A Signal Complexity-Based Approach for AM–FM Signal Modes Counting
Abstract
1. Introduction
2. Materials and Methods
2.1. AM–FM Signals and Spectrogram Representation
2.2. Signal Complexity
2.2.1. Shannon Entropy
2.2.2. Kolmogorov Complexity
2.2.3. Minimum Description Length
2.2.4. Run Length Encoding
2.2.5. Asymptotic Equipartition Property
- (i)
- has probability nearly 1;
- (ii)
- elements in are nearly equiprobable;
- (iii)
- cardinality is nearly .
2.3. The Proposed Method
- Step 1.
- spectrogram thresholding and binary map derivation;
- Step 2.
- binary map encoding by RLE;
- Step 3.
- selection of typical columns for modes counting.
2.3.1. Thresholding by MDL
- , the total energy of ;
- , the energy of the thresholded ;
- , the discarded energy during the thresholding process;
2.3.2. Encoding by RLE and Modes Counting
2.3.3. The Algorithm
- Step 1.
- Binary map derivation
- (1)
- Compute signal STFT and spectrogram.
- (2)
- Threshold spectrogram at the of its absolute maximum (this is a pre-processing step, justified by the assumption that noise is equally distributed over the whole domain).
- (3)
- For each u in the signal time support
- (4)
- Set B as the overall columns obtained in step 3.3.
- (5)
- Zero-pad B.
- (6)
- Remove black holes.
- Step 2.
- 2D RLE encoding and modes counting
- (1)
- Code the first binary column, i.e., by RLE and compute according to Equation (21).
- (2)
- For i ranging from 2 to n
- (2.1)
- apply RLE to column , resulting in the coded sequence ;
- (2.2)
- compute as the difference between the number of couples in and the one in , as in Equation (22); if and IsIsolated() (see Algorithm 1) define = IsIsolated(); set ; otherwise, set .
| Algorithm 1: Function to check if a detected contribution is isolated. |
![]() |
3. Results and Discussion
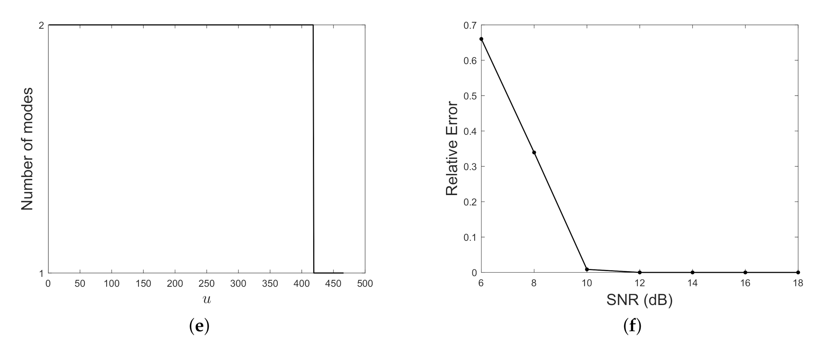
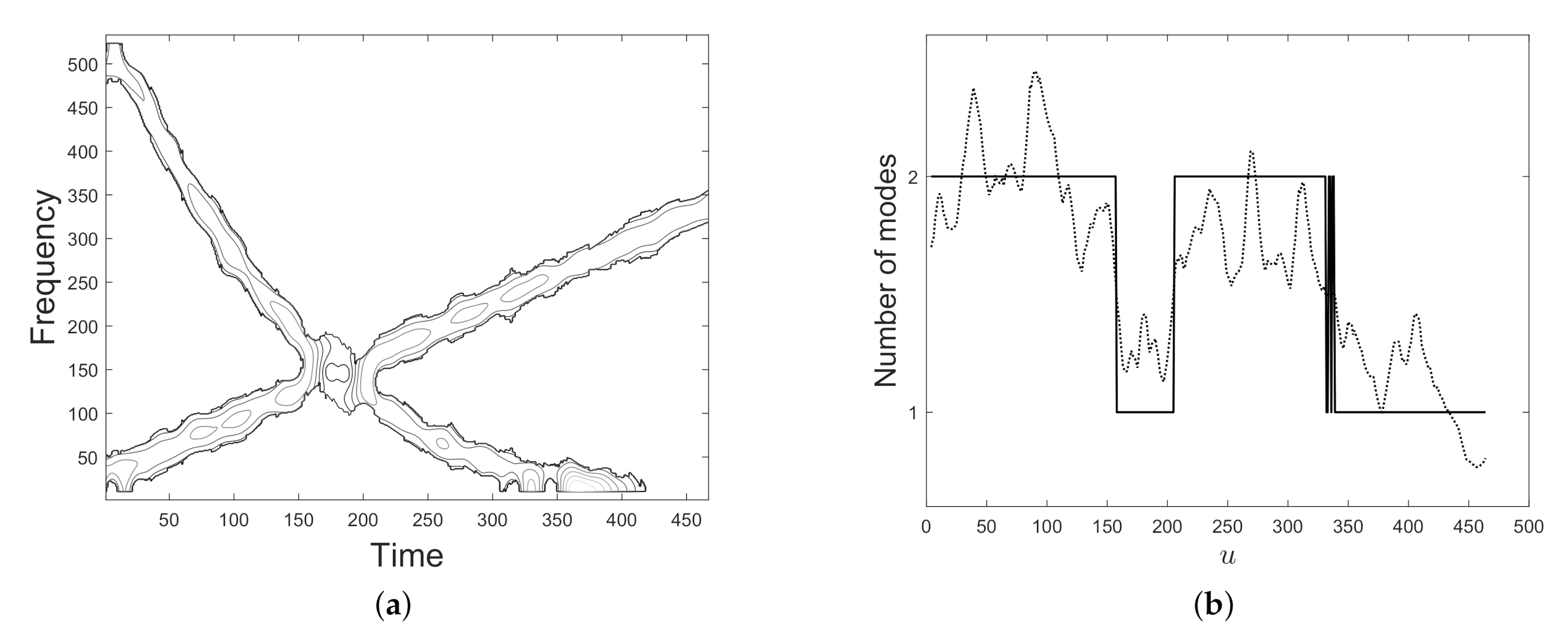
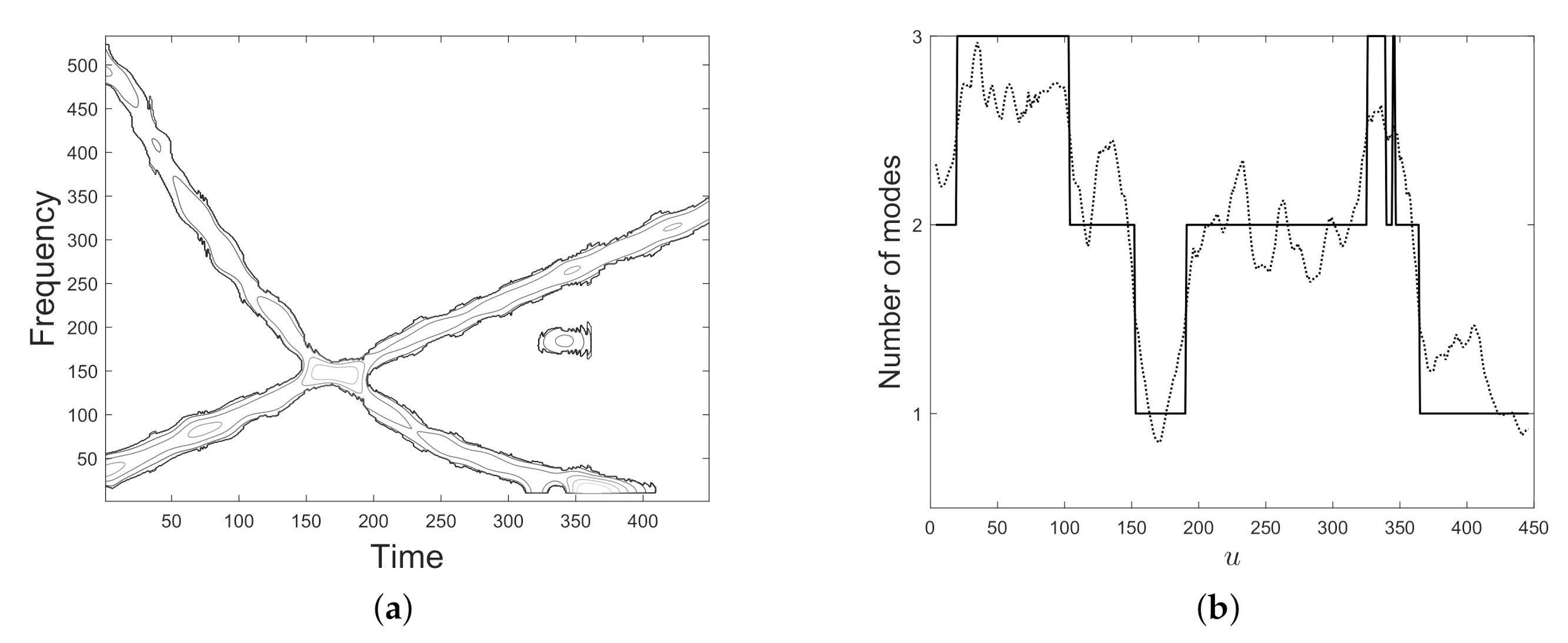
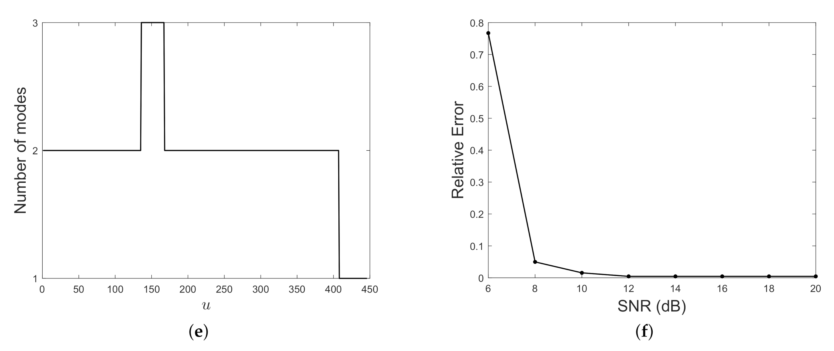
3.1. Experimental Results
3.2. Some Observations
4. Conclusions
Author Contributions
Funding
Conflicts of Interest
Abbreviations
| AEP | Asymptotic Equipartition Property |
| AM | Amplitude Modulated |
| FM | Frequency Modulated |
| IF | Instantaneous Frequency |
| MCS | Multicomponent Signal(s) |
| MDL | Minimum Description Length |
| RLE | Run Length Encoding |
| RT | Radon Transform |
| STFT | Short-Time Fourier Transform |
| TF | Time-Frequency |
| TFD | Time-Frequency Distribution |
