Next Article in Journal
Short-Term Irradiance Prediction Based on Transformer with Inverted Functional Area Structure
Next Article in Special Issue
Ulam–Hyers and Generalized Ulam–Hyers Stability of Fractional Differential Equations with Deviating Arguments
Previous Article in Journal
Comparative Analysis of NURBS and Finite Element Method in Computational Fluid Dynamics Applications: Case Study on NACA 2412 Airfoil Aerodynamics
Previous Article in Special Issue
Applications of Extended Kummer’s Summation Theorem
 
 
Font Type:
Arial Georgia Verdana
Font Size:
Aa Aa Aa
Line Spacing:
Column Width:
Background:
Article

Analysis of Fractional Order-Adaptive Systems Represented by Error Model 1 Using a Fractional-Order Gradient Approach

by
Maibeth Sánchez-Rivero
1,*,
Manuel A. Duarte-Mermoud
2,
Juan Carlos Travieso-Torres
3,
Marcos E. Orchard
1 and
Gustavo Ceballos-Benavides
2
1
Departamento de Ingeniería Eléctrica, Facultad de Ciencias Físicas y Matemáticas, Universidad de Chile, Av. Tupper 2007, Santiago 8370451, Región Metropolitana, Chile
2
Facultad de Ingeniería y Arquitectura, Universidad Central de Chile, Av. Santa Isabel 1186, Santiago 8330601, Región Metropolitana, Chile
3
Departamento de Tecnologías Industriales, Facultad Tecnológica, Universidad de Santiago de Chile, Av. El Belloto 3735, Santiago 9170125, Región Metropolitana, Chile
*
Author to whom correspondence should be addressed.
Mathematics 2024, 12(20), 3212; https://doi.org/10.3390/math12203212
Submission received: 4 September 2024 / Revised: 8 October 2024 / Accepted: 11 October 2024 / Published: 14 October 2024
(This article belongs to the Special Issue Fractional Differential Equations: Theory and Application)

Abstract

In adaptive control, error models use system output error and adaptive laws to update controller parameters for control or identification tasks. Fractional-order calculus, involving non-integer-order derivatives and integrals, is increasingly important for modeling, estimation, and control due to its ability to generalize classical methods and offer improved robustness to disturbances. This paper addresses the gap in the literature where fractional-order gradient methods have not yet been extensively applied in identification and adaptive control schemes. We introduce a fractional-order error model with fractional-order gradient (FOEM1-FG), which integrates fractional gradient operators based on the Caputo fractional derivative. By using theoretical analysis and simulations, we confirm that FOEM1-FG maintains stability and ensures bounded output errors across a variety of input signals. Notably, the fractional gradient’s performance improves as the order, β , increases with β > 1 , leading to faster convergence. Compared to existing integer-order methods, the proposed approach provides a more flexible and efficient solution in adaptive identification and control schemes. Our results show that FOEM1-FG offers superior stability and convergence characteristics, contributing new insights to the field of fractional calculus in adaptive systems.

1. Introduction

Adaptive systems, either in identification or control schemes, can be mathematically formulated in the so-called error models framework [1]; they are composed by using the error equations and the corresponding adaptive updating laws and can be analyzed from stability, convergence, or performance perspectives [1,2].
Adaptive control systems are typically classified into three main types: indirect, direct, and combined control schemes. In indirect control schemes, the controller parameters are determined using data from a system parameter identification process. In contrast, direct adaptive control involves adjusting the controller parameters directly, without relying on an identification process. In combined schemes, both system identification and controller parameter adjustment are integrated, with each process influencing the other.
The formulation of various identification or control problems, along with the selection of the appropriate parameter adjustment laws, naturally results in different error models. Nevertheless, the majority of integer-order adaptive systems can be analyzed by mapping them to one of the four well-established error models. Studying these error models individually, irrespective of the specific adaptive system being considered, allows for a comprehensive evaluation of many systems, making the investigation of error models particularly appealing [1].
The combination of adaptive control with fractional calculus techniques [3,4] is a topic of increasing interest because fractional schemes, besides representing a generalization of the integer-order schemes, present advantages in terms of disturbance rejection and noise robustness [5]. In [6], the authors present a review of fractional adaptive control schemes. In the technical literature, there have been recently reported applications on fractional adaptive sliding mode control [7,8,9,10,11], fractional model reference adaptive control [12,13], fractional-order internal model controllers [14], discrete adaptive control [15], and systems identification [16]. However, these studies address the adaptive control of systems using particular structures rather than performing a more general analysis.
Fractional operators can be used in the modeling of certain processes, where it has been proven that, given the nature of the process, it is better to describe it by using fractional operators [17,18,19,20,21,22,23] and fractional-order (FO) update laws. This allows for having both output error equations and parametric error equations described by differential equations of fractional order, with the so-called fractional-order error models (FOEMs) emerging from this [5].
One of the most commonly used updating laws is the one that uses the classical-integer-order gradient method [1], where the estimated parameter is the solution of a differential equation of integer order, moving along the gradient’s negative direction of the objective function to be minimized. However, the recent use of fractional calculus in optimization research has seen the development of the so-called fractional-order gradient methods (FOGMs) [24,25,26,27], allowing for interesting improvements in the convergence rates when compared to the integer-order gradient methods [26].
FOGM applications have been mainly used in the machine learning field and in neuronal networks, improving the results in back-propagation training [28,29,30,31]. However, papers on the stability and convergence of FOGMs are rather new, constituting a novel research topic. The immediate connections between the adaptive control and the optimization methods used in machine learning are well known and widely reported, both in the formulation of the output errors and in the updating laws that commonly use the steepest descending gradient [32]. Although there are recent papers on control, which include fractional gradients [33], these have not yet been used in identification and adaptive control applications.
This paper formulates “fractional-order error model 1 with fractional gradient” (FOEM1-FG) by incorporating the fractional gradient concept and using the Caputo fractional derivative, which constitutes a generalization of fractional error models [1,5]. Adjusting the fractional order of the gradient allows for improved convergence speed and performance in terms of the method.
This paper is organized starting with the definition of general concepts on fractional calculus and fractional gradients. FOEM1-FG (using the Caputo FO derivative) is defined and simulations are presented to show the advantages of introducing an FG to convergence speed. The stability and convergence of FOEM1-FG are also analyzed.

