod, B.N. Are Normative Data From the 64-Card Version of the WCST Comparable to the Full WCST? Clin. Neuropsychol. 2002, 16, 7–11. [Google Scholar] [CrossRef] [PubMed]
- Robert, K.H.; Chelune, C.; Talley, J.; Gary, G.K.; Curtiss, G. Wisconsin Card Sorting Test Manual—Revised and Expanded; Psychological Assessment Resources: Odessa, FL, USA, 1993. [Google Scholar]
- Baddeley, A.D.; Emslie, H.; Nimmo-Smith, I. Doors and People: A Test of Visual and Verbal Recall and Recognition; [Manual]; Thames Valley Test Company: Bury-St-Edmunds, UK, 1994. [Google Scholar]
- Arabatzi, X.; Masoura, E. Episodic Memory and Norms’ Development for the Battery “Doors and People” in the Greek Population. Master’s Thesis, Aristotle University of Thessaloniki, Thessaloniki, Greece, 2012. [Google Scholar]
- Hess, R.S. Book Review: Doors and People: A Test of Visual and Verbal Recall and Recognition. J. Psychoeduc. Assess. 1999, 17, 175–180. [Google Scholar] [CrossRef]
- Koren, D.; Seidman, L.J.; Poyurovsky, M.; Goldsmith, M.; Viksman, P.; Zichel, S.; Klein, E. The neuropsychological basis of insight in first-episode schizophrenia: A pilot metacognitive study. Schizophr. Res. 2004, 70, 195–202. [Google Scholar] [CrossRef]
- Koriat, A.; Goldsmith, M. Monitoring and Control Processes in the Strategic Regulation of Memory Accuracy. Psychol. Rev. 1996, 103, 490–517. [Google Scholar] [CrossRef] [PubMed]
- Bampa, G.; Kouroglou, D.; Metallidou, P.; Tsolaki, M.; Kougioumtzis, G.; Papantoniou, G.; Sofologi, M.; Moraitou, D. Metacognitive Scales: Assessing Metacognitive Knowledge in Older Adults Using Everyday Life Scenarios. Diagnostics 2022, 12, 2410. [Google Scholar] [CrossRef] [PubMed]
- Troyer, A.K.; Rich, J.B. Psychometric Properties of a New Metamemory Questionnaire for Older Adults. J. Gerontol. Ser. B Psychol. Sci. Soc. Sci. 2002, 57, P19–P27. [Google Scholar] [CrossRef] [PubMed]
- Moro, V.; Condoleo, M.T.; Sala, F.; Pernigo, S.; Moretto, G.; Gambina, G. Cognitive stimulation in a-MCI: An experimental study. Am. J. Alzheimer’s Dis. Other Dement. 2012, 27, 121–130. [Google Scholar] [CrossRef]
- Lim, M.H.X.; Liu, K.P.Y.; Cheung, G.S.F.; Kuo, M.C.C.; Li, R.; Tong, C.-Y. Effectiveness of a Multifaceted Cognitive Training Programme for People with Mild Cognitive Impairment: A One-Group Pre- and Posttest Design. Hong Kong J. Occup. Ther. 2012, 22, 3–8. [Google Scholar] [CrossRef]
- Vrani, A.; Špani, A.M.; Carretti, B.; Borella, E. The efficacy of a multifactorial memory training in older adults living in residential care settings. Int. Psychogeriatr. C Int. Psychogeriatr. Assoc. 2013, 25, 1885–1897. [Google Scholar] [CrossRef] [PubMed]
- Vranic, A.; Martincevic, M.; Borella, E. Mental imagery training in older adults: Which are benefits and individual predictors? Int. J. Geriatr. Psychiatry 2021, 36, 334–341. [Google Scholar] [CrossRef] [PubMed]
- Wenisch, E.; Cantegreil-Kallen, I.; De Rotrou, J.; Garrigue, P.; Moulin, F.; Batouche, F.; Richard, A.; De Sant’Anna, M.; Rigaud, A.S. Cognitive stimulation intervention for elders with mild cognitive impairment compared with normal aged subjects: Preliminary results. Aging Clin. Exp. Res. 2007, 19, 316–322. [Google Scholar] [CrossRef]
- Corbo, I.; Casagrande, M. Higher-Level Executive Functions in Healthy Elderly and Mild Cognitive Impairment: A Systematic Review. J. Clin. Med. 2022, 11, 1204. [Google Scholar] [CrossRef]