References
- Wang, G.; Teng, C.; Li, K.; Zhang, Z.; Yan, X. The removal of EOG artifacts from EEG signals using independent component analysis and multivariate empirical mode decomposition. IEEE J. Biomed. Health Inform. 2015, 20, 1301–1308. [Google Scholar] [CrossRef] [PubMed]
- Ioana, C.; Gervaise, C.; Stéphan, Y.; Mars, J.I. Analysis of underwater mammal vocalisations using time-frequency-phase tracker. Appl. Acoust. 2010, 71, 1070–1080. [Google Scholar] [CrossRef]
- Shi, Y.; Zhang, D.; Ji, H.; Dai, R. Application of Synchrosqueezed Wavelet Transform in Microseismic Monitoring of Mines. In Proceedings of the IOP Conference Series: Earth and Environmental Science, Ho Chi Minh City, Vietnam, 25–28 February 2019; Volume 384, p. 012075. [Google Scholar]
- Pham, D.H.; Meignen, S. High-order synchrosqueezing transform for multicomponent signals analysis with an application to gravitational-wave signal. IEEE Trans. Signal Process. 2017, 65, 3168–3178. [Google Scholar] [CrossRef]
- Zeng, F.G.; Nie, K.; Stickney, G.S.; Kong, Y.Y.; Vongphoe, M.; Bhargave, A.; Wei, C.; Cao, K. Speech recognition with amplitude and frequency modulations. Proc. Natl. Acad. Sci. USA 2005, 102, 2293–2298. [Google Scholar] [CrossRef]
- Chen, V.C.; Li, F.; Ho, S.S.; Wechsler, H. Micro-Doppler effect in radar: Phenomenon, model, and simulation study. IEEE Trans. Aerosp. Electron. Syst. 2006, 42, 2–21. [Google Scholar] [CrossRef]
- Lyonnet, B.; Ioana, C.; Amin, M.G. Human gait classification using microdoppler time-frequency signal representations. In Proceedings of the 2010 IEEE Radar Conference, Washington, DC, USA, 10–14 May 2010; pp. 915–919. [Google Scholar]
- Boashash, B. Time-Frequency Signal Analysis and Processing: A Comprehensive Reference; Academic Press: Cambridge, MA, USA, 2015. [Google Scholar]
- Daubechies, I.; Lu, J.; Wu, H.T. Synchrosqueezed wavelet transforms: An empirical mode decomposition-like tool. Appl. Comput. Harmon. Anal. 2011, 30, 243–261. [Google Scholar] [CrossRef]
- Bruni, V.; Marconi, S.; Piccoli, B.; Vitulano, D. Instantaneous frequency estimation of interfering FM signals through time-scale isolevel curves. Signal Process. 2013, 93, 882–896. [Google Scholar] [CrossRef]
- Bruni, V.; Tartaglione, M.; Vitulano, D. Radon spectrogram-based approach for automatic IFs separation. EURASIP J. Adv. Signal Process. 2020, 2020, 13. [Google Scholar] [CrossRef]