2. Preliminaries

2.1. Fractional Calculus

Fractional calculus is a generalization of integer calculus, which includes the concepts of integrals and derivatives of fractional orders (non-integer orders). The concept of FO derivatives can be traced back almost 300 years, with the first reference encountered in the letters of Leibniz and L’Hôspital in 1695 [3]. Some of the definitions and properties of FO operators used throughout the paper are presented in what follows.
Definition 1
(Riemann-Liouville fractional integral [4]). The fractional integral of order α R + of function f (·), defined in a finite interval [ t 0 , t ] in R + , is defined as
I t α t 0 f ( t ) = 1 Γ ( α ) t 0 t f ( τ ) ( t τ ) 1 α d τ , t > t 0
where Γ ( α ) is the Gamma function, defined as
Γ ( α ) = 0 t ( α 1 ) e t d t .
With respect to the derivative of a fractional order, there are several definitions in the literature, with one being that of Riemann-Liouville:
Definition 2
(Riemann–Liouville fractional derivative [4]). The Riemann–Liouville fractional derivative of order α R + of function f (·), defined in a finite interval [ t 0 , t ] in R + , is defined as
D t α t 0 R L f ( t ) = D n [ t 0 I t n α f ( t ) ] = 1 Γ ( n α ) d n d t n t 0 t f ( τ ) ( t τ ) α n + 1 d τ , t > t 0
Alternatively, (2) can be rewritten in a form similar to the conventional Taylor series [34]:
D t α t 0 R L f ( t ) = i = 0 f i ( t 0 ) Γ ( i + 1 α ) ( t t 0 ) 1 α
The Caputo fractional derivative incorporates initial conditions for f (·) and its integer-order derivatives, i.e., initial conditions that are physically appealing in the traditional way.
Definition 3
(Caputo fractional derivative [4]). The Caputo fractional derivative of order α R + of function f (·), defined in a finite interval [ t 0 , t ] en R + , is defined as
D t α t 0 C f ( t ) = t 0 I t n α [ D n f ( t ) ] = 1 Γ ( n α ) t 0 t f ( n ) ( τ ) ( t τ ) α n + 1 d τ , t > t 0
with n = m i n { k N / k > α } . Moreover, it can be defined in a series form as
D t α t 0 C f ( t ) = i = n f i ( t 0 ) Γ ( i + 1 α ) ( t t 0 ) i α .
In addition to the widely used Caputo and Riemann-Liouville derivatives, other fractional derivatives have distinct applications. The Grünwald-Letnikov derivative generalizes classical derivatives using finite differences for discrete approximation [4]. The Hadamard derivative employs logarithmic scaling suited to semi-infinite intervals [35]. The Caputo-Fabrizio derivative offers a smooth, singularity-free kernel, ideal for modeling physical systems with non-local memory effects [36]. Each derivative has specific advantages based on the application.

2.2. Fractional Order Error Model 1

One of the simplest representations of adaptive identification or control problems is the so-called error model 1 (EM-1), as shown in Figure 1. In this scheme, the output error e ( t ) is an algebraic combination of the information vector ω ( t ) and the parameter error vector θ ( t ) .
The output error, e ( t ) , is defined as
e ( t ) = y ^ ( t ) y ( t ) ,
where y ( t ) is the true output and y ^ ( t ) is the estimated output at an instance of time t. Both are related as follows:
y ( t ) = θ * T ω ( t ) ; y ^ ( t ) = θ T ( t ) ω ( t ) ,
where θ * R n is the true value of the parameter θ T ( t ) , which is assumed to be unknown. θ ( t ) : R + R n is the adjustable parameter that estimates θ * , and ω ( t ) : R + R n is the input signal, also known as an “information vector” or “auxiliary signal”.
The parametric error, ϕ ( t ) , is defined as
ϕ ( t ) = θ ( t ) θ * ,
resulting in (6):
e ( t ) = ϕ T ( t ) ω ( t ) .
The update law for estimated parameters is defined as
D t 0 α ϕ ( t ) = γ θ L ( ϕ ( t ) ) ,
where γ R + is the adaptive gain, which, in this case, will be considered to be constant, although it could also be considered a time-varying gain with its own adaptation rule. In the vector case, γ becomes a matrix of dimension n x n , which allows for updating each parameter weighted differently [1], and the loss function is defined as
L ( ϕ ( t ) ) = 1 2 ( e ( t ) 2 ) ,
where
θ L ( ϕ ( t ) ) = L ( ϕ ( t ) θ , = e ( t ) e ( t ) θ , = e ( t ) ω ( t ) .
In summary, the equations describing FOEM1 [5] are
e ( t ) = ϕ T ( t ) ω ( t ) , D t 0 α ϕ ( t ) = γ e ( t ) ω ( t ) .
The stability analysis is based on the following properties:
Property 1
(Lemma 1, [37]). Let x ( t ) R be a continuous and differentiable function. Then, for any instance, t t 0 , it follows that
D t 0 α C x 2 ( t ) 2 x ( t ) C D t 0 α x ( t ) , α ( 0 , 1 ) .
This result is obtained for quadratic functions in conjunction with the fractional extension of the Lyapunov direct method [38,39,40]. It is assumed that x ( t ) is differentiable. However, this is rather difficult to achieve in FO systems since it is not fulfilled at the origin. Nevertheless, in [41], the authors generalize this result because it is only necessary to prove that the solutions are continuous, which is something much easier to prove in the case of error models since the solutions are continuous [42].
The next lemma is known as the comparison principle lemma.
Lemma 1
(Lemma 10, [43]). Let x ( 0 ) = y ( 0 ) and D α x ( t ) D α y ( t ) where α ( 0 , 1 ) . Then, x ( t ) y ( t ) .
The following lemma is known as the Barbalat Lemma.
Lemma 2.
If f ( t ) : R + R is a uniformly continuous function for t 0 such that lim t 0 | f ( τ ) | d τ exists and is finite, then lim t f ( t ) = 0 .
Property 2
(Proposition 1, [44]). Let us consider a system (13). If ω is a bounded, continuously differentiable, and uniformly continuous function with 0 < α 1 , then the following statements hold:
  • e and ϕ are uniformly bounded continuous functions, I α e 2 < and lim t i n f e 2 ( t ) = 0 . In addition, ϕ = 0 is a globally stable point of the system.
  • For α = 1 , e converges to zero.
  • For 0 < α < 1 , there exists a uniformly continuous function, ω, such that e ( t ) does not converge to zero. However, for every ϵ > 0 , e 2 ( t ) > ϵ can only occur at time intervals of finite lengths, with such intervals being necessarily finite or occurring with an unbounded increasing separation of time. Moreover, the root mean square (RMS) value of e ( t ) converges to zero.
The above indicates that there are two ways to solve the optimization problem: make ϕ asymptotically orthogonal to ω or restrict the set of ω functions to those that make the system converge to zero.
In the case of integer-order systems, the concept of persistently exciting, P E ( n , 1 ) , has been widely reported in the literature [1,45].
Definition 4.
Let us denote I n as the n × n identity matrix and R + as the set of all real numbers greater than or equal to zero. In the space of bounded and continuously differentiable functions, we define the following subset as persistently exciting (PE) functions:
P E ( n , 1 ) : = { ω : [ 0 , ) R n | ( ϵ , T 0 > 0 ) , s t . ( t > 0 ) t t + T 0 ω ( τ ) ω T ( τ ) d τ ϵ I n . }
Extending the concept of persistent excitation (PE) to the fractional case is not possible since the concept of uniformity (related to the initial conditions) becomes indefinite for fractional systems. This is because the fractional derivative, as it has been used until now, has a fixed initial time, t 0 ; therefore, fractional equations have a fixed time for the initial condition [44].
However, the concept of sufficient excitation, S E ( n , α ) , has been established instead, the definition of which is given in what follows.
Definition 5.
Let I n be the n × n identity matrix and R + be the set of all real numbers greater than or equal to zero. Let us define the subset S E ( n , α ) in the space of bounded, continuously differentiable functions as the set of sufficiently exciting functions, as follows:
S E ( n , α ) : = { ω : [ 0 , ) R n | ( f ω : [ 0 , ) [ 0 , ) ) , s . t . lim t I α f ω ( t ) = ( t > 0 ) ω ( t ) ω T ( t ) f ω ( t ) I n } .
Property 3
(Theorem 2, [44]). For FOEM-1, if ω P E ( n , 1 ) and α = 1 , then ( ϕ , e ) converges uniformly to zero. If ω S E ( n , α ) and 0 < α 1 , then ( ϕ , e ) converges asymptotically to zero.
The characterization of persistently exciting functions is as follows:
Property 4
(Lemma 3, [44]). Let ω R n be a uniformly continuous function. If ω P E ( n , 1 ) , then ω S E ( n , α ) for every 0 < α < 1 .

