Quantification of Pre-Season and In-Season Training Intensity across an Entire Competitive Season of Asian Professional Soccer Players
Abstract
1. Introduction
2. Materials and Methods
2.1. Experimental Approach to the Problem
2.2. Participants
2.3. Procedures
2.4. External Intensity Monitoring—Training Data
2.5. Internal Intensity Monitoring—Training Data
2.6. Statistical Analysis
3. Results
3.1. Day-to-Day Intensity Variations across the Four Ms
3.1.1. M1, Pre-Season
3.1.2. M2, Pre-Season
3.1.3. M3, In-Season
3.1.4. M4, In-Season
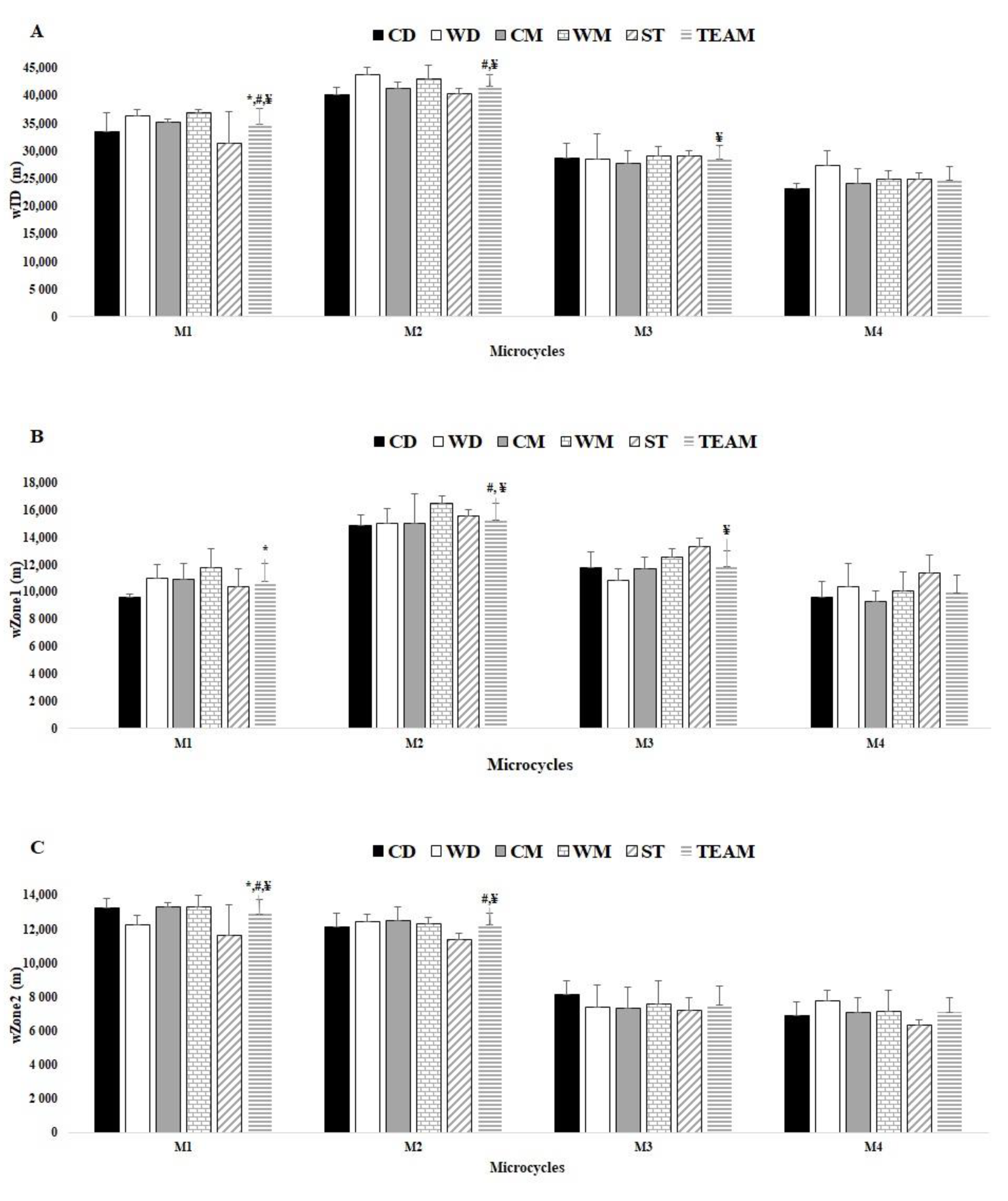
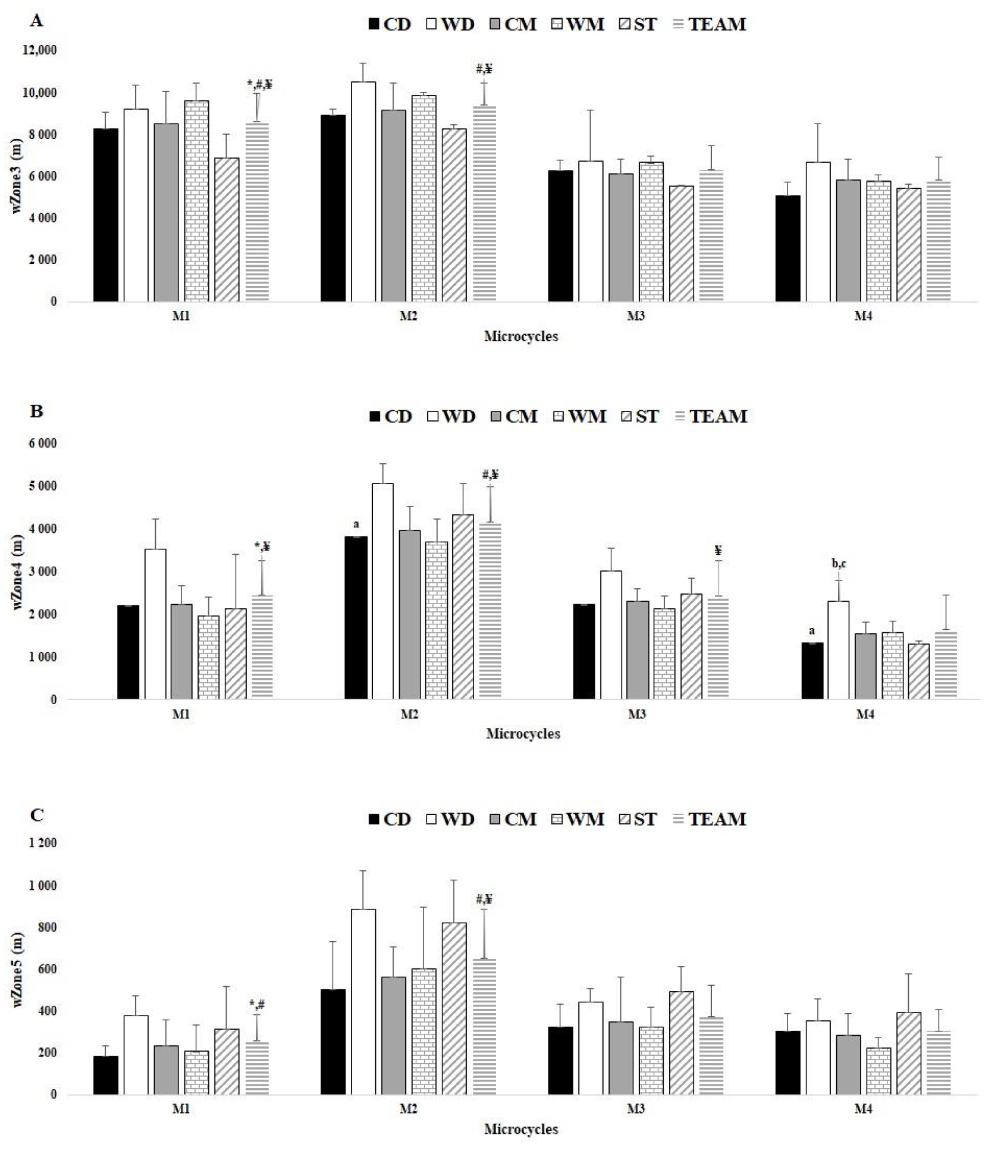
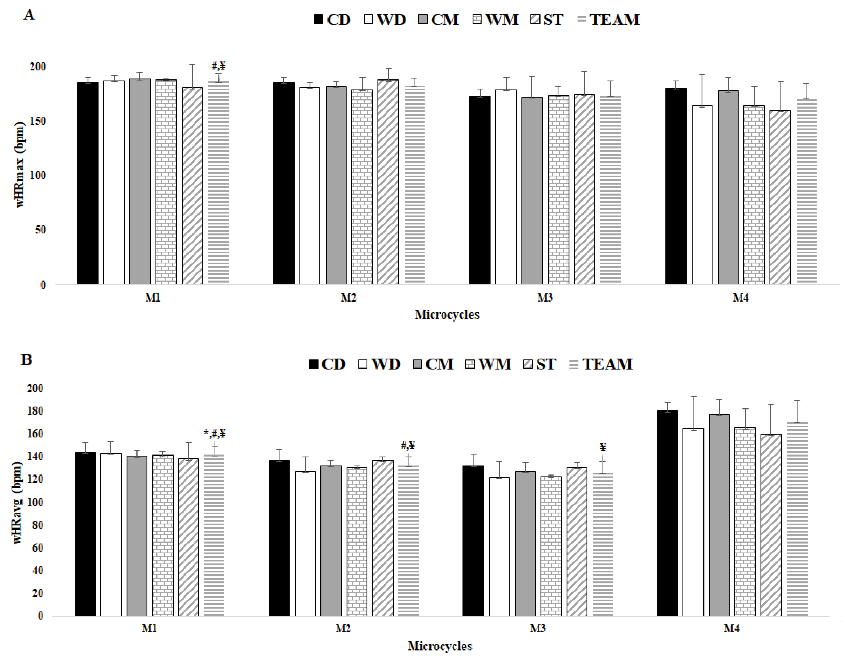
3.2. Comparisons between Ms
3.3. Comparisons between Player Positions
4. Discussion
4.1. Day-to-Day Intensity Variations across the Four Ms
4.2. Comparison between Ms
4.3. Comparisons between Player Positions
4.4. Practical Applications, Limitations and Considerations for Future Studies
5. Conclusions
Author Contributions
Funding
Institutional Review Board Statement
Informed Consent Statement
Data Availability Statement
Acknowledgments
Conflicts of Interest
References
- Carling, C.; Orhant, E.; Legall, F. Match Injuries in Professional Soccer: Inter-Seasonal Variation and Effects of Competition Type, Match Congestion and Positional Role. Int. J. Sports Med. 2010, 31, 271–276. [Google Scholar] [CrossRef] [PubMed]
- Clemente, F.M.; Couceiro, M.S.; Martins, F.M.L.; Ivanova, M.O.; Mendes, R. Activity Profiles of Soccer Players during the 2010 World Cup. J. Hum. Kinet. 2013, 38, 201–211. [Google Scholar] [CrossRef] [PubMed][Green Version]
- Aughey, R.J.; Varley, M.C. Acceleration Profiles in Elite Australian Soccer. Int. J. Sports Med. 2013, 34, 282. [Google Scholar] [CrossRef] [PubMed]
- Bradley, P.S.; Carling, C.; Gomez Diaz, A.; Hood, P.; Barnes, C.; Ade, J.; Boddy, M.; Krustrup, P.; Mohr, M. Match Performance and Physical Capacity of Players in the Top Three Competitive Standards of English Professional Soccer. Hum. Mov. Sci. 2013, 32, 808–821. [Google Scholar] [CrossRef]
- Mohr, M.; Krustrup, P.; Bangsbo, J. Match Performance of High-Standard Soccer Players with Special Reference to Development of Fatigue. J. Sports Sci. 2003, 21, 519–528. [Google Scholar] [CrossRef]
- Bradley, P.S.; Sheldon, W.; Wooster, B.; Olsen, P.; Boanas, P.; Krustrup, P. High-Intensity Running in English FA Premier League Soccer Matches. J. Sports Sci. 2009, 27, 159–168. [Google Scholar] [CrossRef]
