Bifurcation Analysis of a Synthetic Drug Transmission Model with Two Time Delays
Abstract
1. Introduction
2. Positivity and Boundedness of the Solutions
3. Exhibition of the Hopf bifurcation
4. Stability of the Periodic Solutions
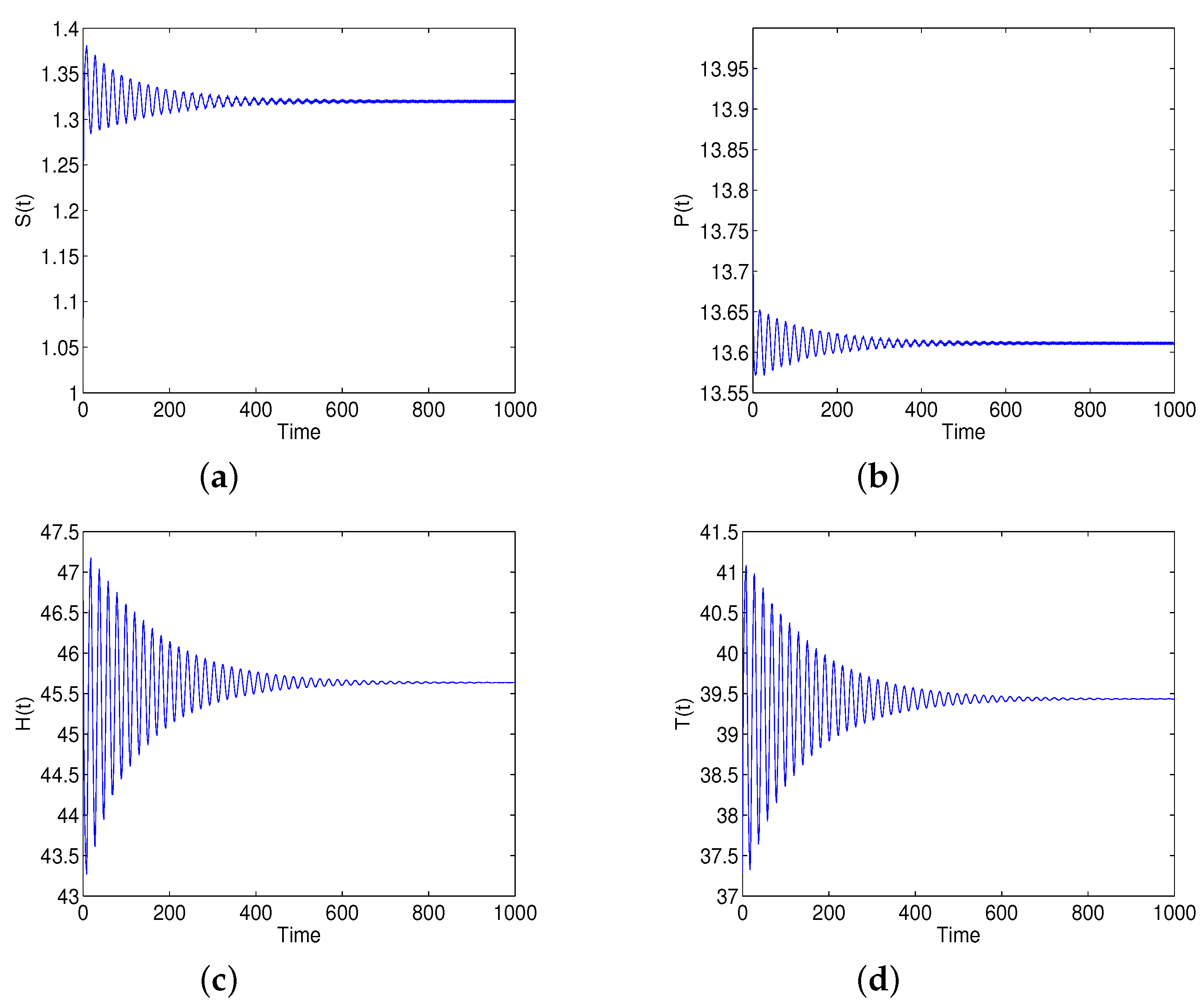
5. Numerical Example
6. Conclusions
Author Contributions
Funding
Institutional Review Board Statement
Informed Consent Statement
Data Availability Statement
Conflicts of Interest
References
- Creagh, S.; Warden, D.; Latif, M.A.; Paydar, A. The new classes of synthetic illicit drugs can significantly harm the brain: A neuro imaging perspective with full review of MRI findings. Clin. Imaging J. 2018, 2, 000116. [Google Scholar]
- China’s Drug Situations Report in 2017. Available online: http://www.nncc626.com/2018-06/26/c_129901052.htm (accessed on 24 February 2022).