2.3. Fractional Gradient Using the Caputo Derivative

The basic idea in FOGMs is to substitute the first-order derivative with its equivalent FO version, provided that the convergence of the following algorithm is guaranteed:
t k + 1 = t k η t 0 C D t k α f ( t ) .
where t k is the current position, t k + 1 is the next position, and η > 0 is the learning rate.
In [24,28,46], it is established that the fractional optimal point does not necessarily coincide with the real optimal point of the objective function. The main reason can be summarized as follows. There are different definitions for FO derivatives; fractional derivatives have a non-locality property, whereas the classical FO derivative does not; the gradient order α may affect the convergence results; the lower integral limit, t 0 , may affect the convergence result. The initial search point, t′, in (17) may affect the convergence result.
In [46], the studies proposing point solutions are generalized, and three algorithms based on the Caputo fractional derivative are proposed to solve this problem. The first algorithm, called fixed memory step, takes advantage of the infinite memory characteristics of the FO derivative and then truncates it. The second algorithm truncates the higher-order terms of the infinite series representation of the FO derivative, retaining only the first-order term. The third algorithm consists of changing the FO depending on the loss function at each step.
Additionally, all those three ideas can be used in any combination. These proposals can ensure that when the chosen algorithm is convergent, it will converge to the actual extreme point, which will make the FO gradient method quite advantageous, powerful, and practical [46].
In this paper, a FOGM is used, where the initial point of the integral is updated at every step and the infinite memory terms (provided by the fractional operators) are discarded. In addition, the absolute value of the difference between the current state and the previous state is introduced, guaranteeing that if the algorithm is convergent, it will do this to the extreme point, t * , for 0 < α < 2 . On the other hand, a small, positive-value δ > 0 is added to avoid the singularity caused by t k = t k 1 in the FG method [24,25], resulting in the following:
t k + 1 = t k η f ( 1 ) ( t k ) Γ ( 2 α ) ( | t k t k 1 | + δ ) 1 α .
Usually, η is selected as a very small value to guarantee the convergence of the GM, so | t k t k 1 | will quickly become less than 1. The convergence speed of the FOGM (18) for 0 < α < 1 can be worse than the conventional case because η Γ ( 2 α ) ( | t k t k 1 | + δ ) 1 α can be seen as the step of the algorithm, whereas the FOGM with 1 < α < 2 will present a convergence speed that is much faster than the conventional case.

3. Fractional Order Error Model 1 with Fractional Gradient Adaptive Laws

Based on [24,46], we will now define fractional-order error model 1 with fractional gradient (FOEM1-FG). By applying the combination of a fixed memory step and truncating the higher-order terms, we can define
t k + 1 = t k η f ( 1 ) ( t k ) Γ ( 2 β ) ( | t k t t 1 | + δ ) 1 β , w i t h β f ( t ( k ) ) = f ( 1 ) ( t k ) Γ ( 2 β ) ( | t k t k 1 | + δ ) 1 β ,
allowing for rewriting the FO updating law for FOEM1 (10) as
D t 0 α ϕ ( t ) = γ θ β L ( ϕ ( t ) ) ,
and using (11) as the loss function, together with the FO gradient, it can be written as
θ β L ( ϕ ( t ) ) = L ( 1 ) ( θ ( t ) ) Γ ( 2 β ) ( | θ t θ t 1 | + δ ) 1 β , θ β L ( ϕ ( t ) ) = e ( t ) ω ( t ) Γ ( 2 β ) ( | θ t θ t 1 | + δ ) 1 β ,
which makes it necessary to store the value of the parameter θ at the previous instants of time (recorded data). Thus, the updating law becomes
D t 0 α ϕ ( t ) = γ e ( t ) ω ( t ) Γ ( 2 β ) ( | θ t θ t 1 | + δ ) 1 β .
In the case of β = 1 , (22) becomes FOEM1 (13), and for α = 1 , it becomes the standard EM1. Therefore, FOEM1-FG takes the form
e ( t ) = ϕ T ( t ) ω ( t ) , D t 0 α ϕ ( t ) = γ Γ ( 2 β ) e ( t ) ω ( t ) ( | θ t θ t 1 | + δ ) 1 β .

