Abstract
Background: Small-sided games (SSGs) are drill-based and constrained exercises designed to promote a technical/tactical and physiological/physical stimulus on players while preserving some dynamics of the real game. However, as a dynamic game, they can offer some variability making the prediction of the stimulus hardest for the coach. Aim: The purpose of this study was to analyze the between-session and within-player variability of heart rates and locomotor responses of young male soccer players in 3v3 and 5v5 small-sided game formats. Methods: This study followed a repeated-measures study design. Twenty soccer players were enrolled in a study design in which the SSG formats 3v3 and 5v5 were performed consecutively across four days. Twenty under-17 male youth soccer players (16.8 ± 0.4 years old) voluntarily participated in this study. Participants were monitored using a Polar Team Pro for measuring the heart rate mean and maximum, distances covered at different speed thresholds, and peak speed. Results: Between-players variability revealed that maximum heart rate was the outcome with a smaller coefficient of variation (3v3 format: 3.1% to 11.1%; 5v5 format: 6.6% to 15.2%), while the distance covered at Z5 (3v3 format: 82.5% to 289.8%; 5v5 format: 94.0% to 221.1%). The repeated measures ANOVA revealed that the four games tested were different in the within-player variability considering the maximum heart rate (p = 0.032), total distance (p < 0.001), and distances at zone 1, 2, and 5 of speed (p < 0.001). Conclusions: The smaller small-sided game tested promotes greater within-player variability in locomotor demands while promoting smaller within-player variability heart rate responses. Possibly, 5v5 is more recommended to stabilize the locomotor demands, while the 3v3 is recommended to stabilize the heart rate stimulus.
1. Introduction
Small-sided games (SSGs) are a widespread form of soccer practice given their capability to simulate both physical and technical–tactical demands at least in part similar to those required in official matches [1,2,3]. In the context of youth soccer, SSGs have been used for various purposes including training prescription, monitoring/testing, and possible talent detection [4,5,6]. However, aside from a number of additional strengths (e.g., exercise specificity and player buy-in), potentially undesired variability may be among the prominent pitfalls of SSGs, particularly when a training program aims to reach specific intensities (i.e., individualisation) and progress across the time. Otherwise, it may be an important advantage of such a tool since offering unpredictable stimuli generally benefits technical and tactical development [7,8]. As a consequence, it is clear that there is a need to know the level of variability promoted by distinct SSGs formats [9] before applying them in order to attempt to match the delivered stimuli with the coaches’ intentions.
Two common manners to check the consistency/inconsistency of SSG responses consist in determining their within- and between-session variability, and looking for capturing the possible day and seasonal oscillations through repeated measures, respectively. Importantly, the SSG variability data obtained in senior standards cannot be extrapolated to teenagers owing to the discrepancies previously detected [10,11]. This implies that the body of knowledge in this research area, notably in the former, i.e., more than half of existing studies (for a systematic review, see [8]), may not always apply to developing players. In addition to age, the time of day has some impact on young players’ performance based on the assumption that a single age group may encompass players with distinct chronotype profiles [12]. Although previous studies controlled such variables when testing within- or between-session variability of SSGs in youth soccer (e.g., performed testing at the same time across different days [13,14,15,16]), it remains questionable whether these may be representative for whole samples. As such, it is still necessary to gather information about SSG variability considering distinct periods of the day.
Research conducted on soccer players [15] indicates that either 2v2 or 4v4 SSGs are reproducible in under-19 (mean aged 16.3 years) players on a day-to-day and between-day basis whilst increases in game format tended to decrease control over the SSG intensity. In a follow-up study, contrasting results were reported for the same population and a similar experimental approach with no such evident influence of game format on the physiological variability of SSGs across time was used [9].
