Next Article in Journal
A Study on the Laney p′ Control Chart with Parameters Estimated from Phase I Data: Performance Evaluation and Applications
Previous Article in Journal
A Class of Relational Functional Contractions with Applications to Nonlinear Integral Equations
 
 
Font Type:
Arial Georgia Verdana
Font Size:
Aa Aa Aa
Line Spacing:
Column Width:
Background:
Article

Numerical Investigation for Nonlinear Thermal Radiation in MHD Cu–Water Nanofluid Flow in a Channel with Convective Boundary Conditions

by
Tunde Abdulkadir Yusuf
1,*,
Adeshina Taofeeq Adeosun
2,
Victor Olajide Akinsola
1,
Ramoshweu Solomon Lebelo
3 and
Oluwadamilare Joseph Akinremi
4
1
Department of Mathematics, Adeleke University, Ede 232104, Nigeria
2
Department of Mathematics, Federal College of Education, Iwo 232102, Nigeria
3
Education Department, Vaal University of Technology, Vanderbijlpark 1911, South Africa
4
Department of Mathematics, Landmark University, Omu-Aran 251103, Nigeria
*
Author to whom correspondence should be addressed.
Mathematics 2023, 11(15), 3409; https://doi.org/10.3390/math11153409
Submission received: 16 June 2023 / Revised: 13 July 2023 / Accepted: 3 August 2023 / Published: 4 August 2023

Abstract

The implications of nonlinear thermal radiation on a Cu–water nanofluid flow with varying viscosity characteristics and convective boundary conditions are investigated numerically in this article. The nonlinear model takes the combined effects of Joule dissipation and Ohmic heating into consideration. The Spectral Local Linearization Method (SLLM) is used to address the nonlinear governing model. The numerical investigation’s findings were conducted and compared with the existing study. In Cu–water nanofluid flows with variable viscosity and convective boundary conditions, nonlinear thermal radiation plays an important role, as this work insightfully demonstrates. Pertinent results for velocity, temperature, skin friction, and heat transfer rate are displayed graphically and discussed quantitatively with respect to various parameters embedded in the model. The results revealed that the Cu–water thermal distribution lessens as the nanoparticle volume fraction upsurges. The outcomes of this study have potential applications in industrial systems such as power plants, cooling systems, and climate control systems.

1. Introduction

Fluids incorporating solid-sized nanoparticles are referred to as “nanofluids”. Natural or induced convection in enclosures has been a very active field of research over the last few decades. Nanofluids exhibit exceptional qualities such as high thermal conductivity, little clogging in flow passageways, long-term stability, and homogeneity due to the nanoparticles’ tiny sizes and extremely large specific surface areas [1]. In the thermal sector, nanoparticles are utilized to boost transformer coolant efficiency and enhance heat transmission from solar collectors to storage tanks. In addition to improving the transfer of heat, the use of nanofluids in thermal management systems also results in smaller and lighter heat exchangers. The contemporary trend in nano liquid in view of their application is observed by Giwa et al. [2]. Younes et al. [3] investigated the thermal efficiency impact on nanofluid and their application. Recently, the interaction between heat transport and magnetohydrodynamic nanofluid was studied by Gürdal et al. [4]. In order to potentially save solar energy, Hussain et al. [5] looked at the heat characteristics of Maxwell nanofluids movements of a solar concentrator. In a microchannel with a porous regime, Wang et al. [6] simulation of nanofluid flow was conducted. In the more expansive framework of magnetohydrodynamics (MHD), some basic flow issues related to classical hydrodynamics have attracted attention recently. The heat emission characteristics of a hydromagnetic effect of nanofluid flow through a spinning system were explored by Satya Narayana et al. [7]. Izadi et al. [8] emphasize the MHD thermal gravitational circulation of a spinning nanofluid in a permeable container.
Fluid viscosity is a crucial component of the nanofluid heat transfer process. In virtually all situations, the coefficient of viscosity for real fluids is said to be temperature and pressure dependent. For liquids (say, water and oils), the highest prevailing effect of viscosity variation is accounted for by temperature. For various thermal system processes, it is established that heat distribution within the flow channel is non-uniform; hence fluid viscosity sometimes visibly changes with a large temperature difference [9]. In most of the studies of this type of problem, the viscosity of the fluid is assumed to be constant. To better understand the viscosity variation characteristic of nanofluids, a variety of studies have been carried out. Nasrin and Alim [1] used a water/Cu nanofluid and variations in the viscosity of aided convective flow via a riser pipe of a horizontal flat plate solar collector to quantitatively assess thermal efficiency. The findings demonstrate that altering the values of viscosity may offer heat transfer via the more efficient collector. A helpful tool for describing and predicting the temperature dependence of fluid flow, the Arrhenius form of variable viscosity allows for a greater understanding of a variety of natural and industrial processes. Molaledi and Makinde [9] examined the Couette flow of water-based copper nanofluid with variable viscosity features of the Arrhenius form. The variable viscosity property effect of the motion of a water-based nanofluid utilizing nanoparticles separated by two spinning disks was explored by Bhandari et al. [10]. Recently, Adesanya et al. [11] presented the magnetized couple stress fluid flow over a slanted Riga surface with variable viscosity.
In the fields of thermal sciences and nanotechnology, the study of nanoparticles in a base fluid in the presence of heat radiation has captured the attention of scientists and researchers in significant ways. The behaviour of a Cu nanoparticle in a water-based nanofluid with the influence of heat radiation was examined by Kumar et al. [12]. They observed that the Nusselt number improved as heat radiation and Rayleigh number rose, but the number of Hartmann grew in the opposite direction. The consequences of thermal emission on the heat transfer variation in Casson fluid flow across an undulating surface were discussed by Khan et al. [13]. Al-Mdallal et al. [14] looked at the thermal characteristics of a water-based Cu nanofluid when radiation was present. The temperature and radiative heat transfer are frequently assumed to have a linear connection in conventional heat transfer estimations, but in certain cases, nonlinear effects become significant, especially at high temperatures or when considering nanoscale phenomena. Nonlinear thermal radiation describes the transfer of heat energy through radiation, which follows a nonlinear relationship with temperature. A radially extended disk was employed as a medium by Khan et al. [15] to assess the influence of entropy generation imposed by nonlinear thermal radiation on the Carreau nanofluid. Rooman et al. [16] looked at the dissipation effect as well as the nonlinear radiative flux in nanofluid flow induced by a stretching cylinder. Their findings show that the heat transfer rate is a decreasing effect of the temperature ratio.
Much less effort has been devoted to examining nanofluid flow problems of temperature-dependent viscosity and the combined effects of nonlinear thermal radiation, imposed magnetic field and convective heat exchange at the channel surface. The main objective of this present study is to bridge this information gap. Moreover, water is viewed as a universal solvent that is affordable and simple to use. Water-based nanofluids are extensively used in many industrial processes as heat exchangers. Due to its high pH and low surface tension, which allow for the free movement of nanoparticles on its surface, it is suggested as the being most functional base fluid. The copper nanoparticle is appealing for a variety of applications due to its distinctive mix of thermal, optical, and antibacterial properties. As a result, the main aim of this current work is to numerically examine the effect of varying Cu–water nanofluid viscosity in the context of radiative effect-influenced heat transfer across a permeable channel. The impacts of captured thermophysical parameters are presented in graphs and discussed quantitatively.