3.1. Performance Metrics

To numerically compare the performance of different cases, performance metrics will be used in the case of output error, such as the following:
  • Integral absolute error (IAE), which measures the absolute error.
    I A E = 0 | e ( t ) | d t
  • Integral of the squared error (ISE), which penalizes errors greater than one.
    I S E = 0 e ( t ) 2 d t
  • Integral of time, multiplied by the absolute error (ITAE), which penalizes errors that persist over time.
    I T N A E = 0 t n | e ( t ) | d t

3.2. Simulations of FOEM1-FG: Scalar Case

To study the behavior of FOEM1-FG, several simulations were performed using θ * = 5 , where θ * is the true value of the unknown parameter of the scheme, and the initial condition was chosen as θ ( 0 ) = 1 . Table 1 shows the set of signals, ω ( t ) , used in the simulations and in the analysis of the scalar case. Additionally, the numerical values γ = 0.1 and δ = 10 5 were used.
Fractional operators were implemented using the Ninteger toolbox for Matlab [47], specifically the NID block. In order to include the initial conditions, which are not included in the NID block, the definition of an FO derivative according to Caputo, together with properties of FO integrals, are used. The NID block used in the scheme is based on the Oustaloup approximation method. In this case, 10 poles, 10 zeros, and the frequency interval [0.001, 1000] rad/s were chosen.
The objective of this research is to analyze the influence of the parameter β within the FOEM1-FG formulation, given that the adaptive gain allows for managing the convergence rate and modifying the convergence properties. The case where the updating law is defined using α = 1 (integer-order updating law) was analyzed using simulations, with the objective of evaluating the influence of parameter β on the fractional gradient for different values, 1 β < 2 .
Case A: Here, the information signal ω ( t ) = 1 is used, which is a constant and persistently exciting signal in R 1 .
From Figure 2, it can be seen that the output error remains bounded and converges to zero, whereas the parametric error is monotonically decreasing. If the value of β is analyzed in the fractional gradient, it can be observed that as it increases (see Table 2), the speed of the convergence of the output error increases, too, even reaching values of β > 1 , exceeding the integer order case and also reaching parametric convergence.
Case B: In this case, the information signal ω ( t ) = s i n ( t ) is used, which is persistently exciting in R 1 and also in R 2 (Figure 3).
The signal ω ( t ) is sinusoidal and, therefore, is persistently exciting in R 1 (also in R 2 ). It can be seen that the output and parametric errors remain bounded and converge to zero; for β > 1 , there is a significant improvement in terms of the speed of convergence of the output error and in the parametric error (see Table 3).
Case C: Here, the information signal ω ( t ) = e t is used, which is not persistently exciting in R 1 (Figure 4).
On the other hand, it can be seen in this case that although the output error tends quickly to zero, the parametric convergence is not achieved for β < 1.5 because the input signal e t is not persistently exciting in R 1 . However, it can be seen that for higher values, this convergence is, indeed, achieved, which is an interesting result that is analyzed later in greater depth (Table 4).
The main conclusions for the scalar case are as follows:
  • The output error remains bounded and converges to zero for all analyzed signals regardless of the value, β , of the fractional gradient for 0 < β < 2 ;
  • The values of β > 1 guarantee faster output error convergence speed;
  • The parametric error remains bounded, and its convergence to zero depends on the type of input signal, ω ( t ) , used;
  • The parametric error converges to zero for certain values of β , despite the fact that the input signal is not persistently exciting, according to the persistently exciting concept used in the classical case.

3.3. Simulations of FOEM1-FG: Vector Case

In this section, the case of adaptive systems described by FOEM1-FG is analyzed for the case when the information vector and parameter vector are two-dimensional. In the simulations, the following values for the true unknown parameters were assumed: θ * = [ 5 8 ] T R 2 , and for the initial conditions, we have θ ( 0 ) = [ 1 0.5 ] T R 2 . The information vector, ω = [ ω 1 ω 2 ] T R 2 , used in these simulations is shown in Table 5, distinguishing four cases. Moreover, the numerical values γ = 0.1 and δ = 10 5 were used in the simulations.
Case A: This case corresponds to the information vector ω ( t ) = [ 1 , 2 ] T (Case A from Table 5).
In the case of two constant inputs ( ω = [ 1 2 ] and α = 1 ), see Figure 5, the output error remains bounded and quickly tends to zero at the same time that β > 1 increases up to a value of 2 (Table 6). On the other hand, the parametric error remains bounded, but the parametric convergence is not achieved because of the nature of the input signals, which are not persistently exciting in a two-dimensional space.
Case B: This case corresponds to the information vector ω ( t ) = [ 1 , s i n ( t ) ] T (Case B from Table 5).
For the input signals [ 1 ; s i n ( t ) ] , Figure 6, it can be seen that the output error exhibits an oscillatory behavior during the first instants of time, but it remains bounded and finally converges to zero. This behavior tends to be more pronounced as β increases (Table 7).
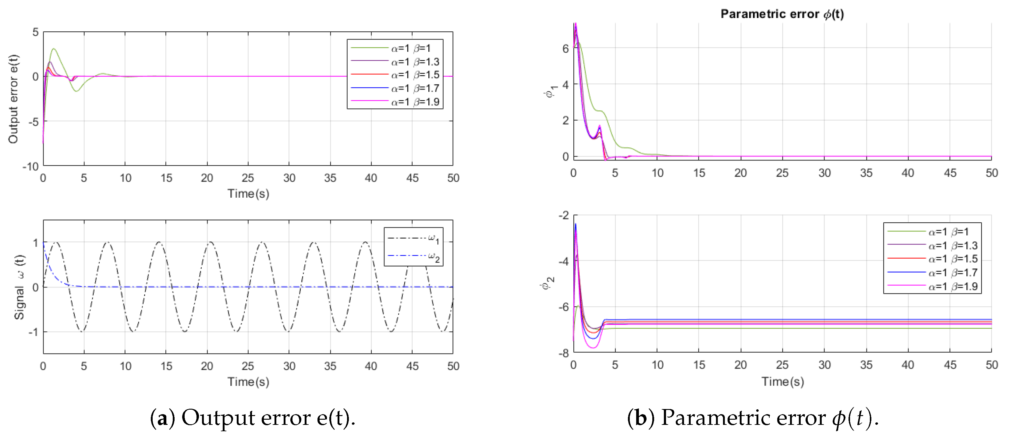
Case C: Table 5 with ω ( t ) = [ s i n ( t ) , e t ] T . This case corresponds to the information vector ω ( t ) = [ s i n ( t ) , e t ] T (Case C of Table 5).
For signals [ s i n ( t ) e t ] , Figure 7, it can be seen that despite remaining bounded, the output error has oscillations that decrease as the value of β increases. Moreover, the parametric error remains bounded and converges to zero in the case of parameter ϕ 2 , which has s i n ( t ) as the input signal but does not converge to zero for the e t signal (Table 8).
The output error converges to zero faster for values of β > 1 . The parametric error has the same behavior in this case and maintains the convergence at zero for the parameters that have s i n ( t ) as the input signal.
General conclusions for the vector case of the two-dimensional FOEM1-FG:
  • The output error is bounded and converges to zero for all the signals analyzed, independent of the value, β , of the fractional gradient;
  • Values of β that are higher than 1 improve the speed of convergence of FOEM1-FG, independent of the value of α ;
  • The parametric error remains bounded, and its convergence to zero depends on the input signal, ω ( t ) , employed.