It is recognized that combining data collection and analysis of player effort, skill outputs, and psychological aspects (e.g., respectively, heart rate responses, ball handling, and enjoyment) is important in promoting a holistic approach to understanding SSGs [14,17,18,19]. While preliminary studies are available as aforementioned, with no consensus regarding SSG format effects on the variability of physiological parameters [9,15], the examination of additional features of SSGs such as technical–tactical and individual engagement is lacking in assessing its within- and between-session variability considering youth soccer athletes in particular [8]. It is particularly important to control the within- and between-player variability since the stimulus and volume of the demands imposed can propitiate asymmetries in the dose provided to each player which may expose players to under or over-stimulus. A consistent under- or over-exposure to training load may enhance the risk of bad adaptations or ultimately increase the risk of injury. Understanding within and between players’ variability in typical drills used in soccer training (as the SSGs) may help coaches to understand how to manage the implementation of SSGs and adjust them based on the players’ needs. Therefore, the present study aimed to investigate the within/between-session variability of physiological and locomotor responses during small-sided games (3v3 and 5v5) in young male soccer players.
2. Materials and Methods
2.1. Experimental Approach to the Problem
This study followed a repeated-measures study design. Twenty soccer players were enrolled in a study design in which the SSGs formats 3v3 and 5v5 were performed consecutively across four days (Table 1). The study was performed early in the season, two weeks after the beginning of the season. The study occurred after 24-h of rest (regarding the latest match), and was performed in the following environmental conditions: 3v3, day 1, (time period: 17:00 h; temperature:17 °C; relative humidity: 65%); 3v3, day 2, (time period: 17:00 h; temperature: 15 °C; relative humidity: 65%); 3v3, day 3, (time period: 17:00 h; temperature: 18 °C; relative humidity: 50%); 3v3, day 4, (time period: 17:00 h; temperature: 19 °C; relative humidity: 48%); 5v5, day 1, (time period: 17:00 h; temperature: 21 °C; relative humidity: 65%); 5v5, day 2, (time period: 17:00 h; temperature: 16 °C; relative humidity: 53%); 5v5, day 3, (time period: 17:00 h; temperature: 18 °C; relative humidity: 65%); 5v5, day 4, (time period: 17:00 h; temperature: 20 °C; relative humidity: 55%).
Table 1.
Study design.
2.2. Participants
Participants were enrolled based on convenience sampling. The sample size was calculated a priori in G*power (version 3.1.9.6.). For a power of 0.80 and an effect size of 0.5 (medium), the recommended total sample was 21. From the initial recruitment of twenty-four players, twenty male youth soccer players (16.8 ± 0.4 years old; 6.4 ± 0.7 years of experience; 167.9 ± 3.4 cm of stature; 65.4 ± 6.4 kg of body mass) belonging to the same team competing in the regional/national level voluntarily participated in this study. Four players from the initial twenty-four were excluded due to them being goalkeepers (n = 3) and missed one assessment (n = 1). The players were typically involved in five training sessions per week, plus one official match. Each training session lasted about 90 min. The eligibility criteria for being enrolled in the study were: (i) an outfield player; (ii) not injured in the last month before the experimental data collection and not present any signals or reports of injury or illness on the days of data collection; (iii) did not miss any of the data collection moments or repetitions performed; and (iv) did not take any drugs or energy drinks or changed any of their daily dietary routines.
2.3. Physical Fitness Assessment
The participants were preliminarily analyzed for their final locomotor profile. In the week before starting the observation, they were tested for the maximal sprint speed in a 30-m sprint test and for their ability to perform repeated efforts in the 30–15 Intermittent Fitness test. The data collection was preceded by a 24-h rest and occurred in the afternoon (5 pm). The players performed a standardized warm-up protocol (FIFA 11+). After that, they rested for 3 min and started the 30-m sprint speed assessment. They started with a split position (using the preferred leg in front), and the peak speed was assessed using a Polar Team Pro GPS (10 hz, Polar, Kempele, Finland) which was confirmed for the validity and reliability to estimate their peak speed in the previous study. After performing two trials of the 30-m sprint (interspaced by 5 min rest), they recovered for 3 min and followed the 30–15 Intermittent Fitness tests. The original protocol was implemented, and the final velocity completed was registered as the main outcome. For the case of maximal sprint speed, the best speed in the two trials was considered the main outcome.
2.4. Small-Sided Games
The formats 3v3 and 5v5 without a goalkeeper were implemented based on the characteristics presented in Table 1. Players were grouped into teams by their coaches. The same teams faced the same opponents at all times (bouts and different days) aiming to minimize the contextual variation influence. All the formats were preceded by the FIFA11+ warm-up protocol [20]. Four balls were positioned around the pitches aiming to quickly replace the ball in case of going out of boundaries. No verbal encouragement was conceded during the games.
