Source Design Optimization for Depth Image Reconstruction in X-ray Imaging
Abstract
1. Introduction
- We analyze the 3D and 2D (slice-based) image reconstruction process for laminography, present an analog of the Fourier Slice Theorem specific to this setup, and analyze the image artifacts present in slice images.
- We pose an experimental design problem for selecting the K most informative source positions for laminography across a specific class of objects. Additionally, we formulate a bilevel optimization within the Bayes risk minimization framework to solve it.
Notation
2. Forward and Backward Operators in the Continuous Domain
2.1. Linear Projection Model
2.2. Forward and Backward Operators for the Slice Imaging Setup
2.2.1. The Fourier Slice Theorem
2.2.2. The 2D Slice at Depth z
2.3. Depth Image Reconstruction
3. Discrete Problem
3.1. Forward and Back Projection
3.2. Algebraic Reconstruction
4. Efficient Source Design for Sources
5. Implementation: Projected Gradient Approach
5.1. Gradient of the Objective Function
5.2. Projection onto the Simplex Constraint
6. EKSD Algorithm
| Algorithm 1: Pseudocode for Efficient K-Source Design algorithm. |
|
7. Numerical Experiments
7.1. Implementation Details
7.2. Data Set
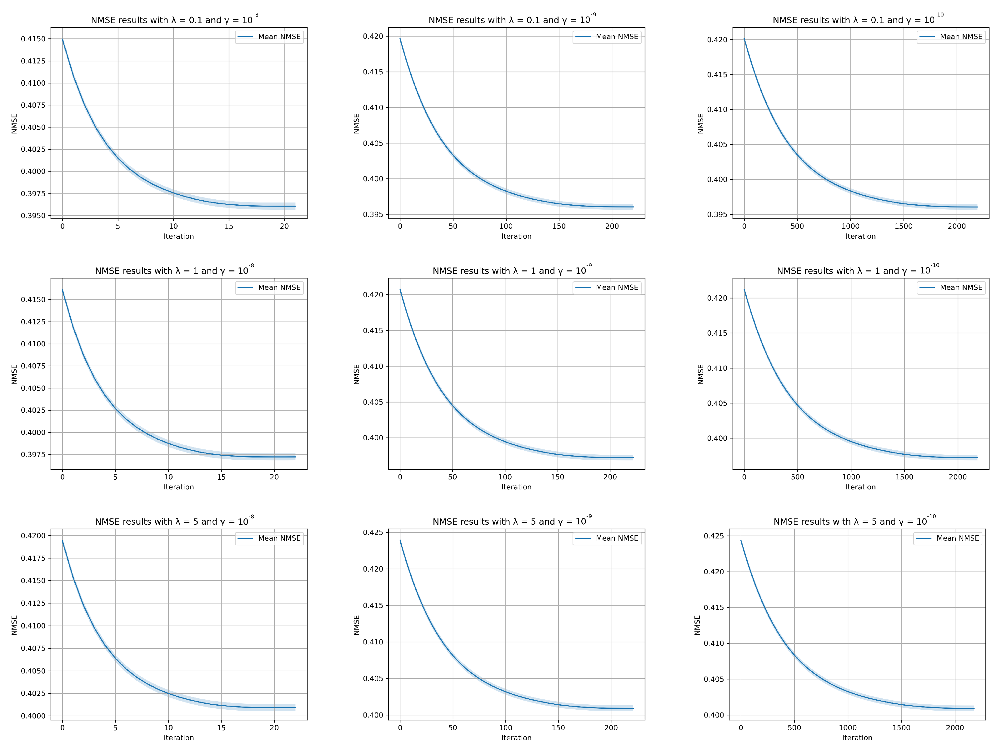
7.3. Convergence
7.4. Exploring the Effects of Array Length
7.5. Exhaustive Search
7.6. Source Design 1
7.7. Source Design 2
8. Discussion
9. Conclusions
Author Contributions
Funding
Data Availability Statement
Conflicts of Interest
Appendix A
Appendix A.1. Parameter Tuning Plots

Appendix A.2. Forward Operator for the 3D Object
Appendix A.3. Forward Operator for a 2D Slice at Depth z
Appendix A.4. Back Projection for a Depth Image
Appendix A.5. Gradient Calculation of the Objective Function
Appendix A.6. Projection onto the Simplex Constraint
References
- Medici, V.; Martarelli, M.; Paone, N.; Pandarese, G.; van de Kamp, W.; Verhoef, B.; Sipsas, K.; Broechler, R.; Besada, L.B.; Alexopoulos, K.; et al. Integration of Non-Destructive Inspection (NDI) systems for Zero-Defect Manufacturing in the Industry 4.0 & IoT (MetroInd4.0&IoT). In Proceedings of the 2023 IEEE International Workshop on Metrology for Industry 4.0 & IoT (MetroInd4.0&IoT), Brescia, Italy, 6–8 June 2023; pp. 439–444. [Google Scholar] [CrossRef]
- Wang, B.; Zhong, S.; Lee, T.L.; Fancey, K.S.; Mi, J. Non-destructive testing and evaluation of composite materials/structures: A state-of-the-art review. Adv. Mech. Eng. 2020, 12, 1687814020913761. [Google Scholar] [CrossRef]
- Hassler, U.; Oeckl, S.; Bauscher, I. Inline ct methods for industrial production. In Proceedings of the International Symposium on NDT in Aerospace 2008, Fürth, Germany, 3–5 December 2008; pp. 123–131. [Google Scholar]
- Gondrom, S.; Zhou, J.; Maisl, M.; Reiter, H.; Kröning, M.; Arnold, W. X-ray computed laminography: An approach of computed tomography for applications with limited access. Nucl. Eng. Des. 1999, 190, 141–147. [Google Scholar] [CrossRef]
- O’Brien, N.; Mavrogordato, M.; Boardman, R.; Sinclair, I.; Hawker, S.; Blumensath, T. Comparing cone beam laminographic system trajectories for composite NDT. Case Stud. Nondestruct. Test. Eval. 2016, 6, 56–61. [Google Scholar] [CrossRef][Green Version]
- Chaloner, K.; Verdinelli, I. Bayesian Experimental Design: A Review. Stat. Sci. 1995, 10, 273–304. [Google Scholar] [CrossRef]
- Haber, E.; Magnant, Z.; Lucero, C.; Tenorio, L. Numerical methods for A-optimal designs with a sparsity constraint for ill-posed inverse problems. Comput. Optim. Appl. 2012, 52, 293–314. [Google Scholar] [CrossRef]
- Haber, E.; Horesh, L.; Tenorio, L. Numerical methods for experimental design of large-scale linear ill-posed inverse problems. Inverse Probl. 2008, 24, 055012. [Google Scholar] [CrossRef]