- Gonçalves, A.P.B.; Tarrasconi, M.A.; Holz, M.R.; Kochhann, R.; Fonseca, R.P. Cognitive flexibility and inhibition in single-versus multiple-domain mild cognitive impairment: A comparative and discriminative analysis. Psychol. Neurosci. 2019, 12, 209–223. [Google Scholar] [CrossRef]
- Rattanavichit, Y.; Chaikeeree, N.; Boonsinsukh, R.; Kitiyanant, K. The age differences and effect of mild cognitive impairment on perceptual-motor and executive functions. Front. Psychol. 2022, 13, 906898. [Google Scholar] [CrossRef]
- Fernandez-Duque, D.; Baird, J.A.; Posner, M.I. Executive Attention and Metacognitive Regulation. Conscious. Cogn. 2000, 9, 288–307. [Google Scholar] [CrossRef]
- Pennequin, V. Metacognition and Flexibility: What are the Theoretical Links and What Links have been Observed? In Cognitive Flexibility: The Cornerstone of Learning, 1st ed.; Wiley: Hoboken, NJ, USA, 2022. [Google Scholar] [CrossRef]
- McGillivray, S.; Castel, A.D. Older and Younger Adults’ Strategic Control of Metacognitive Monitoring: The Role of Consequences, Task Experience and Prior Knowledge. Exp. Aging Res. 2017, 43, 233–256. [Google Scholar] [CrossRef]
- Siegel, A.L.M.; Castel, A.D. Age-related differences in metacognition for memory capacity and selectivity. Memory 2019, 27, 1236–1249. [Google Scholar] [CrossRef]
- Fleur, D.S.; Bredeweg, B.; Bos, W. van den Metacognition: Ideas and insights from neuro- and educational sciences. Npj Sci. Learn. 2021, 6, 13. [Google Scholar] [CrossRef]
- Chen, Z.-C.; Liu, S.; Gan, J.; Ma, L.; Du, X.; Zhu, H.; Han, J.; Xu, J.; Wu, H.; Fei, M.; et al. The Impact of the COVID-19 Pandemic and Lockdown on Mild Cognitive Impairment, Alzheimer’s Disease and Dementia With Lewy Bodies in China: A 1-Year Follow-Up Study. Front. Psychiatry 2021, 12, 711658. [Google Scholar] [CrossRef]
- Ingram, J.; Hand, C.J.; Maciejewski, G. Social isolation during COVID-19 lockdown impairs cognitive function. Appl. Cogn. Psychol. 2021, 35, 935–947. [Google Scholar] [CrossRef]
- Yeung, M.K.; Chau, A.K.; Chiu, J.Y.; Shek, J.T.; Leung, J.P.; Wong, T.C. Differential and subtype-specific neuroimaging abnormalities in amnestic and nonamnestic mild cognitive impairment: A systematic review and meta-analysis. Ageing Res. Rev. 2022, 80, 101675. [Google Scholar] [CrossRef]
- Hammers, D.; Ramirez, G.; Persad, C.; Heidebrink, J.; Barbas, N.; Giordani, B. Diagnostic Profiles of Patients Differentially Failing Executive Functioning Measures. Am. J. Alzheimer’s Dis. Other Dement. 2016, 31, 214–222. [Google Scholar] [CrossRef]






| Session | Content | Homework |
|---|---|---|
| Introduction | The aim of the metacognitive training program (MTP). Introduction to cognitive functions. An exploration of their basic domains. Discussion on factors that affect cognitive functions. The importance of understanding these processes. | To answer the following questions:
|
| Memory I | Introduction to memory function and subsystems: Memory stages; Short-term memory; Long-term memory. | A set of exercises with lists to learn. Immediate recall and delayed recall. Instructions for self-testing. Answering questions such as giving a brief description of the techniques used to learn the required material or suggesting what could have been performed differently to enhance performance. |