- Coppalle, S.; Rave, G.; Ben Abderrahman, A.; Ali, A.; Salhi, I.; Zouita, S.; Zouita, A.; Brughelli, M.; Granacher, U.; Zouhal, H. Relationship of Pre-Season Training Load with in-Season Biochemical Markers, Injuries and Performance in Professional Soccer Players. Front. Physiol. 2019, 10, 409. [Google Scholar] [CrossRef]
- Borresen, J.; Ian Lambert, M. The Quantification of Training Load, the Training Response and the Effect on Performance. Sport. Med. 2009, 39, 779–795. [Google Scholar] [CrossRef]
- Gabbett, T.J.; Nassis, G.P.; Oetter, E.; Pretorius, J.; Johnston, N.; Medina, D.; Rodas, G.; Myslinski, T.; Howells, D.; Beard, A.; et al. The Athlete Monitoring Cycle: A Practical Guide to Interpreting and Applying Training Monitoring Data. Br. J. Sports Med. 2017, 51, 1451–1452. [Google Scholar] [CrossRef]
- Bangsbo, J.; Mohr, M.; Krustrup, P. Physical and Metabolic Demands of Training and Match-Play in the Elite Football Player. J. Sports Sci. 2006, 24, 665–674. [Google Scholar] [CrossRef]
- Impellizzeri, F.M.; Marcora, S.M.; Castagna, C.; Reilly, T.; Sassi, A.; Iaia, F.M.; Rampinini, E. Physiological and Performance Effects of Generic versus Specific Aerobic Training in Soccer Players. Int. J. Sports Med. 2006, 27, 483–492. [Google Scholar] [CrossRef] [PubMed]
- Jeong, T.S.; Reilly, T.; Morton, J.; Bae, S.W.; Drust, B. Quantification of the Physiological Loading of One Week of “Pre-Season” and One Week of “in-Season” Training in Professional Soccer Players. J. Sports Sci. 2011, 29, 1161–1166. [Google Scholar] [CrossRef] [PubMed]
- Goto, K.; Ishii, N.; Mizuno, A.; Takamatsu, K. Enhancement of Fat Metabolism by Repeated Bouts of Moderate Endurance Exercise. J. Appl. Physiol. 2007, 102, 2158–2164. [Google Scholar] [CrossRef] [PubMed]
- Staunton, C.A.; Abt, G.; Weaving, D.; Wundersitz, D.W.T. Misuse of the Term ‘Load’ in Sport and Exercise Science. J. Sci. Med. Sport 2021, 25, 439–444. [Google Scholar] [CrossRef]
- Vanrenterghem, J.; Nedergaard, N.J.; Robinson, M.A.; Drust, B. Training Load Monitoring in Team Sports: A Novel Framework Separating Physiological and Biomechanical Load-Adaptation Pathways. Sports Med. 2017, 47, 2135–2142. [Google Scholar] [CrossRef]
- Borg, G. Perceived Exertion as an Indicator of Somatic Stress. Scand. J. Rehabil. Med. 1970, 2, 92–98. [Google Scholar]