3.4. Stability and Convergence

Let us choose a Lyapunov function, defined as
V ( ϕ ) = ϕ T ϕ ,
The time dependency of the functions has been omitted in order to simplify the notation of the variables.
Its fractional derivative is
D α V ( ϕ ) = D α [ ϕ T ϕ ] .
To obtain the fractional derivative results, a rather complex operation is needed. There are some studies reported in the literature that establish limits for the FO derivatives of quadratic functions (Property 1) [26,37,41].
Following the analysis carried out in [5], which establishes the fact that since the output error (6) is an algebraic combination of the parametric error and the auxiliary signals, then substituting in the output error Equation (23) into the update law equation is
D t 0 α ϕ ( t ) = γ Γ ( 2 β ) ω ( t ) ω ( t ) T ϕ ( t ) ( | θ t θ t 1 | + δ ) 1 β , w i t h α ( 0 , 1 ] , β ( 0 , 2 ) y γ > 0 ,
then,
D α V ( ϕ ) = ϕ t 1 T D t α ϕ ( t ) = γ Γ ( 2 β ) ϕ ( t ) T ω ( t ) ω ( t ) T ϕ ( t ) ( | θ t θ t 1 | + δ ) 1 β = ζ t e 2 ( t ) 0
where ζ t = γ Γ ( 2 β ) ( | θ t θ t 1 | + δ ) 1 β 0 , since γ > 0 , δ > 0 , and Γ ( 2 β ) > 0 , and the power of a positive number, regardless of its exponent, is positive; then, the origin of the system (29) is Lyapunov stable. Since the system is Lyapunov stable, ϕ ( t ) remains bounded t t 0 , and assuming that the vector ω ( t ) is bounded, it is concluded that the output error e ( t ) also remains bounded, demonstrating the stability of FOEM1-FG.
Simulations indicate that the output error converges to zero independently of the signal ω ( t ) , as long as it is bounded.
In the case of error model 1 of integer order, it is assumed that the integer integral of the quadratic error is bounded, and this, together with the fact that the error is bounded and uniformly continuous, allows for the use of the Corollary of the classic Barbalat Lemma [1], concluding that l i m t e ( t ) = 0 . This is possible since the integer integral of a positive function always increases; thus, if this integral is bounded, it will necessarily converge to a limit.
On the other hand, the fractional integral does not weight the function equally at all moments of time, so it is not possible to prove that the integer integral of the quadratic error is bounded in F0EM1-FG, and this prevents the use of the Corollary of the integer-order Barbalat Lemma. However, it is possible to prove that the fractional integral of the quadratic error remains bounded; if Property 1 is applied; the result is
1 2 D t 0 α C [ ϕ T ( t ) ϕ ( t ) ] ζ e 2 ( t ) .
If the fractional integral of order α is applied to the expression (31), we obtain
ζ I t 0 α e 2 ( t ) 1 2 ϕ T ( t 0 ) ϕ ( t 0 ) 1 2 ϕ T ( t ) ϕ ( t ) 1 2 ϕ T ( t 0 ) ϕ ( t 0 ) t t 0
However, it is not enough for the fractional integral of a positive function to be bounded to conclude that this integral converges to a limit since fractional integrals of positive functions can decrease, which makes the analysis extremely difficult. In [5], it is proposed that a positive function will converge to zero if its fractional integral converges to zero, but in FOEM1-FG, it has not been possible to prove l i m t I t 0 α e 2 ( t ) = 0 ; therefore, it has not been possible to establish conclusions regarding the convergence to zero of the output error in this way.
However, if Property 3is used, it states that by restricting the set of signals of ω to signals that are of S E ( n , α ) , then the asymptotic convergence to zero of ( ϕ , e ) can be guaranteed.
If ζ t is taken as adaptive gain, as was previously proven, ζ t > 0 , with α = 1 , then e 2 ζ t L 1 , and ϕ is bounded; then, ϕ ˙ is bounded and ϕ is uniformly continuous, where, in addition, e, is also uniformly continuous. If Barbalat’s Lemma (Lemma 2) is applied, then the error converges to zero.
Since ζ t > 0 , then V ˙ e 2 , when using the comparison principle (Lemma 1); the fact that V ˙ = e 2 is asymptotically stable if ω P E ( n , 1 ) , then it has the same convergence set as for α = 1 .

4. Conclusions

Theoretical and simulation analyses were performed for both scalar and vector cases using FOEM1-FG. The objective was to study the influence of the FO derivation used in the adaptive laws ( α ) and in the fractional gradient ( β ). It was observed that the output error remains bounded and converges to zero for all analyzed signals, regardless of the β value. However, values of β > 1 guarantee a faster speed of convergence.
Considering the stability analysis of FOEM1 in [41], the result of [5] is generalized; therefore, it is only necessary to prove that the solutions are continuous, which is something much less complex to prove in the case of error models since the solutions are continuous [42]. We can conclude that the origin of the system is Lyapunov stable. Since the system is Lyapunov stable, the parametric error will remain bounded t t 0 , and assuming that the input vector is bounded, it is concluded that the output error also remains bounded, demonstrating the stability of FOEM1-FG. The analysis of the convergence of the output error in FOEM1-FG shows that it depends on the information signal ω being used, as well as the convergence of the parameter error.
However, FOEM1-FG represents the simplest of the four known error models and serves as a starting point for incorporating fractional gradients into other error models. Extending this approach to more complex error model formulations could enhance the adaptability and performance of classical adaptive control schemes. Future research will explore this direction, performing simulations and conducting further stability and convergence tests to apply fractional gradients to more sophisticated models.
The simulations support the analytical results and corroborate the advantages of incorporating the FO gradient into the formulation of the error model, either in control or identification schemes.

