Solving Mazes: A New Approach Based on Spectral Graph Theory
Abstract
1. Introduction
2. Algebraic Connectivity of Graphs
3. Discretization of the Maze and Problem Formulation
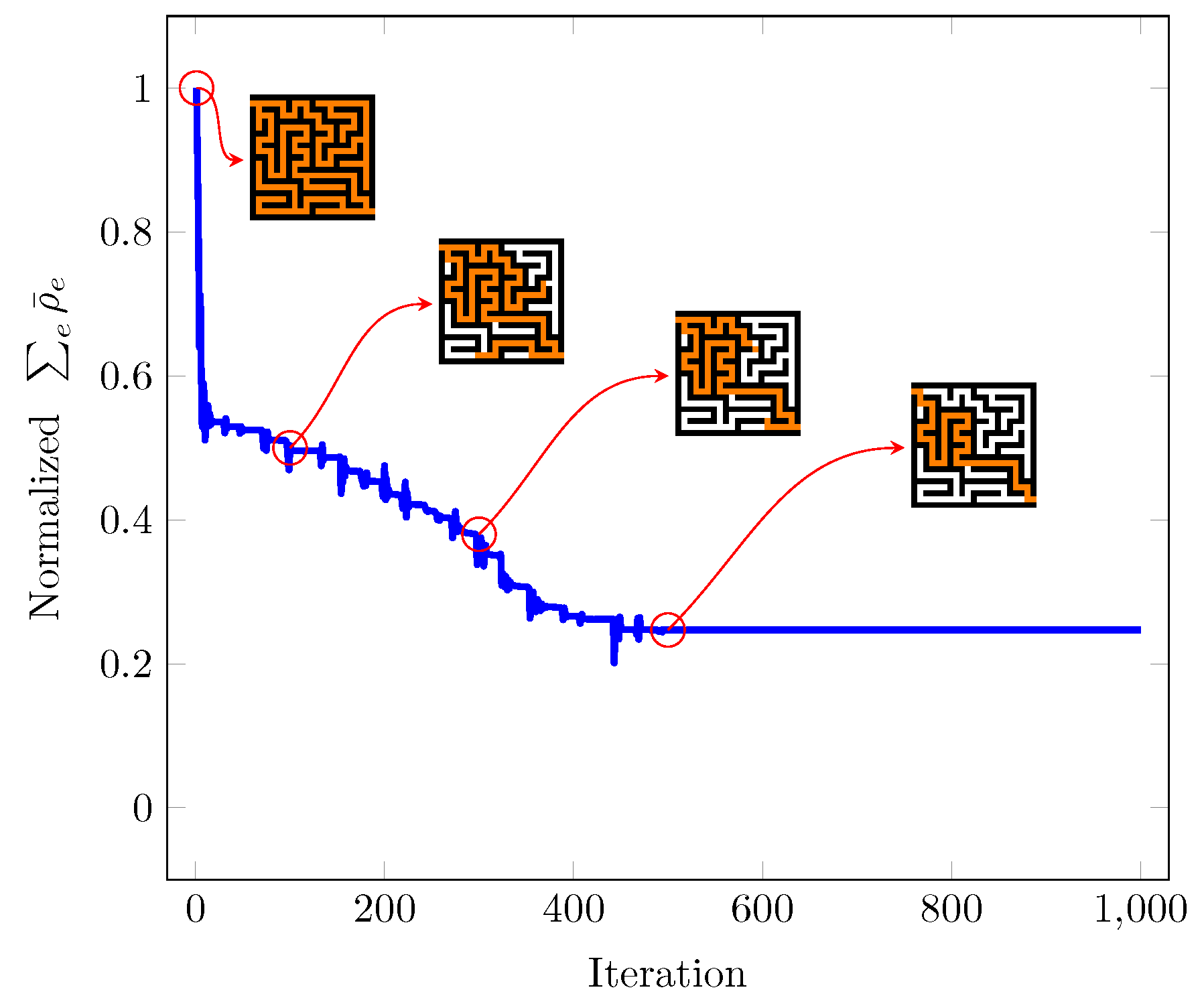
4. Examples of Mazes
4.1. Coarse Mesh with Single Solution
4.2. Fine Mesh with Single Solution
4.3. Fine Mesh with Various Solutions
4.4. Forcing the Path
4.5. Three-Dimensional Maze with Single Solution
5. Conclusions
Author Contributions
Funding
Data Availability Statement
Conflicts of Interest
References
- Kumar, N.; Kaur, S. A Review of Various Maze Solving Algorithms Based on Graph Theory. Int. J. Sci. Res. Dev. 2019, 6, 431–434. [Google Scholar]
- Avila-Sánchez, L.A.; Sánchez-López, C.; Ochoa-Montiel, R.; Montalvo-Galicia, F.; Sánchez-Gaspariano, L.A.; Hernández-Mejía, C.; González-Hernández, H.G. Maze Solving Mobile Robot Based on Image Processing and Graph Theory. Technologies 2023, 11, 171. [Google Scholar] [CrossRef]
- Aqel, M.O.A.; Issa, A.; Khdair, M.; ElHabbash, M.; AbuBaker, M.; Massoud, M. Intelligent Maze Solving Robot Based on Image Processing and Graph Theory Algorithms. In Proceedings of the 2017 International Conference on Promising Electronic Technologies (ICPET), Deir El-Balah, Palestine, 16 November 2017; pp. 48–53. [Google Scholar] [CrossRef]
- Husain, Z.; Al Zaabi, A.; Hildmann, H.; Saffre, F.; Ruta, D.; Isakovic, A.F. Search and Rescue in a Maze-like Environment with Ant and Dijkstra Algorithms. Drones 2022, 6, 273. [Google Scholar] [CrossRef]
- Sakai, O.; Karasaki, T.; Ito, T.; Murakami, T.; Tanaka, M.; Kambara, M.; Hirayama, S. Maze-solving in a plasma system based on functional analogies to reinforcement-learning model. PLoS ONE 2024, 19, e0300842. [Google Scholar] [CrossRef]
- Chung, F.R.K. Spectral Graph Theory; American Mathematical Society: Providence, RI, USA, 1997. [Google Scholar]
- Fiedler, M. Algebraic connectivity of graphs. Czechoslov. Math. J. 1973, 23, 298–305. [Google Scholar] [CrossRef]
- Fiedler, M. Laplacian of graphs and algebraic connectivity. Banach Cent. Publ. 1989, 25, 57–70. [Google Scholar] [CrossRef]
- Steinerberger, S. A spectral approach to the shortest path problem. Linear Algebra Appl. 2021, 620, 182–200. [Google Scholar] [CrossRef]
- Ryu, J.C.; Park, F.C.; Kim, Y.Y. Mobile robot path planning algorithm by equivalent conduction heat flow topology optimization. Struct. Multidiscip. Optim. 2012, 45, 703–715. [Google Scholar] [CrossRef]
- Li, B.; Liu, H.; Su, W. Topology optimization techniques for mobile robot path planning. Appl. Soft Comput. 2019, 78, 528–544. [Google Scholar] [CrossRef]
- Venkata, P.P.K.; Bose, S.K.; Sarode, D.M.; Shete, P.P.; Apte, A.; Shaik, K. Automated maze solving using fluid mechanics based numerical approach. In Proceedings of the 2011 International Conference on Image Information Processing, Waknaghat, India, 3–5 November 2011; pp. 1–6. [Google Scholar] [CrossRef]
