Next Article in Journal
SO(3): The Principal Bundle Structure
Next Article in Special Issue
Volatility Spillover Effects Between Carbon Futures and Stock Markets: A DGC-t-MSV-BN Model
Previous Article in Journal
Openness, Unionized Labor Markets, and Monetary Policy
Previous Article in Special Issue
Staged Resource Allocation Optimization under Heterogeneous Grouping Based on Interval Data: The Case of China’s Forest Carbon Sequestration
 
 
Font Type:
Arial Georgia Verdana
Font Size:
Aa Aa Aa
Line Spacing:
Column Width:
Background:
Article

Hesitant Fuzzy Consensus Reaching Process for Large-Scale Group Decision-Making Methods

1
School of Economics and Management, Minjiang University, Fuzhou 350108, China
2
Department of Computer Science, University of Jaén, 23071 Jaén, Spain
3
School of Vocational Education, Shandong Youth University of Political Science, Jinan 250103, China
4
Decision Science Institute, School of Economics & Management, Fuzhou University, Fuzhou 350108, China
*
Author to whom correspondence should be addressed.
Mathematics 2025, 13(7), 1182; https://doi.org/10.3390/math13071182
Submission received: 20 December 2024 / Revised: 1 April 2025 / Accepted: 2 April 2025 / Published: 3 April 2025
(This article belongs to the Special Issue Multi-Criteria Decision Making Under Uncertainty)

Abstract

The emergence and popularity of social media have made large-scale group decision-making (LSGDM) problems increasingly common, resulting in significant research interest in this field. LSGDM involves numerous evaluators, which can lead to disagreements and hesitancy among them. Hesitant fuzzy sets (HFSs) become crucial in this context as they capture the uncertainty and hesitancy among evaluators. On the other hand, research on the Consensus Reaching Process (CRP) becomes particularly important in dealing with the inevitable differences among the great number of evaluators. Ways to mitigate these differences to reach an agreement are a crucial area of study. For this reason, this paper presents a new CRP model to deal with LSGDM problems in hesitant fuzzy environments. First, HFSs and Normal-type Hesitant Fuzzy Sets (N-HFSs) are introduced to integrate evaluators’ subgroup and collective opinions, aiming to preserve as much decision information as possible while reducing computational complexity. Subsequently, a CRP with a detailed feedback suggestion generation mechanism is developed, which considers the willingness of evaluators to modify their opinions, thereby improving the effectiveness of reaching an agreement. Finally, a LSGDM framework that does not require any normalization process is proposed, and its feasibility and robustness are demonstrated through a numerical example.

1. Introduction

Group decision-making (GDM) refers to the process where a group of evaluators works together to develop a unified solution for problems with multiple alternatives [1]. With the rapid development of society, management and decision-making demands have become more complex, requiring the independent evaluation of options by decision makers from various backgrounds. Meanwhile, technological advancements have also simplified interpersonal communication, making it practical and effective for large groups to participate in complex decision-making processes. Against this backdrop, GDM problems have evolved from involving just a few evaluators to requiring the participation of a large number of evaluators, giving rise to the concept of large-scale group decision making (LSGDM) [2,3]. Policy assessment [4], venture capital management [5,6], site selection [7,8,9], and tourism management [10] are just a few examples of LSGDM application areas. The in-depth research into LSGDM has attracted considerable attention from scholars in recent years.
Given the complexity of the decision environment, it is impractical for evaluators to provide precise numerical evaluations of the alternatives. In such scenarios, fuzzy sets, introduced by Zadeh [11], provide an effective means to express uncertainty and ambiguous information. This proposal has led to various extensions of fuzzy sets, each designed to better handle uncertainty in decision-making scenarios. The 2-tuple linguistic model [12] was introduced to address linguistic uncertainty by combining symbolic terms with numerical values through symbolic translation. Type-2 fuzzy sets (T2FSs) [13] incorporate a secondary membership function to deal with more complex uncertainty. The q-rung orthopair fuzzy sets (qROFSs) [14] extend intuitionistic fuzzy sets by relaxing the sum constraint on membership and non-membership degrees, while Pythagorean fuzzy sets (PFSs) [15] further generalize this concept by allowing the squared sum of these degrees to be at most 1. Although these extensions enhance the adaptability of fuzzy set theory in uncertain environments, they also have inherent limitations. The 2-tuple linguistic model, while improving linguistic representation, is restricted to a single linguistic term, which may be insufficient for capturing experts’ hesitation [16]. T2FSs, though effective in managing high uncertainty, involve significant computational complexity [17], making them less suitable for LSGDM problems. Both qROFSs and PFSs, despite offering greater flexibility in uncertainty representation, still rely on a single value pair to express membership and non-membership degrees.
However, in practice, evaluators may struggle to provide precise assessments due to hesitation, making it difficult to elicit uncertain information effectively. Motivated by this, Torra [18] proposed hesitant fuzzy sets (HFSs) to better express situations where there is indecision between multiple values. The introduction of HFSs also addresses the challenge in GDM where multiple evaluators hold different opinions, making it difficult to select a single value. For instance, when two evaluators assess an alternative, one might express their evaluation as “0.3” while the other might express it as “0.5”. This can be represented by a HFS as follows: { 0.3 , 0.5 } . As we can see, using an HFS can accommodate the opinions of multiple decision evaluators and retain as much information as possible. However, it also presents certain challenges for subsequent computations. For example, when performing calculations between HFS with different numbers of elements, it is often necessary to adjust the original information, such as adding values to the shorter one based on the evaluators’ risk preferences until the elements’ numbers are aligned. This adjustment introduces additional information into the preferences, which might potentially provoke unreasonable decision outcomes. To solve this limitation, Hao at al. [19] introduced a new information expression tool based on HFS, namely, normal-type hesitant fuzzy sets (N-HFSs), which maintain the advantages of HFSs in effectively depicting hesitant information and reducing the complexity of computation. In the LSGDM framework, the primary and fundamental steps involve collecting evaluation information from individuals and effectively processing this information. The ways in which HFS and N-HFS can be used to facilitate this process warrants further exploration.
Compared to traditional GDM problems, LSGDM problems involve a significantly larger number of participants, resulting in a more complex and time-consuming decision-making process [20]. To reduce dimensional complexity, clustering methods are typically employed to divide a large group of evaluators into several manageable subgroups, as it is nearly impossible to manage a large decision-making group effectively. After clustering, evaluators are divided into several subgroups, with each subgroup considered a decision unit, enabling a more efficient consensus to be reached. The consensus reaching process (CRP) is another crucial component of GDM, and it is a tool designed to resolve or reduce conflicts among evaluators’ viewpoints and facilitate the achievement of consensus within the group. It is a dynamic iterative process that continuously modifies individual opinions, assesses whether the group has reached a predetermined consensus threshold, and decides whether to continue iterating or to stop. Consensus improvement methods can be categorized into two main types as follows: optimization-based consensus models [21,22,23] and feedback consensus models [24,25,26,27,28]. The former one typically uses optimization techniques to minimize the total adjustments needed to achieve consensus within a predetermined threshold, while the latter identifies the evaluators, alternatives, and criteria that need modification and then provides advice to evaluators in changing their preferences. Therefore, in terms of the functional principles, the optimization-based CRP automatically adjusts evaluators’ opinions, generally serving as a support tool for the moderator. In contrast, CRP with a feedback mechanism can simulate a real CRP and provides control over the modifications made to evaluators’ opinions. For this reason, we mainly consider the CRP with a feedback mechanism for LSGDM problems in this paper. In the literature, CRP with a feedback mechanism has yielded numerous outcomes [25,28,29,30]. However, there are some issues that should be noted. First, consensus measurement represents the degree of agreement among evaluators, and it is defined based on the concept of similarity or dissimilarity between their preferences. A way to obtain the consensus degree with hesitant fuzzy information within the LSGDM framework remains an unresolved issue. Although some definitions exist in the current research [31,32,33], they incorporate additional information into the calculations, which inevitably leads to unreasonable decision outcomes [19]. Second, the feedback mechanism plays a crucial role in CRPs, as it provides guidance to evaluators on how to adjust their preferences in order to achieve consensus. Therefore, the ability to offer detailed instructions to evaluators becomes a critical aspect of the feedback mechanism, something that has been insufficiently addressed in existing HFS CRPs research. Finally, it is crucial to consider the evaluators’ willingness to modify their preferences in CRPs, as it reflects the practical applicability of the CRP to some extent. Exploring ways of integrating this aspect into the feedback mechanism is a key issue worth investigating.
Since LSGDM involves a large number of evaluators, and considering the outstanding advantage of HFS in expressing hesitant information, namely, its ability to accommodate diverse information, some scholars have introduced HFS as an information representation tool into the LSGDM framework. For example, Rodríguez et al. [33] proposed an adaptive consensus model for LSGDM problems, aimed at reducing both the time required and the supervision cost involved in the CRP. Lu et al. [32] developed a CRP for incomplete hesitant fuzzy preferences, taking distrust behavior into account. To the best of our knowledge, only a few studies [32,33] have utilized HFS information to address LSGDM problems, yet several critical issues remain to be addressed and significantly improved. (1) Although there has been some research on HFS within the LSGDM framework, none has resolved the problem of needing to include a normalization process that adds values to carry out the computations, and this process might imply bias in the results. (2) Measuring the level of consensus is a crucial aspect in a CRP, typically constructed based on distance. However, the current consensus measurement in an HFS environment often requires that the two HFSs have identical elements, which results in artificially adding decision information during the computation process [31,32,33], and a reasonable consensus measure is still lacking. (3) There is a lack of CRP with a feedback mechanism that provide detailed suggestions for evaluators who need to change their opinion and considers evaluators’ willingness.
Taking into account the aforementioned drawbacks, this proposal aims to develop a novel LSGDM methodology for hesitant fuzzy information, which includes a clustering method based on opinion similarity and a consensus model with a feedback mechanism. The main contributions can be outlined as follows:
  • A distance measure based on the statistical information is developed to quantify the dissimilarity between two N-HFEs (Normal-type hesitant fuzzy elements). On this basis, a consensus measure is subsequently defined.
  • Construct a CRP with a feedback mechanism, which not only provides detailed and clear guidance to the evaluators who need to revise their opinion but also considers the extent to which evaluators are willing to modify their views.
  • A LSGDM framework based on hesitant fuzzy information is introduced, which does not require any normalization to deal with the original decision information.
  • A case study is offered to show the feasibility of the proposed method, and its merits and stability are illustrated through sensitivity and comparative analyses.
The reminder of this paper is organized as follows: Section 2 outlines the basic concepts related to the proposed method. In Section 3, we introduce a hesitant fuzzy CRP with a feedback mechanism. Section 4 presents a numerical example and conducts the sensitivity and comparative analyses to validate the effectiveness of the proposed approach.

