Almost k-Step Opacity Enforcement in Stochastic Discrete-Event Systems via Differential Privacy
Abstract
1. Introduction
- The almost k-step opacity enforcement problem in stochastic systems is formalized by leveraging differential privacy. This novel privacy mechanism addresses the need in the context of DESs to balance privacy preservation with utility in the context of a dynamic and uncertain environment.
 - A probability mechanism is constructed to adhere to almost k-step differential privacy requirements. This mechanism utilizes a modified Levenshtein automaton, offering a practical approach to ensuring privacy while maintaining the integrity and usefulness of the data.
 - A policy is reported for enforcing almost k-step opacity by reducing the occurrence probability of strings that violate k-step opacity, thus enhancing system security while preserving data utility.
 
2. Preliminaries
2.1. System Model
- (1)
 - ;
 - (2)
 - For any event , if , and if ;
 - (3)
 - For any string and any event , . We also define the inverse projection as .
 
2.2. Levenshtein Distance and Levenshtein Automaton
2.3. Differential Privacy
2.4. Word Differential Privacy
3. Problem Formulation
3.1. Intruder Model
3.2. Almost k-Step Opacity
3.3. String Differential Privacy
4. Utility and Bound
4.1. Information Utility
4.2. Sensitivity Bound
5. Substitution String Generation Mechanism
5.1. String Exponential Mechanism
5.2. Probability Distribution of Output
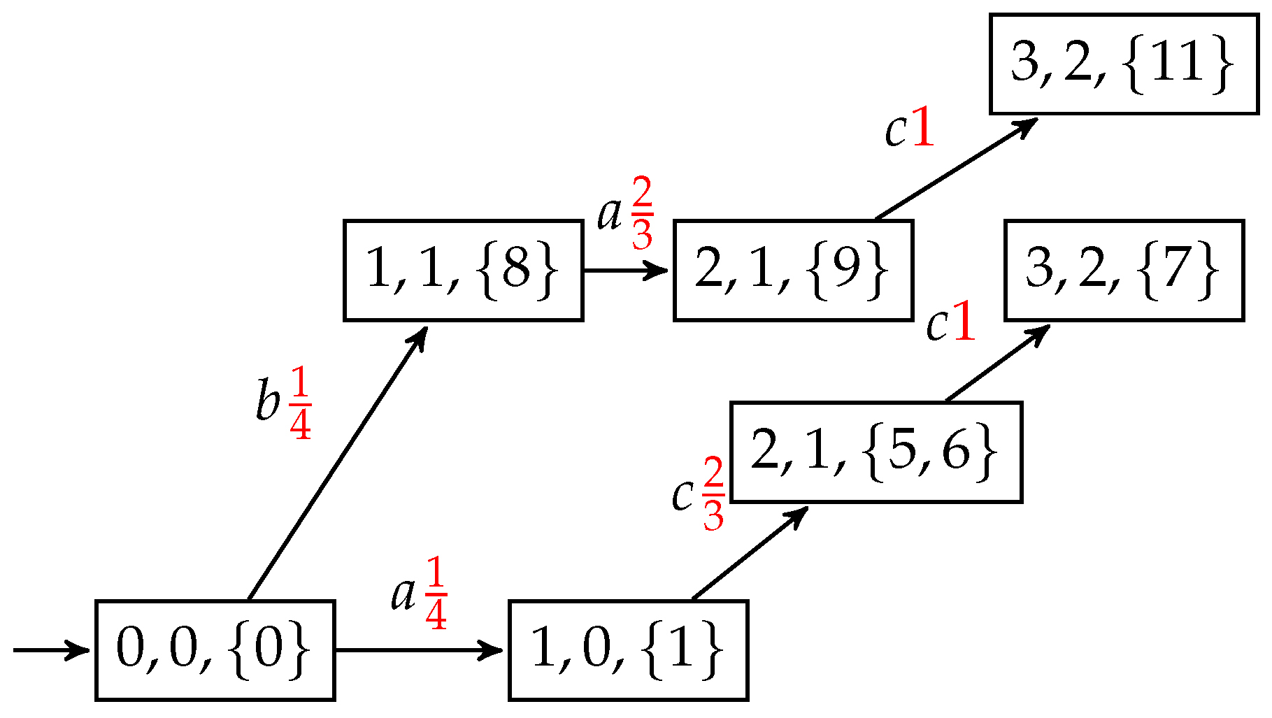
| Algorithm 1: Construction of a probabilistic control policy. | 
![]()  | 
6. Almost k-Step Opacity Enforcement
6.1. Modified Levenshtein Automaton
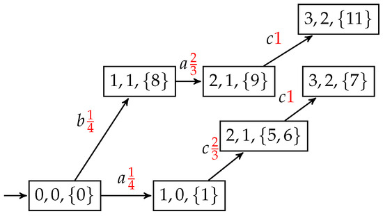
| Algorithm 2: Construction of a modified Levenshtein automaton. | 
![]()  | 
6.2. Enforcement Policies
6.3. Application
7. Conclusions
Author Contributions
Funding
Data Availability Statement
Conflicts of Interest
References
- Bryans, J.W.; Koutny, M.; Mazaré, L.; Ryan, P.Y.A. Opacity generalized to transition systems. Int. J. Inf. Secur. 2008, 7, 421–435. [Google Scholar] [CrossRef]
 - Lin, F. Opacity of discrete event systems and its applications. Automatica 2021, 47, 496–503. [Google Scholar] [CrossRef]
 - Wu, Y.; Lafortune, S. Comparative analysis of related notions of opacity in centralized and coordinated structures. Discret. Event Dyn. Syst. Theory Appl. 2013, 23, 307–339. [Google Scholar] [CrossRef]
 - Zhou, S.; Yu, J.; Yin, L.; Li, Z. Security quantification for discrete event systems based on the worth of states. Mathematics 2023, 11, 3629. [Google Scholar] [CrossRef]
 - Liang, Y.; Liu, G.; El-Sherbeeny, A.M. Polynomial-time verification of decentralized fault pattern diagnosability for discrete-event systems. Mathematics 2023, 11, 3998. [Google Scholar] [CrossRef]
 - Saboori, A.; Hadjicostis, C.N. Verification of k-step opacity and analysis of its complexity. IEEE Trans. Autom. Sci. Eng. 2011, 8, 549–559. [Google Scholar] [CrossRef]