- White, E.; Comiskey, C. Heroin epidemics, treatment and ODE modelling. Math. Biosci. 2007, 208, 312–324. [Google Scholar] [CrossRef] [PubMed]
- Liu, J.L.; Zhang, T.L. Global behaviour of a heroin epidemic model with distributed delays. Appl. Math. Lett. 2011, 24, 1685–1692. [Google Scholar] [CrossRef]
- Huang, G.; Liu, A.P. A note on global stability for a heroin epidemic model with distributed delay. Appl. Math. Lett. 2013, 26, 687–691. [Google Scholar] [CrossRef]
- Liu, X.N.; Wang, J.L. Epidemic dynamics on a delayed multi-group heroin epidemic model with nonlinear incidence rate. J. Nonlinear Sci. Appl. 2016, 9, 2149–2160. [Google Scholar] [CrossRef]
- Ma, M.J.; Liu, S.Y.; Li, J. Bifurcation of a heroin model with nonlinear incidence rate. Nonlinear Dyn. 2017, 88, 555–565. [Google Scholar] [CrossRef]
- Djilali, S.; Touaoula, T.M.; Miri, S.E. A heroin epidemic model: Very general non linear incidence, treat-age, and global stability. Acta Appl. Math. 2017, 152, 171–194. [Google Scholar] [CrossRef]
- Yang, J.Y.; Li, X.X.; Zhang, F.Q. Global dynamics of a heroin epidemic model with age structure and nonlinear incidence. Int. J. Biomath. 2016, 9, 1650033. [Google Scholar] [CrossRef]
- Wang, J.L.; Wang, J.; Kuniya, T. Analysis of an age-structured multi-group heroin epidemic model. Appl. Math. Comput. 2019, 347, 78–100. [Google Scholar] [CrossRef]
- Alzaid, S.S.; Alkahtani, B.S.T. Asymptotic analysis of a giving up smoking model with relapse and harmonic mean type incidence rate. Results Phys. 2021, 28, 104437. [Google Scholar] [CrossRef]
- Sun, C.X.; Jia, J.W. Optimal control of a delayed smokingmodel with immigration. J. Biol. Dyn. 2019, 13, 447–460. [Google Scholar] [CrossRef] [PubMed]
- Rahman, G.U.; Agarwal, R.P.; Din, Q. Mathematical analysis of giving up smoking model via harmonic mean type incidence rate. Appl. Math. Comput. 2019, 354, 128–148. [Google Scholar] [CrossRef]
- Rahman, G.U.; Agarwal, R.P.; Liu, L.L.; Khan, A. Threshold dynamics and optimal control of an age-structured giving up smoking model. Nonlinear Anal. Real World Appl. 2018, 43, 96–120. [Google Scholar] [CrossRef]
- Ucar, S.; Ucar, E.; Ozdemir, N.; Hammouch, Z. Mathematical analysis and numerical simulation for a smoking model with Atangana-Baleanu derivative. Chaos Solitons Fractals 2019, 118, 300–306. [Google Scholar] [CrossRef]
- Hu, X.M.; Pratap, A.; Zhang, Z.Z.; Wan, A.Y. Hopf bifurcation and global exponential stability of an epidemiological smoking model with time delay. Alex. Eng. J. 2022, 61, 2096–2104. [Google Scholar] [CrossRef]
- Zhang, Z.Z.; ur Rahman, G.; Nisar, K.S.; Agarwal, R.P. Incorporating convex incidence rate and public awareness program in modelling drinking abuse and novel control strategies with time delay. Phys. Scr. 2021, 96, 114006. [Google Scholar] [CrossRef]
- Huo, H.F.; Chen, Y.L.; Xiang, H. Stability of a binge drinking model with delay. J. Biol. Dyn. 2017, 11, 210–225. [Google Scholar] [CrossRef][Green Version]
- Xiang, H.; Zhu, C.C.; Huo, H.F. Modelling the effect of immigration on drinking behavior. J. Biol. Dyn. 2017, 11, 275–298. [Google Scholar] [CrossRef][Green Version]
- Sharma, S.; Samanta, G.P. Analysis of a drinking epidemic model. Int. J. Dyn. Control 2015, 3, 288–305. [Google Scholar] [CrossRef]
- Das, M.; Samanta, G.; Sen, M.D.L. Stability analysis and optimal control of a fractional order synthetic drugs transmission model. Mathematics 2021, 9, 703. [Google Scholar] [CrossRef]
- Saha, S.; Samanta, G.P. Synthetic drugs transmission: Stability analysis and optimal control. Lett. Biomath. 2019, 6. [Google Scholar] [CrossRef]