2. Preliminaries

This section reviews some basic concepts about LSGDM, CRPs, HFS, and some existing HFS-CRPs that are relevant to the decision model proposed later.

2.1. Large-Scale Group Decision-Making

Decision-making is an extremely common process in daily life. In modern decision-making problems, it is almost impossible for a single person to make a satisfactory decision because of the wide range of information and the many factors that influence it. For this reason, GDM has become a significant part in human life and occupies an important position in the research of decision making [27,34,35,36]. Generally, a GDM problem contains the following aspects:
  • The alternatives’ set A = A 1 , A 2 , , A m , which represents the different options to the decision problem.
  • The set of criteria C = c 1 , c 2 , , c n , which represents the aspects of evaluating the alternatives.
  • The evaluators’ set E = e 1 , e 2 , , e P , representing the evaluators who give their opinion on the alternatives’ set.
Due to the rapid expansion of electronic technology and the arrival of the big data era, mass participation in important decision-making processes has become an inevitable requirement, and the concept of LSGDM has emerged as a result [37]. Obviously, the concept of LSGDM is very similar to GDM, but one major difference between the two is the number of evaluators involved in the decision-making process, which is much higher in the former. The classical definition of the LSGDM problem involved at least 20 evaluators [38], but according to García-Zamora et al. [37], this is an old-fashioned and inadequate definition for society at present, since nowadays, real-world decision situations may require much larger groups [39]. For this reason, we assume in this paper that a LSGDM problem should have hundreds or even thousands of evaluators.
Undoubtedly, the expansion of the number of evaluators led to the scalability problem, since managing large decision groups may be hard because of resource limitations. Therefore, a clustering method is generally required to reduce dimensionality and improve decision efficiency by dividing the large group of evaluators into several subgroups. This is one of the most popular topics of LSGDM, and fruitful contributions have been made [32,33,37,40,41].
On the other hand, when the number of evaluators is large, it is difficult to ensure that the obtained solution can be agreed upon by the evaluators because of their different knowledge, experience, and backgrounds. To improve the level of acceptance degree by the whole evaluators, it is essential to conduct a CRP before the final decision is made. CRP is a dynamic and iterative process that helps evaluators modify their original opinions to bring them closer to each other, thereby increasing the agreement between them. A general CRP scheme is described in Figure 1 and consists of the following four phases:
  • Gathering preferences: Collecting preferences provided by the evaluators for each alternative in relation to the criteria.
  • Consensus measurement: Using the individual preferences of the evaluators, the current level of agreement of the group is obtained by means of some consensus measures (mainly based on distance measure and aggregation operators) [37].
  • Consensus control: The consensus level obtained in the previous phase is compared with a predetermined consensus threshold C D ¯ . The selection process starts if the current consensus level exceeds the consensus threshold. Otherwise, more rounds of discussion will be performed. To avoid an endless process, a maximum number of iteration rounds is also introduced ( r m a x ).
  • Feedback mechanism: Firstly, the opinions of the most divergent evaluators are identified, and then, some suggestions are provided to guide them on how to modify their preferences to achieve a higher degree of consensus.

2.2. Hesitant Fuzzy Sets

Due to the inherent vagueness of human cognition, it is difficult to simply describe an object with a single number. Evaluators may hesitate to choose between multiple values and fail to accurately describe their preferences. To deal with such a situation, Torra [18] proposed the concept of HFSs to enable evaluators to depict their views flexibly.
Definition 1
([18]). Let X be a universal set, a hesitant fuzzy set on X can be defined as follows:
A = x , h A ( x ) x X
where h A ( x ) is a set of various values in the range [ 0 , 1 ] . For convenience, h A ( x ) is referred to as a hesitant fuzzy element (HFE), representing the possible membership degrees of the element x X to A.
By using the concept of HFS, evaluators can express different and hesitant opinions, which also leads to the challenge of defining HFEs with different number of elements and thus increases computational difficulties. In order to have a consistent number of elements in HFEs to perform computations, it is common to add values to a shorter HFE until it has the same cardinality, which is the β -normalization method proposed by Xu and Zhang [42].
Definition 2
([42]). Let h i be a HFE that requires to increase the number of elements, then, the value γ to be added to HFE h i is as follows:
γ = α h i + + 1 α h i
where h i + = max γ | γ h i , h i = min γ | γ h i , and  α [ 0 , 1 ] is the evaluator’s risk attitude.
Thus, two HFEs can easily have the same cardinality for computational purposes. However, the added values inevitably cause information distortion, which affects the objectivity of the subsequent decision-making process and its results. To overcome this issue, Hao et al. [19] proposed the definition of N-HFS, which keeps the property of the HFS of the modeling hesitancy, but expresses the degree of membership in terms of a normal distribution function.
Definition 3
([19]). Let X be a fixed set, then, an N-HFS N can be defined as follows:
N = x , h N ( x ) x X
where h N ( x ) is the set of possible membership degrees and the values in h N ( x ) follow the normal distribution. For simplicity, h N ( x ) is called a N-HFE and each of them can be viewed as a data sample drawn from a specific normal distribution.
As Hao defined in [19], it is generally assumed that the HFEs with numerous elements follow a normal distribution function. The characteristics of such normal distributions are inferred from these HFEs by estimation methods. There are several classical estimation methods in the literature, such as Bayesian estimation, maximum likelihood estimation, and point estimation. Among them, maximum likelihood estimation is one of the most commonly used because it performs efficiently and accurately in large samples. Keeping in mind our proposal focuses on LSGDM, this paper applies the maximum likelihood estimation to obtain the statistical information of HFS data provided by the evaluators.
Existing HFS information aggregation operators mainly target a small amount of data and aggregate information by traversing all elements in the HFEs, and the aggregation results inevitably increase the granularity exponentially [43,44]. For this reason, an aggregation operator for N-HFS was developed by Hao et al. [19] to handle massive HFS data while avoiding information explosion.
Definition 4
([19]). Let h i ( i = 1 , 2 , , n ) be n N-HFEs, and w i is the weight of the corresponding N-HFEs, which satisfies i = 1 n w i = 1 . Then, the normal-type hesitant fuzzy weighted compositional averaging (NHFWCA) operator is defined as Y n = w 1 h 1 + w 2 h 2 + + w n h n , which can be expressed by the following:
N H F W C A ( h 1 , h 2 , , h n ) = i = 1 n w i h i = e y n i = 1 n w i x ¯ h i 2 i = 1 n w i σ h i 2
we assume h N 1 and h N 2 are two N-HFEs, and their normal distribution membership functions are μ 1 ( x ) = e x x ¯ 1 2 σ 1 2 and μ 2 ( x ) = e x x ¯ 2 2 σ 2 2 , respectively. means the compositional rule, which is defined as follows: h N 1 h N 2 = h N 1 x h N 2 x = e x ¯ 1 x ¯ 2 2 σ 1 2 + σ 2 2 .
Additionally, a score function for N-HFEs is proposed to compare two different N-HFEs.
Definition 5
([19]). Let h N be a N-HFE, then, the score function is calculated by the following:
s ( h N ) = x ¯ σ
where x ¯ and σ denote the expectation value and the standard deviation in the N-HFS normal distribution function, respectively. Based on that, the comparison rule for two N-HFEs is defined as follows:
  • If s ( h N 1 ) > s ( h N 2 ) , then h N 1 > h N 2 ;
  • If s ( h N 1 ) < s ( h N 2 ) , then h N 1 < h N 2 ;
  • If s ( h N 1 ) = s ( h N 2 ) , then h N 1 h N 2 .

2.3. The Existing HFS-CRPs

Considering that HFS can accommodate multiple possible values, they effectively capture the inherent hesitation in evaluators’ thinking, making them widely applicable in GDM. However, in the GDM process, the heterogeneity of evaluators in terms of knowledge background, education level, and professional skills makes it difficult to directly aggregate the evaluators’ preferences while ensuring a high degree of consensus within the group. This, in turn, affects the quality and acceptability of the final decision. Therefore, a CRP is typically required to reduce or eliminate differences among evaluators, ensuring the consistency of opinions. In response, some scholars have proposed HFS-based CRP methods to enhance consensus building in GDM. Ding et al. [31] proposed a hesitant fuzzy consensus model to assess the degree of consensus and identify opinions that require modification. Zhang et al. [45] developed an HFS-CRP incorporating a feedback mechanism that offers evaluators guidance on adjusting their preferences. For hesitant fuzzy preferences information, Zhang et al. [46] introduced a novel consensus model to facilitate greater group agreement. Rodríguez et al. [33] proposed an adaptive HFS-CRP within the LSGDM framework, enhancing the efficiency of CRP and reducing the costs. On this basis, Lu et al. [32] developed a CRP that considers distrust behavior in a social network environment and applied it to LSGDM problems.

3. Hesitant Fuzzy Consensus Reaching Process for Large-Scale Group Decision-Making Problems

In this section, a hesitant fuzzy CRP framework for LSGDM is proposed, which mainly includes the following three phases: (i) clustering evaluators into different subgroups based on the c-means algorithm; (ii) developing a consensus measure for hesitant fuzzy information; and (iii) constructing a feedback mechanism to help evaluators modify their opinions.

3.1. Problem Description

Let A = A 1 , A 2 , , A m be a finite set of alternatives, and a group of evaluators, denoted as E = e 1 , e 2 , , e P , needs to assess the alternatives under several criteria C = c 1 , c 2 , , c n . Due to the increasing complexity of the environment, evaluators give their evaluations by fuzzy numbers to better handle the uncertainty that appears in the decision-making process. The decision matrix is expressed as follows:
H k = A 1 A 2 A m ( γ 11 k γ 12 k γ 1 n k γ 21 k γ 22 γ 2 n k γ m 1 k γ m 2 k γ m n k ) c 1 c 2 c n , k = 1 , 2 , , P
Considering the advantages that HFS information has to model hesitant and uncertain information, the opinions of different evaluators in the same position constitute the HFE, which is obtained by Equation (7).
h i j = γ i j k | k = 1 , 2 , , P
Generally, the moderator needs to predetermine two parameters, the consensus threshold and the maximum number of iteration rounds as follows:
  • C D ¯ [ 0 , 1 ] : The consensus threshold, which is established to obtain a solution accepted by most evaluators.
  • r m a x : This parameter is the maximum number of discussion rounds allowed for LSGDM problems to avoid endless discussions.

