Reliability Modeling of Systems with Undetected Degradation Considering Time Delays, Self-Repair, and Random Operating Environments
Abstract
1. Introduction
- (1)
- Components in a power grid may degrade gradually, reducing efficiency or leading to failures. These causes may go unnoticed until an unexpected event, such as a peak load, triggers the underlying problem.
- (2)
- A medical device monitoring a patient’s vital signs may gradually deteriorate, resulting in inaccurate readings. This unnoticed issue may only become evident when the system fails to provide observed data during a situation that leads to compromised patient safety.
- (3)
- Degradation in the performance of storage devices such as hard drives may go unnoticed until a system failure occurs.
2. Model Description
- S1:
- The system operates normally (i.e., operating state).
- S2:
- The system is in the degradation state but undetected (i.e., undetected degraded state).
- S3:
- The system is in the degradation state and detected (i.e., detected degraded state).
- S4:
- The system undergoes minor repair (i.e., minor repaired state).
- S5:
- The system undergoes major repair (i.e., major repaired state).
- S6:
- The system undergoes severe repair (i.e., severe repaired state).
- S7:
- The system has failed (i.e., failed state).
- P1(t)
- probability that the system operates normally at time t (i.e., P1(t) = P(S1(t))).
- P2(t)
- probability that the system is in the degradation state but undetected at time t.
- P3(t)
- probability that the system is in the degradation state and detected at time t.
- P4(t)
- probability that the system undergoes minor repair at time t.
- P5(t)
- probability that the system undergoes major repair at time t.
- P6(t)
- probability that the system undergoes severe repair at time t.
- P7(t)
- probability that the system has failed at time t.
2.1. Model Assumptions and Explanation
- A system initially operates normally, but it may enter an undetected degraded state (S2) with a constant rate, say ‘a’, where performance diminishes without immediate awareness. This state can only be identified after a random time interval, which follows an exponential distribution, with a constant rate ‘b’. In simpler terms, during the undetected degraded state transition, the system may outwardly appear to operate fine, making it challenging to notice the subtle decline in performance. Detection mechanisms, whether automated or through manual monitoring, play a crucial role in identifying these subtle deviations and enabling timely corrective measures to maintain system reliability.
- The degradation may occur due to various factors, such as wear and tear, software bugs, or external influences. After a certain period, anomalies in the system’s behavior may become more apparent. Through monitoring, analysis, or the activation of built-in diagnostic mechanisms, the system’s degraded state can be detected. This detection is crucial, as it allows for proactive measures to be taken before the system reaches a critical failure point. In the detected degraded state, the system experiences a reduction in efficiency or capability, but this does not lead to a complete failure.
- The system in the normal state is subject to transitions, with constant rates a, n, and r, into an undetected degraded state, detected degraded state, and failed state, respectively.
- The system in the undetected degraded state is subject to transitions into either the detected degraded state or the failed state, with rates b and w, respectively. It can also enter the major repair state, with a constant rate u2, and with a delay time τ3 due to undetected degradation.
- As soon as the degraded state of the system is detected, subject to a time delay time τ1, the system is inspected. It then undergoes either minor repair (with a probability d1), major repair (with a probability d2), or severe repair (with a probability 1 − d1 − d2). It can also transition to the failed state, with a constant rate c. The time needed for inspection is exponentially distributed, with a constant rate f. The time needed for minor repair, with a constant rate e, can return the system to a normal state. Additionally, it is subject to the functions and which can transition to the major and severe states, respectively, due to imperfect repairs.
- The time needed for a major repair, with constant rates qh and (1 − q)h, can return the system to a normal state and an undetected degraded state, respectively. Moreover, it can enter the severe state, with a constant rate z, subject to the time delay τ4. It is also subjected to the function which can transition to the failed state due to imperfect repairs.
- Similarly, the time needed for severe repair, with constant rates (1 − d3 − d4)gsubject to the time delay τ2and d4g, which can return to a normal state and an undetected degraded state, respectively, is considered. Additionally, there is a rate of d3g for transition to the failed state due to imperfect repair.
- The system is assumed to operate as intended with the assistance of self-healing resources, resulting in reliable functionality characterized by the time-dependent function and uncertainty in maintaining a constant rate v in the random environment. For example, when k = 0, indicating the absence of self-healing, we assume that the system lacks the capability to recover autonomously. When k > 0, a self-healing resource becomes available to support system operation. This resource may include inspections or online support to ensure continuous system functionality.
- The system is assumed to be capable of self-repair or recovering from a temporary fault, restoring the system’s status to a normal condition. For example, the system may have a transition rate u1, allowing it to transit from an undetected degraded state back to a normal operating state due to self-repair, which addresses a temporary fault that can disappear after a random short time.
2.2. Model Formulation
3. Numerical Results
- Scenario 1: The set of initial probability rate conditions (i.e., time t = 0) is as follows: P1(0) = 1.0; P2(0) = 0.0; P3(0) = P4(0) = P5(0) = P6(0) = P7(0) = 0.0. This implies that the system always works as intended from the beginning.
