Developing a Deep Neural Network with Fuzzy Wavelets and Integrating an Inline PSO to Predict Energy Consumption Patterns in Urban Buildings
Abstract
:1. Introduction
2. Literature Review
3. Materials and Methods
3.1. Deep Neural Network
3.2. Fuzzy Logic
3.3. Wavelet Transformation
3.4. Deep Neural Network Based on Fuzzy Wavelet
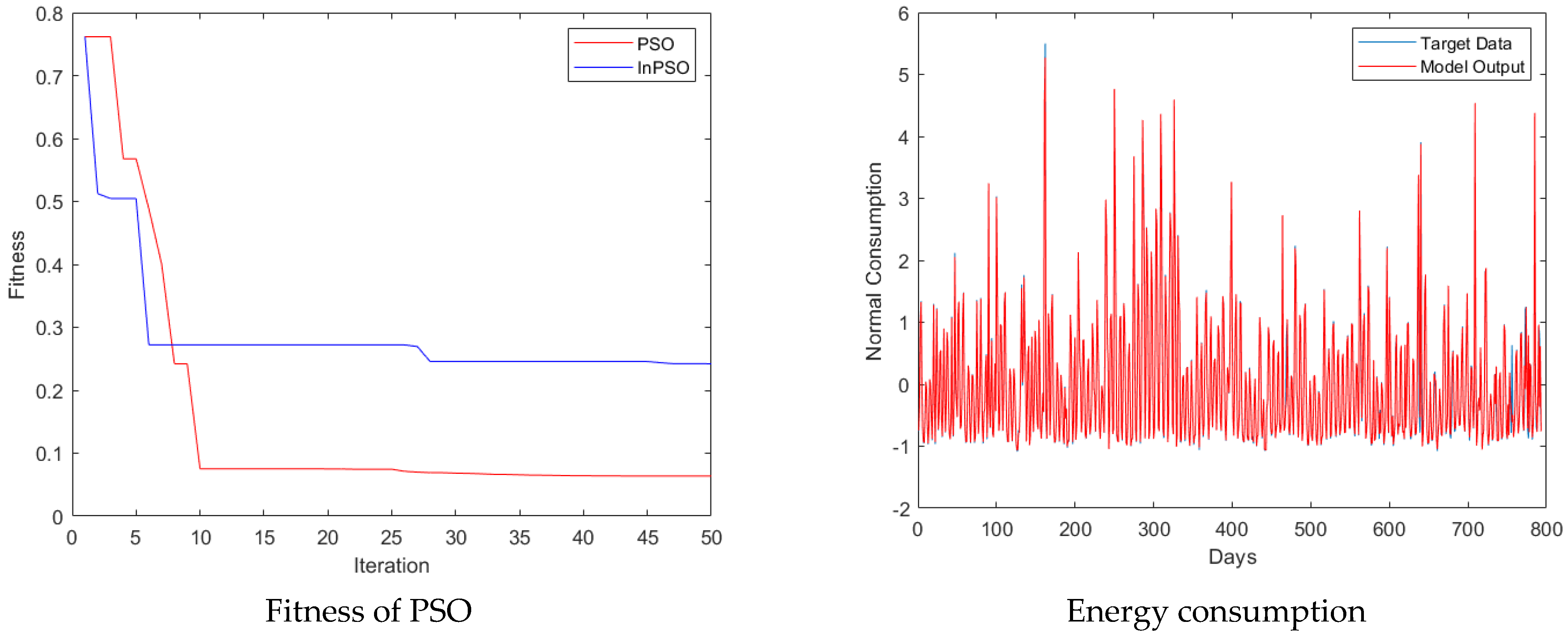
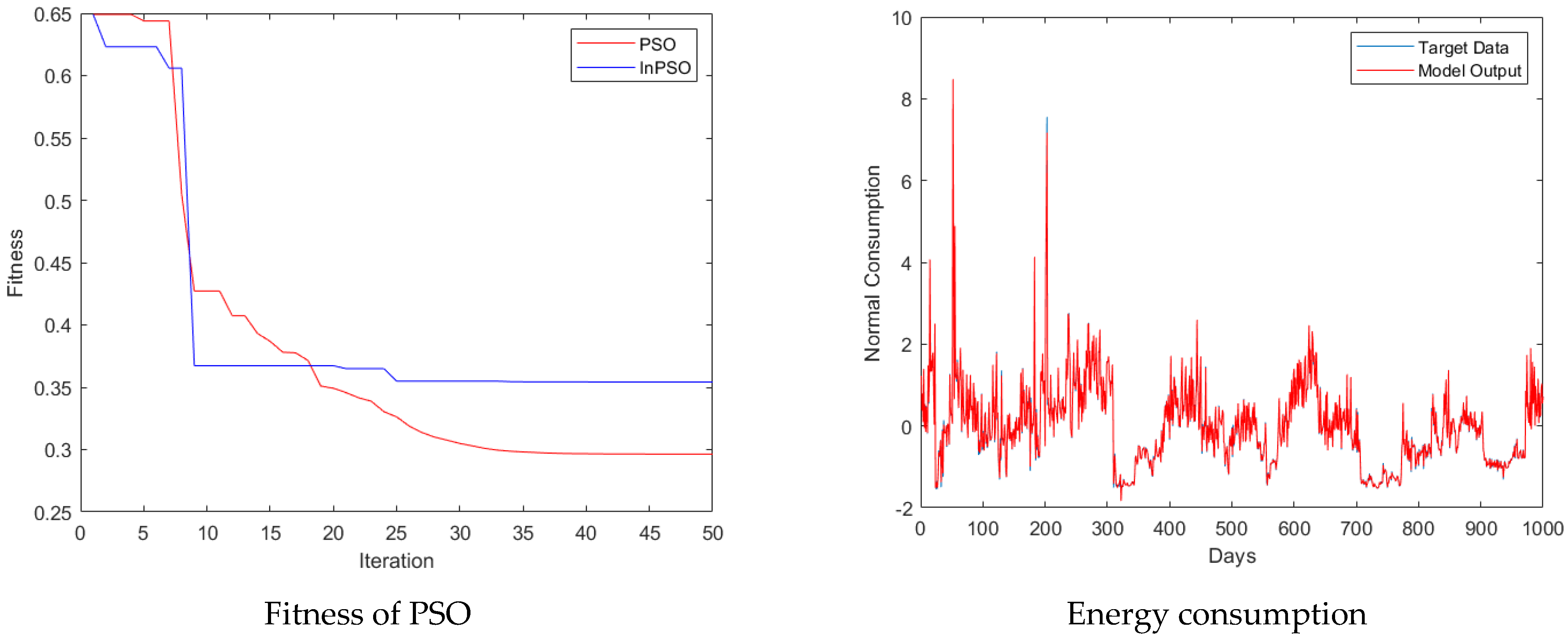
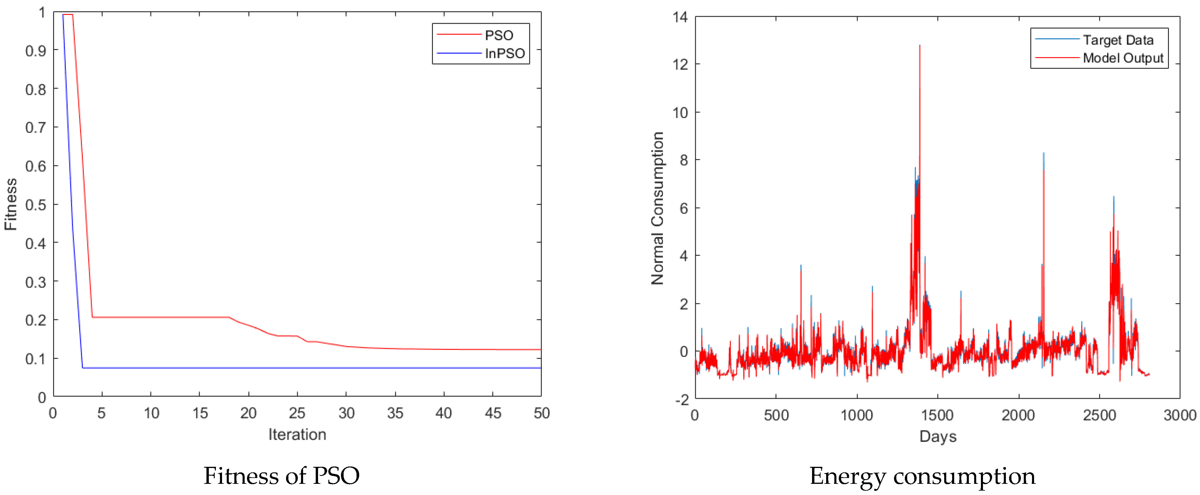
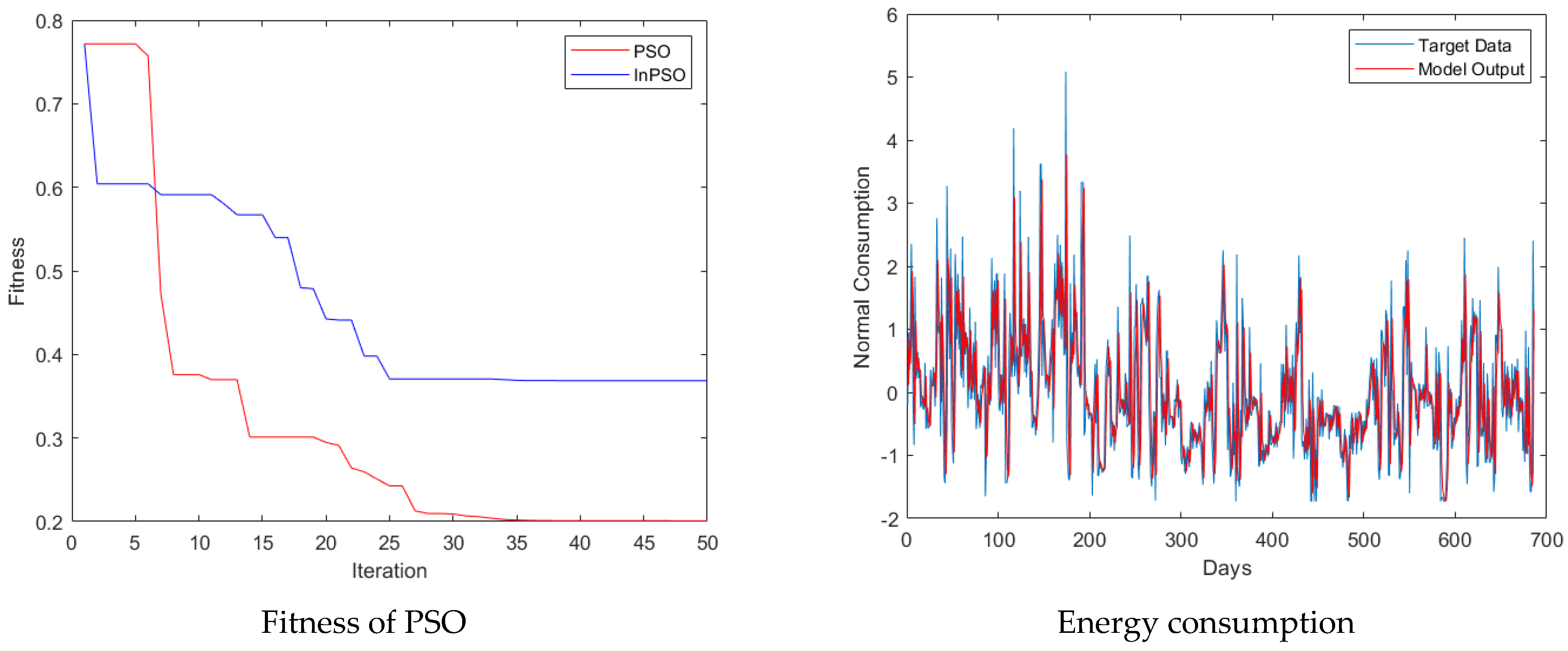
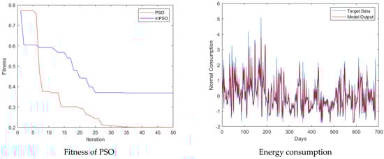
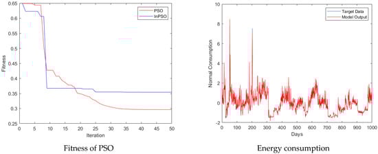
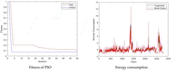
4. Results
5. Discussion
6. Conclusions
Author Contributions
Funding
Institutional Review Board Statement
Informed Consent Statement
Data Availability Statement
Conflicts of Interest
Nomenclature
| Abbreviations | |
| ANN | Artificial Neural Network |
| ANFIS | Adoptive Neuro-Fuzzy Inference Systems |
| CDD | Cooling Degree Day |
| CNN | Convolutional Neural Network |
| DNFW | Deep Neural Network Based on Fuzzy Wavelet |
| DNN | Deep Neural Network |
