Sensorless Scheme for Permanent-Magnet Synchronous Motors Susceptible to Time-Varying Load Torques
Abstract
1. Introduction
2. Mathematical Preliminaries
3. Surface-Mount Permanent-Magnet Synchronous Motor Dynamical Model
- (A1)
- We consider that (load time-varying torque) is an unknown-bounded function with an a priori known upper bound, meaning that there prevails a positive constant such that
- (A2)
- The PMSM operates in the high-speed range, i.e., .
4. Mechanical Variables Estimation
4.1. Extended State Observer Design
- (A3)
- We consider as an a priori known bound for the unknown function (scalar), with
- (A4)
- We assume that (nonlinear term) in (8) is uniformly bounded in and considered as locally Lipschitz in ; that means the nextis fulfilled, where is the Lipschitz constant.
4.2. Stability Analysis
5. Design of a Sensorless Controller for the PMSM
- (A5)
- Consider that is bounded;
- (A6)
- and its derivatives are continuously uniformly bounded and differentiable functions in t.
Sensorless Control Closed-Loop Stability Proof
- Given a perturbed Riccati Equation (31) with as the solution (positive definite matrix)for the matrix function given in (9), some matrix , a matrix , and some matrix .
- Given a perturbed Lyapunov Equation (32) with as the solution (positive definite matrix)for the matrix function given in (30), and for some .
- We establish , then the function can be bounded as follows:
- The virtual input can be bounded by , where is the maximum current that the speed controller will be able to provide; hence, the function is bounded as
- The function is considered as the perturbed input control of the closed-loop system and is bounded since the integralwith defined in (23). Hence,
6. Emulations and Experimental Results
6.1. Platform Description
6.2. Emulation Results
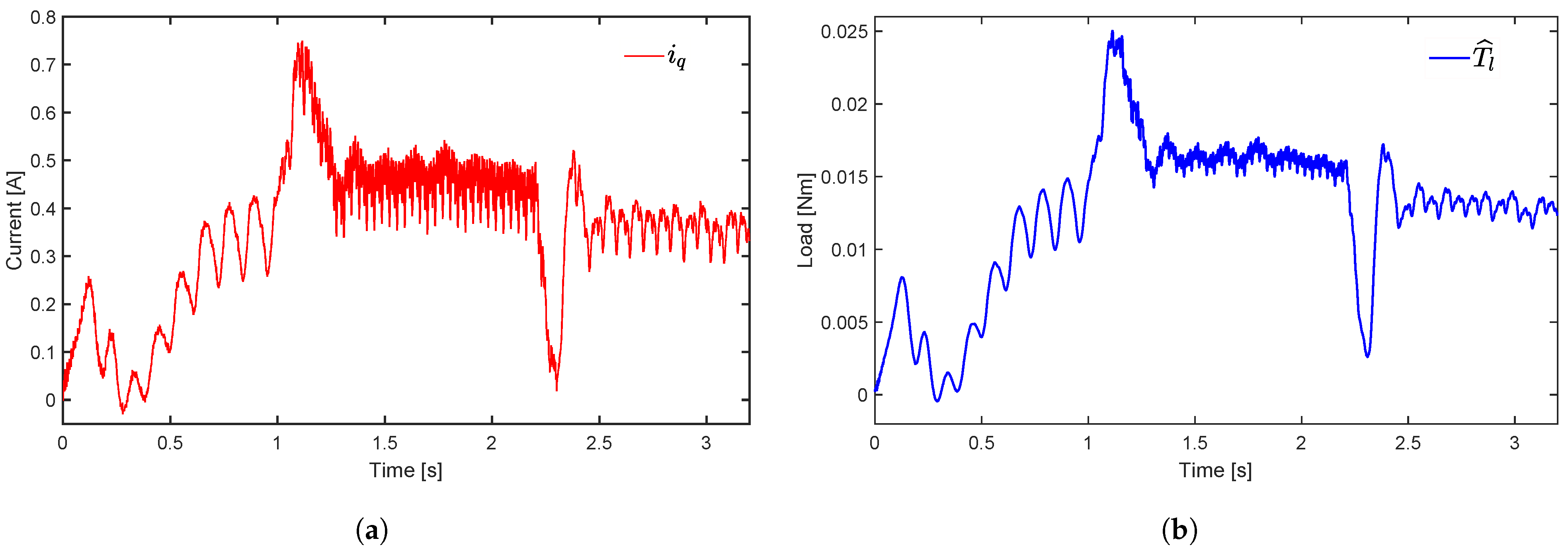
6.3. Experimental Results
7. Conclusions
Author Contributions
Funding
Data Availability Statement
Acknowledgments
Conflicts of Interest
References
- Ullah, K.; Guzinski, J.; Mirza, A.F. Critical review on robust speed control techniques for permanent magnet synchronous motor (PMSM) speed regulation. Energies 2022, 15, 1235. [Google Scholar] [CrossRef]
- Ramirez-Villalobos, R.; De Loza, A.F.; Aguilar, L.T.; Coria, L.N. Robust Sensorless Speed-Tracking Controller for Surface-Mount Permanent Magnet Synchronous Motors. In Proceedings of the 2016 IEEE 55th Conference on Decision and Control (CDC), Las Vegas, NV, USA, 12–14 December 2016; pp. 634–639. [Google Scholar]
- Elsherbiny, H.; Laszlo, S.; Ahmed, M.K.; Elwany, M.A. High Accuracy Modeling of Permanent Magnet Synchronous Motors Using Finite Element Analysis. Mathematics 2022, 10, 3880. [Google Scholar] [CrossRef]
- Wang, G.; Valla, M.; Solsona, J. Position sensorless permanent magnet synchronous machine drives—A review. IEEE Trans. Ind. Electron. 2019, 67, 5830–5842. [Google Scholar] [CrossRef]
- Volpato Filho, C.J.; Xiao, D.; Vieira, R.P.; Emadi, A. Observers for high-speed sensorless pmsm drives: Design methods, tuning challenges and future trends. IEEE Access 2021, 9, 56397–56415. [Google Scholar] [CrossRef]
- Wang, Z.; Yao, B.; Guo, L.; Jin, X.; Li, X.; Wang, H. Initial rotor position detection for permanent magnet synchronous motor based on high-frequency voltage injection without filter. World Electr. Veh. J. 2020, 11, 71. [Google Scholar] [CrossRef]