- Scenario 2: The set of initial probability rate conditions (i.e., time t = 0) is:
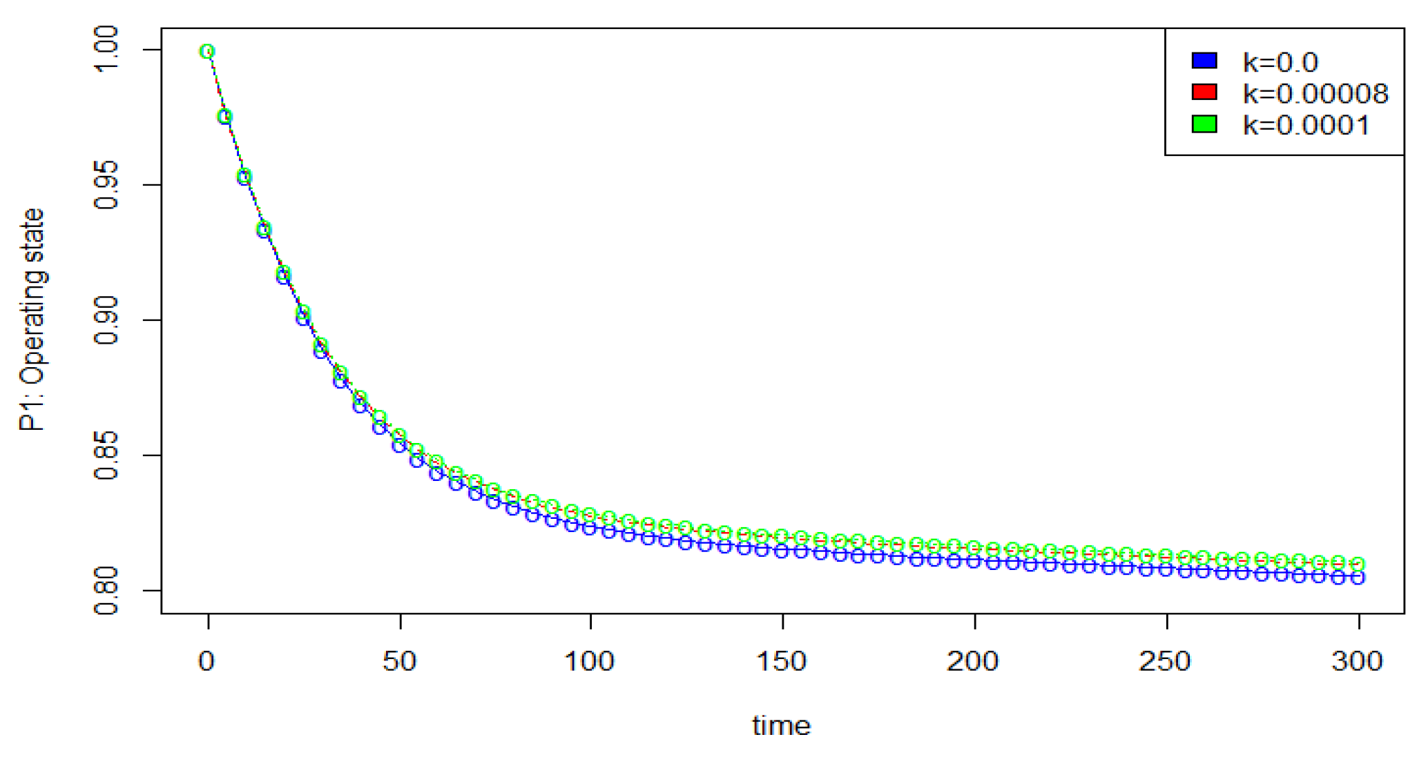
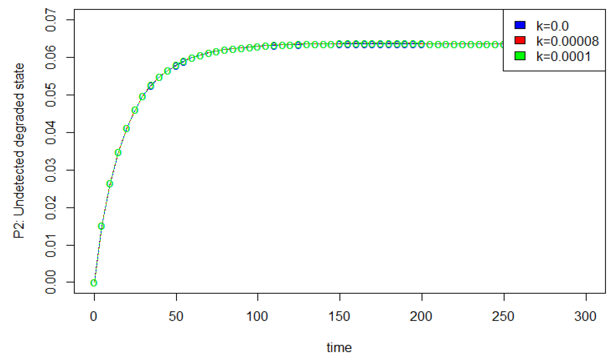
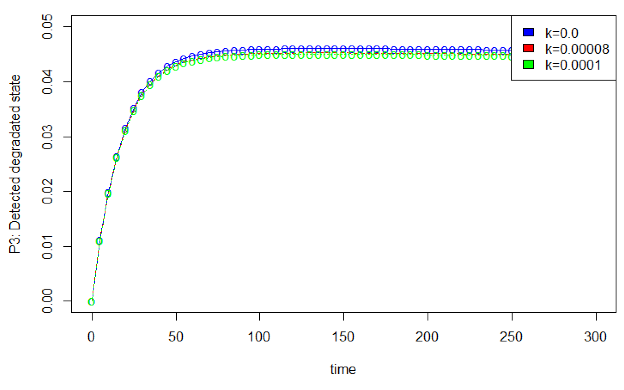
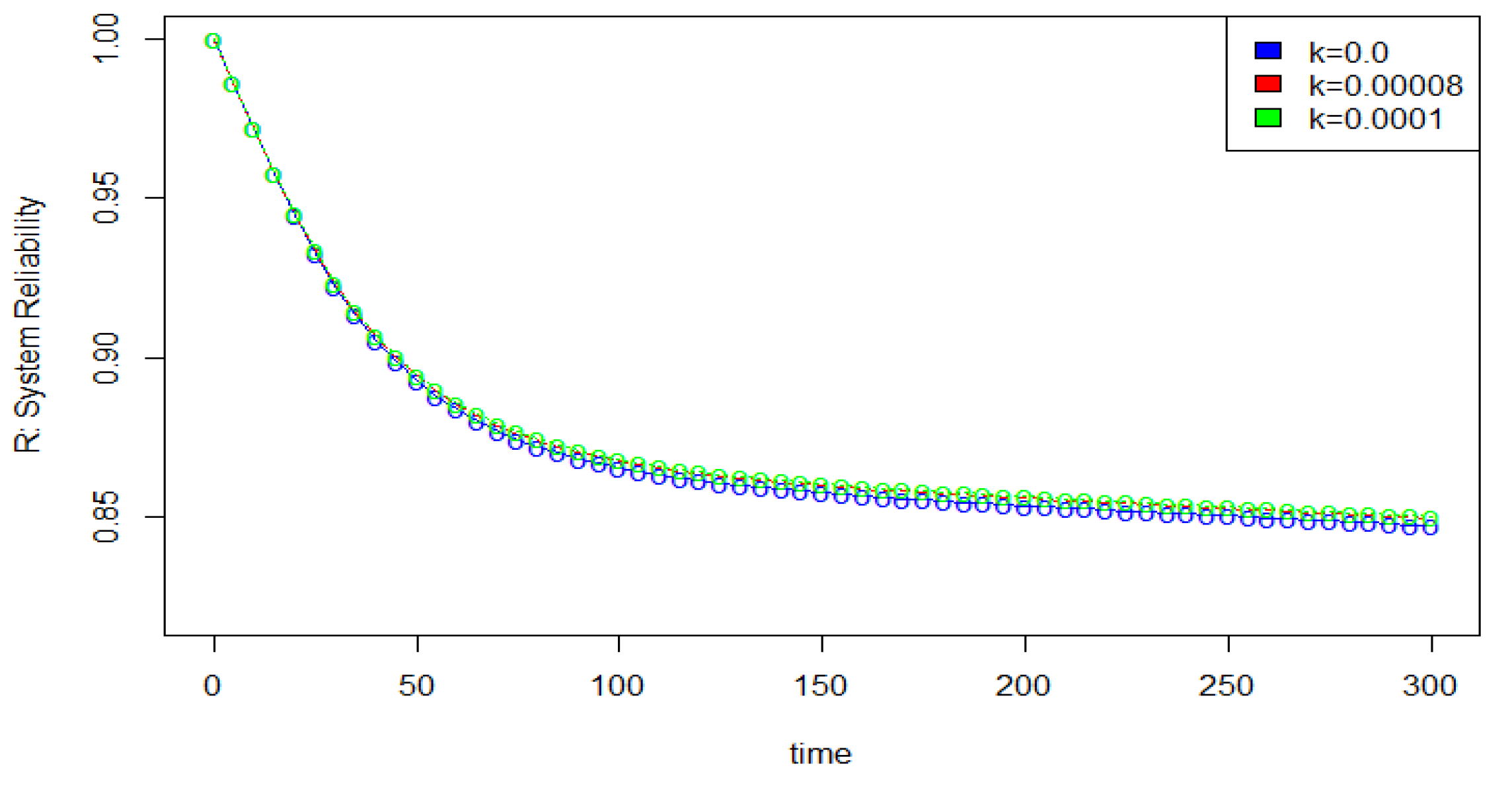
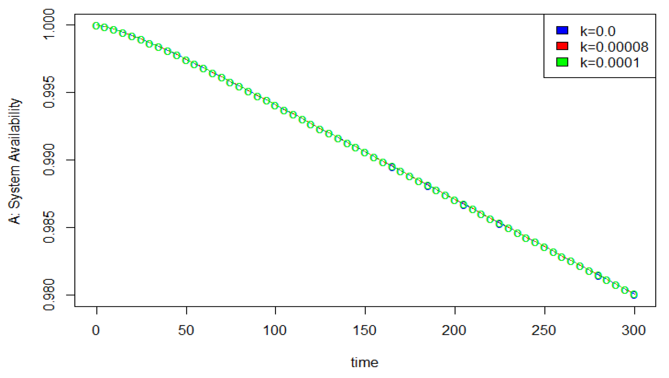
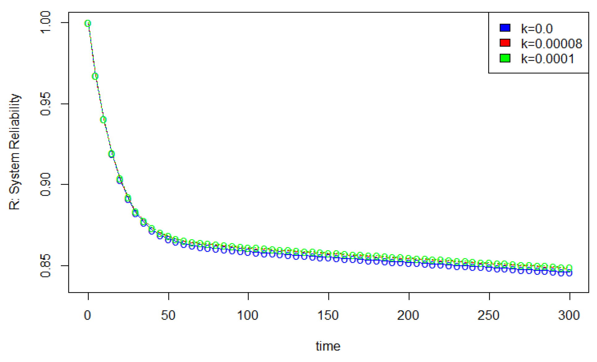