- Ivorra, B. Application of the Laminar Navier–Stokes Equations for Solving 2D and 3D Pathfinding Problems with Static and Dynamic Spatial Constraints: Implementation and Validation in Comsol Multiphysics. J. Sci. Comput. 2018, 74, 1163–1187. [Google Scholar] [CrossRef]
- Zhang, H. Political connections and antidumping investigations: Evidence from China. China Econ. Rev. 2018, 50, 34–41. [Google Scholar] [CrossRef]
- Zheng, Y.; Zhao, S.; Liu, Y.; Li, Y.; Tan, Q.; Xin, N. Weighted Algebraic Connectivity Maximization for Optical Satellite Networks. IEEE Access 2017, 5, 6885–6893. [Google Scholar] [CrossRef]
- Nagarajan, H.; Rathinam, S.; Darbha, S.; Rajagopal, K.R. Synthesizing robust communication networks for UAVs. In Proceedings of the 2012 American Control Conference (ACC), Montreal, QC, Canada, 27–29 June 2012; pp. 3730–3735. [Google Scholar] [CrossRef]
- de Abreu, N.M.M. Old and new results on algebraic connectivity of graphs. Linear Algebra Appl. 2007, 423, 53–73. [Google Scholar] [CrossRef]
- Simon, H. Partitioning of unstructured problems for parallel processing. Comput. Syst. Eng. 1991, 2, 135–148. [Google Scholar] [CrossRef]
- Spielman, D.; Teng, S.H. Spectral partitioning works: Planar graphs and finite element meshes. Linear Algebra Appl. 2007, 421, 284–305. [Google Scholar] [CrossRef]
- Donoso, A.; Aranda, E.; Ruiz, D. A new approach based on spectral graph theory to avoiding enclosed holes in topology optimization. Comput. Methods Appl. Mech. Eng. 2022, 393, 114769. [Google Scholar] [CrossRef]
- Donoso, A.; Aranda, E.; Ruiz, D. A new method for designing piezo transducers with connected two-phase electrode. Comput. Struct. 2023, 275, 106936. [Google Scholar] [CrossRef]
- Dijkstra, E.W. A note on two problems in connexion with graphs. Numer. Math. 1959, 1, 269–271. [Google Scholar] [CrossRef]
- Sadik, A.M.; Dhali, M.A.; Farid, H.M.; Rashid, T.U.; Syeed, A. A Comprehensive and Comparative Study of Maze-Solving Techniques by Implementing Graph Theory. In Proceedings of the 2010 International Conference on Artificial Intelligence and Computational Intelligence, Sanya, China, 23–24 October 2010; Volume 1, pp. 52–56. [Google Scholar] [CrossRef]
- Murata, Y.; Mitani, Y. A Fast and Shorter Path Finding Method for Maze Images by Image Processing Techniques and Graph Theory. J. Image Graph. 2014, 2, 89–93. [Google Scholar] [CrossRef]
- Bendsøe, M.P.; Sigmund, O. Topology Optimization: Theory, Methods and Applications, 2nd ed.; Springer: Berlin/Heidelberg, Germany, 2003. [Google Scholar]
- Bourdin, B. Filters in topology optimization. Int. J. Numer. Methods Eng. 2001, 50, 2143–2158. [Google Scholar] [CrossRef]