Author Contributions

Conceptualization and methodology, M.S.-R., M.A.D.-M. and M.E.O.; investigation, M.S.-R., M.A.D.-M., M.E.O. and J.C.T.-T.; validation, M.S.-R., M.A.D.-M., M.E.O. and G.C.-B.; writing—original draft, M.S.-R. and M.A.D.-M.; writing—review and editing, M.S.-R., M.A.D.-M., M.E.O., J.C.T.-T. and G.C.-B. All authors have read and agreed to the published version of the manuscript.

Funding

The first author acknowledges CONICYT/ANID for its funding through the project National Doctoral Program 2020/4278.

Data Availability Statement

The data are contained within the article.

Acknowledgments

Marcos E. Orchard would like to thank the Advanced Center for Electrical and Electronic Engineering, ANID Basal Project FB0008.

Conflicts of Interest

The authors declare no conflicts of interest.

References

  1. Narendra, K.S.; Annaswamy, A.M. Stable Adaptive Systems; Courier Corporation: North Chelmsford, MA, USA, 2012. [Google Scholar]
  2. Tao, G. Adaptive Control Design and Analysis; John Wiley & Sons: Hoboken, NJ, USA, 2003; Volume 37. [Google Scholar]
  3. Vinagre, B.M.; Monje, C.A. Introducción al Control Fraccionario. Rev. Iberoam. Autom. E Inform. Ind. RIAI 2006, 3, 5–23. [Google Scholar]
  4. Kilbas, A.A.; Srivastava, H.M.; Trujillo, J.J. Theory and Applications of Fractional Differential Equations; Elsevier: Amsterdam, The Netherlands, 2006; Volume 204. [Google Scholar]
  5. Aguila-Camacho, N. Análisis del Comportamiento de Sistemas Adaptables Fraccionarios Representados por Modelos de Error. Ph.D. Thesis, Universidad de Chile, Santiago, Chile, 2014. [Google Scholar]
  6. Ladaci, S.; Charef, A. Fractional adaptive control: A survey. In Classification and Application of Fractals: New Research; Nova Science Publishers: Hauppauge, NY, USA, 2012; pp. 261–276. [Google Scholar]
  7. Zhang, X.; Liu, X.; Zhu, Q. Adaptive chatter free sliding mode control for a class of uncertain chaotic systems. Appl. Math. Comput. 2014, 232, 431–435. [Google Scholar] [CrossRef]
  8. Yin, C.; Cheng, Y.; Chen, Y.; Stark, B.; Zhong, S. Adaptive fractional-order switching-type control method design for 3D fractional-order nonlinear systems. Nonlinear Dyn. 2015, 82, 39–52. [Google Scholar] [CrossRef]
  9. Chen, Y.; Wei, Y.; Zhong, H.; Wang, Y. Sliding mode control with a second-order switching law for a class of nonlinear fractional order systems. Nonlinear Dyn. 2016, 85, 633–643. [Google Scholar] [CrossRef]
  10. Liu, H.; Wang, H.; Cao, J.; Alsaedi, A.; Hayat, T. Composite learning adaptive sliding mode control of fractional-order nonlinear systems with actuator faults. J. Frankl. Inst. 2019, 356, 9580–9599. [Google Scholar] [CrossRef]
  11. Liu, H.; Pan, Y.; Cao, J. Composite learning adaptive dynamic surface control of fractional-order nonlinear systems. IEEE Trans. Cybern. 2020, 50, 2557–2567. [Google Scholar] [CrossRef]
  12. Chen, Y.; Wei, Y.; Liang, S.; Wang, Y. Indirect model reference adaptive control for a class of fractional order systems. Commun. Nonlinear Sci. Numer. Simul. 2016, 39, 458–471. [Google Scholar] [CrossRef]
  13. Joshi, G.; Chowdhary, G. Deep model reference adaptive control. In Proceedings of the 2019 IEEE 58th Conference on Decision and Control (CDC), Nice, France, 11–13 December 2019; IEEE: Piscataway, NJ, USA, 2019; pp. 4601–4608. [Google Scholar]
  14. Muresan, C.I.; Dutta, A.; Dulf, E.H.; Pinar, Z.; Maxim, A.; Ionescu, C.M. Tuning algorithms for fractional order internal model controllers for time delay processes. Int. J. Control 2016, 89, 579–593. [Google Scholar] [CrossRef]
  15. Aburakhis, M.; Ordóñez, R.; Djaneye-Boundjou, O. A Discrete Fractional Order Adaptive Law for Parameter Estimation and Adaptive Control. IEEE Open J. Control Syst. 2022, 1, 113–125. [Google Scholar] [CrossRef]
  16. Gallegos, J.A.; Duarte-Mermoud, M.A. Improved performance of identification and adaptive control schemes using fractional operators. Int. J. Robust Nonlinear Control 2021, 31, 4118–4130. [Google Scholar] [CrossRef]
  17. Oldham, K.B. Fractional differential equations in electrochemistry. Adv. Eng. Softw. 2010, 41, 9–12. [Google Scholar] [CrossRef]
  18. Mainardi, F. An historical perspective on fractional calculus in linear viscoelasticity. Fract. Calc. Appl. Anal. 2012, 15, 712–717. [Google Scholar] [CrossRef]
  19. Sierociuk, D.; Skovranek, T.; Macias, M.; Podlubny, I.; Petras, I.; Dzielinski, A.; Ziubinski, P. Diffusion process modeling by using fractional-order models. Appl. Math. Comput. 2015, 257, 2–11. [Google Scholar] [CrossRef]
  20. Žecová, M.; Terpák, J. Heat conduction modeling by using fractional-order derivatives. Appl. Math. Comput. 2015, 257, 365–373. [Google Scholar] [CrossRef]
  21. Shen, J.; Lam, J. Stability and performance analysis for positive fractional-order systems with time-varying delays. IEEE Trans. Autom. Control 2015, 61, 2676–2681. [Google Scholar] [CrossRef]
  22. Ahmad, B.; Alsaedi, A.; Kirane, M. Nonexistence results for the Cauchy problem of time fractional nonlinear systems of thermo-elasticity. Math. Methods Appl. Sci. 2017, 40, 4272–4279. [Google Scholar] [CrossRef]
  23. Li, G.; Cao, J.; Alsaedi, A.; Ahmad, B. Limit cycle oscillation in aeroelastic systems and its adaptive fractional-order fuzzy control. Int. J. Mach. Learn. Cybern. 2018, 9, 1297–1305. [Google Scholar] [CrossRef]
  24. Chen, Y.; Gao, Q.; Wei, Y.; Wang, Y. Study on fractional order gradient methods. Appl. Math. Comput. 2017, 314, 310–321. [Google Scholar] [CrossRef]
  25. Sheng, D.; Wei, Y.; Chen, Y.; Wang, Y. Convolutional neural networks with fractional order gradient method. Neurocomputing 2020, 408, 42–50. [Google Scholar] [CrossRef]
  26. Hai, P.V.; Rosenfeld, J.A. The gradient descent method from the perspective of fractional calculus. Math. Methods Appl. Sci. 2021, 44, 5520–5547. [Google Scholar] [CrossRef]
  27. Wei, Y.; Chen, Y.; Zhao, X.; Cao, J. Analysis and synthesis of gradient algorithms based on fractional-order system theory. IEEE Trans. Syst. Man Cybern. Syst. 2022, 53, 1895–1906. [Google Scholar] [CrossRef]
  28. Pu, Y.F.; Zhou, J.L.; Zhang, Y.; Zhang, N.; Huang, G.; Siarry, P. Fractional Extreme Value Adaptive Training Method: Fractional Steepest Descent Approach. IEEE Trans. Neural Netw. Learn. Syst. 2015, 26, 653–662. [Google Scholar] [CrossRef] [PubMed]
  29. Wei, Y.; Chen, Y.; Cheng, S.; Wang, Y. Discussion on fractional order derivatives. IFAC-PapersOnLine 2017, 50, 7002–7006. [Google Scholar] [CrossRef]
  30. Chen, M.; Pu, Y.F.; Bai, Y.C. A fractional-order variational residual CNN for low dose CT image denoising. In Proceedings of the Intelligent Computing Theories and Application: 15th International Conference, ICIC 2019, Proceedings, Part I 15, Nanchang, China, 3–6 August 2019; Springer: Berlin/Heidelberg, Germany, 2019; pp. 238–249. [Google Scholar]
  31. Pu, Y.F.; Wang, J. Fractional-Order Backpropagation Neural Networks: Modified Fractional-order Steepest Descent Method for Family of Backpropagation Neural Networks. Front. Inf. Technol. Electron. Eng. 2020, 21, 809–833. Available online: http://arxiv.org/abs/1906.09524 (accessed on 22 April 2022). [CrossRef]
  32. Gaudio, J.E.; Gibson, T.E.; Annaswamy, A.M.; Bolender, M.A.; Lavretsky, E. Connections between Adaptive Control and Optimization in Machine Learning. arXiv 2019, arXiv:1904.05856v1. Available online: http://arxiv.org/abs/arXiv:1904.05856v1 (accessed on 22 September 2020).