- Case 1: System with no time delay for various values of k (k = 0.0; 0.00008; 0.0001) and the initial condition P1(0) = 1
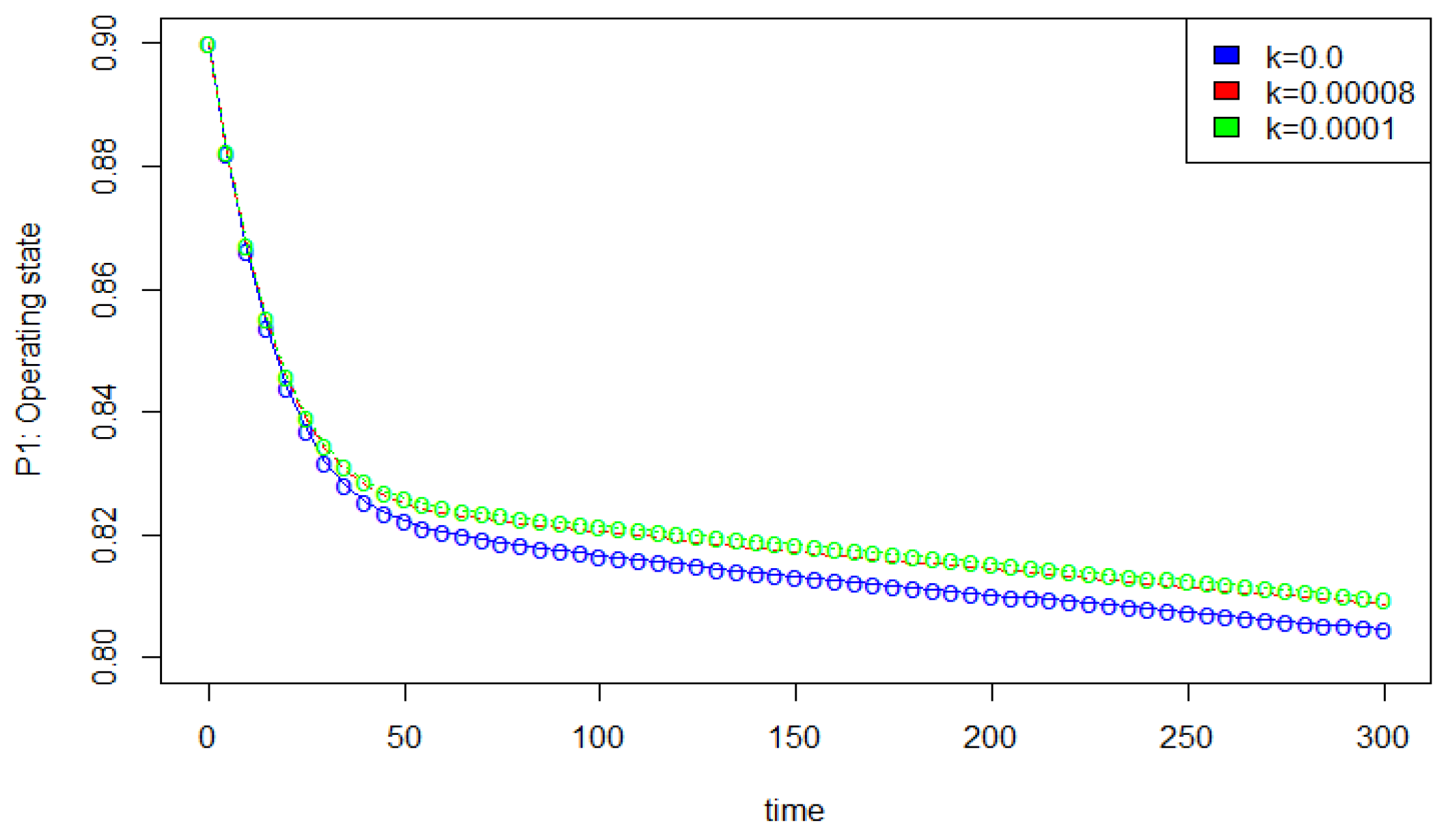
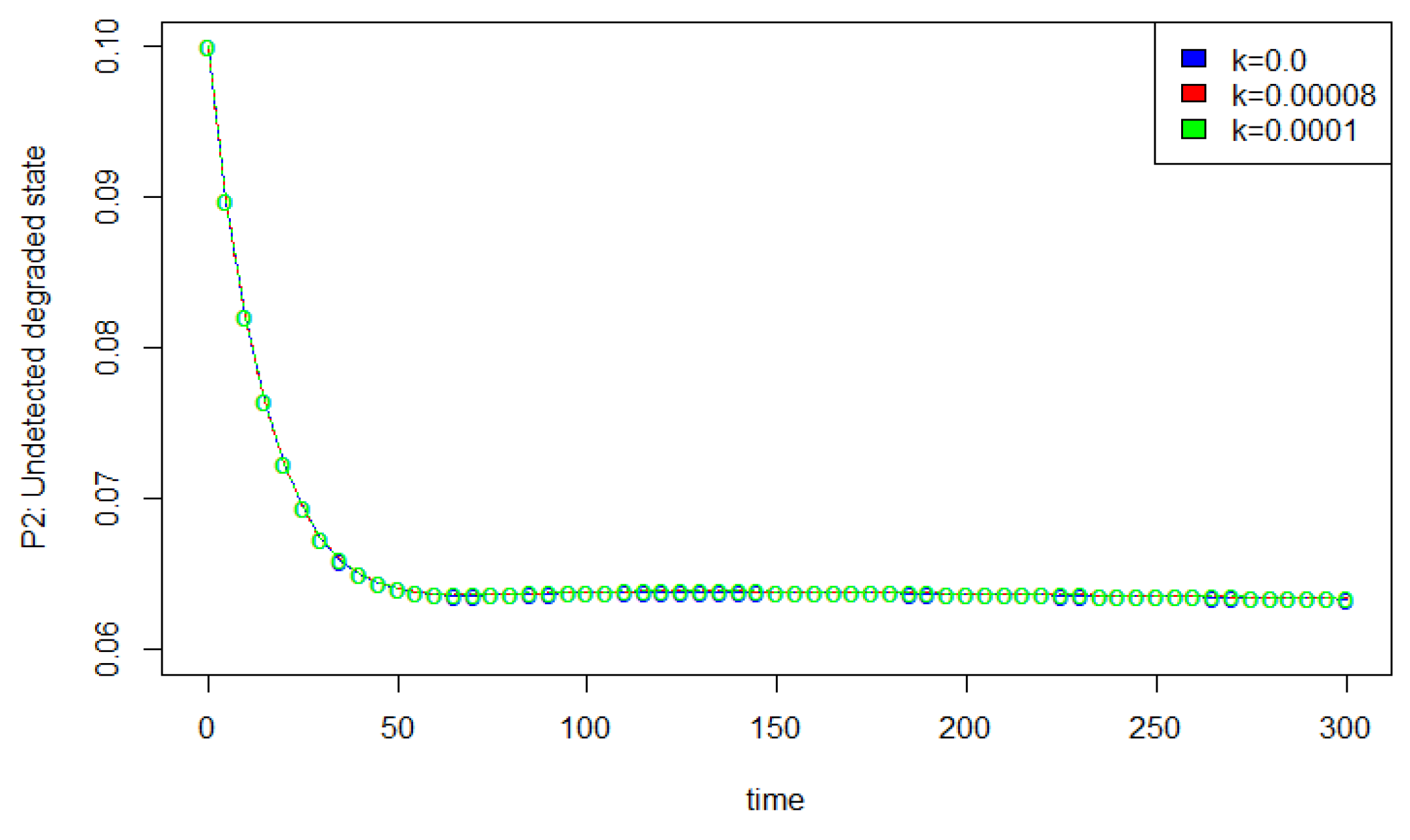
- Case 2: System with no time delay for various values of k (k = 0.0; 0.00008; 0.0001), P1(0) = 0.9, and P2(0) = 0.1