- Haber, E.; Horesh, L.; Tenorio, L. Numerical methods for the design of large-scale nonlinear discrete ill-posed inverse problems. Inverse Probl. 2009, 26, 025002. [Google Scholar] [CrossRef]
- Ruthotto, L.; Chung, J.; Chung, M. Optimal Experimental Design for Inverse Problems with State Constraints. SIAM J. Sci. Comput. 2018, 40, B1080–B1100. [Google Scholar] [CrossRef]
- van Aarle, W.; Palenstijn, W.J.; Cant, J.; Janssens, E.; Bleichrodt, F.; Dabravolski, A.; Beenhouwer, J.D.; Batenburg, K.J.; Sijbers, J. Fast and flexible X-ray tomography using the ASTRA toolbox. Opt. Express 2016, 24, 25129–25147. [Google Scholar] [CrossRef] [PubMed]
- Jørgensen, J.S.; Lionheart, W.R.B. Chapter 6: Filtered Back-Projection. In Computed Tomography: Algorithms, Insight, and Just Enough Theory; Society for Industrial and Applied Mathematics: Philadelphia, PA, USA, 2021; pp. 73–103. [Google Scholar] [CrossRef]
- Zhang, F. The Schur Complement and Its Applications; Springer Science & Business Media: Berlin/Heidelberg, Germany, 2006; Volume 4. [Google Scholar]
- Paige, C.C.; Saunders, M.A. LSQR: An algorithm for sparse linear equations and sparse least squares. ACM Trans. Math. Softw. (TOMS) 1982, 8, 43–71. [Google Scholar] [CrossRef]
- Sinha, A.; Malo, P.; Deb, K. A Review on Bilevel Optimization: From Classical to Evolutionary Approaches and Applications. IEEE Trans. Evol. Comput. 2018, 22, 276–295. [Google Scholar] [CrossRef]
- Boyd, S.; Vandenberghe, L. Convex Optimization; Cambridge University Press: Cambridge, UK, 2004. [Google Scholar]
- Wang, Z.; Bovik, A.; Sheikh, H.; Simoncelli, E. Image quality assessment: From error visibility to structural similarity. IEEE Trans. Image Process. 2004, 13, 600–612. [Google Scholar] [CrossRef] [PubMed]
- Srinivas, M.; Patnaik, L. Genetic algorithms: A survey. Computer 1994, 27, 17–26. [Google Scholar] [CrossRef]
- Kadu, A.; van Leeuwen, T.; Batenburg, K.J. CoShaRP: A convex program for single-shot tomographic shape sensing. Inverse Probl. 2021, 37, 105005. [Google Scholar] [CrossRef]












| Source Design | NMSE (N) | SSIM (N) | ||||
|---|---|---|---|---|---|---|
| ALL () | ||||||
| EKSD () | ||||||
| EKSDR () | ||||||
| RANDOM () | ||||||
| Source Design | NMSE (N) | SSIM (N) | ||||
|---|---|---|---|---|---|---|
| ALL () | ||||||
| EKSD () | ||||||
| EKSDR () | ||||||
| RANDOM () | ||||||
Disclaimer/Publisher’s Note: The statements, opinions and data contained in all publications are solely those of the individual author(s) and contributor(s) and not of MDPI and/or the editor(s). MDPI and/or the editor(s) disclaim responsibility for any injury to people or property resulting from any ideas, methods, instructions or products referred to in the content. |
© 2024 by the authors. Licensee MDPI, Basel, Switzerland. This article is an open access article distributed under the terms and conditions of the Creative Commons Attribution (CC BY) license (https://creativecommons.org/licenses/by/4.0/).
Share and Cite
Fathi, H.; van Leeuwen, T. Source Design Optimization for Depth Image Reconstruction in X-ray Imaging. Mathematics 2024, 12, 1524. https://doi.org/10.3390/math12101524
Fathi H, van Leeuwen T. Source Design Optimization for Depth Image Reconstruction in X-ray Imaging. Mathematics. 2024; 12(10):1524. https://doi.org/10.3390/math12101524
Chicago/Turabian StyleFathi, Hamid, and Tristan van Leeuwen. 2024. "Source Design Optimization for Depth Image Reconstruction in X-ray Imaging" Mathematics 12, no. 10: 1524. https://doi.org/10.3390/math12101524
APA StyleFathi, H., & van Leeuwen, T. (2024). Source Design Optimization for Depth Image Reconstruction in X-ray Imaging. Mathematics, 12(10), 1524. https://doi.org/10.3390/math12101524