| Memory II | Memory subsystems II: Episodic and autobiographical memory; Prospective memory; Semantic memory; Procedural memory. | A set of exercises with different types of material to learn (story, lists, numbers) including immediate and delayed recall. Instructions for self-testing. Answering to questions such as giving a brief description of the techniques used to learn the required material or suggesting what could have been performed differently to enhance performance. |
| Attention | Divisions of attention: Selective attention; Sustained attention; Divided attention; Shifted attention. Stress and attention | A set of exercises targeting the different dimensions of attention that mirror real-world situations. Responding to questions about the perceived level of difficulty encountered during the exercise’s completion, and if any difficulties were faced, what those challenges were. |
| Executive Functions | Executive functions and their role in everyday life. Aspects of executive functions: Decision-making and inhibition; Problem-solving and flexible thinking; Planning. | A set of exercises targeting the planning of daily activities and problem-solving tasks that mirror real-world situations. Responding to questions about the perceived level of difficulty encountered during the exercise’s completion, and if any difficulties were faced, what those challenges were. |
| Aging | Aspects of aging: cognitive, social, physical, and psychological. Positive and negative consequences. Mild cognitive impairment: myths and truths. | A small essay based on 3 questions:
|
| Cognitive Strategies: Introduction | Introduction to different types of cognitive strategies: external and internal. Understanding the significance of using cognitive strategies. Showcase and training on strategies: categorization, verbal and visual association, story creation, and mental imagery. | The provision of diverse exercises to practice cognitive strategies, covering different types of information: lists of words or pictures, stories, a program of daily activities, or numbers. Encouragement to use any chosen strategy from the presented options, with the stipulation that each strategy should be used at least once. An evaluation of the effectiveness of the implemented strategies. Encouragement to consider alternate daily situations where each strategy could be effectively applied. The distribution of a “strategy-diary” for participants to record when and what strategy they applied in their daily life during the week. |
| Cognitive Strategies I | Q&A about cognitive strategies and the related homework. Further practice. | |
| Cognitive Strategies II | Q&A about cognitive strategies and the related homework. Further practice. | |
| Cognitive Strategies: Closing | Q&A about cognitive strategies and the related homework. Further practice. Overall discussion and encouragement to keep using cognitive strategies. |
| EG a (n = 22) | CG b (n = 23) | |||||
|---|---|---|---|---|---|---|
| Mean | SD c | Mean | SD | F | p d | |
| Demographics | ||||||
| Age | 63.27 | 5.62 | 62.30 | 6.88 | 0.266 | n.s. e |
| Education | 13.59 | 3.76 | 12.65 | 3.14 | 0.828 | n.s. |
| Gender (f/m) | 14/8 | 16/7 | χ2 | n.s. | ||
| Mean Difference | Standard Error | Sig. | 95% Confidence Interval for Difference | ||||
|---|---|---|---|---|---|---|---|
| Lower Bound | Upper Bound | ||||||