  33. Liu, J.; Chen, S.; Cai, S.; Xu, C. The Novel Adaptive Fractional Order Gradient Decent Algorithms Design via Robust Control. arXiv 2023, arXiv:2303.04328. [Google Scholar]
  34. Wei, Y.; Chen, Y.; Gao, Q.; Wang, Y. Infinite series representation of functions in fractional calculus. In Proceedings of the 2019 Chinese Automation Congress (CAC), Hangzhou, China, 22–24 November 2019; IEEE: New York, NY, USA, 2019; pp. 1697–1702. [Google Scholar]
  35. Liu, J.; Zhai, R.; Liu, Y.; Li, W.; Wang, B.; Huang, L. A quasi fractional order gradient descent method with adaptive stepsize and its application in system identification. Appl. Math. Comput. 2021, 393, 125797. [Google Scholar] [CrossRef]
  36. Zhang, T.; Li, Y. Global exponential stability of discrete-time almost automorphic Caputo–Fabrizio BAM fuzzy neural networks via exponential Euler technique. Knowl.-Based Syst. 2022, 246, 108675. [Google Scholar] [CrossRef]
  37. Aguila-Camacho, N.; Duarte-Mermoud, M.A.; Gallegos, J.A. Lyapunov functions for fractional order systems. Commun. Nonlinear Sci. Numer. Simul. 2014, 19, 2951–2957. [Google Scholar] [CrossRef]
  38. Li, Y.; Chen, Y.; Podlubny, I. Stability of fractional-order nonlinear dynamic systems: Lyapunov direct method and generalized Mittag–Leffler stability. Comput. Math. Appl. 2010, 59, 1810–1821. [Google Scholar] [CrossRef]
  39. Duarte-Mermoud, M.A.; Aguila-Camacho, N.; Gallegos, J.A.; Castro-Linares, R. Using general quadratic Lyapunov functions to prove Lyapunov uniform stability for fractional order systems. Commun. Nonlinear Sci. Numer. Simul. 2015, 22, 650–659. [Google Scholar] [CrossRef]
  40. Chen, W.; Dai, H.; Song, Y.; Zhang, Z. Convex Lyapunov functions for stability analysis of fractional order systems. IET Control Theory Appl. 2017, 11, 1070–1074. [Google Scholar] [CrossRef]
  41. Tuan, H.T.; Trinh, H. Stability of fractional-order nonlinear systems by Lyapunov direct method. IET Control Theory Appl. 2018, 12, 2417–2422. [Google Scholar] [CrossRef]
  42. Gallegos, J.A.; Aguila-Camacho, N.; Duarte-Mermoud, M.A. Smooth solutions to mixed-order fractional differential systems with applications to stability analysis. J. Integral Equ. Appl. 2019, 31, 59–84. [Google Scholar] [CrossRef]
  43. Li, Y.; Chen, Y.; Podlubny, I. Mittag-Leffler stability of fractional order nonlinear dynamic systems. Automatica 2009, 45, 1965–1969. [Google Scholar] [CrossRef]
  44. Gallegos, J.A.; Duarte-Mermoud, M.A. Convergence of fractional adaptive systems using gradient approach. ISA Trans. 2017, 69, 31–42. [Google Scholar] [CrossRef]
  45. Narendra, K.S.; Annaswamy, A.M. Persistent excitation in adaptive systems. Int. J. Control 1987, 45, 127–160. [Google Scholar] [CrossRef]
  46. Wei, Y.; Kang, Y.; Yin, W.; Wang, Y. Generalization of the gradient method with fractional order gradient direction. J. Frankl. Inst. 2020, 357, 2514–2532. [Google Scholar] [CrossRef]
  47. Oliveira Valerio, D. Ninteger V. 2.3, Fractional Control Toolbox for MatLab; Universidade Técnica de Lisboa, Instituto Superior TÉCnico: Lisbon, Portugal, 2005. [Google Scholar]
Figure 1. Block diagram of error model-1.
Figure 1. Block diagram of error model-1.
Mathematics 12 03212 g001
Figure 2. FOEM1-FG, when the information signal ω ( t ) matches with Case A of Table 1 and 1 β < 2 .
Figure 2. FOEM1-FG, when the information signal ω ( t ) matches with Case A of Table 1 and 1 β < 2 .
Mathematics 12 03212 g002
Figure 3. FOEM1−FG, when the information signal ω ( t ) matches with Case B of Table 1 and 1 β < 2 .
Figure 3. FOEM1−FG, when the information signal ω ( t ) matches with Case B of Table 1 and 1 β < 2 .
Mathematics 12 03212 g003
Figure 4. FOEM1−FG, when the information signal ω ( t ) matches with Case C of Table 1 y 1 β < 2 .
Figure 4. FOEM1−FG, when the information signal ω ( t ) matches with Case C of Table 1 y 1 β < 2 .
Mathematics 12 03212 g004
Figure 5. Two-dimension FOEM1−FG, where the information signal ω ( t ) R 2 matches with Case A of Table 5; 1 β < 2 y α = 1 .
Figure 5. Two-dimension FOEM1−FG, where the information signal ω ( t ) R 2 matches with Case A of Table 5; 1 β < 2 y α = 1 .
Mathematics 12 03212 g005
Figure 6. Two-dimension FOEM1−FG, where the information signal ω ( t ) R 2 matches with Case B of Table 5. 1 β < 2 y α = 1 .
Figure 6. Two-dimension FOEM1−FG, where the information signal ω ( t ) R 2 matches with Case B of Table 5. 1 β < 2 y α = 1 .
Mathematics 12 03212 g006
Figure 7. Two-dimension F0EM1−FG, where the information signal ω ( t ) R 2 matches with Case C of Table 5. 1 β < 2 and α = 1 .
Figure 7. Two-dimension F0EM1−FG, where the information signal ω ( t ) R 2 matches with Case C of Table 5. 1 β < 2 and α = 1 .
Mathematics 12 03212 g007
Table 1. Auxiliary signals used in the simulation studies for the scalar case of FOEM1-FG.
Table 1. Auxiliary signals used in the simulation studies for the scalar case of FOEM1-FG.
CaseSignal ω ( t )
A1
B s i n ( t )
C e t
Table 2. Performance metrics for α = 1 and 1 β < 2 , corresponding to Case A of Table 1.
Table 2. Performance metrics for α = 1 and 1 β < 2 , corresponding to Case A of Table 1.
β 11.31.51.71.9
IAE6.01.490.910.720.82
ISE184.943.132.532.96
ITNAE60.310.110.070.08
Table 3. Performance metrics for α = 1 and 1 β < 2 , corresponding to Case B of Table 1.
Table 3. Performance metrics for α = 1 and 1 β < 2 , corresponding to Case B of Table 1.
β 11.31.51.71.9
IAE7.82.031.200.860.82
ISE183.631.701.040.95
ITNAE16.221.360.610.370.34
Table 4. Performance metrics for α = 1 and 1 β < 2 , corresponding to Case C of Table 1.
Table 4. Performance metrics for α = 1 and 1 β < 2 , corresponding to Case C of Table 1.
β 11.31.51.71.9
IAE4.351.740.960.730.82
ISE11.384.602.962.392.76
ITNAE3.860.710.140.080.09
Table 5. Auxiliary signals used in simulations for the two-dimensional vector case in FOEM1-FG.
Table 5. Auxiliary signals used in simulations for the two-dimensional vector case in FOEM1-FG.
CaseSignal ω ( t )
A [ 1 2 ]
B [ 1 s i n ( t ) ]
C [ s i n ( t ) e t ]
Table 6. Performance metrics for α = 1 and 1 β < 2 , corresponding to Case A of Table 5.
Table 6. Performance metrics for α = 1 and 1 β < 2 , corresponding to Case A of Table 5.
β 11.31.51.71.9
IAE1.80.560.380.320.39
ISE 85.161.931.672.115.79
ITNAE0.360.030.010.0090.013
Table 7. Performance metrics for α = 1 and 1 β < 2 , corresponding to Case B of Table 5.
Table 7. Performance metrics for α = 1 and 1 β < 2 , corresponding to Case B of Table 5.
β 11.31.51.71.9
IAE19.313.3811.4410.4611.80
ISE46.139.474.673.173.51
ITNAE109.9582.5799.711541652
Table 8. Performance metrics for α = 1 and 1 β < 2 , corresponding to Case C of Table 5.
Table 8. Performance metrics for α = 1 and 1 β < 2 , corresponding to Case C of Table 5.
β 11.31.51.71.9
IAE9.62.991.881.431.48
ISE22.06.804.413.594.03
ITNAE203.231.801.301.24
Disclaimer/Publisher’s Note: The statements, opinions and data contained in all publications are solely those of the individual author(s) and contributor(s) and not of MDPI and/or the editor(s). MDPI and/or the editor(s) disclaim responsibility for any injury to people or property resulting from any ideas, methods, instructions or products referred to in the content.