- Alieva, T.; Bastiaans, M.J.; Stankovic, L. Signal reconstruction from two close fractional Fourier power spectra. IEEE Trans. Signal Process. 2003, 51, 112–123. [Google Scholar] [CrossRef]
- Stankovic, L.; Dakovic, M.; Thayaparan, T.; Popovic-Bugarin, V. Inverse radon transform-based micro-Doppler analysis from a reduced set of observations. IEEE Trans. Aerosp. Electron. Syst. 2015, 51, 1155–1169. [Google Scholar] [CrossRef]
- Yang, Y.; Dong, X.; Peng, Z.; Zhang, W.; Meng, G. Component extraction for non-stationary multi-component signal using parameterized de-chirping and band-pass filter. IEEE Signal Process. Lett. 2014, 22, 1373–1377. [Google Scholar] [CrossRef]
- Doweck, Y.; Amar, A.; Cohen, I. Joint model order selection and parameter estimation of chirps with harmonic components. IEEE Trans. Signal Process. 2015, 63, 1765–1778. [Google Scholar] [CrossRef]
- Feng, Z.; Chu, F.; Zuo, M.J. Time-frequency analysis of time-varying modulated signals based on improved energy separation by iterative generalized demodulation. J. Sound Vib. 2011, 330, 1225–1243. [Google Scholar] [CrossRef]
- Rankine, L.; Mesbah, M.; Boashash, B. IF estimation for multicomponent signals using image processing techniques in the time-frequency domain. Signal Process. 2007, 87, 1234–1250. [Google Scholar] [CrossRef]
- Chen, S.; Dong, X.; Xing, G.; Peng, Z.; Zhang, W.; Meng, G. Separation of overlapped non-stationary signals by ridge path regrouping and intrinsic chirp component decomposition. IEEE Sens. J. 2017, 17, 5994–6005. [Google Scholar] [CrossRef]
- Zhang, H.; Bi, G.; Yang, W.; Razul, S.G.; See, C.M.S. IF estimation of FM signals based on time-frequency image. IEEE Trans. Aerosp. Electron. Syst. 2015, 51, 326–343. [Google Scholar] [CrossRef]
- Khan, N.A.; Mohammadi, M.; Ali, S. Instantaneous frequency estimation of intersecting and close multi-component signals with varying amplitudes. Signal Image Video Process. 2019, 13, 517–524. [Google Scholar] [CrossRef]
- Barkat, B.; Abed-Meraim, K. Algorithms for blind components separation and extraction from the time-frequency distribution of their mixture. EURASIP J. Adv. Signal Process. 2004, 2004, 978487. [Google Scholar] [CrossRef]
- Lerga, J.; Sucic, V.; Boashash, B. An efficient algorithm for instantaneous frequency estimation of nonstationary multicomponent signals in low SNR. EURASIP J. Adv. Signal Process. 2011, 2011, 725189. [Google Scholar] [CrossRef]