3.2. C-Means-Based Clustering Method

As described in Section 2.1, the LSGDM problems are more complex than traditional GDM due to the inclusion of a greater number of evaluators. For this reason, a clustering algorithm is required to reduce the dimensionality of evaluators in such problems, thereby simplifying the decision process and enhancing the efficiency of decision making [47]. Clustering is an unsupervised machine learning technique that divides data into a specific number of clusters (groups, subsets), and it has been widely studied in the fields of data mining [48], machine learning [49], and image segmentation [29,50]. After years of research, the relevant scholars have proposed various clustering methods that can generally be categorized into two types as follows [51]: (i) hierarchical clustering, which partitions the dataset into successive layers of clusters, with each subsequent layer’s clusters based on the results of the previous layer, generally with either agglomerative or divisive modes; (ii) partitioning clustering, which simultaneously finds partitions of the entire dataset without a hierarchical structure and divides the data into multiple non-overlapping subsets (clusters), with each subset representing a cluster. Among the various partitioning clustering algorithms, the k-means algorithm [52] stands out for its robustness and becomes the most commonly and widely used algorithm. As decision-making environments become more complex, an extension of k-means, known as c-means [53], has been developed to be applicable in fuzzy environments. It retains the robustness of k-means for determining clustering results while being well-suited for fuzzy environments. Motivated by these advantages, the c-means algorithm is utilized in this paper to cluster the evaluators.
The objective of the c-means algorithm is to find a clustering result that minimizes the objective function value. To achieve this, a set of data points is initially chosen randomly as the cluster centroids. The algorithm then proceeds iteratively through two main steps. (1) Assignment: All remaining data points are assigned to their nearest centroid. (2) Update: Each cluster centroid is recalculated and the data points are assigned to them. The above two steps are repeated until the clusters no longer change. According to the basic idea of c-means, the detailed process of c-means is expressed as follows:
Step 1.
Each decision matrix H k is transformed into a vector, also denoted by H k , k = 1 , 2 , , P .
H k = γ 11 k , γ 12 k , , γ m n k T
where the dimension of H k is m · n . Let J = m · n , and  H k can be denoted as
H k = γ 1 k , γ 2 k , , γ J k T
Step 2.
The number of cluster centroid is selected randomly. In this proposal, the initial number of cluster centroids is set by the number of different alternatives m. Centroids can be either randomly initialized or assigned to a value from the dataset. To avoid subjectivity, the centroids are initially set randomly here. Cluster centroid u i is denoted as follows:
u i = u 1 i , u 2 i , , u J i T
Step 3.
To calculate the distance between H k and cluster centroids u i and assign it to the closest one.
d k i = H k u i 2 = j = 1 J γ j k u j i 2
Step 4.
To recompute the cluster centroids using the current information. Suppose the new cluster centroids are denoted by the following:
u i = u 1 i , u 2 i , , u J i T
Step 5.
When the distance between cluster centroids of two consecutive iterations is lower than a threshold ϵ , then, we generally think the clusters keep stable and the clustering process stops, that is,
Q = i = 1 m u i u i 2 = i = 1 m j = 1 J u j k u j k 2
Step 6.
Output the clusters G 1 , G 2 , , G m

3.3. Consensus Measurement

In this subsection, a consensus measure is defined to compute the level of agreement between evaluators. First, we define the distance measure between two N-HFEs based on the Euclidean distance as follows:
Definition 6.
Let h N 1 and h N 2 be two N-HFEs and their normal distribution membership functions are f 1 ( x ) = e x μ 1 2 σ 1 2 and f 2 ( x ) = e x μ 2 2 σ 2 2 . According to the concept of Euclidean distance, the distance of two N-HFEs can be defined as follows:
d ( h N 1 , h N 2 ) = ( μ 1 μ 2 ) 2 + ( σ 1 2 σ 2 2 ) 2
Proposition 1.
For the distance measure between two N-HFEs defined in Equation (14), the following properties hold:
 (1) 
0 d ( h N 1 , h N 2 ) 1 .
 (2) 
d ( h N 1 , h N 2 ) = 0 if and only if h N 1 = h N 2 .
 (3) 
d ( h N 1 , h N 2 ) = d ( h N 2 , h N 1 ) .
 (4) 
d ( h N 1 , h N 2 ) d ( h N 1 , h N 3 ) + d ( h N 3 , h N 2 ) .
Proof of Proposition 1. 
(1)
Due to 0 μ 1 , μ 2 1 , 0 σ 1 2 , σ 2 2 0.25 , then, we have 0 ( μ 1 μ 2 ) 2 1 and 0 ( σ 1 σ 2 ) 2 0.0625 . Accordingly, the upper limits of the distance is ( μ 1 μ 2 ) 2 + ( σ 1 σ 2 ) 2 1 + 0.0625 1.03 . However, in a real situation, the distance value is actually no more than 1 since μ and σ will not be maximized at the same time. There are three extreme situations.
  • When μ 1 = 0 , σ 1 2 = 0 , μ 2 = 1 , σ 2 2 = 0 , the distance is 1.
  • When μ 1 = 0 , σ 1 2 = 0.25 , μ 2 = 1 , σ 2 2 = 0.25 , the distance is 1.
  • In other cases, the difference will be smaller. For instance, when μ 1 = 0.5 , σ 1 2 = 0.25 , μ 2 = 0.5 , σ 2 2 = 0 , the distance is 0.25.
In summary, 0 d ( h N 1 , h N 2 ) 1 is proved.
(2)
If d ( h N 1 , h N 2 ) = 0 , we have μ 1 μ 2 = 0 and σ 1 2 σ 2 2 = 0 , that is, μ 1 = μ 2 and σ 1 2 = σ 2 2 , so h N 1 = h N 2 is obtained.
If h N 1 = h N 2 , we have μ 1 = μ 2 and σ 1 2 = σ 2 2 , then, d ( h N 1 , h N 2 ) = 0 is proved.
(3)
As this is obvious, the proof is omitted here.
(4)
We assume a 1 = μ 1 μ 3 a 2 = μ 3 μ 2 b 1 = σ 1 2 σ 3 2 b 2 = σ 3 2 σ 2 2 , then, we have a 1 + a 2 = μ 1 μ 2 b 1 + b 2 = σ 1 2 σ 2 2 . According to the Minkowski inequality, we have the following:
d ( h N 1 , h N 2 ) = ( a 1 + a 2 ) 2 + ( b 1 + b 2 ) 2 a 1 2 + b 1 2 + a 2 2 + b 2 2 = d ( h N 1 , h N 3 ) + d ( h N 3 , h N 2 )
Thus, d ( h N 1 , h N 2 ) d ( h N 1 , h N 3 ) + d ( h N 3 , h N 2 ) is proved.
   □
To facilitate a clearer comprehension for the reader, an exemplary case is employed to elucidate the computation of the proposed distance measure.
Example 1. 
Let the preferences for alternative A 1 , provided by subgroup G 1 , be 0.5 , 0.6 , 0.7 , 0.8 , 0.8 , 0.3 , 0.3 , 0.44 , 0.56 , 0.7 and those provided by subgroup G 2 be 0.3 , 0.44 , 0.5 , 0.66 , 0.3 , 0.4 , 0.5 , respectively. Then, if we express it by NHFS, we have h N 1 = e x 0.57 2 0 . 18 2 and h N 2 = e x 0.44 2 0 . 12 2 . Using Equation (14), the distance between two N-HFEs is as follows:
d ( h N 1 , h N 2 ) = ( 0.57 0.44 ) 2 + ( 0.18 0.12 ) 2 = 0.1432
In the above example, we can see that if we use NHFS as the information representation form, the number of elements does not matter. However, if the traditional HFE is adopted to express the above situation, then, they are h 1 = 0.3 , 0.44 , 0.5 , 0.56 , 0.6 , 0.7 , 0.8 and h 2 = 0.3 , 0.4 , 0.44 , 0.5 , 0.92 . When we calculate the distance between h 1 and h 2 , the two HFEs must first be normalized. This involves adding elements to the shorter HFE based on the decision makers’ risk preferences until the number of elements in both HFEs is equal. This process not only distorts the original decision-making information but also overly relies on the decision makers’ subjective judgment, potentially leading to unreasonable outcomes.
Then, the consensus measure based on the distance measure is defined, and this is decomposed into four levels, expressed as follows:
(1)
The consensus degree of subgroup G t about alternative A i with respect to criterion c j is defined as follows:
C D i j t = C D i j ( H t , H c ) = 1 d H i j t , H i j c
(2)
The consensus degree of subgroup G t of alternative A i is defined as follows:
C D i t = C D i ( H t , H c ) = 1 n j = 1 n 1 d H i j t , H i j c
(3)
The consensus degree of subgroup G t is calculated by the following:
C D t = C D ( H t , H c ) = 1 m · n i = 1 m j = 1 n 1 d H i j t , H i j c
(4)
The overall consensus degree can be obtained by the following:
C D = t = 1 k w t · C D t
where w t represents the weight of the subgroup G t . In this paper, we assume the weights of subgroups are equal, that is w t = 1 k .
After obtaining the overall consensus level C D , it is necessary to determine whether the group has reached an agreement by comparing C D with a predefined consensus threshold C D ¯ . If  C D C D ¯ , this means that the whole group has reached a consensus and can move on to the selection process. Otherwise, it is necessary to perform another round of discussion and identify which evaluations provided by evaluators need to be modified. To do so, the following steps are performed.
(1)
Identification rule for the subgroup with the lowest consensus in round r. Once the subgroup is identified, all evaluators in this subgroup need to change their evaluations.
G ( r ) = G t min t C D t ( r )
(2)
Identification rule for the alternative with the lowest consensus in the subgroup G t in round r.
A t ( r ) = A i min i C D i t ( r ) G t G ( r )
(3)
Identification rule for the criteria with the lowest consensus regarding alternative A i in the subgroup G t in round r.
C i t ( r ) = c j C D i j t ( r ) < C D ¯ A i A t ( r )