2.5. Heart Rate (HR) and Locomotor Demands
The heart rate and locomotor demands were monitored using the Polar Team Pro (Polar, Finland) which is confirmed for its reliability to measure the demands analyzed [21,22]. The sensor was positioned in the center of the chest while using a band. Each player always used the same unit in order to avoid inter-unit variability. The following measures were obtained per game: minimum heart rate (HRmin); average heart rate (HRmean); peak heart rate (HRpeak); peak speed; average speed; distance covered per minute; distance covered at zone 1 (Z1: 3.00 to 6.99 km/h) per minute; distance covered at zone 2 (Z2: 7.00 to 10.99 km/h) per minute; distance covered at zone 3 (Z3: 11.00 to 14.99 km/h) per minute; distance covered at zone 4 (Z4: 15.00 to 18.99 km/h) per minute; distance covered at zone 5 (Z5: >19.00 km/h) per minute.
2.6. Statistical Procedures
The descriptive statistics were presented in form of mean and standard deviation. The coefficient of variation (expressed as a percentage) was calculated to analyze within-player variability (variability of the player across different days for the same condition) and between-player variability (heterogeneity of the responses for a specific game and condition). The normality of the sample was not verified in all the measures; however, since the data were greater than 30, we have assumed normality by the Central Limit Theorem. A repeated measures ANOVA was performed to compare the within-players variability obtained in each game (format and pitch dimension). Moreover, for each format of play and pitch dimension, a repeated measures ANOVA was tested (aiming to analyze between training-days variation). Partial eta squared was used to calculate the effect size. Bonferroni was used as a post hoc test in the pairwise comparisons. The statistical procedures were executed in the SPSS (version 28.0.0.0, IBM, Chicago, IL, USA) for a p < 0.05.
3. Results
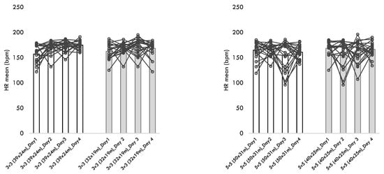
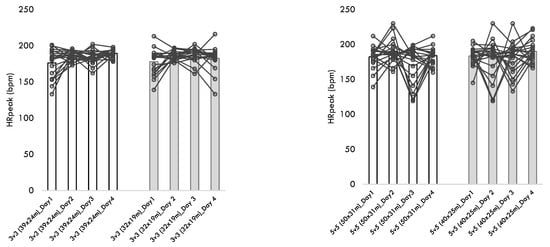
The physical fitness assessment revealed that players presented a maximal speed sprint of 28.7 ± 2.8 km/h and a final velocity in the 30–15 Intermittent Fitness test of 15.2 ± 1.3 km/h. Descriptive statistics of between-training sessions variability can be found in Table 2 for 3v3 and Table 3 for 5v5 formats. While the maximum heart rate presented in the smaller coefficient of variation in 3v3 played at 39 × 24 m (3.2% to 11.1%) and 32 × 19 m (3.1% to 8.9%), the distance covered at Z5 presented the greater coefficient of variation in 3v3 played at 39 × 24 m (82.5% to 289.8%) and 32 × 19 m (91.1% to 195.7%).
Table 2.
Between-session variability (CV%) in the 3v3 format.
Table 3.
Between-session variability (CV%) in 5v5 format.
Similarly, the maximum heart rate presented a smaller coefficient of variation in 5v5 played at 50 × 31 m (6.6% to 16.9%) and 40 × 25 m (7.0% to 15.2%) and a greater coefficient of variation in distance covered at Z5 in 5v5 played at 50 × 31 m (103.7% to 221.1%) and 40 × 25 m (94.0% to 156.8%).