| WCST: a Total Correct | Pre-training | Post-training | −2.60 | 1.61 | n.s. b | −7.09 | 1.89 |
| 3m follow-up | −4.40 | 1.50 | n.s. | −8.57 | −0.23 | ||
| 6m follow-up | −5.23 | 1.49 | 0.01 | −9.38 | −1.08 | ||
| WCST: Total Errors | Pre-training | Post-training | 2.76 | 1.62 | n.s. | −1.76 | 7.27 |
| 3m follow-up | 4.71 | 1.52 | n.s. | 0.48 | 8.95 | ||
| 6m follow-up | 5.67 | 1.49 | 0.00 | 1.53 | 9.82 | ||
| WCST: Non-Perseverative Errors | Pre-training | Post-training | 3.04 | 1.17 | n.s. | −0.23 | 6.31 |
| 3m follow-up | 4.36 | 1.15 | 0.00 | 1.17 | 7.55 | ||
| 6m follow-up | 5.91 | 1.09 | 0.00 | 2.89 | 8.94 | ||
| WCST: Categories | Pre-training | Post-training | −0.44 | 0.25 | n.s. | −1.14 | 0.27 |
| 3m follow-up | −0.63 | 0.27 | n.s. | −1.37 | 0.11 | ||
| 6m follow-up | −0.82 | 0.26 | 0.02 | −1.53 | −0.10 | ||
| DnP c—People: Immediate Verbal Recall | Pre-training | Post-training | −3.81 | 1.00 | 0.00 | −6.60 | −1.02 |
| 3m follow-up | −6.20 | 1.04 | 0.00 | −9.10 | −3.30 | ||
| 6m follow-up | −6.20 | 0.99 | 0.00 | −8.95 | −3.45 | ||
| DnP—Figures: Immediate Visual Recall | Pre-training | Post-training | −1.61 | 0.53 | 0.02 | −3.08 | −0.15 |
| 3m follow-up | −1.82 | 0.56 | 0.01 | −3.39 | −0.26 | ||
| 6m follow-up | −2.24 | 0.74 | 0.03 | −4.32 | −0.17 | ||
| DnP—Doors: Visual Recognition | Pre-training | Post-training | −1.81 | 0.37 | 0.00 | −2.83 | −0.78 |
| 3m follow-up | −2.57 | 0.36 | 0.00 | −3.58 | −1.56 | ||
| 6m follow-up | −2.93 | 0.43 | 0.00 | −4.11 | −1.74 | ||
| DnP—Names: Verbal Recognition | Pre-training | Post-training | −1.29 | 0.51 | n.s. | −2.72 | 0.14 |
| 3m follow-up | −1.72 | 0.51 | 0.01 | −3.15 | −0.29 | ||
| 6m follow-up | −2.25 | 0.44 | 0.00 | −3.48 | −1.03 | ||
| DnP—People: Delayed Verbal Recall | Pre-training | Post-training | −0.52 | 0.19 | n.s. | −1.05 | 0.02 |
| 3m follow-up | −0.65 | 0.17 | 0.00 | −1.13 | −0.16 | ||
| 6m follow-up | −0.84 | 0.20 | 0.00 | −1.40 | −0.29 | ||
| Monitoring Accuracy | Pre-training | Post-training | −0.08 | 0.02 | 0.01 | −0.14 | −0.01 |
| 3m follow-up | −0.10 | 0.02 | 0.00 | −0.15 | −0.05 | ||
| 6m follow-up | −0.11 | 0.02 | 0.00 | −0.15 | −0.06 | ||
| Global Monitoring | Pre-training | Post-training | −0.70 | 0.37 | n.s. | −1.73 | 0.34 |
| 3m follow-up | −1.37 | 0.38 | 0.01 | −2.43 | −0.31 | ||
| 6m follow-up | −1.34 | 0.35 | 0.00 | −2.31 | −0.36 | ||
| Wrong Yes | Pre-training | Post-training | 0.91 | 0.28 | 0.01 | 0.13 | 1.69 |
| 3m follow-up | 1.45 | 0.23 | 0.00 | 0.81 | 2.09 | ||
| 6m follow-up | 1.60 | 0.27 | 0.00 | 0.84 | 2.37 | ||
| Feeling of Confidence | Pre-training | Post-training | −0.25 | 0.05 | 0.00 | −0.38 | −0.11 |
| 3m follow-up | −0.28 | 0.04 | 0.00 | −0.39 | −0.16 | ||
| 6m follow-up | −0.31 | 0.05 | 0.00 | −0.43 | −0.18 | ||
| MMQ d: Complex Strategies | Pre-training | Post-training | −0.53 | 0.13 | 0.00 | −0.89 | −0.17 |
| 3m follow-up | −0.45 | 0.10 | 0.00 | −0.72 | −0.17 | ||
| 6m follow-up | −0.49 | 0.11 | 0.00 | −0.78 | −0.19 | ||
| Outcome | Group EG a (n = 22) vs. CG b (n = 21) | Mean Rank | χ2 | p-Value |
|---|---|---|---|---|
| WCST c: Perseverative Responses | Experimental Group | 26 | 4.33 | 0.038 |
| Control Group | 18.18 | |||
| Monitoring Accuracy: DnP d—Doors | Experimental Group | 25.93 | 4.43 | 0.035 |
| Control Group | 17.88 | |||
| MMQ e—Complex Strategies | Experimental Group | 26.61 | 6.12 | 0.013 |
| Control Group | 17.17 | |||