- Foster, C. Monitoring Training in Athletes with Reference to Overtraining Syndrome. Med. Sci. Sports Exerc. 1998, 30, 1164–1168. [Google Scholar] [CrossRef]
- Foster, C.; Hector, L.L.; Welsh, R.; Schrager, M.; Green, M.A.; Snyder, A.C. Effects of Specific versus Cross-Training on Running Performance. Eur. J. Appl. Physiol. Occup. Physiol. 1995, 70, 367–372. [Google Scholar] [CrossRef]
- Foster, C.; Florhaug, J.A.; Franklin, J.; Gottschall, L.; Hrovatin, L.A.; Praker, S.; Doleshal, P.; Dodge, C. A New Approach to Monitoring Exercise Training. J. Strength Cond. Res. 2001, 15, 109–115. [Google Scholar] [CrossRef]
- Impellizzeri, F.M.; Rampinini, E.; Coutts, A.J.; Sassi, A.; Marcora, S.M. Use of RPE-Based Training Load in Soccer. Med. Sci. Sports Exerc. 2004, 36, 1042–1047. [Google Scholar] [CrossRef]
- Akenhead, R.; Nassis, G.P. Training Load and Player Monitoring in High-Level Football: Current Practice and Perceptions. Int. J. Sports Physiol. Perform. 2016, 11, 587–593. [Google Scholar] [CrossRef] [PubMed]
- Oliveira, R.; Brito, J.; Martins, A.; Mendes, B.; Calvete, F.; Carriço, S.; Ferraz, R.; Marques, M.C. In-Season Training Load Quantification of One-, Two- and Three-Game Week Schedules in a Top European Professional Soccer Team. Physiol. Behav. 2019, 201, 146–156. [Google Scholar] [CrossRef] [PubMed]
- Los Arcos, A.; Mendez-Villanueva, A.; Martínez-Santos, R. In-Season Training Periodization of Professional Soccer Players. Biol. Sport 2017, 34, 149–155. [Google Scholar] [CrossRef] [PubMed]
- Martín-García, A.; Gómez Díaz, A.; Bradley, P.S.; Morera, F.; Casamichana, D. Quantification of a Professional Football Team’s External Load Using a Microcycle Structure. J. Strength Cond. Res. 2018, 32, 3511–3518. [Google Scholar] [CrossRef]
- Stevens, T.G.A.; de Ruiter, C.J.; Twisk, J.W.R.; Savelsbergh, G.J.P.; Beek, P.J. Quantification of In-Season Training Load Relative to Match Load in Professional Dutch Eredivisie Football Players. Sci. Med. Footb. 2017, 1, 117–125. [Google Scholar] [CrossRef]
- Malone, J.J.; Di Michele, R.; Morgans, R.; Burgess, D.; Morton, J.P.; Drust, B. Seasonal Training-Load Quantification in Elite English Premier League Soccer Players. Int. J. Sports Physiol. Perform. 2015, 10, 489–497. [Google Scholar] [CrossRef]