3.4. Feedback Mechanism

After determining the evaluators who need to reconsider their evaluations, we propose a feedback mechanism for providing detailed advice to evaluators and improve the consensus of the group. Consequently, a feedback mechanism is constructed as follows:
Let γ i j k ( r + 1 ) be the r + 1 round evaluation of evaluator e k , which belongs to subgroup G t . Motivated by the proposal of Liang et al. [27], the evaluation can be modified based on the willingness of the evaluators as follows:
γ i j k r + 1 = 1 θ k × γ i j k ( r ) + θ k × μ i j ( r )
where μ i j represents the mean of the normal distribution of the collective opinion; and θ k represents the willingness of evaluator e k to modify their original opinion, where 0 θ k 1 . A higher value of θ k indicates a greater willingness to adjust the initial preference, while a lower value suggests a stronger inclination to retain the original judgment. Since this coefficient is predefined by each evaluator, it varies based on individual attitudes toward opinion adjustment.
To better explain the process, the flowchart shown in Figure 2 summarizes the entire CRP model. Additionally, the CRP for handling hesitant fuzzy information is detailed in Algorithm 1.
Algorithm 1 The proposed hesitant fuzzy CRP
Require: 
Map preferences
Require: 
List of alternatives
Require: 
List of criteria
Require: 
List of evaluators
Require: 
Coefficient of modification θ
Require: 
Consensus threshold C D ¯
Require: 
Maximum iteration r m a x
1:
m length (alternatives)
2:
n length (criteria)
3:
P length (evaluators)
4:
r 0
5:
do
6:
  Clustering method based on c-means G 1 , G 2 , G q
7:
   q length (subgroups)
8:
  for  t = 1 to q do
9:
     for  k = 1 to P do
10:
       for  i = 1 to m do
11:
          for  j = 1 to n do
12:
             C D i j t  computeConsensusLevelOfSubgroupOfAlternativeUnderCriterion()
13:
             C D i t computeConsensusLevelOfSubgroupOfAlternative()
14:
             C D t computeConsensusLevelOfSubgroup()
15:
             C D computeConsensusLevel()
16:
            if  ( C D < C D ¯ ) OR r < r max  then
17:
                G i j t ( r ) identifyChanges()
18:
                γ i j k r + 1 feedbackProcess( θ )
19:
               updateClusters(subgroups(q))
20:
            end if
21:
             r r + 1
22:
          end for
23:
       end for
24:
     end for
25:
  end for

3.5. Selection Process

Once the predefined consensus threshold is reached, the selection process is activated to generate the ranking of alternatives. In this paper, we aggregate the alternatives under each criterion by the NHFCWA operator and obtain the score value of each alternative by Equation (5). The alternatives are ranked according to the score value. The larger the score value, the better alternative.

4. Case Study

In this section, a numerical example is provided to demonstrate the feasibility and applicability of the proposed method. We have uploaded the data for three scenarios and the code for this proposal to the github repository: https://github.com/Wei-Liang913/HFS_CRP.git (accessed on 1 Febunary 2025).

4.1. Case Description

Since 2023, China’s tourism industry has fully recovered, with residents’ travel intentions consistently remaining above 90% each quarter, averaging 91.85% for the year. These data not only reflect a sustained enthusiasm for travel but also indicates a strong rebound in the tourism market. In the first quarter of 2024, the domestic tourism market continued its positive trend, with total domestic tourism trips reaching 1.419 billion, a 16.7% increase from the previous year. Domestic tourism revenue amounted to CNY 1.52 trillion, showing a 17.0% year-on-year growth. This increase highlights the booming development of the tourism industry, the improvement in residents’ consumption capabilities, and the rising demand for high-quality travel experiences.
However, with the rapid recovery of the tourism industry, the sector faces a series of new challenges. Sudden events such as public health crises and natural disasters pose threats to the stability and safety of the tourism market. For instance, the resurgence of pandemics, frequent natural disasters, and unexpected social events have impacted travel safety and tourism experiences. These issues not only raise higher demands for the operation and management of the tourism industry but also underscore the importance of strengthening emergency management and risk control. To ensure the sustainable and healthy development of the tourism sector, it is essential to actively address these emergencies and safeguard both visitor safety and industry stability.
In emergency management, the role of logistics services, especially emergency logistics services, is crucial. Emergency logistics service providers focus on delivering rapid and efficient transportation and distribution of supplies during crises. Compared to traditional logistics, emergency logistics services demand higher responsiveness and flexibility. These providers can quickly mobilize resources in emergencies, ensuring that critical supplies such as medical equipment, food, and rescue materials reach the affected areas promptly.
To quickly address the impact of sudden events on tourists, a large tourism company in Fujian aims to establish a long-term partnership with an emergency logistics service provider. After initial research and analysis, four well-know logistic companies in the industry are identified, denoted as A 1 , A 2 , A 3 , and A 4 . These logistic companies need to be evaluated based on three main criteria { c 1 , c 2 , c 3 } , where c 1 denotes price, c 2 denotes speed, and c 3 denotes customer satisfaction.
Just as García-Zomora et al. [37] said, advancements in technology have enabled LSGDM to extend beyond just 20 evaluators. Now, it is very common for hundreds or even thousands of participants to be involved. In order to show the feasibility and flexibility of the proposed method, there are three scenarios we constructed based on the number of evaluators involved as follows: 20 evaluators, 50 evaluators, and 100 evaluators. The moderator set the maximum number of CRP rounds to 5. Considering the large number of decision makers, achieving a high level of consensus, such as 0.9 , is relatively difficult, as it would require evaluators to be almost in complete agreement with the group opinion. Therefore, the moderator set the consensus threshold at 0.82 to facilitate reaching consensus.

4.2. Scenario 1

This subsection simulates the LSGDM problem with a lower number of evaluators, 20, to understand the CRP performance. Given the complexity inherent in the human mind and the external decision environment, evaluators assess the alternatives under different criteria by a fuzzy number. Due to space constraints, Table 1 only presents a portion of the initial preferences. The proposed method is applied to solve this problem, the specific steps are listed as follows:
Step 1.
Classify evaluators into several subgroups based on opinion similarity by the c-means algorithm. Evaluators are divided into four subgroups, as shown in Table 2.
Step 2.
The individual decision matrix is aggregated by subgroups into subgroup decision matrices by Equation (7), denoted by N-HFE, and the results are shown in Table 3, Table 4, Table 5 and Table 6. The collective opinions are then obtained by the NHFWCA operator with Equation (4); see Table 7.
Step 3.
To compute the different levels of consensus by Equations (14)–(18), we have four subgroups’ consensus levels as follows: C D 1 ( 0 ) = 0.7504 , C D 2 ( 0 ) = 0.7948 , C D 3 ( 0 ) = 0.7352 , and C D 4 ( 0 ) = 0.7878 . The overall consensus is C D ( 0 ) = 0.77 , which is less than the consensus threshold C D ¯ = 0.82 . As C D ( 0 ) < C D ¯ , the group does not reach the acceptable consensus level. The feedback mechanism is implemented to improve the consensus level.
Step 4.
To use the feedback mechanism to modify the evaluators’ opinion.
Round 1:
According to the identification rules, evaluators in the subgroup that have a minimal consensus degree need to change their opinions, that is, all evaluators in the subgroup G 3 , i.e., e 4 , e 14 , are required to modify the evaluations of the three criteria of four alternatives by Equation (22). Taking the example of evaluator e 4 ’s evaluation of alternative A 1 on criterion c 1 , h 21 4 ( 0 ) = 0.46 . By Equation (22), the evaluation for the next round is h 21 4 ( 1 ) = 0.5116 . Similarly, we can obtain a new round of evaluations for the other evaluations that need to be modified. After modification, we apply the c-means algorithm again for clustering 20 evaluators based on their current preferences. The clustering results, updated with the modified preferences, are presented in Table 8. To better visualize the evolution of the evaluators’ preferences during the CRP, we apply Principal Component Analysis (PCA) to project the decision matrices into a 2D space, as shown in Figure 3. PCA is a dimensionality reduction technique that transforms high-dimensional data into a smaller number of uncorrelated components while preserving as much variance as possible. In this visualization, each principal component is a linear combination of the original decision matrices, with Principal Component 1 capturing the most variance and Principal Component 2 capturing the second most variance. The closer two evaluators appear in this space, the more similar their opinions are.
Due to the updated clustering results, the statistical information for subgroups G 2 , G 3 , and G 4 has also changed. The updated results and group evaluations are shown in Table 9, Table 10, Table 11 and Table 12. Accordingly, the consensus levels of each subgroup are obtained as follows: C D 1 ( 1 ) = 0.8096 , C D 2 ( 1 ) = 0.8110 , C D 3 ( 1 ) = 0.7820 , and C D 4 ( 1 ) = 0.7717 . Then, the overall consensus is improved as C D ( 1 ) = 0.79 . However, it still falls short of reaching the consensus threshold.
Round 2:
Similarly, the evaluators in subgroup G 2 are advised to revise their opinions based on the identification rules. The consensus degrees for subgroups are calculated as follows: C D 1 ( 2 ) = 0.8060 , C D 2 ( 2 ) = 0.8059 , C D 3 ( 2 ) = 0.8123 , and C D 4 ( 2 ) = 0.8730 . This results in an overall consensus degree of C D ( 2 ) = 0.82 , which meets the predefined consensus threshold C D ¯ . Table 13 exhibits the iterations of the CRP. It is evident that with each iteration, both overall consensus and subgroup consensus demonstrate steady improvement, ultimately reaching the predefined consensus level.
The consensus level is acceptable, and the selection process starts.
Step 5.
The alternatives are aggregated by means of the NHFCWA operator by Equation (4). Then, based on the score value obtained by Equation (5), the final ranking is obtained as follows: A 3 A 1 A 4 A 2 , as shown in Table 14.