2. Mathematical Model

Consider a channel with walls assumed to be electrically non-conducting that is filled with an optically dense radiating nanofluid that also assumes the conditions of incompressible, laminar, electrically conducting, fully developed forced convection. As displayed in Figure 1, the flow of the water-based nanofluid, which is thought of as a single-phase flow, occurs in the x direction between two parallel leaky plates with walls spaced h distances apart. Both the lower plate and the top plate are held motionless. A steady magnetic field B is provided in the direction of the y-axis to the flow. The nanoparticle is considered a single-phase flow and is assumed to be in thermal equilibrium with water. It is also assumed that there is no slip flow between the nanoparticles and water. In addition, the nanoparticle heat transfer analysis is maintained by considering temperatures T1 and T2 lower and upper walls of the channel. Thermal radiation and dissipation are also put into account.
Under these aforementioned conditions, the model mathematical formulation of momentum and energy equation may be written as Molaledi and Makinde [9]
ρ n f v 0 d u d y = d p d x + d d y μ n f d u d y σ n f B 0 u ,
ρ c p n f v 0 d T d y = k n f d 2 T d y 2 d q r d y + μ n f d u d y 2 + σ n f B 0 u 2
and the boundary constraints
u ( 0 ) = 0 , k n f d T d y ( 0 ) = γ 1 T f T ( 0 ) ,
u ( h ) = 0 , k n f d T d y ( h ) = γ 2 ( T ( h ) T 0 )
where u is the velocity component in the x direction, v0 is the suction/injection velocity at the channel walls, ρnf is the nanofluid density, knf is the nanofluid thermal conductivity, T is the nanofluid temperature, σnf is the nanofluid electrical conductivity, B0 is the magnetic field imposed along the y′-axis, and (ρCp)nf is the nanofluid heat capacitance. Moreso, γ1 and γ2 are the heat transfer coefficients at the lower and upper walls, respectively, T0 is the fluid initial temperature, Tf is the ambient temperature. Following [9], the nanofluid temperature-dependent viscosity ( μ n f ) is described in Arrhenius form as
μ n f = μ f e E R T ( 1 ϕ ) 2.5 ,
and the Rosseland approximation is expressed nonlinearly in the form
q r = 4 σ * 3 k * T 4 y = 16 σ * 3 k * T 3 T y ,
where σ* is the Stefan Boltzmann constant and k* is the mean observation constant. Further, the thermophysical expressions of nanofluid are given below and also in Table 1 as:
σ n f σ f = 1 + 3 ( σ s σ f 1 ) ϕ ( σ s σ f + 2 ) ( σ s σ f 1 ) ϕ , ρ n f ρ f = ( 1 ϕ ) + ϕ ρ s ρ f , ( ρ c p ) n f ( ρ c p ) f = ( 1 ϕ ) + ϕ ( ρ c p ) s ( ρ c p ) f , k n f k = k s + ( m 1 ) k f ( m 1 ) ϕ ( k f k s ) k s + ( m 1 ) k f + ϕ ( k f k s ) .
Introducing the dimensionless parameters
u = u v 0 , y = y h , x = x h , θ = E ( T T 0 ) R T 0 2 .
After the use of Equation (7) on Equations (1) and (2), the dimensionless form is
A R d u d y = G + e 1 γ e θ 1 + γ θ ( 1 ϕ ) 2.5 d 2 u d y 2 1 ( 1 + γ θ ) 2 d θ d y d u d y D M u ,
C R Pr d θ d y = B d 2 θ d y 2 + d d y R d ( γ θ + 1 ) 3 d θ d y + e 1 γ e θ 1 + γ θ ( 1 ϕ ) 2.5 E c Pr d u d y 2 + D E c Pr M u 2 ,
and the boundary conditions (3) and (4):
d θ d y ( 0 ) = β 1 B θ ( 0 ) 1 , u ( 0 ) = 0 , d θ d y ( 1 ) = β 2 B θ ( 1 ) , u ( 1 ) = 0
where
G = d p d x ,   R = v 0 h ρ f μ f ,   Pr = μ f c p f k f , E c = v 0 2 E c p f R T 0 2 ,   R d = 16 σ T 0 3 3 k * k f , M = σ f h 2 B 0 2 μ f , p = h p ^ μ f v 0 ,   γ = R T 0 E ,   β 1 = γ 1 h k f ,   β 2 = γ 2 h k f ,   B = k s + ( m 1 ) k f ( m 1 ) ϕ ( k f k s ) k s + ( m 1 ) k f + ϕ ( k f k s ) , A = ( 1 ϕ ) + ϕ ρ s ρ f ,   C = ( 1 ϕ ) + ϕ ( ρ c p ) s ( ρ c p ) f ,   D = 1 + 3 σ s σ f 1 ϕ σ s σ f + 2 σ s σ f 1 ϕ .
In (11), G denotes the pressure gradient parameter, R is Reynolds number, Pr is the Prandtl number. The Eckert number and radiation parameter are denoted by Ec and Rd, respectively. M denotes the magnetic field; γ is the activation energy parameter while β1 and β2 are the Biot numbers for the lower and upper wall, respectively.