Share and Cite

MDPI and ACS Style

Sánchez-Rivero, M.; Duarte-Mermoud, M.A.; Travieso-Torres, J.C.; Orchard, M.E.; Ceballos-Benavides, G. Analysis of Fractional Order-Adaptive Systems Represented by Error Model 1 Using a Fractional-Order Gradient Approach. Mathematics 2024, 12, 3212. https://doi.org/10.3390/math12203212

AMA Style

Sánchez-Rivero M, Duarte-Mermoud MA, Travieso-Torres JC, Orchard ME, Ceballos-Benavides G. Analysis of Fractional Order-Adaptive Systems Represented by Error Model 1 Using a Fractional-Order Gradient Approach. Mathematics. 2024; 12(20):3212. https://doi.org/10.3390/math12203212

Chicago/Turabian Style

Sánchez-Rivero, Maibeth, Manuel A. Duarte-Mermoud, Juan Carlos Travieso-Torres, Marcos E. Orchard, and Gustavo Ceballos-Benavides. 2024. "Analysis of Fractional Order-Adaptive Systems Represented by Error Model 1 Using a Fractional-Order Gradient Approach" Mathematics 12, no. 20: 3212. https://doi.org/10.3390/math12203212

APA Style

Sánchez-Rivero, M., Duarte-Mermoud, M. A., Travieso-Torres, J. C., Orchard, M. E., & Ceballos-Benavides, G. (2024). Analysis of Fractional Order-Adaptive Systems Represented by Error Model 1 Using a Fractional-Order Gradient Approach. Mathematics, 12(20), 3212. https://doi.org/10.3390/math12203212

Note that from the first issue of 2016, this journal uses article numbers instead of page numbers. See further details here.

Article Metrics

Back to TopTop