| MKEA f: Divided and Shifted Attention | Experimental Group | 26.84 | 6.85 | 0.009 |
| Control Group | 16.93 | |||
| MKEA: Concentration | Experimental Group | 26.66 | 6.36 | 0.012 |
| Control Group | 17.12 |
| Outcome | Group EG a (n = 21) vs. CG b (n = 22) | Mean Rank | χ2 | p-Value |
|---|---|---|---|---|
| WCST c: Total Correct | Experimental Group | 27.21 | 7.19 | 0.007 |
| Control Group | 17.02 | |||
| WCST: Perseverative Errors | Experimental Group | 16.62 | 7.69 | 0.006 |
| Control Group | 27.14 | |||
| WCST: Perseverative Responses | Experimental Group | 15.76 | 10.75 | 0.001 |
| Control Group | 27.95 | |||
| DnP d—Figures I: Immediate Visual Recall | Experimental Group | 25.48 | 4.05 | 0.044 |
| Control Group | 18.68 | |||
| Overall Monitoring Accuracy | Experimental Group | 26.33 | 4.89 | 0.027 |
| Control Group | 17.86 | |||
| Overall Global Monitoring | Experimental Group | 27.33 | 7.42 | 0.006 |
| Control Group | 16.91 | |||
| Overall Wrong Yes | Experimental Group | 27.82 | 9.70 | 0.002 |
| Control Group | 15.90 | |||
| Monitoring Accuracy: WCST | Experimental Group | 28.50 | 11.05 | <0.001 |
| Control Group | 15.80 | |||
| Global Monitoring: WCST | Experimental Group | 27.90 | 9.12 | 0.003 |
| Control Group | 16.36 | |||
| Wrong Yes: WCST | Experimental Group | 15.38 | 11.59 | <0.001 |
| Control Group | 28.32 | |||
| MMQ e—Simple Strategies | Experimental Group | 25.95 | 4.10 | 0.043 |
| Control Group | 18.23 |
Disclaimer/Publisher’s Note: The statements, opinions and data contained in all publications are solely those of the individual author(s) and contributor(s) and not of MDPI and/or the editor(s). MDPI and/or the editor(s) disclaim responsibility for any injury to people or property resulting from any ideas, methods, instructions or products referred to in the content. |
© 2024 by the authors. Licensee MDPI, Basel, Switzerland. This article is an open access article distributed under the terms and conditions of the Creative Commons Attribution (CC BY) license (https://creativecommons.org/licenses/by/4.0/).
Share and Cite
Bampa, G.; Moraitou, D.; Metallidou, P.; Masoura, E.; Papantoniou, G.; Sofologi, M.; Kougioumtzis, G.A.; Tsolaki, M. The Efficacy of a Metacognitive Training Program in Amnestic Mild Cognitive Impairment: A 6-Month Follow-Up Clinical Study. Healthcare 2024, 12, 1019. https://doi.org/10.3390/healthcare12101019
Bampa G, Moraitou D, Metallidou P, Masoura E, Papantoniou G, Sofologi M, Kougioumtzis GA, Tsolaki M. The Efficacy of a Metacognitive Training Program in Amnestic Mild Cognitive Impairment: A 6-Month Follow-Up Clinical Study. Healthcare. 2024; 12(10):1019. https://doi.org/10.3390/healthcare12101019
Chicago/Turabian StyleBampa, Grigoria, Despina Moraitou, Panagiota Metallidou, Elvira Masoura, Georgia Papantoniou, Maria Sofologi, Georgios A. Kougioumtzis, and Magdalini Tsolaki. 2024. "The Efficacy of a Metacognitive Training Program in Amnestic Mild Cognitive Impairment: A 6-Month Follow-Up Clinical Study" Healthcare 12, no. 10: 1019. https://doi.org/10.3390/healthcare12101019
APA StyleBampa, G., Moraitou, D., Metallidou, P., Masoura, E., Papantoniou, G., Sofologi, M., Kougioumtzis, G. A., & Tsolaki, M. (2024). The Efficacy of a Metacognitive Training Program in Amnestic Mild Cognitive Impairment: A 6-Month Follow-Up Clinical Study. Healthcare, 12(10), 1019. https://doi.org/10.3390/healthcare12101019