Skin Friction and Nusselt Number

The formulas for skin friction coefficients are:
C f = τ w ρ f U 2 = e 1 γ e θ 1 + γ θ R ( 1 ϕ ) 2.5 d u d y y = 1 ,   N u = q w k f R T w 2 = B + R d ( γ θ + 1 ) 3 d θ d y y = 1 ,
which define surface shear stress τ w and the wall heat flux q w as:
τ w = μ n f u y ,   q w = k n f 1 + 16 σ * T 3 3 k * k f T y .

3. Method of Solution

The Spectral Local Linearization Method (SLLM) is used to address the boundary value problem (8)–(10). Details on this method can be found in [17,18,19,20,21,22]. To implement SLLM, governing Equations (8) and (9) are, respectively, denoted by U and Θ , as follows:
U = G + e 1 γ e θ 1 + γ θ ( 1 ϕ ) 2.5 d 2 u d y 2 1 ( 1 + γ θ ) 2 d θ d y d u d y D M u A Re d u d y ,
Θ = B d 2 θ d y 2 + d d y R a ( γ θ + 1 ) 3 d θ d y + e 1 γ e θ 1 + γ θ ( 1 ϕ ) 2.5 E c Pr d u d y 2 + D E c Pr M u 2 C Re Pr d θ d y .
Equations (13) and (14) are first linearized locally by adopting quazilinearization method to obtain
a 0 r d 2 u r + 1 d y 2 + a 1 r d u r + 1 d y + a 2 r u r + 1 = R 1 , r , b 0 r d 2 θ r + 1 d y 2 + b 1 r d θ r + 1 d y + b 2 r θ r + 1 = R 2 , r ,
with the corresponding boundary conditions
u r + 1 ( 0 ) = 0 , d θ r + 1 d y ( 0 ) B i 1 B θ r + 1 ( 0 ) = B i 1 B θ f , u r + 1 ( 1 ) = 0 , d θ r + 1 d y ( 1 ) + B i 2 B θ r + 1 ( 1 ) = 0 ,
where
a 0 r = U d 2 u d y 2 = e 1 γ e θ r γ θ r + 1 ( 1 ϕ ) 2.5 , a 1 r = U d u d y = d θ r d y e 1 γ e θ r γ θ r + 1 ( 1 ϕ ) 2.5 ( γ θ r + 1 ) 2 A R , a 2 r = U u = D   M b 0 r = Θ d 2 θ d y 2 = B + Ra ( γ θ r + 1 ) 3 , b 1 r = Θ d θ d y = 6 γ d θ r d y Ra ( γ θ r + 1 ) 2 C Pr R , b 2 r = Θ θ = Ec d u r d y 2 Pr e 1 γ e θ r γ θ r + 1 ( 1 ϕ ) 2.5 ( γ θ r + 1 ) 2 + 6 γ 2 d θ r d y 2 Ra ( γ θ r + 1 ) + 3 γ d 2 θ r d y 2 Ra ( γ θ r + 1 ) 2 R 1 , r = a 0 r d 2 u r d y 2 + a 1 r d u r d y + a 2 r u r U r , R 2 , r = b 0 r d 2 θ r d y 2 + b 1 r d θ r d y + b 2 r θ r Θ r .
The initial approximations u r and θ r required to start the iteration (15) are chosen to be functions satisfied the boundary conditions. Thus, the suitable initial approximations are given as
u r = 0 , θ r = β 1 θ f ( B + β 2 ) - β 1 β 2 θ f y B β 1 + B β 2 + β 1 β 2 .
The next step is to use the spectral collocation method repeatedly to solve the resulting linear Equation (15) with boundary conditions (16). For the sake of conciseness, the spectral collocation approach is not covered in depth in this study. It is appropriate to transfer the domain on which the governing equation is defined to the interval where the spectral technique may be used before using the spectral approach. To map the interval [ 0 , 1 ] to [ 1 , 1 ] , we utilize the transformation y = x + 1 2 . The fundamental idea of the spectral collocation method is that of a differentiation matrix D which is employed to approximate the derivative of the unknown variables u ( y ) and θ ( y ) at the collocation points of the matrix–vector product.
d u ( y ) d y = k = 0 N D i , k u ( x k ) = D u and d θ ( y ) d y = k = 0 N D i , k θ ( x k ) = D θ , where N is the number of collocation points, D = 2 D ,   u = [ u ( x 0 ) , u ( x 1 ) , , u ( x N ) ] T , and θ = [ θ ( x 0 ) , θ ( x 1 ) , , θ ( x N ) ] T are the vector functions at the collocation points. Higher order derivatives are obtained as powers of D , that is
d n u ( y ) d y n = k = 0 N D n i , k u ( x k ) = D n u and d n θ ( y ) d y n = k = 0 N D n i , k θ ( x k ) = D n θ , where n is the order of the derivative.
Applying the spectral collocation method with derivative matrices on Equations (15) and (16) yield
A 1 u r + 1 = R 1 , r , A 2 θ r + 1 = R 2 , r ,
with corresponding boundary conditions
u r + 1 ( x N ) = 0 , k = 0 N D N , k θ r + 1 ( x k ) B i 1 B θ r + 1 ( x N ) = B i 1 B θ f , u r + 1 ( x 0 ) = 0 , k = 0 N D 0 , k θ r + 1 ( x k ) + B i 2 B θ r + 1 ( x 0 ) = 0 ,
here
A 1 = diag ( a 0 r ) D 2 + diag ( a 1 r ) D + d i a g ( a 2 r ) I , A 2 = diag ( b 0 r ) D 2 + diag ( b 1 r ) D + diag ( b 2 r ) I R 1 , r = a 0 r D 2 u r + a 1 r D u r + a 2 r u r U r , R 2 , r = b 0 r D 2 θ r + b 1 r D θ r + b 2 r θ r Θ r .
Equations (19) and (20) are solved iteratively until the desired solution is obtained.

