A Novel Averaging Principle Provides Insights in the Impact of Intratumoral Heterogeneity on Tumor Progression
Abstract
1. Introduction
2. Biological Motivation
3. Mathematical Preliminaries
4. Preliminary Results
- 1.
- is Lipschitz with respect the first variable, uniformly on the second, namely there holdsfor each , for each , where the positive constant C does not depends on k.
- 2.
- F is also bounded, i.e.,
- 3.
- F is quasi-positive with respect to ρ, that is
- 4.
- Finally for each the asymptotic profile of the drift term is defined aswhere are both globally Lipschitz, non-negative, and globally bounded, i.e., there exists such that
5. The Novel Averaging Principle
6. Application: Impact of Intratumoral Heterogeneity in Glioma Progression
6.1. The Go or Grow Model of Glioma
6.2. Intrinsic Intratumoral Heterogeneity of Glioma Cells as a White Noise
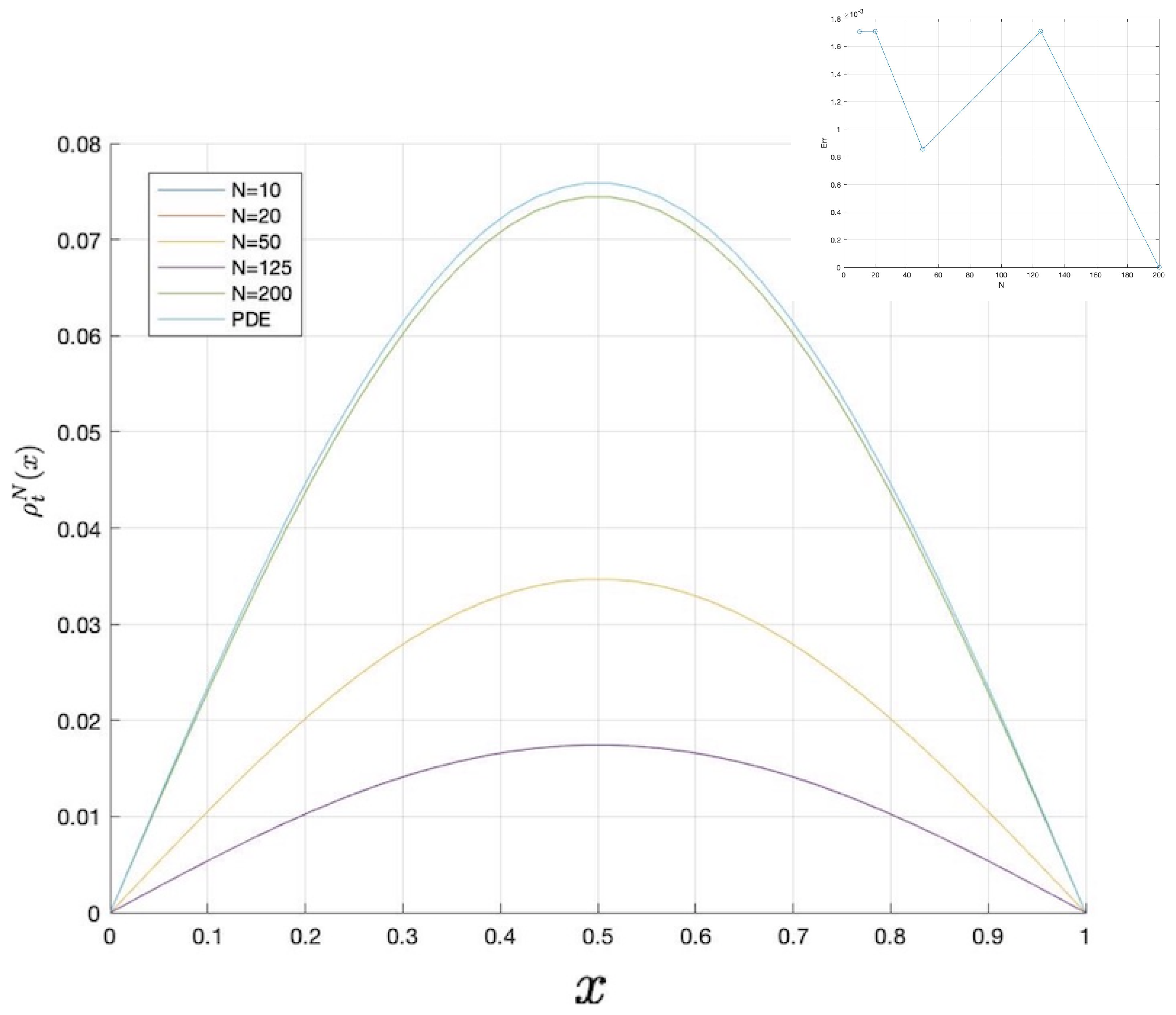
6.3. Impact of Heterogeneity on a Spatio-Temporal GoG Model
7. Discussion
Author Contributions
Funding
Institutional Review Board Statement
Informed Consent Statement
Data Availability Statement
Acknowledgments
Conflicts of Interest
References
- Freidlin, M.I.; Wentzell, A.D. Random perturbations. In Random Perturbations of Dynamical Systems; Springer: Berlin/Heidelberg, Germany, 1998; pp. 15–43. [Google Scholar]
- Bogoliubov, N.N.; Mitropolskij, J.A.; Mitropolskii, I.A.; Mitropolsky, Y.A. Asymptotic Methods in the Theory of Non-Linear Oscillations; CRC Press: Boca Raton, FL, USA, 1961; Volume 10. [Google Scholar]
- Volosov, V.M. Averaging in systems of ordinary differential equations. Russ. Math. Surv. 1962, 17, 1–126. [Google Scholar] [CrossRef]
- Sanders, J.A.; Verhulst, F.; Murdock, J. Averaging Methods in Nonlinear Dynamical Systems; Springer: Berlin/Heidelberg, Germany, 2007; Volume 59. [Google Scholar]
- Pavliotis, G.; Stuart, A. Multiscale Methods: Averaging and Homogenization; Springer: New York, NY, USA, 2008. [Google Scholar]
- Han, X.; Kloeden, P.E. Random Ordinary Differential Equations and Their Numerical Solution; Probability Theory and Stochastic Modelling 85; Springer: Berlin/Heidelberg, Germany, 2017. [Google Scholar]
- Meacham, C.E.; Morrison, S.J. Tumour heterogeneity and cancer cell plasticity. Nature 2013, 501, 328–337. [Google Scholar] [CrossRef] [PubMed]