- Anderson, L.; Orme, P.; Di Michele, R.; Close, G.L.; Milsom, J.; Morgans, R.; Drust, B.; Morton, J.P. Quantification of Seasonal-Long Physical Load in Soccer Players with Different Starting Status from the English Premier League: Implications for Maintaining Squad Physical Fitness. Int. J. Sports Physiol. Perform. 2016, 11, 1038–1046. [Google Scholar] [CrossRef]
- Akenhead, R.; Harley, J.A.; Tweddle, S.P. Examining the External Training Load of an English Premier League Football Team with Special Reference to Acceleration. J. Strength Cond. Res. 2016, 30, 2424–2432. [Google Scholar] [CrossRef]
- Manzi, V.; Bovenzi, A.; Impellizzeri, M.F.; Carminati, I.; Castagna, C. Individual Training-Load and Aerobic-Fitness Variables in Premiership Soccer Players during the Precompetitive Season. J. Strength Cond. Res. 2013, 27, 631–636. [Google Scholar] [CrossRef]
- Malone, S.; Collins, K.; McRobert, A.; Doran, D. Quantifying the Training and Match-Play External and Internal Load of Elite Gaelic Football Players. Appl. Sci. 2021, 11, 1756. [Google Scholar] [CrossRef]
- Kelly, D.M.; Strudwick, A.J.; Atkinson, G.; Drust, B.; Gregson, W. Quantification of Training and Match-Load Distribution across a Season in Elite English Premier League Soccer Players. Sci. Med. Footb. 2020, 4, 59–67. [Google Scholar] [CrossRef]
- Owen, A.L.; Wong, D.P.; Newton, M.; Weldon, A.; Koundourakis, N.E. Quantification, Tapering and Positional Analysis of across 9-Weekly Microcycles in a Professional Chinese Super League Soccer Team. EC Orthop. 2020, 12, 39–56. [Google Scholar]
- Tessaro, E.; Williams, J.H. Validity and Reliability of a 15 Hz GPS Device for Court-Based Sports Movements. Sport. Perform. Sci. Reports 2018, 29, 1–4. [Google Scholar]
- Ispyrlidis, I.; Gourgoulis, V.; Mantzouranis, N.; Gioftsidou, A.; Athanailidis, I. Match and Training Loads of Professional Soccer Players in Relation to Their Tactical Position. J. Phys. Educ. Sport 2020, 20, 2269–2276. [Google Scholar] [CrossRef]
- Clemente, F.M.; Silva, R.; Chen, Y.S.; Aquino, R.; Praça, G.M.; Paulis, J.C.; Nobari, H.; Mendes, B.; Rosemann, T.; Knechtle, B. Accelerometry-Workload Indices Concerning Different Levels of Participation during Congested Fixture Periods in Professional Soccer: A Pilot Study Conducted over a Full Season. Int. J. Environ. Res. Public Health 2021, 18, 1137. [Google Scholar] [CrossRef]
- Nobari, H.; Oliveira, R.; Brito, J.P.; Pérez-gómez, J.; Clemente, F.M.; Ardigò, L.P. Comparison of Running Distance Variables and Body Load in Competitions Based on Their Results: A Full-season Study of Professional Soccer Players. Int. J. Environ. Res. Public Health 2021, 18, 2077. [Google Scholar] [CrossRef] [PubMed]