- Pando-Acedo, J.; Romero-Cadaval, E.; Milanes-Montero, M.I.; Barrero-Gonzalez, F. Improvements on a sensorless scheme for a surface-mounted permanent magnet synchronous motor using very low voltage injection. Energies 2020, 13, 2732. [Google Scholar] [CrossRef]
- Lascu, C.; Andreescu, G.D. PLL Position and Speed Observer With Integrated Current Observer for Sensorless PMSM Drives. IEEE Trans. Ind. Electron. 2020, 67, 5990–5999. [Google Scholar] [CrossRef]
- Bierhoff, M.H. A General PLL-Type Algorithm for Speed Sensorless Control of Electrical Drives. IEEE Trans. Ind. Electron. 2017, 64, 9253–9260. [Google Scholar] [CrossRef]
- Pyrkin, A.; Bobtsov, A.; Ortega, R.; Vedyakov, A.; Cherginets, D.; Bazylev, D.; Igor, P. Sensorless Control of Permanent Magnet Synchronous Motors based on Finite-Time Robust Flux Observer. IFAC PapersOnLine 2020, 53, 9270–9275. [Google Scholar] [CrossRef]
- Repecho, V.; Waqar, J.B.; Biel, D.; Dòria-Cerezo, A. Zero Speed Sensorless Scheme for Permanent Magnet Synchronous Machine Under Decoupled Sliding-Mode Control. IEEE Trans. Ind. Electron. 2022, 69, 1288–1297. [Google Scholar] [CrossRef]
- Nicola, C.I.; Marcel, N.; Dan, S. Sensorless Control of PMSM Based on Backstepping-PSO-Type Controller and ESO-Type Observer Using Real-Time Hardware. Electronics 2021, 10, 2080. [Google Scholar] [CrossRef]
- Liang, D.; Li, J.; Qu, R.; Kong, W. Adaptive second-order sliding-mode observer for PMSM sensorless control considering VSI nonlinearity. IEEE Trans. Power Electron. 2017, 33, 8994–9004. [Google Scholar] [CrossRef]
- Lu, E.; Li, W.; Wang, S.; Zhang, W.; Luo, C. Disturbance rejection control for PMSM using integral sliding mode based composite nonlinear feedback control with load observer. ISA Trans. 2021, 116, 203–217. [Google Scholar] [CrossRef] [PubMed]
- Song, J.; Wang, Y.K.; Niu, Y.; Lam, H.K.; He, S.; Liu, H. Periodic event-triggered terminal sliding mode speed control for networked PMSM system: A GA-optimized extended state observer approach. IEEE/ASME Trans. Mechatronics 2022, 27, 4153–4164. [Google Scholar] [CrossRef]
- Deng, Y.; Wang, J.; Li, H.; Liu, J.; Tian, D. Adaptive sliding mode current control with sliding mode disturbance observer for PMSM drives. ISA Trans. 2019, 88, 113–126. [Google Scholar] [CrossRef]
- Liu, X.; Zhang, C.; Li, K.; Zhang, Q. Robust current control-based generalized predictive control with sliding mode disturbance compensation for PMSM drives. ISA Trans. 2017, 71, 542–552. [Google Scholar] [CrossRef]
- Dilys, J.; Stankevič, V.; Łuksza, K. Implementation of Extended Kalman Filter with Optimized Execution Time for Sensorless Control of a PMSM Using Arm Cortex-M3 Microcontroller. Energies 2021, 14, 3491. [Google Scholar] [CrossRef]
- Quang, N.K.; Hieu, N.T.; Ha, Q.P. FPGA-based sensorless PMSM speed control using reduced-order extended Kalman filters. IEEE Trans. Ind. Electron. 2014, 61, 6574–6582. [Google Scholar] [CrossRef]
- Yang, H.; Yang, R.; Hu, W.; Huang, Z. FPGA-based sensorless speed control of PMSM using enhanced performance controller based on the reduced-order EKF. IEEE J. Emerg. Sel. Top. Power Electron. 2019, 9, 289–301. [Google Scholar] [CrossRef]