- McGranahan, N.; Swanton, C. Biological and therapeutic impact of intratumor heterogeneity in cancer evolution. Cancer Cell 2015, 27, 15–26. [Google Scholar] [CrossRef] [PubMed]
- Hatzikirou, H.; Basanta, D.; Simon, M.; Schaller, K.; Deutsch, A. Go or Grow: The key to the emergence of invasion in tumour progression? Math. Med. Biol. J. IMA 2012, 29, 49–65. [Google Scholar] [CrossRef] [PubMed]
- Goodenberger, M.L.; Jenkins, R.B. Genetics of adult glioma. Cancer Genet. 2012, 205, 613–621. [Google Scholar] [CrossRef] [PubMed]
- Sanai, N.; Alvarez-Buylla, A.; Berger, M.S. Neural stem cells and the origin of gliomas. N. Engl. J. Med. 2005, 353, 811–822. [Google Scholar] [CrossRef] [PubMed]
- Tektonidis, M.; Hatzikirou, H.; Chauvière, A.; Simon, M.; Schaller, K.; Deutsch, A. Identification of intrinsic in vitro cellular mechanisms for glioma invasion. J. Theor. Biol. 2011, 287, 131–147. [Google Scholar] [CrossRef] [PubMed]
- Böttger, K.; Hatzikirou, H.; Voss-Bxoxhme, A.; Cavalcanti-Adam, E.A.; Herrero, M.A.; Deutsch, A. An Emerging Allee Effect Is Critical for Tumor Initiation and Persistence. PLoS Comput. Biol. 2015, 11, e1004366. [Google Scholar] [CrossRef]
- Alfonso, J.C.L.; Talkenberger, K.; Seifert, M.; Klink, B.; Hawkins-Daarud, A.; Swanson, K.R.; Hatzikirou, H.; Deutsch, A. The biology and mathematical modelling of glioma invasion: A review. J. R. Soc. Interface 2017, 14, 1–20. [Google Scholar] [CrossRef]
- Alfonso, J.C.L.; Köhn-Luque, A.; Stylianopoulos, T.; Feuerhake, F.; Deutsch, A.; Hatzikirou, H. Why one-size-fits-all vaso-modulatory interventions fail to control glioma invasion: In silico insights. Sci. Rep. 2016, 6, 37283. [Google Scholar] [CrossRef]
- Hatzikirou, H.; Alfonso, J.C.L.; Mühle, S.; Stern, C.; Weiss, S.; Meyer-Hermann, M. Cancer therapeutic potential of combinatorial immuno- and vaso-modulatory interventions. J. R. Soc. Interface 2015, 12, 20150439. [Google Scholar] [CrossRef]
- Mascheroni, P.; Alfonso, J.C.L.; Kalli, M.; Stylianopoulos, T.; Meyer-Hermann, M.; Hatzikirou, H. On the impact of chemo-mechanically induced phenotypic transitions in gliomas. Cancers 2019, 11, 716. [Google Scholar] [CrossRef]
- Gelfand, I.M.; Shilov, G.E. Generalized Functions, Vol. 4: Applications of Harmonic Analysis; Academic Press: Cambridge, MA, USA, 1964. [Google Scholar]
- Hsu, S.-B. Ordinary Differential Equations with Applications, 2nd ed.; World Scientific: Singapore, 2013. [Google Scholar]