Analysis of Numerical Convergence, Error and Stability of the Method

The method’s convergence and stability are assessed by taking into account the norm of the difference in the values of the functions between two subsequent iterations as
E u = M a x u r + 1 u r , E θ = M a x θ r + 1 θ r
E u and E θ decrease swiftly as the number of iterations increases (see Figure 2). This shows that LLM converges within a few iterations. Furthermore, a convergence of the numerical scheme for Skin friction and Nuselt number as a function of collocation points is computed in Table 2.
Also, residual error norms are computed to show the accuracy of LLM. Residual error norms are given as
R u = M a x U u , θ , R θ = M a x Θ u , θ
where U u , θ and Θ u , θ are nonlinear differential Equations (13) and (14), respectively. Residual errors are found to decrease rapidly with an increasing number of iterations, as depicted in Figure 2. However, the residual error Θ u , θ is not as minimum as U u , θ because the energy equation is strongly nonlinear compared to the momentum equation. Table 3 shows the validation of velocity profile results with the work of Makinde and Egunjobi [23], which elucidates that the values obtained from the solution techniques agree well with those results obtained by Makinde and Egunjobi [23]. Furthermore, in Table 4 and Table 5, the validation of velocity and temperature profile solutions with the ones obtained via the regular fourth-order Runge-Kutta method (RK4) is presented. RK4 is executed by utilising the NDSolve command in Wolfram Mathematica. As shown in both tables, a good agreement between the solutions is recorded, and both solutions match each other with an average absolute error of 10−9.