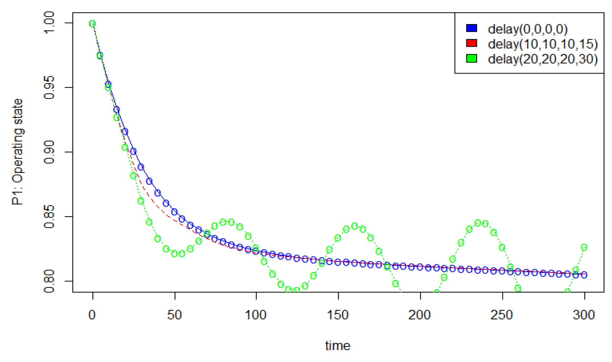
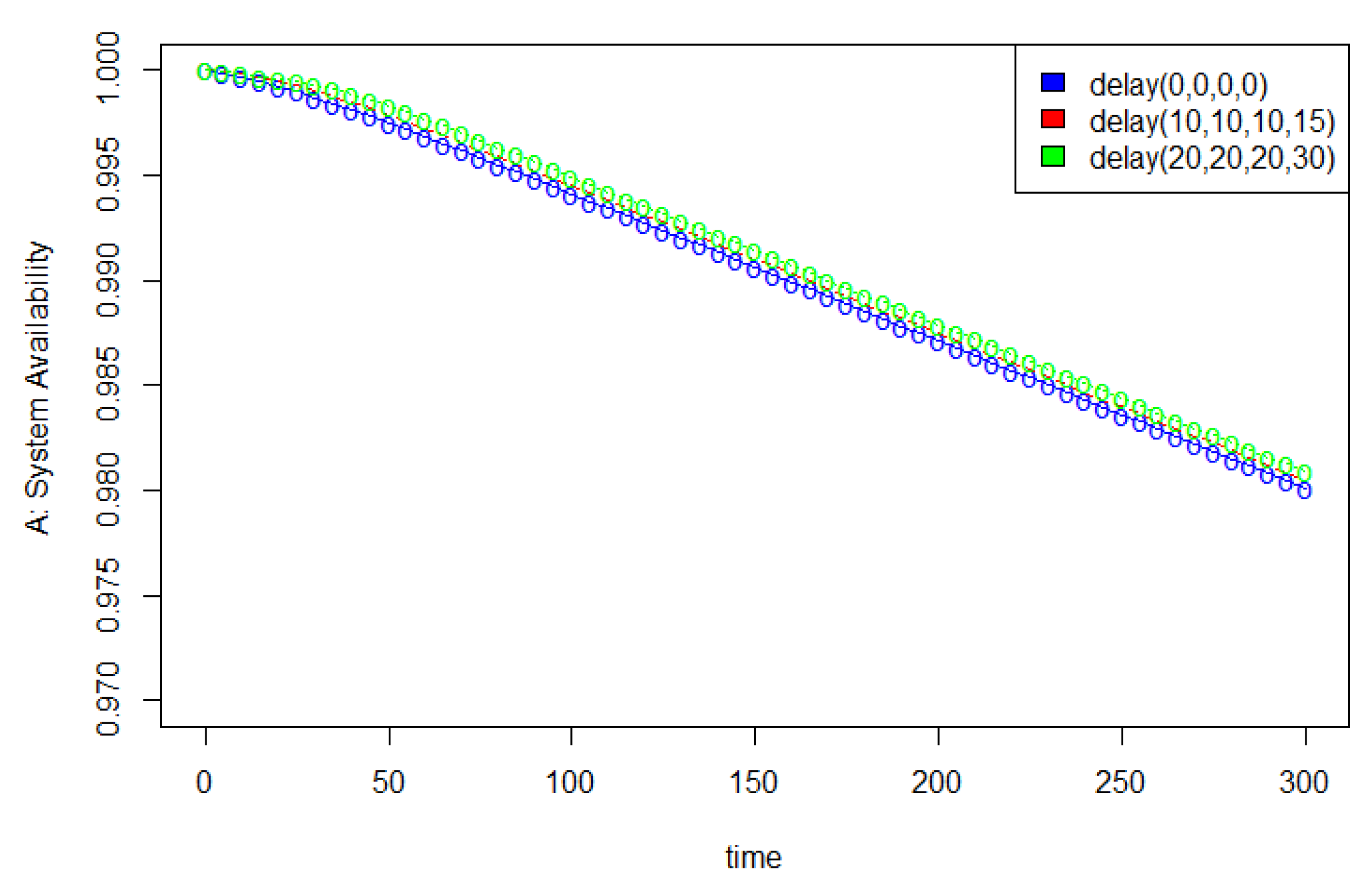
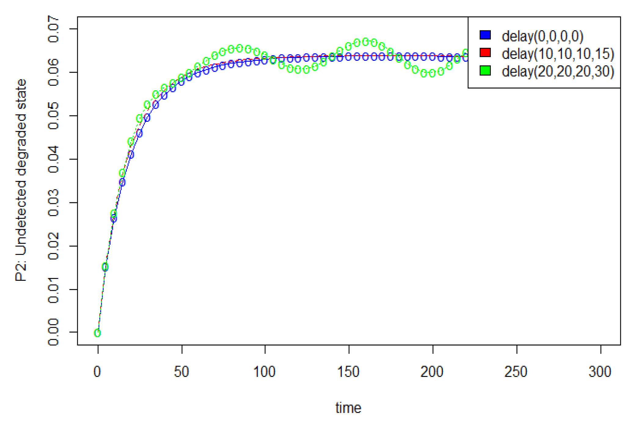
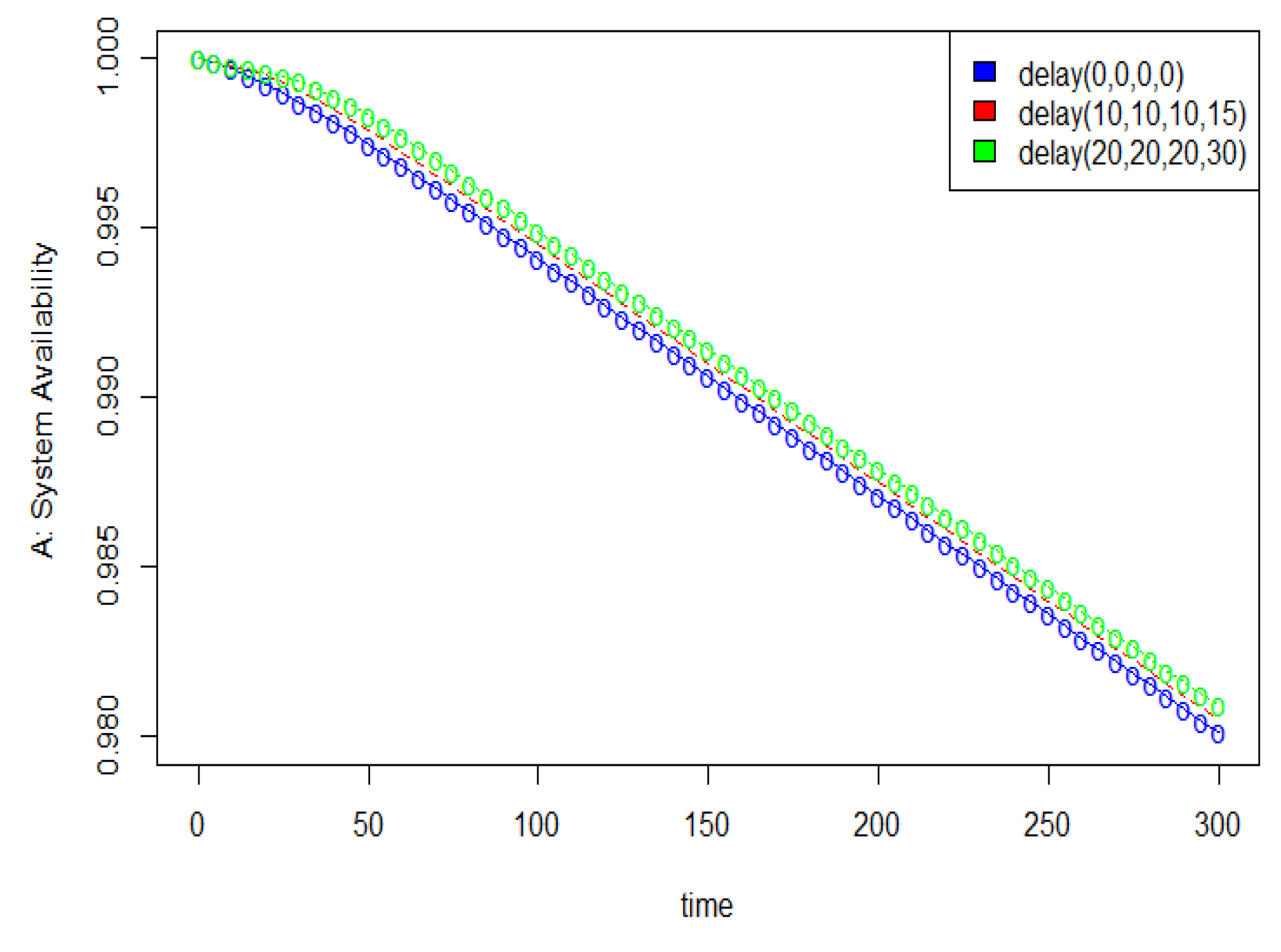
- Case 3: System with various time delays with P1(0) = 1.0, P2(0) = 0.0, and k = 0
- Case 4: System with various time delays with P1(0) = 1.0, P2(0) = 0.0, and k = 0.0001
- Case 5: same as Case 4 except P1(0) = 0.9, P2(0) = 0.1; k = 0.0001
4. Conclusions and Remarks
Funding
Data Availability Statement
Conflicts of Interest
References
- Pham, H. Mathematical maintenance theory: A historical perspective. IEEE Trans. Reliab. 2024, 73, 38–40. [Google Scholar] [CrossRef]
- Pham, H.; Suprasad, A.; Misra, R.B. Availability and mean life time prediction of multi-stage degraded system with partial repairs. Reliab. Eng. Syst. Saf. 1997, 56, 169–173. [Google Scholar] [CrossRef]
- Yu, J.; Zheng, S.; Pham, H.; Chen, T. Reliability modeling of multi-state degraded repairable systems and its applications to automotive systems. Qual. Reliab. Eng. Int. 2020, 34, 459–474. [Google Scholar] [CrossRef]
- Li, W.; Pham, H. Reliability modeling of multi-state degraded systems with multi-competing failures and random shocks. IEEE Trans. Reliab. 2005, 54, 297–303. [Google Scholar] [CrossRef]
- Available online: https://www.sunbirddcim.com/what-is-data-center (accessed on 12 May 2024).