- Lerga, J.; Sucic, V.; Boashash, B. An improved method for nonstationary signals components extraction based on the ICI rule. In Proceedings of the International Workshop on Systems, Signal Processing and their Applications, Tipaza, Algeria, 9–11 May 2011; pp. 307–310. [Google Scholar]
- Khan, N.A.; Mohammadi, M.; Djurović, I. A Modified Viterbi Algorithm-Based IF Estimation Algorithm for Adaptive Directional Time-Frequency Distributions. Circuits Syst. Signal Process. 2019, 38, 2227–2244. [Google Scholar] [CrossRef]
- Bruni, V.; Tartaglione, M.; Vitulano, D. Instantaneous frequency modes separation via a Spectrogram-Radon based approach. In Proceedings of the 2019 11th International Symposium on Image and Signal Processing and Analysis (ISPA), Dubrovnik, Croatia, 23–25 September 2019; pp. 347–351. [Google Scholar]
- Bruni, V.; Tartaglione, M.; Vitulano, D. On the time-frequency reassignment of interfering modes in multicomponent FM signals. In Proceedings of the 2018 26th European Signal Processing Conference (EUSIPCO), Rome, Italy, 3–7 September 2018; pp. 722–726. [Google Scholar]
- Stanković, L.; Mandić, D.; Daković, M.; Brajović, M. Time-frequency decomposition of multivariate multicomponent signals. Signal Process. 2018, 142, 468–479. [Google Scholar] [CrossRef]
- Auger, F.; Flandrin, P. Improving the readability of time-frequency and time-scale representations by the reassignment method. IEEE Trans. Signal Process. 1995, 43, 1068–1089. [Google Scholar] [CrossRef]
- Bruni, V.; Tartaglione, M.; Vitulano, D. A fast and robust spectrogram reassignment method. Mathematics 2019, 7, 360. [Google Scholar] [CrossRef]
- Bruni, V.; Tartaglione, M.; Vitulano, D. An iterative approach for spectrogram reassignment of frequency modulated multicomponent signals. Math. Comput. Simul. 2020, 176, 96–119. [Google Scholar] [CrossRef]
- Bouchikhi, A.; Boudraa, A.O.; Cexus, J.C.; Chonavel, T. Analysis of multicomponent LFM signals by Teager Huang-Hough transform. IEEE Trans. Aerosp. Electron. Syst. 2014, 50, 1222–1233. [Google Scholar] [CrossRef]
- Barbarossa, S. Analysis of multicomponent LFM signals by a combined Wigner-Hough transform. IEEE Trans. Signal Process. 1995, 43, 1511–1515. [Google Scholar] [CrossRef]
- Wood, J.C.; Barry, D.T. Radon transformation of time-frequency distributions for analysis of multicomponent signals. IEEE Trans. Signal Process. 1994, 42, 3166–3177. [Google Scholar] [CrossRef]
- Sucic, V.; Saulig, N.; Boashash, B. Estimating the number of components of a multicomponent nonstationary signal using the short-term time-frequency Rényi entropy. EURASIP J. Adv. Signal Process. 2011, 2011, 125. [Google Scholar] [CrossRef]