- Nobari, H.; Oliveira, R.; Clemente, F.M.; Adsuar, J.C.; Pérez-Gómez, J.; Carlos-Vivas, J.; Brito, J.P. Comparisons of Accelerometer Variables Training Monotony and Strain of Starters and Non-Starters: A Full-Season Study in Professional Soccer Players. Int. J. Environ. Res. Public Health 2020, 17, 6547. [Google Scholar] [CrossRef]
- Nobari, H.; Praça, G.M.; Clemente, F.M.; Pérez-Gómez, J.; Carlos Vivas, J.; Ahmadi, M. Comparisons of New Body Load and Metabolic Power Average Workload Indices between Starters and Non-Starters: A Full-Season Study in Professional Soccer Players. Proc. Inst. Mech. Eng. Part P J. Sport. Eng. Technol. 2020, 235, 105–113. [Google Scholar] [CrossRef]
- Hopkins, W.; Marshall, S.; Batterham, A.; Hanin, J. Progressive Statistics for Studies in Sports Medicine and Exercise Science. Med. Sci. Sport. Exerc. 2009, 4, 3. [Google Scholar] [CrossRef]
- Faul, F.; Erdfelder, E.; Lang, A.G.; Buchner, A. G*Power 3: A Flexible Statistical Power Analysis Program for the Social, Behavioral, and Biomedical Sciences. Behav. Res. Methods 2007, 39, 175–191. [Google Scholar] [CrossRef]
- Bangsbo, J. The Physiology of Soccer—With Special Reference to Intense Intermittent Exercise. Acta Physiol. Scand. Suppl. 1994, 619, 1–155. [Google Scholar] [PubMed]
- Owen, A.L.; Wong, D.P.; Dunlop, G.; Groussard, C.; Kebsi, W.; Dellal, A.; Morgans, R.; Zouhal, H. High-Intensity Training and Salivary Immunoglobulin a Responses in Professional Top-Level Soccer Players: Effect of Training Intensity. J. Strength Cond. Res. 2016, 30, 2460–2469. [Google Scholar] [CrossRef] [PubMed]
- Fessi, M.S.; Nouira, S.; Dellal, A.; Owen, A.; Elloumi, M.; Moalla, W. Changes of the Psychophysical State and Feeling of Wellness of Professional Soccer Players during Pre-Season and in-Season Periods. Res. Sport. Med. 2016, 24, 375–386. [Google Scholar] [CrossRef]
- Reilly, T.; Collins, K. Science and the Gaelic Sports: Gaelic Football and Hurling. Eur. J. Sport Sci. 2008, 8, 231–240. [Google Scholar] [CrossRef]
- Malone, S.; Roe, M.; Doran, D.A.; Gabbett, T.J.; Collins, K.D. Aerobic Fitness and Playing Experience Protect Against Spikes in Workload: The Role of the Acute:Chronic Workload Ratio on Injury Risk in Elite Gaelic Football. Int. J. 2017, 14, 156–162. [Google Scholar]