- Stefanovici, T.; Hwang, A.; Schroeder, B. DRAM’s damning defects—And how they cripple computers. IEEE Spectrum 2015. [Google Scholar]
- Wang, Y.; Pham, H. A multi-objective optimization of imperfect preventive maintenance policy for dependent competing risk systems with hidden failure. IEEE Trans. Reliab. 2011, 60, 770–781. [Google Scholar] [CrossRef]
- Wang, Y.; Pham, H. Modeling the dependent competing risks with multiple degradation processes and random shock using time-varying copulas. IEEE Trans. Reliab. 2012, 61, 13–22. [Google Scholar] [CrossRef]
- Hu, J.; Sun, Q.; Ye, Z.-S. Condition-based maintenance planning for systems subject to dependent soft and hard failures. IEEE Trans. Reliab. 2020, 70, 1468–1480. [Google Scholar] [CrossRef]
- Chang, M.; Huang, X.; Coolen, F.P.A.; Coolen-Maturi, T. Reliability analysis for systems based on degradation rates and hard failure thresholds changing with degradation levels. Reliab. Eng. Syst. Saf. 2021, 216, 108007. [Google Scholar] [CrossRef]
- Hao, S.; Yang, J.; Ma, X.; Zhao, Y. Reliability modeling for mutually dependent competing failure processes due to degradation and random shocks. Appl. Math. Model. 2017, 51, 232–249. [Google Scholar] [CrossRef]
- Wang, J.; Bai, G.; Zhang, L. Modeling the interdependency between natural degradation process and random shocks. Comput. Ind. Eng. 2020, 145, 106551. [Google Scholar] [CrossRef]
- Park, M.; Pham, H. Condition-based maintenance for a degradation-shock dependence system under warranty. Int. J. Prod. Res. 2023, 61, 5212–5227. [Google Scholar] [CrossRef]
- Castro, I.T.; Landesa, L. A dependent complex degrading system with non-periodic inspection times. arXiv 2024. [Google Scholar] [CrossRef]
- Ogunfowora, O.; Najjaran, H. Reinforcement and deep reinforcement learning-based solutions for machine maintenance planning, scheduling policies, and optimization. J. Manuf. Syst. 2023, 70, 244–263. [Google Scholar] [CrossRef]
- Pham, H.; Li, W. Statistical maintenance modeling for complex systems. In Springer Handbook of Engineering Statistics, 2nd ed.; Pham, H., Ed.; Springer: London, UK, 2023. [Google Scholar]
- Babasola, O.; Omondi, E.O.; Oshinubi, K.; Imbusi, N.M. Stochastic delay differential equations: A comprehensive approach for understanding biosystems with application to disease modeling. Appl. Math. 2023, 3, 702–721. [Google Scholar] [CrossRef]
- Pham, H. A dynamic model of multiple time-delay interactions between the virus cells and body’s immune system with autoimmune diseases. Axioms 2021, 10, 216. [Google Scholar] [CrossRef]
- Pham, H. Mathematical modeling for time-delay interactions between tumor viruses and the immune system with the effects of chemotherapy and autoimmune diseases. Mathematics 2022, 10, 756. [Google Scholar] [CrossRef]
- Kumaran, C.; Venkatesh, T.G.; Swarup, K.S. Stochastic delay differential equations: Analysis and simulation studies. Chaos Solitons Fractals 2022, 165, 112819. [Google Scholar] [CrossRef]





























| a = 0.025, b = 0.045, c = 0.00005, d1 = 0.45, d2 = 0.5, d3 = 0.02, d4 = 0.003, e = 0.08, f = 0.085 | 
| g = 0.03, h = 0.035, k = 0.005, m = 0.00001, m1 = 0.00002, m2 = 0.00004, n = 0.0025, q = 0.075 | 
| r = 0.00002, u1 = 0.008, u2 = 0.002, v = 0.001, w = 0.0007, w1 = 0.0005, w2 = 0.00008, z = 0.004 | 
| Disclaimer/Publisher’s Note: The statements, opinions and data contained in all publications are solely those of the individual author(s) and contributor(s) and not of MDPI and/or the editor(s). MDPI and/or the editor(s) disclaim responsibility for any injury to people or property resulting from any ideas, methods, instructions or products referred to in the content. | 
© 2024 by the author. Licensee MDPI, Basel, Switzerland. This article is an open access article distributed under the terms and conditions of the Creative Commons Attribution (CC BY) license (https://creativecommons.org/licenses/by/4.0/).
Share and Cite
Pham, H. Reliability Modeling of Systems with Undetected Degradation Considering Time Delays, Self-Repair, and Random Operating Environments. Mathematics 2024, 12, 2916. https://doi.org/10.3390/math12182916
Pham H. Reliability Modeling of Systems with Undetected Degradation Considering Time Delays, Self-Repair, and Random Operating Environments. Mathematics. 2024; 12(18):2916. https://doi.org/10.3390/math12182916
Chicago/Turabian StylePham, Hoang. 2024. "Reliability Modeling of Systems with Undetected Degradation Considering Time Delays, Self-Repair, and Random Operating Environments" Mathematics 12, no. 18: 2916. https://doi.org/10.3390/math12182916
APA StylePham, H. (2024). Reliability Modeling of Systems with Undetected Degradation Considering Time Delays, Self-Repair, and Random Operating Environments. Mathematics, 12(18), 2916. https://doi.org/10.3390/math12182916
 
        

 
       