4.3. Scenario 2

In this subsection, 50 evaluators are involved in the decision-making process. The assessment provided by evaluators is still in the form of fuzzy numbers. The computational procedure is identical to that described in the previous subsection. Due to space constraints, the detailed computational process has been omitted.
Following the clustering process, we identified four subgroups with initial opinion and visualized the clustering process in each round using Principal Component Analysis, as shown in Figure 4. After that, we calculated their consensus degrees as follows: C D 1 ( 0 ) = 0.7909 ,   C D 2 ( 0 ) = 0.7950 ,   C D 3 ( 0 ) = 0.7611 , and C D 4 ( 0 ) = 0.7829 . Then, the overall consensus is C D ( 0 ) = 0.78 , which did not meet the established threshold, indicating that the evaluators’ opinions required adjustment to improve agreement. Notably, the subgroup G 3 has the lowest level of consensus, necessitating that all evaluators within this subgroup revise their opinions. After modification, the consensus levels of each subgroup are as follows: C D 1 ( 1 ) = 0.8262 ,   C D 2 ( 1 ) = 0.7802 ,   C D 3 ( 1 ) = 0.8565 , and C D 4 ( 1 ) = 0.7682 . The overall consensus level increased as C D ( 1 ) = 0.81 , which is still less than the consensus threshold. We repeated the process, and evaluators in subgroup G 4 then revised their preferences. The resulting consensus degrees of the subgroups in round two are as follows: C D 1 ( 2 ) = 0.8286 , C D 2 ( 2 ) = 0.8237 , C D 3 ( 2 ) = 0.8288 , and C D 4 ( 2 ) = 0.8809 . This yielded an overall consensus level as C D ( 2 ) = 0.84 , reaching the required threshold. With consensus achieved, the CRP ends and the entire process is detailed in Table 15. We then proceed to the selection phase, where the final ranking of alternatives obtained based on score values is as follows: A 1 A 2 A 3 A 4 .

4.4. Scenario 3

In this scenario, we simulated 100 evaluators to deal with such a LSGDM problem. In round 0, the evaluators were classified. Figure 5 shows the evolution of the clustering process. The consensus degrees for each subgroup are naturally calculated as follows: C D 1 ( 0 ) = 0.7623 , C D 2 ( 0 ) = 0.8050 , C D 3 ( 0 ) = 0.7932 , and C D 4 ( 0 ) = 0.8312 , resulting in an overall consensus of C D ( 0 ) = 0.8 . This level of overall consensus does not meet the predefined threshold, prompting the activation of CRP to improve evaluator agreement. The CRP steps remain consistent with the previous scenarios, identifying subgroup G 1 as having the lowest consensus level. After one round of modifying evaluators’ opinions, the updated consensus levels for subgroups are as follows: C D 1 ( 1 ) = 0.8397 , C D 2 ( 1 ) = 0.8373 , C D 3 ( 1 ) = 0.7934 , and C D 4 ( 1 ) = 0.8197 , with an overall consensus degree of C D ( 1 ) = 0.82 , as shown in Table 16. With consensus at an acceptable level, the selection process commenced, resulting in a final ranking of all alternatives as follows: A 4 A 3 A 1 A 2 .

4.5. Sensitivity Analysis

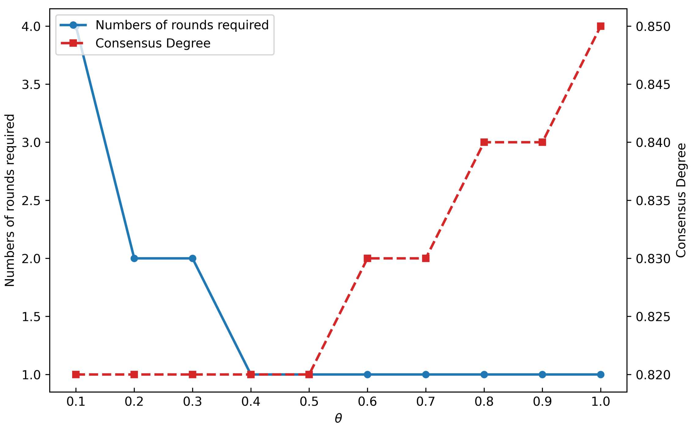
Sensitivity analysis is regarded as one of the classic methods for testing the stability of a given method in the field of decision making. It primarily involves altering the input values within the method and observing the impact of these changes on the final decision results. In this paper, the evaluators’ modification coefficient is a crucial factor that influence the consensus process and final decision outcome. Consequently, the sensitivity analysis is carried out to demonstrate how these parameters influence the outcomes in this subsection. It should be noted that, given the increased complexity introduced by a larger number of evaluators, Scenario 3, which involves 100 evaluators, is used for the sensitivity analyses. Therefore, in this section, we will vary the θ value from 0 to 1 to study its influence on the proposed method.
Firstly, Figure 6 illustrates the following two important factors related to the CRP: the number of rounds required to reach consensus and the final consensus degree. It is evident from the figure that as the value of θ increases, the number of rounds required tends to decrease. This is because the modification coefficient of the evaluators represents the extent to which they are willing to adjust their evaluations. When θ = 0.1 , it signifies that the evaluators are barely willing to modify their initial opinions. Consequently, the influence of group opinions on the evaluators is relatively minimal, leading to consensus being achieved only after four rounds of opinion adjustments, while when θ 0.4 , only one round is needed to reach the predetermined consensus level. On the other hand, as the value of θ increases, the final consensus level also improves. From Figure 6, we can see that when θ is set to 0.5 and 0.6 , consensus is achieved within just one round in both cases. However, the final consensus levels differ, reaching 0.82 and 0.83 , respectively. This also shows that the stronger the evaluators’ willingness to adjust their opinions, the more easily they are influenced by collective opinion, and they are more likely to adjust their opinions significantly in each round. As a result, fewer rounds are needed to reach a consensus, and a higher level of consensus is ultimately achieved.
Figure 7 displays the experimental results, illustrating how the scores and rankings of alternatives change as the value of θ fluctuates between 0 and 1. After examining Figure 6, it is evident that different θ values influence the final scores, while the ranking of alternatives remains consistent. From this observation, the following conclusions can be drawn: (i) The proposed method demonstrates robustness, ensuring the stability of rankings under varying parameter values. Specifically, regardless of changes in the θ value, the ranking of alternatives remains unchanged, suggesting that the ranking results are insensitive to variations in θ . (ii) The θ value has a significant impact on the decision-making process. As shown in the figure, a general trend can be observed as follows: as the θ value changes, the score values also fluctuate, and the differences between alternative scores become more pronounced. This phenomenon indicates that the evaluators’ willingness to revise their opinions impacts the process of decision making. The greater the willingness, the more significant the effect.

4.6. Comparative Analyses

In this paper, we introduce a novel CRP for LSGDM in handling uncertain and hesitant information using N-HFS, without incorporating any normalizations during the consensus and decision processes. Solving this kind of decision problems through N-HFS is creative, and it was previously unexplored in the literature. To emphasize the advantages and validity of the proposed method, we will conduct qualitative comparative analysis with the existing methodologies. Additionally, we have implemented a traditional HFS-based method for a quantitative comparison with the proposed approach. These comparative analyses aim to highlight the unique contributions and feasibility provided by the proposed method.

4.6.1. Qualitative Comparison

Previous studies have explored HFS-CRPs, but certain research limitations warrant further attention. However, a direct quantitative comparison is challenging due to several factors. First, some existing HFS-CRPs are designed for traditional GDM with only a few evaluators, and this cannot be directly extended to LSGDM, making direct comparisons impractical [54]. Furthermore, different CRPs use distinct types of information representations (e.g., preference relations), which require transformation for comparison. This transformation inevitably alters the results, making direct comparisons unreliable. Given these challenges, we provide a qualitative comparison instead. The comparison results are presented in Table 17, highlighting the distinctiveness of the proposed consensus model.
Firstly, relying on only a few evaluators is increasingly inadequate in today’s complex decision-making environments. The involvement of more decision makers has become an inevitable trend. However, the studies developed by Ding et al. [31], Zhang et al. [45], and Zhang et al. [46] only address a small number of evaluators, such 4 or 5. This falls short of meeting the current decision-making needs and results in decision outcomes lacking the collective intelligence of a larger group. Secondly, as is well known, HFS can include multiple elements within a membership degree, which is the primary reason it can handle hesitation in decision process. However, this also introduces difficulties when performing calculations between different HFSs. When you make computations with two or more HFSs, the existing consensus models either assume the number of elements is uniform [32,45], which is often not the case in reality, or require normalization [31,33,46], leading to the distortion of the original decision information. Finally, an appropriate feedback mechanism is needed to guide the evaluators’ adjustments, helping align their viewpoints towards enhancing group consensus. Among the compared methods, the CRPs proposed by Lu et al. [32,45,46] includes suggestions for evaluators modifications. However, it does not consider the evaluators’ willingness to adjust their evaluations, assuming instead that evaluators are always willing to accept the moderator’s recommendations, which makes the CRP difficult to apply realistically.
In summary, the CRP proposed in this paper is not only suitable for LSGDM but also provides a feedback mechanism while considering the evaluators’ personal willingness. The entire CRP does not require normalization, thus avoiding the issue of decision outcomes being skewed by artificially added information.