- Ritchie, D.; Hopkins, W.; Buchheit, M.; Cordy, J.; Bartlett, J. Quantification of Training and Competition Load Across a Season in an Elite Australian Football Club. Int. J. Sports Physiol. Perform. 2016, 11, 474–479. [Google Scholar] [CrossRef] [PubMed]
- Gabbett, T.J. The Training-Injury Prevention Paradox: Should Athletes Be Training Smarter and Harder? Br. J. Sports Med. 2016, 50, 273–280. [Google Scholar] [CrossRef]
- Abbott, W.; Brickley, G.; Smeeton, N.J. Physical Demands of Playing Position within English Premier League Academy Soccer. J. Hum. Sport Exerc. 2018, 13, 285–295. [Google Scholar] [CrossRef]
- Di Salvo, V.; Baron, R.; Tschan, H.; Calderon Montero, F.J.; Bachl, N.; Pigozzi, F. Performance Characteristics According to Playing Position in Elite Soccer. Int. J. Sports Med. 2007, 28, 222–227. [Google Scholar] [CrossRef]



| M1, Pre-Season | ||||||
| Day 1 | Day 2 | Day 3 | Day 4 | Day 5 | Day 6 | Day 7 |
| training sessions | day-off | |||||
| M2, Pre-Season | ||||||
| Day 1 | Day 2 | Day 3 | Day 4 | Day 5 | Day 6 | Day 7 |
| training sessions | day-off | |||||
| M3, In-Season | ||||||
| Day 1 | Day 2 | Day 3 | Day 4 | Day 5 | Day 6 | Day 7 |
| training sessions | match-day | |||||
| M4, In-Season | ||||||
| Day 1 | Day 2 | Day 3 | Day 4 | Day 5 | Day 6 | Day 7 |
| day-off | training sessions | match-day | ||||
| Periods | Day 1 | Day 2 | Day 3 | Day 4 | Day 5 | Day 6 | Day 7 |
|---|---|---|---|---|---|---|---|
| M1, pre-season | 83.3 ± 0.0 a,b,c,d | 76.6 ± 2.0 b,c,d | 93.7 ± 0.4 c,d | 95.3 ± 1.9 | 92.4 ± 1.0 | X | X |
| M2, pre-season | 70.8 ± 3.1 a,b,c,d,e | 98.9 ± 1.0 b,e | 107.2 ± 0.0 c,d,e | 98.7 ± 1.6 e | 100.9 ± 0.0 e | 110.3 ± 0.0 | X |
| M3, in-season | 78.6 ± 3.3 a,e | 97.6 ± 0.0 b,c,d,e | 80.4 ± 0.1 c,e | 73.4 ± 0.0 d,e | 80.8 ± 0.5 e | 60.5 ± 0.1 | MD |
| M4, in-season | X | 73.1 ± 5.9 b | 97.0 ± 0.0 e | 91.4 ± 2.9 e | 87.2 ± 0.9 e | 60.1 ± 0.0 | MD |
| M1, Pre-Season | Day 1 | Day 2 | Day 3 | Day 4 | Day 5 | Day 6 | Day 7 |
| Total Distance (m) | 6951.5 ± 143.8 a,b | 6000.1 ± 153.4 b,d | 8135.8 ± 196.8 c,d | 6422.4 ± 217.9 d | 7117.0 ± 191.5 | X | X |
| Zone1 (m) | 1671.8 ± 109.1 b,c,d | 1933.8 ± 104.4 c,d | 2233.1 ± 72.2 d | 2349.2 ± 63.0 | 2538.4 ± 66.0 | X | X |
| Zone2 (m) | 2600.1 ± 49.5 a,b | 2155.6 ± 89.8 b,d | 3174.4 ± 80.2 c,d | 2224.1 ± 116.0 | 2587.8 ± 66.0 | X | X |
| Zone3 (m) | 2131.2 ± 83.0 a,c,d | 1504.4 ± 79.6 b | 2041.3 ± 108.8 c,d | 1279.6 ± 60.8 d | 1530.5 ± 88.3 | X | X |