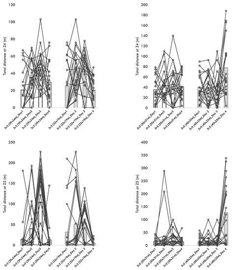
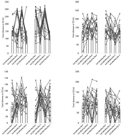
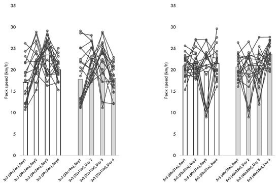
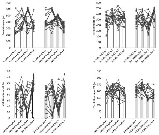
Table 4 presents the descriptive statistics of the within-player variability across the different training sessions performed for each format of play. Additionally, Figure 1, Figure 2, Figure 3, Figure 4 and Figure 5 present the within-player variability in a graphical representation. The repeated measures ANOVA tested the differences in coefficient of variation between formats and pitch dimensions. The repeated measures ANOVA revealed that the four games tested were different in the within-player variability considering the maximum heart rate (p = 0.032; = 0.172), the total distance (p < 0.001; = 0.441), the distance at Z1 (p < 0.001; = 0.745), the distance at Z2 (p < 0.001; = 0.444), and the distance at Z5 (p < 0.001; = 0.394). The 3v3 played at 39 × 24 m presented the greater CV% in total distance (34.8 ± 10.5), distance at Z1 (60.3 ± 13.8), the distance at Z2 (52.8 ± 14.0), and the distance at Z5 (170.5 ± 27.6). On the other hand, the 5v5 played at 50 × 31m presented a smaller CV% in the total distance (18.4 ± 8.4), the distance at Z1 (19.6 ± 10.1), the distance at Z2 (32.2 ± 13.5), and the distance at Z5 (113.7 ± 38.5).
Table 4.
Within-player variability (CV%) in both formats and pitch dimensions.

Figure 1.
Descriptive statistics of heart rate (HR) responses over the different formats, pitch dimensions, and days.
Figure 2.
Descriptive statistics of total distance and distance covered at Z1 over the different formats, pitch dimensions, and days.
Figure 3.
Descriptive statistics of distances covered at Z2 and Z3 over the different formats, pitch dimensions, and days.
Figure 4.
Descriptive statistics of distances covered at Z4 and Z5 over the different formats, pitch dimensions, and days.
Figure 5.
Descriptive statistics of peak speed over the different formats, pitch dimensions, and days.
The between-session analysis for each game was performed using a repeated measures ANOVA. In the case of format 3v3 played at 39 × 24 m (Table 5), significant differences were found between sessions on HRmean (p = 0.001; = 0.303), HRpeak (p = 0.023; = 0.189), total distance (p = 0.005; = 0.281), distances at Z1 (p = 0.001; = 0.422), Z2 (p = 0.007; = 0.255), Z4 (p = 0.006; = 0.196), Z5 (p = 0.002; = 0.324), and peak speed (p < 0.001; = 0.330). In the case of 3v3 played at 32 × 19 m (Table 5), significant differences were found between sessions on the total distance (p = 0.003; = 0.301), distances at Z1 (p = 0.007; = 0.259), Z2 (p = 0.001; = 0404), Z4 (p = 0.009; = 0.220), and peak speed (p = 0.037; = 0.180).
Table 5.
Descriptive statistics (mean and standard deviation) of heart rate and locomotor demands between sessions in regard to the 3v3 format.
The between-session analysis for each game was performed using a repeated measures ANOVA. In the case of format 5v5 played at 50 × 31 m (Table 6), no significant differences between sessions were found for any of the main outcomes. In the case of 5v5 played at 40 × 25 m (Table 6), significant differences were found between sessions on the total distance (p < 0.001; = 0.291), distances at Z1 (p < 0.001; = 0.377), Z4 (p = 0.008; = 0.225), Z5 (p < 0.001; = 0.438), and peak speed (p = 0.012; = 0.174).
Table 6.
Descriptive statistics (mean and standard deviation) of heart rate and locomotor demands between sessions in regard to the 5v5 format.
4. Discussion
The current research reveals that locomotor demands present greater between-session and within-player variability than heart rate responses. Additionally, it was found that 3v3 small-sided game formats promote smaller within-player variability in heart rate responses, yet promote greater locomotor demand variability than the 5v5 format.