- Liu, P.; Zhang, L.; Xing, Y. Modelling and stability of a synthetic drugs transmission model with relapse and treatment. J. Appl. Math. Comput. 2019, 60, 465–484. [Google Scholar] [CrossRef]
- Ma, M.J.; Liu, S.Y.; Xiang, H.; Li, J. Dynamics of synthetic drugs transmission model with psychological addicts and general incidence rate. Phys. Stat. Mech. Appl. 2018, 491, 641–649. [Google Scholar] [CrossRef]
- Zhang, Z.Z.; Yang, F.F.; Xia, W.J. Influence of time delay on bifurcation of a synthetic drug transmission model with psychological addicts. Adv. Differ. Equ. 2020, 144, 15. [Google Scholar] [CrossRef]
- Kundu, S.; Maitra, S. Dynamical behaviour of a delayed three species predator-prey model with cooperation among the prey species. Nonlinear Dyn. 2019, 92, 627–643. [Google Scholar] [CrossRef]
- Ren, J.G.; Yang, X.F.; Yang, L.X.; Xu, Y.H.; Yang, F.Z. A delayed computer virus propagation model and its dynamics. Chaos Solitons Fractals 2012, 45, 74–79. [Google Scholar] [CrossRef]
- Bodnar, M. The nonnegativity of solutions of delay differential equations. Appl. Math. Lett. 2000, 13, 91–95. [Google Scholar] [CrossRef]
- Yang, X.; Chen, L.; Chen, J. Permanence and positive periodic solution for the single species nonautonomus delay diffusive model. Comput. Math. Appl. 1996, 32, 109–116. [Google Scholar] [CrossRef]
- Xu, C.J.; Liao, M.X.; Li, P.L.; Guo, Y.; Xiao, Q.M.; Yuan, S. Influence of multiple time delays on bifurcation of fractional-order neural networks. Appl. Math. Comput. 2019, 361, 565–582. [Google Scholar] [CrossRef]
- Duan, D.F.; Niu, B.; Wei, J.J. Local and global Hopf bifurcation in a neutral population model with age structure. Math. Methods Appl. Sci. 2019, 42, 4747–4764. [Google Scholar] [CrossRef]
- Wang, Y.J.; Fan, D.J.; Wei, J.J. Stability and bifurcation analysis in a predator-prey model with age structure and two Delays. Int. J. Biurcation Chaos 2021, 31, 2150024. [Google Scholar] [CrossRef]
- Wang, L.X.; Niu, B.; Wei, J.J. Dynamical analysis for a model of asset prices with two delays. Phys. Stat. Mech. Appl. 2016, 447, 297–313. [Google Scholar] [CrossRef]
- Li, X.L.; Wei, J.J. On the zeros of a fourth degree exponential polynomial with applications to a neural network model with delays. Chaos Solitons Fractals 2005, 26, 519–526. [Google Scholar] [CrossRef]
- Hassard, B.D.; Kazarinoff, N.D.; Wan, Y.H. Theory and Applications of Hopf Bifurcation; Cambridge University Press: Cambridge, UK, 1981. [Google Scholar]








Publisher’s Note: MDPI stays neutral with regard to jurisdictional claims in published maps and institutional affiliations. |
© 2022 by the authors. Licensee MDPI, Basel, Switzerland. This article is an open access article distributed under the terms and conditions of the Creative Commons Attribution (CC BY) license (https://creativecommons.org/licenses/by/4.0/).
Share and Cite
Zhang, H.; Zeb, A.; Wan, A.; Zhang, Z. Bifurcation Analysis of a Synthetic Drug Transmission Model with Two Time Delays. Mathematics 2022, 10, 1532. https://doi.org/10.3390/math10091532
Zhang H, Zeb A, Wan A, Zhang Z. Bifurcation Analysis of a Synthetic Drug Transmission Model with Two Time Delays. Mathematics. 2022; 10(9):1532. https://doi.org/10.3390/math10091532
Chicago/Turabian StyleZhang, Hu, Anwar Zeb, Aying Wan, and Zizhen Zhang. 2022. "Bifurcation Analysis of a Synthetic Drug Transmission Model with Two Time Delays" Mathematics 10, no. 9: 1532. https://doi.org/10.3390/math10091532
APA StyleZhang, H., Zeb, A., Wan, A., & Zhang, Z. (2022). Bifurcation Analysis of a Synthetic Drug Transmission Model with Two Time Delays. Mathematics, 10(9), 1532. https://doi.org/10.3390/math10091532