4. Discussion of Results

This section investigates the impressions of several significant features that include the variability factor γ , nanoparticle volume fraction ϕ , magnetic factor M , Reynold’s number R , Radiation factor R d , Biot numbers number β 1 ,   β 2 , Eckert number E c , against the velocity u y , temperature θ y , skin friction C f and Nusselt number N u . The nanoparticle volume fraction is defined as ϕ falling between 0% and 6%, with 0 denoting pure base fluid. Additionally, the radiation parameter is allocated a range of 0.1 ≤ Rd ≤ 0.7, the Reynolds number 1 ≤ R ≤ 4, and the thermal conductivity variation parameter is assigned a range of 0.1 ≤ γ ≤ 1.0, the Brinkman number 0.1 ≤ Ec ≤ 0.7, and the magnetic parameter 0 ≤ M ≤ 5. The dimensionless pressure gradient is kept fixed at G = 1. The impact of the variability parameter (γ) on the Cu–water nanofluid velocity and temperature profiles, as seen in Figure 3 and Figure 4, is a significant factor in laminar flow. In Figure 3, when the variability parameter (γ) increases, the Cu–water nanofluid velocity dramatically increases and the temperature drops. With higher values of the variability parameter (γ), the flow distribution becomes more parabolic, with the highest value near the channel’s centerline and the minimum at the walls. The fluid gets more flow-resistive as the parameter values rise, enhancing the flow motion. This means that in order to overcome the increased resistance, the flow must accelerate more quickly. Additionally, the increased convective heat transfer may be responsible for the drop in the Cu–water nanofluid thermal profile.
Figure 5 and Figure 6 depict the consequences of the magnetic parameter (M) on the Cu–water nanofluid velocity and temperature profiles. In magnetohydrodynamic (MHD) flow, the Lorentz force interaction with the flow alters the Cu–water nanofluid velocity profile. This force tends to oppose the flow motion, resulting in Cu–water nanofluid velocity reduction. Similarly, in Figure 6, the temperature profile is influenced by the enhanced magnetic parameter (M) through a magnetohydrodynamic (MHD) cooling phenomenon. The fluctuation in the Cu–water nanofluid velocity and temperature profiles temperature profile is depicted in Figure 7 and Figure 8, respectively, for values varying numbers of volume fraction factor (ϕ). It has been reported with clarity that by raising the volume fraction factor (ϕ), the copper particles form clusters due to attractive force between them. These clusters act as an obstruction to the flow, thereby impeding flow motion, which results in a drop in the velocity profile. Furthermore, as elucidated in Figure 8, with the introduction of copper particles into the base liquid, the effective thermal conductivity of the mixture is thereby enhanced. This promotes more efficient heat transfer giving rise to heat dissipation and leading to a decrease the thermal distribution.
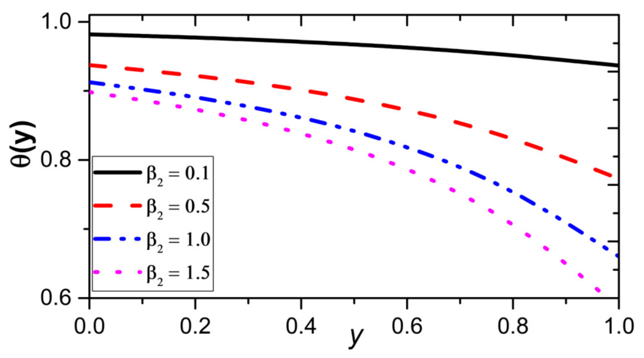
Figure 9 and Figure 10 indicate the effect of Reynolds number (R) on the Cu–water nanofluid velocity and temperature profiles, respectively. The Cu–water nanofluid velocity decreases near the lower fixed wall and increases near the upper fixed wall due to an increase in the values of Reynolds number (R). The physics behind such fluctuations is that as the Reynolds number becomes larger, the flow becomes more prone to turbulence. This turbulence effect translates to enhance mixing and increases the momentum transfer, which could result in a boost in the flow motion. Furthermore, the enhanced mixing could also lead to improvement in the convective heat transfer, increasing temperature gradient. As seen in Figure 11, an increment in the radiation factor (Rd) results in a decline in the Cu–water nanofluid velocity. This is expected as the fluid viscosity is reduced due to higher temperature impacting the velocity profile by reducing the resistance to flow, consequently decreasing the nanofluid velocity. On the other hand, as illustrated in Figure 12, the Cu–water nanofluid temperature profile decreases as the radiation factor (Rd) increases. This effect is a result of increasing convective heat transfer counterbalancing the impact of thermal radiation, which results in a Cu–water nanofluid temperature decrease. The consequences of the upper and lower Biot numbers (β1 and β2) on the Cu–water nanofluid temperature profiles are displayed in Figure 13 and Figure 14, respectively. It is observed that the enhancing the values of the upper Biot number, the thermal distribution declines as well. Physically, the convective Biot number represents the ratio of thermal resistance within the solid to the thermal resistance at the fluid-solid interface. By increasing the convective heat transfer coefficient, the rate of convective heat transfer will thereby increase, which consequently results in a more pronounced reduction in the Cu–water nanofluid temperature profile. Conversely, higher thermal conductivity, which is a sign of efficient heat conduct, leads to a reduction in the temperature gradient and enhances the temperature profile. In Figure 15, enhanced values of Eckert number (Ec) slightly decrease the Cu–water nanofluid temperature profile. For a larger Eckert number, the increased kinetic energy can lead to larger dissipation of mechanical energy into thermal energy via a viscous effect. This intensifies dissipation, thereby resulting in a slight Cu–water temperature increase.
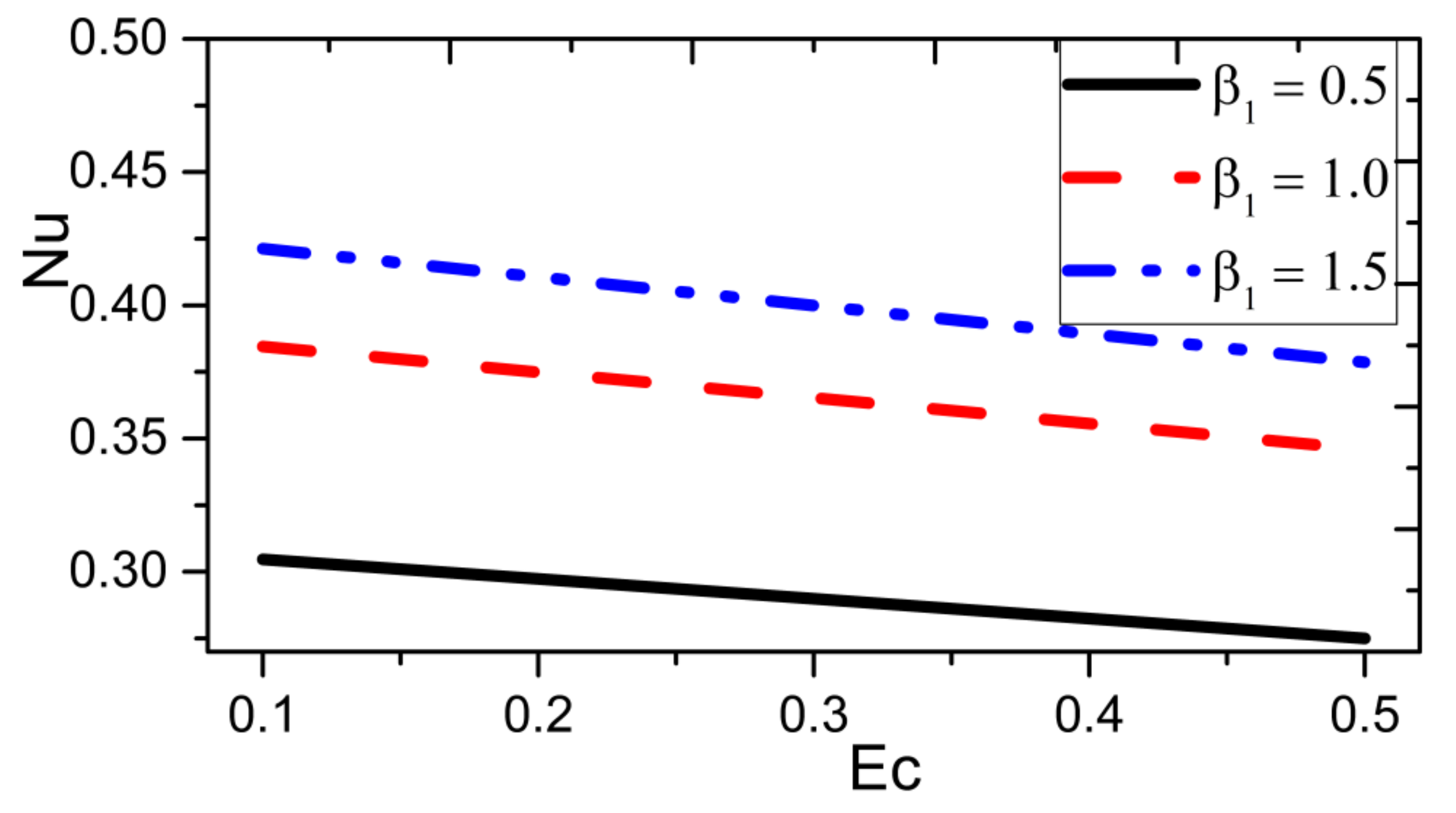
Figure 16, Figure 17 and Figure 18 depict how several factors affect skin friction. With increasing the upper and lower Biot numbers (β1 and β2), Eckert number (Ec), variability parameter (γ), volume fraction parameter (ϕ), and heat radiation absorption (Rd), a reduction in the skin friction coefficient becomes apparent at the inner surface of the channel. As the value of these parameters rises, the fall in skin friction may be linked to a decline in the velocity gradient at the interior of the channel. Moreover, in Figure 19, Figure 20 and Figure 21, the tendency appears to reverse, with a rise in the rate of channel surface heat transfer as measured by the upper and lower Biot numbers (β1 and β2), the Eckert number (Ec), the variability parameter (γ), the volume fraction parameter (ϕ), and the absorption of thermal radiation (Rd). As such variables grow, the rise in the temperature disparity at the boundary of the channel may be the cause of the rising Nusselt number. The increase in the Nusselt number may be attributed to a rise in the temperature gradient at the channel surface as these parameters increase.