One of the concerns in training prescription is projecting the dose for the players. The act of designing small-sided games is complex since many task constraints can be used in combination and some of them can contribute to changing behaviors that are naturally associated with variation in players’ responses [6]. In our study, we tried to identify how physiological and locomotor players’ responses can vary across four consecutive days for the same games. The within-player variability revealed that heart rate responses are more stable, and the coefficients of variation are, on average, between 6.0 and 11.9% for maximum and mean heart rate. These values are slightly higher than those reported by previous studies on the variability of heart rate responses in the same small-sided games [4,15,23], yet they confirm that physiological responses are relatively reproducible across the days and conditions. The games played no effect on the within-players variability in heart rate mean, although significant differences were found between games on the maximum heart rate. On average, the 3v3 varied between 6.0% and 6.5% of the coefficient of variation, while 5v5 games ranged from 10.3% to 10.4%. The fact that smaller formats of play induce smaller variability can be associated with the time of repetition (3 min) and the fact that, in the 3v3 format, the levels of participation were more equal [24]. Interestingly, this finding may help coaches in the training prescription, since 3v3 induces values closer to those necessary for developing aerobic power [1], and these stable values presented by players across sessions can help coaches to trust in the 3v3 format to induce a similar physiological stimulus while prescribing small-sided games for targeting aerobic power [25].
On the other hand, locomotor demands presented great levels of within-players variability. While the total distance covered presented coefficients of variation between 18% and 35% in the games tested, the distances covered by different speed thresholds revealed a progressive increase of within-player variability. The distance covered at running intensity Z5 was about 113% and 171% in the games tested. These values and tendencies are aligned with previous studies [26,27] which suggested that distances covered with higher intensities are the same with greater within-player variability. Considering that the small-sided games shared the dynamics of the game and are dependent on the tactical behaviors and contextual factors [28], it is expected that intensities can vary based on the moment and tactical dimension of the game [29]. Interestingly, it was observed that the 5v5 format presented a significantly smaller coefficient of variations for within-player variability (e.g., total distance covered, distances covered at Z1, Z2, and Z5) which suggests that possibly bigger formats of play may offer a more stable pattern of locomotor profile. This can be associated with the playing position which will be more structured in formats with a greater number of players as in 5v5. In the case of 3v3, the players will not have a specific position (or, at least, not so structured) which will increase the participation from game to game.
A descriptive observation allowed also us to identify the heterogeneity level in which the game (between players) was smaller in heart rate responses and greater in locomotor demands. Using small-sided games as the format of exercise for prescribing physical stimulus is challenging since the game is dynamic. The heterogeneity between players is expectable based on the dynamic of the game as well. Between-player variability varied from 3.2% to 11.1% in the worst case for the heart rate responses in the 3v3 games performed, while it varied from 7.0% to 19.7% in the 5v5 format. This means that 5v5 may induce a greater inter-player variability. This can be caused by the greater number of players participating in the game and by the fact that tactical positions assumed by the players may interact to explain these varieties in the physiological stimulus. However, greater variabilities occur in locomotor demands as in the case of distance covered at Z5 in 3v3 in which variabilities between players achieved 245% of the coefficient of variation, while in the 5v5, dropped to a maximum of 221.1%. Coaches must be attentive to this between-player variability since locomotor demands are commonly considered for the identification of neuromuscular stimuli. Considering that Z5 corresponds to the sprint zone, and keeping in mind that sprint is one of the most important neuromuscular stimuli for players, some players can suffer in small-sided games by under or over-stimulation.
4.1. Study Limitations
This study presents some limitations. The small sample included is one of the limitations that should be considered as a potential bias. Another limitation is convenience sampling. All the players were part of the same team, which should be faced as a bias for generalization of the evidence. Thus, any conclusion should not be observed as an irrefutable finding and requires more observations to be confirmed. Moreover, this study tested repeated measures on consecutive days which, in fact, can interfere with the way players respond day-by-day. However, this is also an issue for the practice in which specific formats are applied in different contextual scenarios. Another limitation is that some thresholds (heart rate, speed thresholds) are associated with physical fitness, which makes it harder to detect stable values. For example, speed thresholds are player-dependent which means that some thresholds (exempla as sprint) may not start at the same velocity for all. Future research should consider increasing the number of weeks observed (to have a real repeated measure considering the one-game format played on the same day of the week). Moreover, increases in the number of players will favor the generalization of the findings. Finally, other measures that can better describe the anaerobic contribution as blood lactate concentrations must be considered in future research to identify the influence of the most intense SSGs.