- Aguilar, L.T.; Ramírez-Villalobos, R.; Ferreira de Loza, A.; Coria, L.N. Robust sensorless speed tracking controller for surface-mount permanent magnet synchronous motors subjected to uncertain load variations. Int. J. Syst. Sci. 2020, 51, 35–48. [Google Scholar] [CrossRef]
- Ramírez-Villalobos, R.; Aguilar, L.T.; Coria, L.N. Sensorless H-infty speed-tracking synthesis for surface-mount permanent magnet synchronous motor. ISA Trans. 2017, 67, 140–150. [Google Scholar] [CrossRef] [PubMed]
- Wang, M.S.; Tsai, T.M. Sliding mode and neural network control of sensorless PMSM controlled system for power consumption and performance improvement. Energies 2017, 10, 1780. [Google Scholar] [CrossRef]
- Putra, D.S.; Seng-Chi, C.; Hoai-Hung, K.; Chin-Feng, C. Realization of Intelligent Observer for Sensorless PMSM Drive Control. Mathematics 2023, 11, 1254. [Google Scholar] [CrossRef]
- Kivanc, O.C.; Ozturk, S.B. Sensorless PMSM drive based on stator feedforward voltage estimation improved with MRAS multiparameter estimation. IEEE/ASME Trans. Mechatron. 2018, 23, 1326–1337. [Google Scholar] [CrossRef]
- Aydogmus, O.; Sünter, S. Implementation of EKF based sensorless drive system using vector controlled PMSM fed by a matrix converter. Int. J. Electr. Power Energy Syst. 2012, 43, 736–743. [Google Scholar] [CrossRef]
- Tan, L.N.; Cong, T.P.; Cong, D.P. Neural network observers and sensorless robust optimal control for partially unknown PMSM with disturbances and saturating voltages. IEEE Trans. Power Electron. 2021, 36, 12045–12056. [Google Scholar] [CrossRef]
- Chen, W.H.; Yang, J.; Guo, L.; Li, S. Disturbance-observer-based control and related methods—An overview. IEEE Trans. Ind. Electron. 2015, 63, 1083–1095. [Google Scholar] [CrossRef]
- Gao, P.; Zhang, G.; Ouyang, H.; Mei, L. An adaptive super twisting nonlinear fractional order PID sliding mode control of permanent magnet synchronous motor speed regulation system based on extended state observer. IEEE Access 2020, 8, 53498–53510. [Google Scholar] [CrossRef]
- Zhang, Y.; Yin, Z.; Bai, C.; Wang, G.; Liu, J. A rotor position and speed estimation method using an improved linear extended state observer for IPMSM sensorless drives. IEEE Trans. Power Electron. 2021, 36, 14062–14073. [Google Scholar] [CrossRef]
- Jiang, F.; Sun, S.; Liu, A.; Xu, Y.; Li, Z.; Liu, X.; Yang, K. Robustness improvement of model-based sensorless SPMSM drivers based on an adaptive extended state observer and an enhanced quadrature PLL. IEEE Trans. Power Electron. 2020, 36, 4802–4814. [Google Scholar] [CrossRef]
- Xu, Z.; Zhang, T.; Bao, Y.; Zhang, H.; Gerada, C. A nonlinear extended state observer for rotor position and speed estimation for sensorless IPMSM drives. IEEE Trans. Power Electron. 2019, 35, 733–743. [Google Scholar] [CrossRef]
- Zhang, T.; Xu, Z.; Li, J.; Zhang, H.; Gerada, C. A third-order super-twisting extended state observer for dynamic performance enhancement of sensorless IPMSM drives. IEEE Trans. Ind. Electron. 2019, 67, 5948–5958. [Google Scholar] [CrossRef]
- Ke, D.; Wang, F.; He, L.; Li, Z. Predictive current control for PMSM systems using extended sliding mode observer with Hurwitz-based power reaching law. IEEE Trans. Power Electron. 2020, 36, 7223–7232. [Google Scholar] [CrossRef]
- Khalil, H.K. Chapter 4. Lyapunov Stability. In Nonlinear Systems, 3rd. ed.; Prentice Hall: Upper Saddle River, NJ, USA, 2002; p. 144. [Google Scholar]