4.6.2. Quantitative Comparison

Due to the differences in information representation, it is difficult to find comparable methods in the existing literature. To better demonstrate the effectiveness of the proposed method, we have developed two comparison approaches.
  • HFS-based CRP. The evaluation information is expressed with traditional HFSs instead of N-HFSs, while keeping the overall decision process unchanged.
  • AHC-based CRP. The clustering method is replaced with an agglomerative hierarchical clustering (AHC), while the rest of the process remains the same.
To ensure a fair comparison, we conduct experiments using a scenario with 100 evaluators across different methods. The detailed discussion of the comparisons is presented below.
(1)
Comparison with HFS-based CRP.
Due to the change in the form of information, the corresponding methods for aggregating different HFEs and calculating the distance between them also needed to be adjusted accordingly. The specific steps are listed as follows:
Step 1.
To use the c-means algorithm to divide evaluators into several subgroups.
Step 2.
To aggregate subgroup opinions and collective opinion using the adjusted hesitant fuzzy averaging (AHFA) operator [55], as defined in Equation (23).
AHFA ( h 1 , h 2 , , h n ) = j = 1 n 1 n h j = 1 j = 1 n 1 h j σ ( t ) 1 n t = 1 , 2 , , l
Step 3.
The β normalization method is applied to maintain consistency in the number of elements within subgroups and the collective opinion. Then, the consensus degree for different levels is calculated based on the Hamming hesitant fuzzy distance [56], as shown in Equation (24).
d ( h 1 , h 2 ) = 1 l λ = 1 l γ 1 λ γ 2 λ
Step 4.
If the overall consensus level reaches the predefined threshold, the process advances to the selection stage. If the threshold is not met, an identification rule is applied to determine which evaluators within each subgroup should adjust their preferences. Given the distinct structures of HFS and N-HFS, evaluations are modified using the following equation. The CRP continues to run until consensus is reached.
γ i j k r + 1 = 1 θ k × γ i j k ( r ) + θ k × γ i j ( r )
We conducted numerical experiments using 100 evaluators (Scenario 3) with the traditional HFS-based method. The initial consensus obtained is 0.79 , which is less than the consensus threshold, triggering a CRP. After two rounds of iteration, the decision group reached full consensus with a final consensus degree of 0.84 . The ranking result is generated as A 1 A 3 A 4 A 2 . Compared with the ranking result obtained by the proposed method ( A 4 A 3 A 1 A 2 ), we can see that the final outcomes obtained by the two methods are not the same. The cause of this phenomenon is summarized as follows:
  • It can be seen that we have employed the aggregation operator proposed by Liao et al. [55] for aggregating collective decision-making information. This operator extracts information through ranking orders, addressing the issue of information overload often encountered with traditional aggregation operators. In other words, using the AHFA aggregator mitigates the issue of the number of elements in the HFE increasing exponentially. However, aggregating through ranking essentially leads to information loss, which affects the reliability of the decision outcomes [19].
  • Subgroup opinions are represented using HFS information in the traditional HFS-based method. This implies that the number of HFE elements contained in different groups is different. When calculating the degree of consensus, the β -normalization method is used based on the evaluators’ risk preferences to standardize the HFEs, ensuring they have the same cardinality. However, this can distort the decision information and increase the subjectivity of the decision outcomes.
(2)
AHC-based CRP.
To highlight the importance of evaluator clustering, we have compared our proposed method with the Agglomerative Hierarchical Clustering (AHC) approach. Specifically, we have replaced the clustering step in our framework with AHC, and we have obtained the corresponding clustering and decision results, as shown in Figure 8 and Table 18.
As we can see from Figure 5 and Figure 8, the clustering results differ due to the distinct approaches used to group evaluators. The AHC method is a bottom–up clustering method that starts with each data point as an individual cluster and iteratively merges the closest clusters until a single cluster remains. In contrast, c-means clustering is a partition-based method that assigns evaluators to a fixed number of clusters by minimizing intra-cluster variance. These fundamental differences in clustering mechanisms lead to variations in the initial cluster structure, which subsequently impact the CRP and final decision outcomes. As seen in Table 18, although both methods ultimately reached the same final consensus level (0.82) within one iteration, their initial consensus levels vary slightly due to their different method for evaluator grouping. This variation affects how individual opinions are aggregated, ultimately leading to different ranking orders of alternatives. Specifically, in AHC, the hierarchical merging process tends to form more imbalanced clusters, which might cause certain evaluators’ opinions to have a stronger influence on the final decision. On the other hand, c-means ensures more balanced clusters by iteratively optimizing evaluator assignments, leading to a more stable aggregation of preferences. Given that AHC has a higher computational complexity and does not improve the efficiency of reaching consensus, c-means remains a more suitable choice for LSGDM. Moreover, the observed ranking differences reinforce the idea that clustering strategies significantly affect the CRP, emphasizing the importance of selecting an appropriate method for evaluator grouping.

5. Conclusions

With the surge of social media and continuous advancements in science and technology, LSGDM has become increasingly common in various real-world scenarios. In light of this trend, we introduced a new CRP framework for LSGDM that integrates a detailed feedback mechanism in this paper. By incorporating N-HFS for LSGDM problems, we address the shortcomings of traditional HFS methods, which often require additional subjective information, thus expanding the applicability of LSGDM. Below, we outline the key features of our proposed method:
  • The use of N-HFS accommodates different evaluation preferences provided by multiple evaluators, resolving the computational difficulties associated with traditional HFS due to varying numbers of elements, which makes it difficult to apply to LSGDM.
  • Utilizing N-HFS information to develop a consensus model with a feedback mechanism not only expands the application scope of N-HFS but also enhances the evaluators’ acceptance of recommendations, thereby advancing the field of LSGDM.
  • A consensus feedback mechanism which provides evaluators with detailed recommendations and considers their acceptance of the suggestions has been introduced. This mechanism helps to increase low feedback acceptance, thereby facilitating the consensus process.
This framework can be applied to various real-world decision-making fields where large-scale and hesitant fuzzy decision making is prevalent. For instance, in healthcare decision making, the framework assists in aggregating expert evaluations for diagnosis and treatment planning, especially in cases involving uncertainty and hesitation. In supplier selection within supply chain management, it provides a structured methodology for assessing multiple criteria, ensuring more informed and strategic procurement decisions. These applications demonstrate the adaptability of our approach in handling complex decision-making problems across different domains.
A possible future work could explore the functionality and effectiveness of minimum cost considerations within the CRP framework and incorporate Kolmogorov–Smirnov distance. Another intriguing research direction would be to investigate the impact of uncooperative behavior among evaluators who may refuse to adhere to the recommendations of moderators.

Author Contributions

Conceptualization, W.L. and Á.L.; methodology, W.L. and Á.L.; validation, Y.-M.W., Á.L. and R.M.R.; writing—original draft preparation, W.L. and M.-J.M.; writing—review and editing, W.L., Á.L., Y.-M.W. and R.M.R.; visualization, M.-J.M.; supervision, Á.L., Y.-M.W. and R.M.R.; funding acquisition, W.L. and R.M.R. All authors have read and agreed to the published version of the manuscript.

Funding

This work is partially supported by the National Natural Science Foundation of China (No. 72401083), the Young Project of the Social Science Planning of Fujian Province (Nos. FJ2024C075, FJ2023C037), the Young Project of the Natural Science Foundation of Fujian Province (No. 2024J08286), the Minjiang University Scientific Research Start-up Project (No. MJY24004), and by the Junta of Andalucía under the Excellence Research Program (ProyExcel_00257).

Data Availability Statement

Data are contained within the article.

Conflicts of Interest

The authors declare no conflicts of interest.