- Ladyženskaja, O.; Solonnikov, V.A.; Ural’ceva, N.N. Linear and Quasi-Linear Equations of Parabolic Type; American Mathematical Society: Providence, RI, USA, 1968. [Google Scholar]
- Stein, E. Harmonic Analysis: Real-Variable Methods, Orthogonality, and Oscillatory Integrals; Princeton University Press: Princeton, NJ, USA, 1993. [Google Scholar]
- Stein, E.M.; Shakarchi, R. Real Analysis, 1st ed.; Princeton Lectures in Analysis, 3; Princeton University Press: Princeton, NJ, USA, 2005. [Google Scholar]
- Henry, D. Geometric Theory of Semilinear Parabolic Equations; Lecture Notes in Mathematics; Springer: Berlin/Heidelberg, Germany, 2006. [Google Scholar]
- Duan, J.; Wang, W. Effective Dynamics of Stochastic Partial Differential Equations; Elsevier: Amsterdam, The Netherlands, 2014. [Google Scholar]
- Hatzikirou, H.; Boettger, K.; Deutsch, A. Model-based Comparison of Cell Density-dependent Cell Migration Strategies. Math. Model. Nat. Phenom. 2015, 10, 94–107. [Google Scholar] [CrossRef][Green Version]
- Murray, J. Mathematical Biology Vol II: Spatial Models and Biomedical Applications; Springer: Berlin/Heidelberg, Germany, 2003. [Google Scholar]
- Dagogo-Jack, I.; Shaw, A.T. Tumour heterogeneity and resistance to cancer therapies. Nat. Rev. Clin. Oncol. 2018, 15, 81–94. [Google Scholar] [CrossRef]
- Ramón y Cajal, S.; Sesé, M.; Capdevila, C.; Aasen, T.; De Mattos-Arruda, L.; Diaz-Cano, S.J.; Castellví, J. Clinical implications of intratumor heterogeneity: Challenges and opportunities. J. Mol. Med. 2020, 98, 161–177. [Google Scholar] [CrossRef]
- Giese, A.; Loo, M.; Tran, N.; Haskett, S.W.; Berens, M.E. Dichotomy of astrocytoma migration and proliferation. Int. J. Cancer 1996, 67, 275–282. [Google Scholar] [CrossRef]
- Jerby, L.; Wolf, L.; Denkert, C.; Stein, G.Y.; Hilvo, M.; Oresic, M.; Ruppin, E. Metabolic associations of reduced proliferation and oxidative stress in advanced breast cancer. Cancer Res. 2012, 72, 5712–5720. [Google Scholar] [CrossRef]
- Kemper, K.; De Goeje, P.L.; Peeper, D.S.; Van Amerongen, R. Phenotype switching: Tumor cell plasticity as a resistance mechanism and target for therapy. Cancer Res. 2014, 74, 5937–5941. [Google Scholar] [CrossRef]
- Kohrman, A.Q.; Matus, D.Q. Divide or Conquer: Cell Cycle Regulation of Invasive Behavior. Trends Cell Biol. 2017, 27, 12–25. [Google Scholar] [CrossRef]