- Yu, W. Luenberger Observer Design for Uncertainty Nonlinear Systems. In New Perspectives and Applications of Modern Control Theory: In Honor of Alexander S. Poznyak; Springer: Berlin/Heidelberg, Germany, 2018; pp. 25–42. [Google Scholar]
- Campos, P.J.; Coria, L.N.; Trujillo, L. Nonlinear speed sensorless control of a surface-mounted PMSM based on a Thau observer. Electr. Eng. 2018, 100, 177–193. [Google Scholar] [CrossRef]
- Verrelli, C.M. Synchronization of permanent magnet electric motors: New nonlinear advanced results. Nonlinear Anal. Real World Appl. 2012, 13, 395–409. [Google Scholar] [CrossRef]
- Phanomchoeng, G.; Rajamani, R. Observer Design for Lipschitz Nonlinear Systems Using Riccati Equations. In Proceedings of the 2010 American Control Conference, Baltimore, MD, USA, 30 June–2 July 2010; pp. 6060–6065. [Google Scholar]
- Zemouche, A.; Boutayeb, M. On LMI conditions to design observers for Lipschitz nonlinear systems. Automatica 2013, 49, 585–591. [Google Scholar] [CrossRef]











| Symbols | Parameters | Values | Units |
|---|---|---|---|
| R | Stator resistance | 4.3 | ohm |
| L | Stator inductance | H | |
| Rotor torque constant | Nm/A | ||
| Flux linkage | Nm/A | ||
| p | Pole-pairs | 1 | |
| F | Viscous friction coefficient | 3 | Nms |
| J | Rotor inertia | 1.1 | kgm |
| Rated power | 15.7 | W | |
| Rated voltage | 36 | V | |
| Max. permissible speed | 210 | rad/s | |
| Max. cont. torque | Nm |
| Error | MAE | MSE | ||
|---|---|---|---|---|
| FOC Scheme | Proposed Scheme | FOC Scheme | Proposed Scheme | |
| 0.0042 | 0.0043 | 0.0051 | 0.0053 | |
| 2.0170 | 1.03336 | 3.3270 | 1.4974 | |
Disclaimer/Publisher’s Note: The statements, opinions and data contained in all publications are solely those of the individual author(s) and contributor(s) and not of MDPI and/or the editor(s). MDPI and/or the editor(s) disclaim responsibility for any injury to people or property resulting from any ideas, methods, instructions or products referred to in the content. |
© 2023 by the authors. Licensee MDPI, Basel, Switzerland. This article is an open access article distributed under the terms and conditions of the Creative Commons Attribution (CC BY) license (https://creativecommons.org/licenses/by/4.0/).
Share and Cite
Aldrete-Maldonado, C.; Ramirez-Villalobos, R.; Coria, L.N.; Plata-Ante, C. Sensorless Scheme for Permanent-Magnet Synchronous Motors Susceptible to Time-Varying Load Torques. Mathematics 2023, 11, 3066. https://doi.org/10.3390/math11143066
Aldrete-Maldonado C, Ramirez-Villalobos R, Coria LN, Plata-Ante C. Sensorless Scheme for Permanent-Magnet Synchronous Motors Susceptible to Time-Varying Load Torques. Mathematics. 2023; 11(14):3066. https://doi.org/10.3390/math11143066
Chicago/Turabian StyleAldrete-Maldonado, Christian, Ramon Ramirez-Villalobos, Luis N. Coria, and Corina Plata-Ante. 2023. "Sensorless Scheme for Permanent-Magnet Synchronous Motors Susceptible to Time-Varying Load Torques" Mathematics 11, no. 14: 3066. https://doi.org/10.3390/math11143066
APA StyleAldrete-Maldonado, C., Ramirez-Villalobos, R., Coria, L. N., & Plata-Ante, C. (2023). Sensorless Scheme for Permanent-Magnet Synchronous Motors Susceptible to Time-Varying Load Torques. Mathematics, 11(14), 3066. https://doi.org/10.3390/math11143066