| Zone4 (m) | 519.4 ± 53.0 a | 359.8 ± 35.6 b,c | 619.9 ± 31.2 d | 524.1 ± 38.2 d | 384.9 ± 45.0 | X | X |
| Zone5 (m) | 29.1 ± 3.4 | 46.5 ± 7.1 | 67.2 ± 10.7 | 45.3 ± 5.1 | 75.4 ± 16.9 | X | X |
| HRmax (bpm) | 187 ± 2 | 184 ± 4 | 188 ± 2 | 186 ± 2 | 186 ± 3 | X | X |
| HRavg (bpm) | 145 ± 3 d | 141 ± 3 | 144 ± 1 d | 138 ± 2 | 139 ± 2 | X | X |
| M2, Pre-Season | Day 1 | Day 2 | Day 3 | Day 4 | Day 5 | Day 6 | Day 7 |
| Total Distance (m) | 5734.5 ± 216.4 b,d | 6807.0 ± 223.1 b,d | 8742.1 ± 136.2 c,e | 6215.3 ± 150.7 d | 8091.8 ± 250.6 e | 6133.6 ± 142.5 | X |
| Zone1 (m) | 1999.4 ± 80.3 a,b,d,e | 2608.2 ± 77.5 b,c | 2910.2 ± 63.6 c | 2285.6 ± 54.3 d,e | 2914.3 ± 105.2 | 2670.5 ± 91.3 | X |
| Zone2 (m) | 1650.2 ± 98.6 b,d | 1747.0 ± 61.3 b,c,d | 2665.3 ± 80.8 c,e | 2097.0 ± 72.6 e | 2330.6 ± 94.8 e | 1675.6 ± 36.4 | X |
| Zone3 (m) | 1143.9 ± 93.8 a,b,d | 1760.7 ± 91.3 b | 2097.0 ± 75.8 c,d,e | 1377.9 ± 75.1 | 1554.5 ± 65.9 | 1387.8 ± 67.9 | X |
| Zone4 (m) | 809.8 ± 86.1 c,d,e | 618.4 ± 37.1 b,c,d,e | 762.3 ± 44.6 c,d,e | 421.7 ± 34.4 d | 1201.9 ± 6.8 e | 358.9 ± 28.3 | X |
| Zone5 (m) | 131.1 ± 22.3 b,c,e | 72.8 ± 12.9 b | 307.2 ± 19.3 c,d,e | 30.1 ± 5.2 | 90.5 ± 21.7 | 40.7 ± 4.8 | X |
| HRmax (bpm) | 170 ± 9 | 188 ± 2 | 187 ± 2 | 176 ± 5 | 186 ± 2 e | 180 ± 2 | X |
| HRavg (bpm) | 128 ± 7 | 138 ± 3 c,e | 139 ± 3 c,e | 127 ± 3 | 135 ± 2 e | 124 ± 2 | X |
| M3, In-Season | Day 1 | Day 2 | Day 3 | Day 4 | Day 5 | Day 6 | Day 7 |
| Total Distance (m) | 4818.1 ± 370.9 b | 5488.8 ± 189.1 c,d,e | 6966.4 ± 415.3 c,d,e | 4019.6 ± 96.3 e | 3757.0 ± 174.7 | 3584.6 ± 60.0 | MD |
| Zone1 (m) | 1791.0 ± 129.0 a,b | 2394.5 ± 83.6 c,d,e | 2675.6 ± 140.8 c,d,e | 1750.3 ± 38.2 e | 1798.1 ± 126.4 | 1616.9 ± 35.9 | MD |
| Zone2 (m) | 1423.4 ± 178.0 | 1669.6 ± 91.4 c,d,e | 1583.6 ± 98.2 c,d,e | 904.6 ± 21.3 e | 892.3 ± 50.2 e | 1061.7 ± 20.5 | MD |
| Zone3 (m) | 1115.9 ± 142.6 b | 937.9 ± 78.7 b,e | 1953.5 ± 154.1 c,d,e | 942.1 ± 37.7 d,e | 682.6 ± 28.3 | 630.7 ± 31.4 | MD |
| Zone4 (m) | 405.3 ± 50.3 | 445.0 ± 25.8 b,c,d,e | 651.4 ± 74.3 c,d,e | 366.7 ± 28.5 e | 305.7 ± 22.6 | 249.0 ± 8.3 | MD |
| Zone5 (m) | 82.5 ± 14.1 e | 41.6 ± 9.2 b | 102.3 ± 13.4 c | 55.9 ± 10.4 | 78.4 ± 19.7 | 26.1 ± 3.3 | MD |
| HRmax (bpm) | 180 ± 3 e | 174 ± 5 | 179 ± 6 | 172 ± 4 | 189 ± 2 | 167 ± 5 | MD |
| HRavg (bpm) | 129 ± 4 | 125 ± 3 | 139 ± 6 | 126 ± 2 | 121 ± 2 | 124 ± 2 | MD |