- Sigmund, O. Morphology-based black and white filters for topology optimization. Struct. Multidiscip. Optim. 2007, 33, 401–424. [Google Scholar] [CrossRef]
- Lazarov, B.S.; Sigmund, O. Filters in topology optimization based on Helmholtz-type differential equations. Int. J. Numer. Methods Eng. 2011, 86, 765–781. [Google Scholar] [CrossRef]
- Guest, J.K.; Prévost, J.H.; Belytschko, T. Achieving minimum length scale in topology optimization using nodal design variables and projection functions. Int. J. Numer. Methods Eng. 2004, 61, 238–254. [Google Scholar] [CrossRef]
- Wang, F.; Lazarov, B.S.; Sigmund, O. On projection methods, convergence and robust formulations in topology optimization. Struct. Multidiscip. Optim. 2011, 43, 767–784. [Google Scholar] [CrossRef]
- Svanberg, K. The method of moving asymptotes-a new method for structural optimization. Int. J. Numer. Methods Eng. 1987, 24, 359–373. [Google Scholar] [CrossRef]
- Dailey, R.L. Eigenvector derivatives with repeated eigenvalues. AIAA J. 1989, 27, 486–491. [Google Scholar] [CrossRef]
- Lee, I.W.; Jung, G.H.; Lee, J.W. Numerical method for sensitivity analysis of eigensystems with non-repeated and repeated eigenvalues. J. Sound Vib. 1996, 195, 17–32. [Google Scholar] [CrossRef]
- Meijer, K. Maze Generator. Available online: https://keesiemeijer.github.io/maze-generator/ (accessed on 6 May 2024).














![]() |
Disclaimer/Publisher’s Note: The statements, opinions and data contained in all publications are solely those of the individual author(s) and contributor(s) and not of MDPI and/or the editor(s). MDPI and/or the editor(s) disclaim responsibility for any injury to people or property resulting from any ideas, methods, instructions or products referred to in the content. |
© 2024 by the authors. Licensee MDPI, Basel, Switzerland. This article is an open access article distributed under the terms and conditions of the Creative Commons Attribution (CC BY) license (https://creativecommons.org/licenses/by/4.0/).
Share and Cite
Martín-Nieto, M.; Castaño, D.; Horta Muñoz, S.; Ruiz, D. Solving Mazes: A New Approach Based on Spectral Graph Theory. Mathematics 2024, 12, 2305. https://doi.org/10.3390/math12152305
Martín-Nieto M, Castaño D, Horta Muñoz S, Ruiz D. Solving Mazes: A New Approach Based on Spectral Graph Theory. Mathematics. 2024; 12(15):2305. https://doi.org/10.3390/math12152305
Chicago/Turabian StyleMartín-Nieto, Marta, Damián Castaño, Sergio Horta Muñoz, and David Ruiz. 2024. "Solving Mazes: A New Approach Based on Spectral Graph Theory" Mathematics 12, no. 15: 2305. https://doi.org/10.3390/math12152305
APA StyleMartín-Nieto, M., Castaño, D., Horta Muñoz, S., & Ruiz, D. (2024). Solving Mazes: A New Approach Based on Spectral Graph Theory. Mathematics, 12(15), 2305. https://doi.org/10.3390/math12152305