- Sucic, V.; Saulig, N.; Boashash, B. Analysis of local time-frequency entropy features for nonstationary signal components time supports detection. Digit. Signal Process. 2014, 34, 56–66. [Google Scholar] [CrossRef]
- Bruni, V.; Della Cioppa, L.; Vitulano, D. A Multiscale Energy-Based Time-Domain Approach for Interference Detection in Non-stationary Signals. In International Conference on Image Analysis and Recognition; Springer: Berlin/Heidelberg, Germany, 2020; pp. 36–47. [Google Scholar]
- Mallat, S. A Wavelet Tour of Signal Processing; Elsevier: Amsterdam, The Netherlands, 1999. [Google Scholar]
- Cover, T.M. Elements of Information Theory; John Wiley & Sons: Hoboken, NJ, USA, 1999. [Google Scholar]
- Grünwald, P.D.; Grunwald, A. The Minimum Description Length Principle; MIT Press: Cambridge, MA, USA, 2007. [Google Scholar]
- Burrows, M.; Wheeler, D.J. A Block-Sorting Lossless Data Compression Algorithm; SRC: Durham, NC, USA, 1994. [Google Scholar]
- Saulig, N.; Lerga, J.; Milanović, Ž.; Ioana, C. Extraction of Useful Information Content From Noisy Signals Based on Structural Affinity of Clustered TFDs’ Coefficients. IEEE Trans. Signal Process. 2019, 67, 3154–3167. [Google Scholar] [CrossRef]





























Publisher’s Note: MDPI stays neutral with regard to jurisdictional claims in published maps and institutional affiliations. |
© 2020 by the authors. Licensee MDPI, Basel, Switzerland. This article is an open access article distributed under the terms and conditions of the Creative Commons Attribution (CC BY) license (http://creativecommons.org/licenses/by/4.0/).
Share and Cite
Bruni, V.; Tartaglione, M.; Vitulano, D. A Signal Complexity-Based Approach for AM–FM Signal Modes Counting. Mathematics 2020, 8, 2170. https://doi.org/10.3390/math8122170
Bruni V, Tartaglione M, Vitulano D. A Signal Complexity-Based Approach for AM–FM Signal Modes Counting. Mathematics. 2020; 8(12):2170. https://doi.org/10.3390/math8122170
Chicago/Turabian StyleBruni, Vittoria, Michela Tartaglione, and Domenico Vitulano. 2020. "A Signal Complexity-Based Approach for AM–FM Signal Modes Counting" Mathematics 8, no. 12: 2170. https://doi.org/10.3390/math8122170
APA StyleBruni, V., Tartaglione, M., & Vitulano, D. (2020). A Signal Complexity-Based Approach for AM–FM Signal Modes Counting. Mathematics, 8(12), 2170. https://doi.org/10.3390/math8122170