 - Saboori, A.; Hadjicostis, C.N. Verification of infinite-step opacity and complexity considerations. IEEE Trans. Autom. Control 2012, 57, 1265–1269. [Google Scholar] [CrossRef]
 - Saboori, A.; Hadjicostis, C.N. Verification of initial-state opacity in security applications of discrete-event systems. Inf. Sci. 2013, 246, 115–132. [Google Scholar] [CrossRef]
 - Liu, R.; Lu, J. Enforcement for infinite-step opacity and k-step opacity via insertion mechanism. Automatica 2022, 140, 110212. [Google Scholar] [CrossRef]
 - Ji, Y.; Wu, Y.; Lafortune, S. Enforcement of opacity by public and private insertion functions. Automatica 2018, 93, 369–378. [Google Scholar] [CrossRef]
 - Balun, J.; Masopust, T. Verifying weak and strong k-step opacity in discrete-event systems. Automatica 2023, 155, 111153. [Google Scholar] [CrossRef]
 - Bryans, J.W.; Koutny, M.; Mu, C. Towards quantitative analysis of opacity. In Proceedings of the Trustworthy Global Computing: 7th International Symposium, Newcastle upon Tyne, UK, 7–8 September 2012. [Google Scholar]
 - Saboori, A.; Hadjicostis, C.N. Current-state opacity formulations in probabilistic finite automata. IEEE Trans. Autom. Control 2014, 59, 120–133. [Google Scholar] [CrossRef]
 - Yin, X.; Li, Z.; Wang, W.; Li, S. Infinite-step opacity and k-step opacity of stochastic discrete-event systems. Automatica 2019, 99, 266–274. [Google Scholar] [CrossRef]
 - Dwork, C. The differential privacy frontier (extended abstract). In Proceedings of the 6th Theory of Cryptography Conference, Berlin, Heidelberg, Germany, 15–17 March 2009. [Google Scholar]
 - Dwork, C. Differential privacy: A survey of results. In Proceedings of the 5th International Conference on Theory and Applications of Models of Computation, Berlin, Heidelberg, Germany, 25–29 April 2008. [Google Scholar]
 - Dwork, C.; Lei, J. Differential privacy and robust statistics. In Proceedings of the 41st Annual ACM Symposium on Theory of Computing, 31 May–6 June2009. [Google Scholar]
 - McSherry, F.; Talwar, K. Mechanism design via differential privacy. In Proceedings of the 48th Annual IEEE Symposium on Foundations of Computer Science, Providence, RI, USA, 21–23 October 2007. [Google Scholar]
 - Dwork, C.; Roth, A. The algorithmic foundations of differential privacy. Found. Trends Theor. Comput. Sci. 2013, 9, 211–406. [Google Scholar] [CrossRef]
 - Huang, Z.; Kannan, S. The Exponential mechanism for social welfare: Private, truthful, and nearly optimal. In Proceedings of the 53rd Annual Symposium on Foundations of Computer Science, New Brunswick, NJ, USA, 20–23 October 2012. [Google Scholar]
 - Liu, F. Generalized Gaussian mechanism for differential privacy. IEEE Trans. Knowl. Data Eng. 2001, 31, 747–756. [Google Scholar] [CrossRef]
 - Li, C.; Miklau, G.; Hay, M.; McGregor, A.; Rastogi, V. The matrix mechanism: Optimizing linear counting queries under differential privacy. VLDB J. 2015, 24, 757–781. [Google Scholar] [CrossRef]
 - Chen, B.; Leahy, K.; Jones, A.; Hale, M. Differential privacy for symbolic systems with application to Markov Chains. Automatica 2023, 152, 152–164. [Google Scholar] [CrossRef]