5. Conclusions

Considering the influence of the temperature-dependent nanofluid viscosity, which is expressed in the Arrhenius model, the momentum and heat balance behaviour of magnetohydrodynamic copper–water nano liquids through a permeable channel are examined in this study. Additionally, viscous dissipation and Ohmic heating are taken into consideration, and the nonlinear thermal radiation heat flow model is used to describe the heat transfer. Finally, the Spectral Local Linearization Method (SLLM) is used to solve the generated governing nonlinear model. The outcomes of the current analysis are as follows:
  • The Cu–water nanofluid velocity profile rises with increasing values of the viscosity variable parameter.
  • The water/Cu nanofluid temperature field exhibits a rising Reynold’s number behaviour while degrading the value of Rd.
  • The viscosity variable parameter and the volume fraction term of the Cu particles both have a lowering effect on the heat distribution of the water/Cu nanofluid.
  • Skin friction coefficients are lowered in magnitude with higher values of heat radiation and volume fraction parameter.
  • The rate at which heat travels increases at the channel surface as values of γ and β 2 are increased.
The current research has been investigated to determine the increase in thermal efficiency when utilizing water/Cu nanofluid owing to the viscosity variations and nonlinear thermal radiation through examining the combined impacts of nonlinear thermal radiation and nanofluid channel flow. In addition, it advances the understanding of the heat transfer processes that take place in these systems and investigates the technical sectors in which they may be used.

Author Contributions

Conceptualization, T.A.Y.; methodology, T.A.Y. and A.T.A.; software, A.T.A. and V.O.A.; validation, O.J.A.; formal analysis, V.O.A.; investigation, A.T.A. and O.J.A.; resources, R.S.L.; writing—original draft, T.A.Y.; writing—review & editing, V.O.A.; supervision, R.S.L.; project administration, O.J.A.; funding acquisition, R.S.L. All authors have read and agreed to the published version of the manuscript.

Funding

This research received no external funding.

Data Availability Statement

Not applicable.

Conflicts of Interest

The authors declare no conflict of interest.