References

  1. Zhang, H.; Zhao, S.; Kou, G.; Li, C.C.; Dong, Y.; Herrera, F. An overview on feedback mechanisms with minimum adjustment or cost in consensus reaching in group decision making: Research paradigms and challenges. Inf. Fusion 2020, 60, 65–79. [Google Scholar]
  2. Palomares, I.; Martinez, L.; Herrera, F. A consensus model to detect and manage noncooperative behaviors in large-scale group decision making. IEEE Trans. Fuzzy Syst. 2013, 22, 516–530. [Google Scholar]
  3. Zhang, Z.; Guo, C.; Martínez, L. Managing multigranular linguistic distribution assessments in large-scale multiattribute group decision making. IEEE Trans. Syst. Man Cybern. Syst. 2016, 47, 3063–3076. [Google Scholar]
  4. Liu, W.; Zhu, J.; Chiclana, F. Large-scale group consensus hybrid strategies with three-dimensional clustering optimisation based on normal cloud models. Inf. Fusion 2023, 94, 66–91. [Google Scholar]
  5. Gong, K.; Ma, W.; Lei, W.; Goh, M. A dynamic trust network and influence measure-based consensus model for large-scale group decision-making with incomplete intuitionistic fuzzy preference relations. J. Oper. Res. Soc. 2024, 75, 1157–1177. [Google Scholar]
  6. Gou, X.; Xu, Z. Managing noncooperative behaviors in large-scale group decision-making with linguistic preference orderings: The application in Internet Venture Capital. Inf. Fusion 2021, 69, 142–155. [Google Scholar]
  7. Gao, J.; Wang, Y.; Guo, F.; Chen, J. A two-stage decision framework for GIS-based site selection of wind-photovoltaic-hybrid energy storage project using LSGDM method. Renew. Energy 2024, 222, 119912. [Google Scholar]
  8. Liu, F.; Zhou, Z.; Wu, J.; Liu, Y. Location Selection for Dry Hot Rock Exploration Based on Large-Scale Group Decision-Making with Three-way Decision. Int. J. Fuzzy Syst. 2024, 26, 1604–1617. [Google Scholar]
  9. Pang, K.; Lu, Y.; Martínez, L.; Pedrycz, W.; Zou, L.; Lu, M. A conceptual clustering method for large-scale group decision-making with linguistic truth-valued lattice implication algebra. Appl. Soft Comput. 2024, 155, 111418. [Google Scholar]
  10. Yu, B.; Zheng, Z.; Xiao, Z.; Fu, Y.; Xu, Z. A large-scale group decision-making method based on group-oriented rough dominance relation in scenic spot service improvement. Expert Syst. Appl. 2023, 233, 120999. [Google Scholar]
  11. Zadeh, L.A. Fuzzy sets. Inf. Control 1965, 8, 338–353. [Google Scholar]
  12. Herrera, F.; Martínez, L. A 2-tuple fuzzy linguistic representation model for computing with words. IEEE Trans. Fuzzy Syst. 2000, 8, 746–752. [Google Scholar]
  13. Zadeh, L.A. The concept of a linguistic variable and its application to approximate reasoning—I. Inf. Sci. 1975, 8, 199–249. [Google Scholar]
  14. Yager, R.M.R. Generalized orthopair fuzzy sets. IEEE Trans. Fuzzy Syst. 2016, 25, 1222–1230. [Google Scholar]
  15. Yager, R.M.R. Pythagorean membership grades in multicriteria decision making. IEEE Trans. Fuzzy Syst. 2013, 22, 958–965. [Google Scholar]
  16. Rodriguez, R.M.; Martinez, L.; Herrera, F. Hesitant fuzzy linguistic term sets for decision making. IEEE Trans. Fuzzy Syst. 2011, 20, 109–119. [Google Scholar]
  17. Chen, T.Y. Likelihoods of interval type-2 trapezoidal fuzzy preference relations and their application to multiple criteria decision analysis. Inf. Sci. 2015, 295, 303–322. [Google Scholar]
  18. Torra, V. Hesitant fuzzy sets. Int. J. Intell. Syst. 2010, 25, 529–539. [Google Scholar]
  19. Hao, Z.; Xu, Z.; Zhao, H.; Su, Z. Optimized data manipulation methods for intensive hesitant fuzzy set with applications to decision making. Inf. Sci. 2021, 580, 55–68. [Google Scholar]
  20. Zhao, M.K.; Guo, J.; Wu, J.; Xu, Z.S. A global optimization feedback model with PSO for large scale group decision making in hesitant fuzzy linguistic environments. Expert Syst. Appl. 2023, 228, 120320. [Google Scholar]
  21. Meng, F.; Tang, J.; An, Q. Cooperative game based two-stage consensus adjustment mechanism for large-scale group decision making. Omega 2023, 117, 102842. [Google Scholar] [CrossRef]
  22. Wang, Y.M.; Song, H.H.; Dutta, B.; García-Zamora, D.; Martínez, L. Consensus reaching in LSGDM: Overlapping community detection and bounded confidence-driven feedback mechanism. Inf. Sci. 2024, 679, 121104. [Google Scholar] [CrossRef]
  23. Xiao, F.; Chen, Z.y.; Wang, X.k.; Hou, W.h.; Wang, J.q. Managing minority opinions in risk evaluation by a delegation mechanism-based large-scale group decision-making with overlapping communities. J. Oper. Res. Soc. 2022, 73, 2338–2357. [Google Scholar] [CrossRef]
  24. Guo, L.; Zhan, J.; Kou, G. Consensus reaching process using personalized modification rules in large-scale group decision-making. Inf. Fusion 2024, 103, 102138. [Google Scholar] [CrossRef]
  25. Hua, Z.; Jing, X.; Martínez, L. Consensus reaching for social network group decision making with ELICIT information: A perspective from the complex network. Inf. Sci. 2023, 627, 71–96. [Google Scholar] [CrossRef]
  26. Li, P.; Xu, Z.; Zhang, Z.; Li, Z.; Wei, C. Consensus reaching in multi-criteria social network group decision making: A stochastic multicriteria acceptability analysis-based method. Inf. Fusion 2023, 97, 101825. [Google Scholar] [CrossRef]
  27. Liang, W.; Labella, Á.; Wang, Y.M.; Rodríguez, R.M. Consensus reaching process under interval-valued hesitant fuzzy environment. Comput. Ind. Eng. 2023, 176, 108971. [Google Scholar] [CrossRef]
  28. Zhou, M.; Zhou, Y.J.; Liu, X.B.; Wu, J.; Fujita, H.; Herrera-Viedma, E. An adaptive two-stage consensus reaching process based on heterogeneous judgments and social relations for large-scale group decision making. Inf. Sci. 2023, 644, 119280. [Google Scholar] [CrossRef]
  29. Guo, L.; Shi, P.; Chen, L.; Chen, C.; Ding, W. Pixel and region level information fusion in membership regularized fuzzy clustering for image segmentation. Inf. Fusion 2023, 92, 479–497. [Google Scholar] [CrossRef]
  30. Li, Y.; Kou, G.; Li, G.; Peng, Y. Consensus reaching process in large-scale group decision making based on bounded confidence and social network. Eur. J. Oper. Res. 2022, 303, 790–802. [Google Scholar] [CrossRef]
  31. Ding, J.; Xu, Z.; Liao, H. Consensus-reaching methods for hesitant fuzzy multiple criteria group decision making with hesitant fuzzy decision making matrices. Front. Inf. Technol. Electron. Eng. 2017, 18, 1679–1692. [Google Scholar]
  32. Lu, Y.; Xu, Y.; Huang, J.; Wei, J.; Herrera-Viedma, E. Social network clustering and consensus-based distrust behaviors management for large-scale group decision-making with incomplete hesitant fuzzy preference relations. Appl. Soft Comput. 2022, 117, 108373. [Google Scholar]
  33. Rodríguez, R.M.; Labella, Á.; De Tré, G.; Martínez, L. A large scale consensus reaching process managing group hesitation. Knowl.-Based Syst. 2018, 159, 86–97. [Google Scholar]
  34. Akram, M.; Noreen, U.; Deveci, M. Enhanced ELECTRE II method with 2-tuple linguistic m-polar fuzzy sets for multi-criteria group decision making. Expert Syst. Appl. 2023, 213, 119237. [Google Scholar]
  35. Liu, S.; He, X.; Chan, F.T.; Wang, Z. An extended multi-criteria group decision-making method with psychological factors and bidirectional influence relation for emergency medical supplier selection. Expert Syst. Appl. 2022, 202, 117414. [Google Scholar]
  36. Qin, J.; Ma, X.; Liang, Y. Building a consensus for the best-worst method in group decision-making with an optimal allocation of information granularity. Inf. Sci. 2023, 619, 630–653. [Google Scholar]
  37. García-Zamora, D.; Labella, Á.; Ding, W.; Rodríguez, R.M.; Martínez, L. Large-scale group decision making: A systematic review and a critical analysis. IEEE/CAA J. Autom. Sin. 2022, 9, 949–966. [Google Scholar]
  38. Ding, R.X.; Palomares, I.; Wang, X.; Yang, G.R.; Liu, B.; Dong, Y.; Herrera-Viedma, E.; Herrera, F. Large-Scale decision-making: Characterization, taxonomy, challenges and future directions from an Artificial Intelligence and applications perspective. Inf. Fusion 2020, 59, 84–102. [Google Scholar]
  39. Wang, H.; Xu, Z.; Fujita, H.; Liu, S. Towards felicitous decision making: An overview on challenges and trends of Big Data. Inf. Sci. 2016, 367, 747–765. [Google Scholar]
  40. Li, G.; Kou, G.; Peng, Y. Heterogeneous large-scale group decision making using fuzzy cluster analysis and its application to emergency response plan selection. IEEE Trans. Syst. Man Cybern. Syst. 2021, 52, 3391–3403. [Google Scholar]
  41. Wu, Z.; Xu, J. A consensus model for large-scale group decision making with hesitant fuzzy information and changeable clusters. Inf. Fusion 2018, 41, 217–231. [Google Scholar]
  42. Xu, Z.; Zhang, X. Hesitant fuzzy multi-attribute decision making based on TOPSIS with incomplete weight information. Knowl.-Based Syst. 2013, 52, 53–64. [Google Scholar]
  43. Senapati, T.; Chen, G.; Mesiar, R.; Yager, R.M.R.; Saha, A. Novel Aczel–Alsina operations-based hesitant fuzzy aggregation operators and their applications in cyclone disaster assessment. Int. J. Gen. Syst. 2022, 51, 511–546. [Google Scholar]
  44. Xia, M.; Xu, Z.; Chen, N. Some hesitant fuzzy aggregation operators with their application in group decision making. Group Decis. Negot. 2013, 22, 259–279. [Google Scholar]
  45. Zhang, Z.; Wang, C.; Tian, X. A consensus model for group decision making with hesitant fuzzy information. Int. J. Uncertain. Fuzziness Knowl.-Based Syst. 2015, 23, 459–480. [Google Scholar]
  46. Zhang, Z.; Wang, C.; Tian, X. A decision support model for group decision making with hesitant fuzzy preference relations. Knowl.-Based Syst. 2015, 86, 77–101. [Google Scholar]
  47. Liu, B.; Shen, Y.; Chen, Y.; Chen, X.; Wang, Y. A two-layer weight determination method for complex multi-attribute large-group decision-making experts in a linguistic environment. Inf. Fusion 2015, 23, 156–165. [Google Scholar]
  48. Ezugwu, A.E.; Ikotun, A.M.; Oyelade, O.O.; Abualigah, L.; Agushaka, J.O.; Eke, C.I.; Akinyelu, A.A. A comprehensive survey of clustering algorithms: State-of-the-art machine learning applications, taxonomy, challenges, and future research prospects. Eng. Appl. Artif. Intell. 2022, 110, 104743. [Google Scholar]
  49. Debasis, K.; Sharma, L.D.; Bohat, V.; Bhadoria, R.S. An energy-efficient clustering algorithm for maximizing lifetime of wireless sensor networks using machine learning. Mob. Netw. Appl. 2023, 28, 853–867. [Google Scholar]
  50. Wei, T.; Wang, X.; Wu, J.; Zhu, S. Interval type-2 possibilistic fuzzy clustering noisy image segmentation algorithm with adaptive spatial constraints and local feature weighting & clustering weighting. Int. J. Approx. Reason. 2023, 157, 1–32. [Google Scholar]
  51. Jain, A.K. Data clustering: 50 years beyond K-means. Pattern Recognit. Lett. 2010, 31, 651–666. [Google Scholar] [CrossRef]
  52. MacQueen, J. Some methods for classification and analysis of multivariate observations. In Proceedings of the Fifth Berkeley Symposium on Mathematical Statistics and Probability, Oakland, CA, USA, 21 June–18 July 1967; Volume 1, pp. 281–297. [Google Scholar]
  53. Bezdek, J.C. Pattern Recognition with Fuzzy Objective Function Algorithms; Springer Science & Business Media: Berlin/Heidelberg, Germany, 1981. [Google Scholar]
  54. Labella, Á.; Liu, Y.; Rodríguez, R.M.; Martínez, L. Analyzing the performance of classical consensus models in large scale group decision making: A comparative study. Appl. Soft Comput. 2018, 67, 677–690. [Google Scholar]
  55. Liao, H.; Xu, Z.; Xia, M. Multiplicative consistency of hesitant fuzzy preference relation and its application in group decision making. Int. J. Inf. Technol. Decis. Mak. 2014, 13, 47–76. [Google Scholar]
  56. Xu, Z.; Xia, M. On distance and correlation measures of hesitant fuzzy information. Int. J. Intell. Syst. 2011, 26, 410–425. [Google Scholar]
Figure 1. The general scheme of CRP.
Figure 1. The general scheme of CRP.
Mathematics 13 01182 g001
Figure 2. Flowchart of the proposed CRP.
Figure 2. Flowchart of the proposed CRP.
Mathematics 13 01182 g002
Figure 3. Clustering results of different rounds in scenario 1.
Figure 3. Clustering results of different rounds in scenario 1.
Mathematics 13 01182 g003
Figure 4. Clustering results of different rounds in scenario 2.
Figure 4. Clustering results of different rounds in scenario 2.
Mathematics 13 01182 g004
Figure 5. Clustering results of different rounds in scenario 3.
Figure 5. Clustering results of different rounds in scenario 3.
Mathematics 13 01182 g005
Figure 6. Rounds needed and the final consensus degree under different modification coefficients.
Figure 6. Rounds needed and the final consensus degree under different modification coefficients.
Mathematics 13 01182 g006
Figure 7. Score values of the alternatives under different modification coefficients.
Figure 7. Score values of the alternatives under different modification coefficients.
Mathematics 13 01182 g007
Figure 8. Clustering results of different rounds obtained by AHC.
Figure 8. Clustering results of different rounds obtained by AHC.
Mathematics 13 01182 g008
Table 1. Original preferences provided by evaluators.
Table 1. Original preferences provided by evaluators.
c 1 c 2 c 3
e 1 A 1 0.120.650.79
A 2 0.350.890.46
A 3 0.570.120.68
A 4 0.790.350.90
e 2 A 1 0.230.770.89
A 2 0.460.900.57
A 3 0.680.230.79
A 4 0.890.460.01
 ⋮ ⋮ ⋮ ⋮ ⋮
e 20 A 1 0.050.560.69
A 2 0.330.790.25
A 3 0.260.050.37
A 4 0.540.240.88
Table 2. Clustering result of round 0 by the c-means algorithm.
Table 2. Clustering result of round 0 by the c-means algorithm.
SubgroupEvaluators in the SubgroupNumber of Evaluators
G 1 e 8 , e 9 , e 18 , e 19 4
G 2 e 1 , e 2 , e 3 , e 10 , e 11 , e 12 , e 13 , e 20 8
G 3 e 4 , e 14 2
G 4 e 5 , e 6 , e 7 , e 15 , e 16 , e 17 6
Table 3. Statistical information of subgroup G 1 in round 0.
Table 3. Statistical information of subgroup G 1 in round 0.
Alternative c 1 c 2 c 3
Expectation Value Variance Expectation Value Variance Expectation Value Variance
A 1 0.87750.00050.3950.00220.54750.0066
A 2 0.09750.00760.590.00280.190.0096
A 3 0.29750.00290.88250.00060.37250.0038
A 4 0.52250.00240.07750.00350.7250.0044
Table 4. Statistical information of subgroup G 2 in round 0.
Table 4. Statistical information of subgroup G 2 in round 0.
Alternative c 1 c 2 c 3
Expectation Value Variance Expectation Value Variance Expectation Value Variance
A 1 0.28380.04420.71630.0150.81620.0076
A 2 0.45380.01340.6750.10760.50620.0262
A 3 0.60880.02740.18380.01380.71750.0302
A 4 0.79620.01480.38250.02130.49750.1612
Table 5. Statistical information of subgroup G 3 in round 0.
Table 5. Statistical information of subgroup G 3 in round 0.
Alternative c 1 c 2 c 3
Expectation Value Variance Expectation Value Variance Expectation Value Variance
A 1 0.420.00160.970.00040.120.0121
A 2 0.730.00250.1200.7350.003
A 3 0.880.00010.510.00250.8950
A 4 0.0350.00060.67500.230
Table 6. Statistical information of subgroup G 4 in round 0.
Table 6. Statistical information of subgroup G 4 in round 0.
Alternative c 1 c 2 c 3
Expectation Value Variance Expectation Value Variance Expectation Value Variance
A 1 0.67170.00830.14670.00240.22670.0058
A 2 0.82170.00570.3250.00680.60330.1702
A 3 0.350.15180.66330.00750.1450.0084
A 4 0.2550.00610.83830.00350.440.0117
Table 7. Statistical information of collective opinion in round 0.
Table 7. Statistical information of collective opinion in round 0.
Alternative c 1 c 2 c 3
Expectation Value Variance Expectation Value Variance Expectation Value Variance
A 1 0.56320.00830.5570.00360.42760.0079
A 2 0.52570.00670.42750.01340.50860.033
A 3 0.53410.02390.55990.00490.53250.0067
A 4 0.40220.00470.49330.00440.49340.0183
Table 8. Clustering result of round 1 by the c-means algorithm.
Table 8. Clustering result of round 1 by the c-means algorithm.
SubgroupEvaluators in the SubgroupNumber of Evaluators
G 1 e 8 , e 9 , e 18 , e 19 4
G 2 e 1 , e 2 , e 10 , e 11 , e 12 , e 20 6
G 3 e 3 , e 4 , e 5 , e 13 , e 14 , e 15 6
G 4 e 6 , e 7 , e 16 , e 17 4
Table 9. Statistical information of subgroup G 2 in round 1.
Table 9. Statistical information of subgroup G 2 in round 1.
Alternative c 1 c 2 c 3
Expectation Value Variance Expectation Value Variance Expectation Value Variance
A 1 0.46390.0080.58450.11490.43630.1118
A 2 0.64260.00660.21290.00860.73390.0132
A 3 0.79570.0060.47160.01610.55120.1313
A 4 0.42790.11270.64470.00860.28390.0079
Table 10. Statistical information of subgroup G 3 in round 1.
Table 10. Statistical information of subgroup G 3 in round 1.
Alternative c 1 c 2 c 3
Expectation Value Variance Expectation Value Variance Expectation Value Variance
A 1 0.26330.05730.66170.00810.78830.007
A 2 0.41830.01280.860.00250.4450.0199
A 3 0.550.02270.1450.01160.660.0271
A 4 0.76170.0150.31830.01190.7150.1046
Table 11. Statistical information of subgroup G 4 in round 1.
Table 11. Statistical information of subgroup G 4 in round 1.
Alternative c 1 c 2 c 3
Expectation Value Variance Expectation Value Variance Expectation Value Variance
A 1 0.730.00220.1650.00250.27250.0022
A 2 0.86250.00230.3650.00520.460.1937
A 3 0.07750.00490.7050.0060.19250.005
A 4 0.30.00210.870.00210.50.0062
Table 12. Statistical information of collective opinion in round 1.
Table 12. Statistical information of collective opinion in round 1.
Alternative c 1 c 2 c 3
Expectation Value Variance Expectation Value Variance Expectation Value Variance
A 1 0.58370.00990.45160.01730.51120.0186
A 2 0.50520.00680.5070.00450.45720.0394
A 3 0.43020.00770.5510.00710.4440.0272
A 4 0.5030.01910.47760.00590.5560.0194
Table 13. Iterations of the consensus model in scenario 1.
Table 13. Iterations of the consensus model in scenario 1.
Consensus of G 1 Consensus of G 2 Consensus of G 3 Consensus of G 4 Overall Consensus
Round 00.75040.79480.73530.78780.77
Round 10.80960.81100.78200.77170.79
Round 20.80560.80590.81230.87300.82
Table 14. Score value and final ranking order of the alternatives.
Table 14. Score value and final ranking order of the alternatives.
AlternativeStatistical InformationScore ValueRanking Order
Expectation Value Variance
A 1 0.52550.01274.66312
A 2 0.47970.01214.36094
A 3 0.49890.01046.05651
A 4 0.49980.01255.06163
Table 15. Iterations of the consensus model in scenario 2.
Table 15. Iterations of the consensus model in scenario 2.
Consensus of G 1 Consensus of G 2 Consensus of G 3 Consensus of G 4 Overall Consensus
Round 00.79090.79500.76110.78290.78
Round 10.82620.78020.85650.76820.8
Round 20.82820.82370.82880.88090.84
Table 16. Iterations of the consensus model in scenario 3.
Table 16. Iterations of the consensus model in scenario 3.
Consensus of G 1 Consensus of G 2 Consensus of G 3 Consensus of G 4 Overall Consensus
Round 00.76230.80500.79320.83120.8
Round 10.83970.83730.79340.81970.82
Table 17. Comparison between different HFS-CRPs.
Table 17. Comparison between different HFS-CRPs.
MethodNumber of EvaluatorsRequirement of
Normalization
Provide How Much
Change to the Opinion
Proposal100NOYES
Ding et al. [31]4YESNO
Zhang et al. [45]5YESYES
Zhang et al. [46]4YESYES
Rodríguez et al. [33]50YESNO
Lu et al. [32]20YESYES
Table 18. Decision results obtained by different methods.
Table 18. Decision results obtained by different methods.
ProposalAHC-Based CRP
Original consensus0.800.79
Final consensus0.820.82
Rounds required11
Ranking order A 4 A 3 A 1 A 2 A 3 A 1 A 4 A 2
Disclaimer/Publisher’s Note: The statements, opinions and data contained in all publications are solely those of the individual author(s) and contributor(s) and not of MDPI and/or the editor(s). MDPI and/or the editor(s) disclaim responsibility for any injury to people or property resulting from any ideas, methods, instructions or products referred to in the content.