4.2. Practical Applications
The current research may provide some practical applications. In this case, the 3v3 format must be used by coaches for an aerobic power stimulus, since it seems to be more stable in terms of stress on heart rate. On the other hand, in the case of aiming to focus on locomotor demands, possibly adjusting the format for medium-sided games (as in 5v5) can be better, since the values are less variable across the sessions.
5. Conclusions
The current research suggests that within- and between-player variability occurs in small-sided games; however, they are associated with the formats and task constraints implemented. The results indicate that heart rate responses are less variable in 3v3 formats, while locomotor demands are less variable in 5v5 formats. Additionally, it is observed that between-player variability is smaller in heart rate responses than in locomotor demands. The results come from a small sample and convenience sampling. Thus, these results are context-dependent which should be faced as a limitation for the generalization of the findings. Future studies should be conducted to confirm or refute the evidence. The next studies must include more players to increase the sample size. Additionally, different teams and populations must be included for a more robust analysis. Finally, consideration for moderators and mediators such as training status, skill level, and moment of the season must be also included.
Author Contributions
Conceptualization, A.F.S., F.M.C. and Z.A.; methodology, F.M.C. and Z.A.; formal analysis, A.F.S. and F.M.C.; investigation, Z.A., M.Y. and S.B.; data curation, F.M.C.; writing—original draft preparation, A.F.S., F.T.G.-F., R.A., Z.A., L.P.V., H.N., M.Y., S.B., G.P. and F.M.C.; writing—review and editing, A.F.S., F.T.G.-F., R.A., Z.A., L.P.V., H.N., M.Y., S.B., G.P. and F.M.C.; supervision, F.M.C. All authors have read and agreed to the published version of the manuscript.
Funding
This research received no external funding.
Institutional Review Board Statement
The study was conducted in accordance with the Declaration of Helsinki and approved by the Institutional Review Board (or Ethics Committee) of Afyon Kocatepe University (protocol code AKU-2021/2).
Informed Consent Statement
Informed consent was obtained from all subjects involved in the study.
Conflicts of Interest
The authors declare no conflict of interest.
References
- Lacome, M.; Simpson, B.M.; Cholley, Y.; Lambert, P.; Buchheit, M. Small-Sided Games in Elite Soccer: Does One Size Fit All? Int. J. Sports Physiol. Perform. 2018, 13, 568–576. [Google Scholar] [CrossRef] [PubMed]
- Olthof, S.B.H.; Frencken, W.G.P.; Lemmink, K.A.P.M. A Match-Derived Relative Pitch Area Facilitates the Tactical Representativeness of Small-Sided Games for the Official Soccer Match. J. strength Cond. Res. 2019, 33, 523–530. [Google Scholar] [CrossRef] [PubMed] [Green Version]
- Riboli, A.; Esposito, F.; Coratella, G. Small-Sided Games in Elite Football: Practical Solutions to Replicate the 4-min Match-Derived Maximal Intensities. Available online: https://pubmed.ncbi.nlm.nih.gov/35333202/ (accessed on 1 June 2022).