References

  1. Rehena, N.; Alim, M.A. Entropy generation by nanofluid with variable thermal conductivity and viscosity in a flat plate solar collector. Int. J. Eng. Sci. Technol. 2015, 7, 80–93. [Google Scholar]
  2. Giwa, S.O.; Adegoke, K.A.; Sharifpur, M.; Meyer, J.P. Research trends in nanofluid and its applications: A bibliometric analysis. J. Nanoparticle Res. 2022, 24, 63. [Google Scholar] [CrossRef]
  3. Younes, H.; Mao, M.; Murshed, S.S.; Lou, D.; Hong, H.; Peterson, G.P. Nanofluids: Key Parameters to Enhance Thermal Conductivity and its Applications. Appl. Therm. Eng. 2022, 207, 118202. [Google Scholar] [CrossRef]
  4. Gürdal, M.; Arslan, K.; Gedik, E.; Minea, A.A. Effects of using nanofluid, applying a magnetic field, and placing turbulators in channels on the convective heat transfer: A comprehensive review. Renew. Sustain. Energy Rev. 2022, 162, 112453. [Google Scholar] [CrossRef]
  5. Hussain, S.M.; Jamshed, W.; Safdar, R.; Shahzad, F.; Nasir, N.A.A.M.; Ullah, I. Chemical reaction and thermal characteristics of Maxwell nanofluid flow-through solar collector as a potential solar energy cooling application: A modified Buongiorno’s model. Energy Environ. 2022. [Google Scholar] [CrossRef]
  6. Wang, J.; Xu, Y.P.; Qahiti, R.; Jafaryar, M.; Alazwari, M.A.; Abu-Hamdeh, N.H.; Selim, M.M. Simulation of hybrid nanofluid flow within microchannel heat sinks considering porous media analyzing CPU stability. J. Petrol. Sci. Eng. 2022, 208, 109734. [Google Scholar] [CrossRef]
  7. Narayana, P.V.S.; Venkateswarlu, B.; Venkataramana, S. Thermal radiation and heat source effects on an MHD nanofluid past a vertical plate in a rotating system with a porous medium. Heat Tran. Asian Res. 2015, 44, 1–19. [Google Scholar] [CrossRef]
  8. Izadi, M.; Sheremet, M.A.; Mehryan, S.A.M.; Pop, I.; Oztop, H.F.; Abu-Hamdeh, N. MHD thermogravitational convection and thermal radiation of a micropolar nanoliquid in a porous chamber. Int. Commun. Heat Mass Tran. 2020, 110, 104409. [Google Scholar] [CrossRef]
  9. Monaledi, R.L. Inherent irreversibility in Cu–H2O nanofluid Couette flow with variable viscosity and nonlinear radiative heat transfer. Int. J. Fluid Mech. Res. 2019, 46, 525–543. [Google Scholar] [CrossRef]
  10. Bhandari, A. Water-based Fe3O4 ferrofuid fow between two rotating disks with variable viscosity and variable thermal conductivity. Int. J. Appl. Comput. Math. 2021, 7, 46. [Google Scholar] [CrossRef]
  11. Adesanya, S.O.; Yusuf, T.A.; Lebelo, R.S. Numerical investigation on the magnetized reactive viscous couple stress fluid flow down an inclined Riga plate with variable viscosity. Mathematics 2022, 10, 4713. [Google Scholar] [CrossRef]
  12. Kumar, K.G.; Chamkha, A.J. Darcy-Forchheimer flow and heat transfer of water-based Cu nanoparticals in convergent/divergent channel subjected to particle shape effect. Eur. Phys. J. Plus 2019, 134, 107. [Google Scholar] [CrossRef]
  13. Khan, S.U.; Ali, N.; Mushtaq, T.; Rauf, A.; Shehzad, S.A. Numerical computations on flow and heat transfer of casson fluid over an oscillatory stretching surface with thermal radiation. Therm. Sci. 2019, 23, 3365–3377. [Google Scholar]
  14. Al-Mdallal, Q.M.; Renuka, A.; Muthtamilselvan, M.; Abdalla, B. Ree-Eyring fluid flow of Cu-water nanofluid between infinite spinning disks with an effect of thermal radiation. Ain Shams Eng. J. 2021, 12, 2947–2956. [Google Scholar] [CrossRef]
  15. Khan, M.; Ahmed, J.; Rasheed, Z. Entropy generation analysis for axisymmetric flow of Carreau nanofluid over a radially stretching disk. Appl. Nanosci. 2020, 10, 5291–5303. [Google Scholar] [CrossRef]
  16. Rooman, M.; Jan, M.A.; Shah, Z.; Vrinceanu Bou, F.S.; Iqbal, S.; Deebani, W. Entropy Optimization on Axisymmetric Darcy–Forchheimer Powell–Eyring Nanofluid over a Horizontally Stretching Cylinder with Viscous Dissipation Effect. Coatings 2022, 12, 749. [Google Scholar] [CrossRef]
  17. Bellman, R.E.; Kalaba, R.E. Quasilinearisation and Non-Linear Boundary-Value Problems; Elsevier: Amsterdam, The Netherlands, 1965. [Google Scholar]
  18. Motsa, S.S.; Dlamini, P.G.; Khumalo, M. Spectral relaxation method and spectral quasilinearization method for solving unsteady boundary layer flow problems. Adv. Math. Phys. 2014, 2014, 341964. [Google Scholar] [CrossRef]
  19. Yusuf, T.A. Analysis of entropy generation in nonlinear convection flow of unsteady magneto-nanofluid configured by vertical stretching sheet with Ohmic heating. Int. J. Ambient Energy 2023, 44, 2319–2335. [Google Scholar] [CrossRef]
  20. Motsa, S.S.; Makukula, Z.G.; Shateyi, S. Spectral local linearization approach for natural convection boundary layer flow. Math. Probl. Eng. 2013, 2013, 765013. [Google Scholar] [CrossRef]
  21. Magagula, V.M.; Motsa, S.S.; Sibanda, P.; Dlamini, P.G. On a bivariate spectral relaxation method for unsteady magneto-hydrodynamic flow in porous media. SpringerPlus 2016, z5, 455. [Google Scholar] [CrossRef]
  22. Ibrahim, W. Spectral Quasilinearization Method for Solution of Convective Heating Condition. Eng. Trans. 2020, 68, 69–87. [Google Scholar]
  23. Makinde, O.D.; Egunjobi, A.S. Effects of convective heating on entropy generation rate in a channel with permeable walls. Entropy 2013, 15, 220–223. [Google Scholar] [CrossRef]
Figure 1. Flow Geometry.
Figure 1. Flow Geometry.
Mathematics 11 03409 g001
Figure 2. Residual Error.
Figure 2. Residual Error.
Mathematics 11 03409 g002
Figure 3. Effect of γ on the velocity.
Figure 3. Effect of γ on the velocity.
Mathematics 11 03409 g003
Figure 4. Effect of γ on the temperature.
Figure 4. Effect of γ on the temperature.
Mathematics 11 03409 g004
Figure 5. Effect of M on the velocity.
Figure 5. Effect of M on the velocity.
Mathematics 11 03409 g005
Figure 6. Effect of M on the temperature.
Figure 6. Effect of M on the temperature.
Mathematics 11 03409 g006
Figure 7. Effect of ϕ on the velocity.
Figure 7. Effect of ϕ on the velocity.
Mathematics 11 03409 g007
Figure 8. Effect of ϕ on the temperature.
Figure 8. Effect of ϕ on the temperature.
Mathematics 11 03409 g008
Figure 9. Effect of R on the velocity.
Figure 9. Effect of R on the velocity.
Mathematics 11 03409 g009
Figure 10. Effect of R on the temperature.
Figure 10. Effect of R on the temperature.
Mathematics 11 03409 g010
Figure 11. Effect of R d on the velocity.
Figure 11. Effect of R d on the velocity.
Mathematics 11 03409 g011
Figure 12. Effect of R d on the temperature.
Figure 12. Effect of R d on the temperature.
Mathematics 11 03409 g012
Figure 13. Effect of β 1 on the temperature.
Figure 13. Effect of β 1 on the temperature.
Mathematics 11 03409 g013
Figure 14. Effect of β 2 on the temperature.
Figure 14. Effect of β 2 on the temperature.
Mathematics 11 03409 g014
Figure 15. Effect of E c on the temperature.
Figure 15. Effect of E c on the temperature.
Mathematics 11 03409 g015
Figure 16. Effect of E c and β 1 on the skin friction coefficient.
Figure 16. Effect of E c and β 1 on the skin friction coefficient.
Mathematics 11 03409 g016
Figure 17. Effect of γ and β 2 on the skin friction coefficient.
Figure 17. Effect of γ and β 2 on the skin friction coefficient.
Mathematics 11 03409 g017
Figure 18. Effect of ϕ and R d on the skin friction coefficient.
Figure 18. Effect of ϕ and R d on the skin friction coefficient.
Mathematics 11 03409 g018
Figure 19. Effect of E c and β 1 on the Nusselt number.
Figure 19. Effect of E c and β 1 on the Nusselt number.
Mathematics 11 03409 g019
Figure 20. Effect of γ and β 2 on the Nusselt number.
Figure 20. Effect of γ and β 2 on the Nusselt number.
Mathematics 11 03409 g020
Figure 21. Effect of ϕ and R d on the Nusselt number.
Figure 21. Effect of ϕ and R d on the Nusselt number.
Mathematics 11 03409 g021
Table 1. Thermo-physical properties of fluid and nanoparticles.
Table 1. Thermo-physical properties of fluid and nanoparticles.
ρ k g / m 3 C p J / k g K k W / m K σ S m
Fluid phase (Water) 997.141790.6130.05
Cu 89333854005.96 × 107
Table 2. Convergence of Skin friction and Nuselt number for different collocation points when: β 1 = 1 , β 2 = 1 , θ f = 1 , ϕ = 0.01 , M = 1 ,   R a = 0.5 , γ = 1 , Pr = 6.8 ,   E c = 0.1 , G = 1 , R = 1 , m = 3 , r = 20 .
Table 2. Convergence of Skin friction and Nuselt number for different collocation points when: β 1 = 1 , β 2 = 1 , θ f = 1 , ϕ = 0.01 , M = 1 ,   R a = 0.5 , γ = 1 , Pr = 6.8 ,   E c = 0.1 , G = 1 , R = 1 , m = 3 , r = 20 .
Collocation Points (N) C f N u
50.42475781800.3774410096
100.42463320840.3732542791
150.42463334940.3732579467
200.42463334930.3732579407
250.42463334930.3732579407
300.42463334930.3732579407
Table 3. Validation of LLM results for velocity when: ϕ = 0 ,   γ = ,   G = 1 , R = 1 .
Table 3. Validation of LLM results for velocity when: ϕ = 0 ,   γ = ,   G = 1 , R = 1 .
y u L L M ( y ) Makinde and Egunjobi [23] u L L M u R K 4
0.00.000000000000.000000000.000000000
0.10.03879298290.038792971.29401 × 10−8
0.20.07114877410.0711487502.40614 × 10−8
0.30.09639034780.096390322.78057 × 10−8
0.40.11376952000.113769484.00103 × 10−8
0.50.12245933120.122459331.18527 × 10−8
0.60.12154605260.121546005.25610 × 10−8
0.70.11001957300.110019534.30211 × 10−8
0.80.08676376750.086763724.74739 × 10−8
0.90.05054500440.050544982.43530 × 10−8
1.00.000000000000.000000000.000000000
Table 4. Validation of LLM results for velocity when: β 1 = β 2 = M = θ f = 1 , ϕ = 0.01 ,   R a = 0.5 , γ = 1 , Pr = 6.8 ,   E c = 0.1 , G = 1 , R = 1 , m = 3 .
Table 4. Validation of LLM results for velocity when: β 1 = β 2 = M = θ f = 1 , ϕ = 0.01 ,   R a = 0.5 , γ = 1 , Pr = 6.8 ,   E c = 0.1 , G = 1 , R = 1 , m = 3 .
y u L L M ( y ) u R K 4 ( y ) u L L M u R K 4
0.00.000000000000000000.000000000000000000.0000000000
0.20.040314414748849550.040314414758272059.42250 × 10−12
0.40.062229339098359760.062229339126451202.80914 × 10−11
0.60.064148326396628790.064148326487119029.04902 × 10−11
0.80.044086221509544110.044086221829476823.19933 × 10−10
1.00.000000000000000003.6244 × 10−120.0000000000
Table 5. Validation of LLM results for temperature when: β 1 = 1 , β 2 = 1 , θ f = 1 , ϕ = 0.01 , M = 1 ,   R a = 0.5 , γ = 1 , Pr = 6.8 ,   E c = 0.1 , G = 1 , R = 1 , m = 3 .
Table 5. Validation of LLM results for temperature when: β 1 = 1 , β 2 = 1 , θ f = 1 , ϕ = 0.01 , M = 1 ,   R a = 0.5 , γ = 1 , Pr = 6.8 ,   E c = 0.1 , G = 1 , R = 1 , m = 3 .
y θ L L M ( y ) θ R K 4 ( y ) θ L L M θ R K 4
0.00.91251891484624660.91251891484723469.87987 × 10−13
0.20.89216486356632140.89216483184269223.17236 × 10−8
0.40.86328131681732380.86328122322514939.35922 × 10−8
0.60.82168710444283410.82168692105860251.83384 × 10−7
0.80.75954702521702180.75954659666037544.28557 × 10−7
1.00.66024793438703640.66024793430381658.32200 × 10−11
Disclaimer/Publisher’s Note: The statements, opinions and data contained in all publications are solely those of the individual author(s) and contributor(s) and not of MDPI and/or the editor(s). MDPI and/or the editor(s) disclaim responsibility for any injury to people or property resulting from any ideas, methods, instructions or products referred to in the content.