- Alic, L.; Niessen, W.J.; Veenland, J.F. Quantification of heterogeneity as a biomarker in tumor imaging: A systematic review. PLoS ONE 2014, 9, e110300. [Google Scholar] [CrossRef]
- Oesper, L.; Satas, G.; Raphael, B.J. Quantifying tumor heterogeneity in whole-genome and whole-exome sequencing data. Bioinformatics 2014, 30, 3532–3540. [Google Scholar] [CrossRef] [PubMed]
- Rutter, E.M.; Banks, H.T.; Flores, K.B. Estimating intratumoral heterogeneity from spatiotemporal data. J. Math. Biol. 2018, 77, 1999–2022. [Google Scholar] [CrossRef] [PubMed]
- Sottoriva, A.; Spiteri, I.; Piccirillo, S.G.M.; Touloumis, A.; Collins, V.P.; Marioni, J.C.; Curtis, C.; Watts, C.; Tavaré, S. Intratumor heterogeneity in human glioblastoma reflects cancer evolutionary dynamics. Proc. Natl. Acad. Sci. USA 2013, 110, 4009–4014. [Google Scholar] [CrossRef] [PubMed]
- Parker, J.J.; Canoll, P.; Niswander, L.; Kleinschmidt-DeMasters, B.K.; Foshay, K.; Waziri, A. Intratumoral heterogeneity of endogenous tumor cell invasive behavior in human glioblastoma. Sci. Rep. 2018, 8, 1–10. [Google Scholar] [CrossRef]





Publisher’s Note: MDPI stays neutral with regard to jurisdictional claims in published maps and institutional affiliations. |
© 2021 by the authors. Licensee MDPI, Basel, Switzerland. This article is an open access article distributed under the terms and conditions of the Creative Commons Attribution (CC BY) license (https://creativecommons.org/licenses/by/4.0/).
Share and Cite
Hatzikirou, H.; Kavallaris, N.I.; Leocata, M. A Novel Averaging Principle Provides Insights in the Impact of Intratumoral Heterogeneity on Tumor Progression. Mathematics 2021, 9, 2530. https://doi.org/10.3390/math9202530
Hatzikirou H, Kavallaris NI, Leocata M. A Novel Averaging Principle Provides Insights in the Impact of Intratumoral Heterogeneity on Tumor Progression. Mathematics. 2021; 9(20):2530. https://doi.org/10.3390/math9202530
Chicago/Turabian StyleHatzikirou, Haralampos, Nikos I. Kavallaris, and Marta Leocata. 2021. "A Novel Averaging Principle Provides Insights in the Impact of Intratumoral Heterogeneity on Tumor Progression" Mathematics 9, no. 20: 2530. https://doi.org/10.3390/math9202530
APA StyleHatzikirou, H., Kavallaris, N. I., & Leocata, M. (2021). A Novel Averaging Principle Provides Insights in the Impact of Intratumoral Heterogeneity on Tumor Progression. Mathematics, 9(20), 2530. https://doi.org/10.3390/math9202530