| M4, In-Season | Day 1 | Day 2 | Day 3 | Day 4 | Day 5 | Day 6 | Day 7 |
| Total Distance (m) | X | 5739.9 ± 628.8 e | 4883.3 ± 96.2 c,d,e | 6768.5 ± 358.5 d,e | 3988.4 ± 150.7 | 3486.8 ± 56.8 | MD |
| Zone1 (m) | X | 2042.9 ± 245.8 | 2091.3 ± 85.1 e | 2424.9 ± 139.8 e | 2085.9 ± 63.5 e | 1509.6 ± 32.9 | MD |
| Zone2 (m) | X | 1867.4 ± 228.1 d,e | 1535.6 ± 23.4 d,e | 1821.0 ± 102.2 d,e | 792.4 ± 66.3 | 1027.8 ± 33.5 | MD |
| Zone3 (m) | X | 1299.7 ± 222.4 | 1043.8 ± 115.5 c,e | 1989.5 ± 153.2 d,e | 758.9 ± 47.7 | 661.2 ± 45.3 | MD |
| Zone4 (m) | X | 396.0 ± 26.8 b,e | 193.6 ± 17.6 c | 493.8 ± 53.6 d,e | 269.8 ± 26.3 | 249.9 ± 18.5 | MD |
| Zone5 (m) | X | 133.9 ± 11.4 c,d,e | 18.9 ± 3.3 d | 39.3 ± 5.2 | 81.3 ± 12.7 | 38.3 ± 13.3 | MD |
| HRmax (bpm) | X | 170 ± 6 | 166 ± 7 | 176 ± 5 | 170 ± 4 | 165 ± 8 | MD |
| HRavg (bpm) | X | 127 ± 4 | 120 ± 3 c | 133 ± 3 d | 119 ± 3 | 121 ± 5 | MD |
Publisher’s Note: MDPI stays neutral with regard to jurisdictional claims in published maps and institutional affiliations. |
© 2022 by the authors. Licensee MDPI, Basel, Switzerland. This article is an open access article distributed under the terms and conditions of the Creative Commons Attribution (CC BY) license (https://creativecommons.org/licenses/by/4.0/).
Share and Cite
Nobari, H.; Ramachandran, A.K.; Brito, J.P.; Oliveira, R. Quantification of Pre-Season and In-Season Training Intensity across an Entire Competitive Season of Asian Professional Soccer Players. Healthcare 2022, 10, 1367. https://doi.org/10.3390/healthcare10081367
Nobari H, Ramachandran AK, Brito JP, Oliveira R. Quantification of Pre-Season and In-Season Training Intensity across an Entire Competitive Season of Asian Professional Soccer Players. Healthcare. 2022; 10(8):1367. https://doi.org/10.3390/healthcare10081367
Chicago/Turabian StyleNobari, Hadi, Akhilesh Kumar Ramachandran, João Paulo Brito, and Rafael Oliveira. 2022. "Quantification of Pre-Season and In-Season Training Intensity across an Entire Competitive Season of Asian Professional Soccer Players" Healthcare 10, no. 8: 1367. https://doi.org/10.3390/healthcare10081367
APA StyleNobari, H., Ramachandran, A. K., Brito, J. P., & Oliveira, R. (2022). Quantification of Pre-Season and In-Season Training Intensity across an Entire Competitive Season of Asian Professional Soccer Players. Healthcare, 10(8), 1367. https://doi.org/10.3390/healthcare10081367