- Aquino, R.; Melli-Neto, B.; Ferrari, J.V.S.; Bedo, B.L.S.; Vieira, L.H.P.; Santiago, P.R.P.; Gonçalves, L.G.C.; Oliveira, L.P.; Puggina, E.F. Validity and reliability of a 6-a-side small-sided game as an indicator of match-related physical performance in elite youth Brazilian soccer players. J. Sports Sci. 2019, 37, 2639–2644. [Google Scholar] [CrossRef] [PubMed]
- Bennett, K.J.M.; Novak, A.R.; Pluss, M.A.; Stevens, C.J.; Coutts, A.J.; Fransen, J. The use of small-sided games to assess skill proficiency in youth soccer players: A talent identification tool. Sci. Med. Footb. 2018, 2, 231–236. [Google Scholar] [CrossRef]
- Clemente, F.M.; Afonso, J.; Sarmento, H.; Manuel, F.; Id, C.; Clemente, F.M.; Afonso, J.; Sarmento, H. Small-sided games: An umbrella review of systematic reviews and meta-analyses. PLoS ONE 2021, 16, e0247067. [Google Scholar] [CrossRef]
- Clemente, F.M. The Threats of Small-Sided Soccer Games. Strength Cond. J. 2020, 42, 100–105. [Google Scholar] [CrossRef]
- Clemente, F.; Aquino, R.; Praça, G.M.; Rico-González, M.; Oliveira, R.; Filipa Silva, A.; Sarmento, H.; Afonso, J. Variability of internal and external loads and technical/tactical outcomes during small-sided soccer games: A systematic review. Biol. Sport 2022, 39, 647–672. [Google Scholar] [CrossRef]
- Hill-Haas, S.; Rowsell, G.; Coutts, A.; Dawson, B.; Rowsell, G.; Dawson, B. The Reproducibility of Physiological Responses and Performance Profiles of Youth Soccer Players in Small-Sided Games. Int. J. Sports Physiol. Perform. 2008, 3, 393–396. [Google Scholar] [CrossRef] [Green Version]
- Dellal, A.; Drust, B.; Lago-Penas, C. Variation of Activity Demands in Small-Sided Soccer Games. Int. J. Sports Med. 2012, 33, 370–375. [Google Scholar] [CrossRef]
- Köklü, Y.; Asçi, A.; Koçak, F.Ü.; Alemdaroglu, U.; Dündar, U.; Aşçi, A.; Koçak, F.Ü.; Alemdaroğlu, U.; Dündar, U. Comparison of the Physiological Responses to Different Small-Sided Games in Elite Young Soccer Players. J. Strength Cond. Res. 2011, 25, 1522–1528. [Google Scholar] [CrossRef] [Green Version]
- Palucci Vieira, L.H.; Lastella, M.; da Silva, J.P.; Cesário, T.; Santinelli, F.B.; Moretto, G.F.; Santiago, P.R.P.; Barbieri, F.A. Low sleep quality and morningness-eveningness scale score may impair ball placement but not kicking velocity in youth academy soccer players. Sci. Med. Footb. 2021, 1–11. [Google Scholar] [CrossRef]
- Bredt, S.d.G.T.; Praça, G.M.; Figueiredo, L.S.; Paula, L.V.d.; Silva, P.C.R.; Andrade, A.G.P.d.; Greco, P.J.; Chagas, M.H. Reliability of physical, physiological and tactical measures in small-sided soccer Games with numerical equality and numerical superiority. Brazilian J. Kinanthropometry Hum. Perform. 2016, 18, 602. [Google Scholar]
- Clemente, F.M.; Sarmento, H.; Costa, I.T.; Enes, A.R.; Lima, R. Variability of Technical Actions During Small-Sided Games in Young Soccer Players. J. Hum. Kinet. 2019, 69, 201–212. [Google Scholar] [CrossRef] [PubMed] [Green Version]
- Hill-Haas, S.; Coutts, A.; Rowsell, G.; Dawson, B. Variability of acute physiological responses and performance profiles of youth soccer players in small-sided games. J. Sci. Med. Sport 2008, 11, 487–490. [Google Scholar] [CrossRef] [PubMed]
- McLean, S.; Kerhervé, H.; Naughton, M.; Lovell, G.; Gorman, A.; Solomon, C. The Effect of Recovery Duration on Technical Proficiency during Small Sided Games of Football. Sports 2016, 4, 39. [Google Scholar] [CrossRef] [Green Version]
- Arcos, A.L.; Vázquez, J.S.; Martín, J.; Lerga, J.; Sánchez, F.; Villagra, F.; Zulueta, J.J. Effects of Small-Sided Games vs. Interval Training in Aerobic Fitness and Physical Enjoyment in Young Elite Soccer Players. PLoS ONE 2015, 10, e0137224. [Google Scholar] [CrossRef] [Green Version]