 - Jones, A.; Leahy, K.; Hale, M. Towards differential privacy for symbolic systems. In Proceedings of the IEEE 2019 American Control Conference, Philadelphia, PA, USA, 10–12 July 2019. [Google Scholar]
 - Al-Sarayrah, T.A.; Li, Z.; Zhu, G.; El-Meligy, M.A.; Sharaf, M. Verification and enforcement of (ϵ, ξ)-differential privacy over finite steps in discrete event systems. Mathematics 2023, 11, 4991. [Google Scholar] [CrossRef]
 - Teng, Y.; Li, Z.; Yin, L.; Wu, N. State-based differential privacy verification and enforcement for probabilistic automata. Mathematics 2023, 11, 1853. [Google Scholar] [CrossRef]
 - Zhang, J.; Dong, Y.; Yin, L.; Mostafa, A.M.; Li, Z. Opacity enforcement in discrete event systems using differential privacy. Inf. Sci. 2025, 688, 121284. [Google Scholar] [CrossRef]
 - Cassandras, C.G.; Lafortune, S. Introduction to Discrete Event Systems, 2nd ed.; Springer: New York, NY, USA, 2008; pp. 53–143. [Google Scholar]
 - Schulz, K.U.; Mihov, S. Fast string correction with Levenshtein automata. Int. J. Doc. Anal. Recognit. 2002, 5, 67–85. [Google Scholar] [CrossRef]
 - Ny, J.L.; Pappas, G. Differentially private filtering. IEEE Trans. Autom. Control 2014, 59, 341–354. [Google Scholar]
 - Garcia, F.; Emmanuel, R. Markov decision processes. Markov Decis. Processes Artif. Intell. 2013, 1–38. [Google Scholar]
 - Dwork, C.; Roth, A. The algorithmic foundations of differential privacy. Found. Trends Theor. Comput. Sci. 2014, 9, 211–407. [Google Scholar] [CrossRef]
 










Disclaimer/Publisher’s Note: The statements, opinions and data contained in all publications are solely those of the individual author(s) and contributor(s) and not of MDPI and/or the editor(s). MDPI and/or the editor(s) disclaim responsibility for any injury to people or property resulting from any ideas, methods, instructions or products referred to in the content.  | 
© 2025 by the authors. Licensee MDPI, Basel, Switzerland. This article is an open access article distributed under the terms and conditions of the Creative Commons Attribution (CC BY) license (https://creativecommons.org/licenses/by/4.0/).
Share and Cite
Zhao, R.; Uzam, M.; Li, Z. Almost k-Step Opacity Enforcement in Stochastic Discrete-Event Systems via Differential Privacy. Mathematics 2025, 13, 1255. https://doi.org/10.3390/math13081255
Zhao R, Uzam M, Li Z. Almost k-Step Opacity Enforcement in Stochastic Discrete-Event Systems via Differential Privacy. Mathematics. 2025; 13(8):1255. https://doi.org/10.3390/math13081255
Chicago/Turabian StyleZhao, Rong, Murat Uzam, and Zhiwu Li. 2025. "Almost k-Step Opacity Enforcement in Stochastic Discrete-Event Systems via Differential Privacy" Mathematics 13, no. 8: 1255. https://doi.org/10.3390/math13081255
APA StyleZhao, R., Uzam, M., & Li, Z. (2025). Almost k-Step Opacity Enforcement in Stochastic Discrete-Event Systems via Differential Privacy. Mathematics, 13(8), 1255. https://doi.org/10.3390/math13081255
        