Share and Cite

MDPI and ACS Style

Yusuf, T.A.; Adeosun, A.T.; Akinsola, V.O.; Lebelo, R.S.; Akinremi, O.J. Numerical Investigation for Nonlinear Thermal Radiation in MHD Cu–Water Nanofluid Flow in a Channel with Convective Boundary Conditions. Mathematics 2023, 11, 3409. https://doi.org/10.3390/math11153409

AMA Style

Yusuf TA, Adeosun AT, Akinsola VO, Lebelo RS, Akinremi OJ. Numerical Investigation for Nonlinear Thermal Radiation in MHD Cu–Water Nanofluid Flow in a Channel with Convective Boundary Conditions. Mathematics. 2023; 11(15):3409. https://doi.org/10.3390/math11153409

Chicago/Turabian Style

Yusuf, Tunde Abdulkadir, Adeshina Taofeeq Adeosun, Victor Olajide Akinsola, Ramoshweu Solomon Lebelo, and Oluwadamilare Joseph Akinremi. 2023. "Numerical Investigation for Nonlinear Thermal Radiation in MHD Cu–Water Nanofluid Flow in a Channel with Convective Boundary Conditions" Mathematics 11, no. 15: 3409. https://doi.org/10.3390/math11153409

APA Style

Yusuf, T. A., Adeosun, A. T., Akinsola, V. O., Lebelo, R. S., & Akinremi, O. J. (2023). Numerical Investigation for Nonlinear Thermal Radiation in MHD Cu–Water Nanofluid Flow in a Channel with Convective Boundary Conditions. Mathematics, 11(15), 3409. https://doi.org/10.3390/math11153409

Note that from the first issue of 2016, this journal uses article numbers instead of page numbers. See further details here.

Article Metrics

Back to TopTop