- Palucci Vieira, L.H.; Aquino, R.; Moura, F.A.; Barros, R.M.d.; Arpini, V.M.; Oliveira, L.P.; Bedo, B.L.; Santiago, P.R. Team Dynamics, Running, and Skill-Related Performances of Brazilian U11 to Professional Soccer Players During Official Matches. J. Strength Cond. Res. 2019, 33, 2202–2216. [Google Scholar] [CrossRef]
- Sanchez-Sanchez, J.; Hernández, D.; Casamichana, D.; Martínez-Salazar, C.; Ramirez-Campillo, R.; Sampaio, J. Heart Rate, Technical Performance, and Session-RPE in Elite Youth Soccer Small-Sided Games Played With Wildcard Players. J. Strength Cond. Res. 2017, 31, 2678–2685. [Google Scholar] [CrossRef]
- Bizzini, M.; Impellizzeri, F.M.; Dvorak, J.; Bortolan, L.; Schena, F.; Modena, R.; Junge, A. Physiological and performance responses to the “FIFA 11+” (part 1): Is it an appropriate warm-up? J. Sports Sci. 2013, 31, 1481–1490. [Google Scholar] [CrossRef]
- Akyildiz, Z.; Yildiz, M.; Clemente, F.M. The Reliability and Accuracy of Polar Team Pro GPS Units. Available online: https://journals.sagepub.com/doi/abs/10.1177/1754337120976660 (accessed on 1 June 2022).
- Sagiroglu, İ.; Akyildiz, Z.; Yildiz, M.; Clemente, F.M. Validity and Reliability of Polar Team Pro GPS Units for Assessing Maximum Sprint Speed in Soccer Players. Available online: https://journals.sagepub.com/doi/abs/10.1177/17543371211047224 (accessed on 1 June 2022).
- Stevens, T.G.A.; De Ruiter, C.J.; Beek, P.J.; Savelsbergh, G.J.P. Validity and reliability of 6-a-side small-sided game locomotor performance in assessing physical fitness in football players. J. Sports Sci. 2016, 34, 527–534. [Google Scholar] [CrossRef] [Green Version]
- Younesi, S.; Rabbani, A.; Clemente, F.M.; Sarmento, H.; Figueiredo, A.J. Session-to-session variations of internal load during different small-sided games: A study in professional soccer players. Res. Sport. Med. 2021, 29, 462–474. [Google Scholar] [CrossRef] [PubMed]
- Clemente, F.M.F.M.; Lourenço Martins, F.M.; Mendes, R.S.R.S.; Martins, F.M.; Mendes, R.S.R.S. Developing Aerobic and Anaerobic Fitness Using Small-Sided Soccer Games: Methodological Proposals. Strength Cond. J. 2014, 36, 76–87. [Google Scholar] [CrossRef] [Green Version]
- Younesi, S.; Rabbani, A.; Clemente, F.M.; Sarmento, H.; Figueiredo, A.J. Session-to-session variations in external load measures during small-sided games in professional soccer players. Biol. Sport 2021, 38, 185–193. [Google Scholar] [CrossRef] [PubMed]
- Clemente, F.M.; Chen, Y.-S.; Bezerra, P.; Guiomar, J.; Lima, R. Between-format differences and variability of technical actions during small-sided soccer games played by young players. Hum. Mov. 2018, 19, 114–120. [Google Scholar] [CrossRef]
- Clemente, F.M.; Afonso, J.; Castillo, D.; Arcos, A.L.; Silva, A.F.; Sarmento, H. The effects of small-sided soccer games on tactical behavior and collective dynamics: A systematic review. Chaos Solitons Fractals 2020, 134, 109710. [Google Scholar] [CrossRef]
- Paul, D.J.; Bradley, P.S.; Nassis, G.P. Factors Affecting Match Running Performance of Elite Soccer Players: Shedding Some Light on the Complexity. Int. J. Sports Physiol. Perform. 2015, 10, 516–519. [Google Scholar] [CrossRef] [Green Version]
Publisher’s Note: MDPI stays neutral with regard to jurisdictional claims in published maps and institutional affiliations. |
© 2022 by the authors. Licensee MDPI, Basel, Switzerland. This article is an open access article distributed under the terms and conditions of the Creative Commons Attribution (CC BY) license (https://creativecommons.org/licenses/by/4.0/).