Share and Cite

MDPI and ACS Style

Liang, W.; Labella, Á.; Meng, M.-J.; Wang, Y.-M.; Rodríguez, R.M. Hesitant Fuzzy Consensus Reaching Process for Large-Scale Group Decision-Making Methods. Mathematics 2025, 13, 1182. https://doi.org/10.3390/math13071182

AMA Style

Liang W, Labella Á, Meng M-J, Wang Y-M, Rodríguez RM. Hesitant Fuzzy Consensus Reaching Process for Large-Scale Group Decision-Making Methods. Mathematics. 2025; 13(7):1182. https://doi.org/10.3390/math13071182

Chicago/Turabian Style

Liang, Wei, Álvaro Labella, Meng-Jun Meng, Ying-Ming Wang, and Rosa M. Rodríguez. 2025. "Hesitant Fuzzy Consensus Reaching Process for Large-Scale Group Decision-Making Methods" Mathematics 13, no. 7: 1182. https://doi.org/10.3390/math13071182

APA Style

Liang, W., Labella, Á., Meng, M.-J., Wang, Y.-M., & Rodríguez, R. M. (2025). Hesitant Fuzzy Consensus Reaching Process for Large-Scale Group Decision-Making Methods. Mathematics, 13(7), 1182. https://doi.org/10.3390/math13071182

Note that from the first issue of 2016, this journal uses article numbers instead of page numbers. See further details here.

Article Metrics

Back to TopTop