| HDD | Heating Degree Day |
| LSTM | Long-Short-Term Memory |
| NARX | Non-Linear Autoregressive Network with Exogenous Inputs |
| NSGA | Non-Dominated Sorting Genetic Algorithm |
| PSO | Particle Swarm Optimization |
| RMSE | Root Mean Square Error |
| RNN | Recurrent Neural Network |
| WNN | Wavelet Neural Network |
| Notations | |
| Fuzzy Set of kth Role for j-th Feature | |
| Central Points of Membership Function k-th Role for j-th Feature | |
| Weight of Neural Network i-the Input and j-th Neuron | |
| i-th Hidden Layer | |
| i-th Fuzzy Features | |
| Output of k-th Layer | |
| k-th Rule of Fuzzification | |
| Temperature | |
| Target Value of Prediction | |
| Standard Deviation of Membership Function k-th Role for j-th Feature | |
| Wavelet Function | |
| Membership Function of k-th Role for j-th Feature | |
| Gradient of the Goal Variable |
References
- Uzar, U. Political economy of renewable energy: Does institutional quality make a difference in renewable energy consumption? Renew. Energy 2020, 155, 591–603. [Google Scholar] [CrossRef]
- Akhmetshin, E.M.; Kopylov, S.I.; Lobova, S.V.; Panchenko, N.B.; Kostyleva, G. Specifics of the fuel and energy complex regulation: Seeking new opportunities for Russian and international aspects. Int. J. Energy Econ. Policy 2018, 8, 169. [Google Scholar]
- Azar, E.; O’Brien, W.; Carlucci, S.; Hong, T.; Sonta, A.; Kim, J.; Andargie, M.S.; Abuimara, T.; El Asmar, M.; Jain, R.K.; et al. Simulation-aided occupant-centric building design: A critical review of tools, methods, and applications. Energy Build. 2020, 224, 110292. [Google Scholar] [CrossRef]
- Magliocca, N.R. Agent-Based Modeling for Integrating Human Behavior into the Food–Energy–Water Nexus. Land 2020, 9, 519. [Google Scholar] [CrossRef]
- Sovacool, B.K.; Axsen, J.; Sorrell, S. Promoting novelty, rigor, and style in energy social science: Towards codes of practice for appropriate methods and research design. Energy Res. Soc. Sci. 2018, 45, 12–42. [Google Scholar] [CrossRef]
- Liu, T.; Tan, Z.; Xu, C.; Chen, H.; Li, Z. Study on deep reinforcement learning techniques for building energy consumption forecasting. Energy Build. 2020, 208, 109675. [Google Scholar] [CrossRef]
- Wang, B. Early warning method of marine products network marketing risk based on BP neural network algorithm. J. Coast. Res. 2020, 103, 177–181. [Google Scholar] [CrossRef]
- Akhter, M.N.; Mekhilef, S.; Mokhlis, H.; Shah, N.M. Review on forecasting of photovoltaic power generation based on machine learning and metaheuristic techniques. IET Renew. Power Gener. 2019, 13, 1009–1023. [Google Scholar] [CrossRef] [Green Version]
- Ahmadi, M. A computational approach to uncovering economic growth factors. Comput. Econ. 2021, 58, 1051–1076. [Google Scholar] [CrossRef]
- Feng, X.; Yan, D.; Hong, T. Simulation of occupancy in buildings. Energy Build. 2015, 87, 348–359. [Google Scholar] [CrossRef] [Green Version]
- Martinaitis, V.; Zavadskas, E.K.; Motuzienė, V.; Vilutienė, T. Importance of occupancy information when simulating energy demand of energy efficient house: A case study. Energy Build. 2015, 101, 64–75. [Google Scholar] [CrossRef]
- Sun, K.; Yan, D.; Hong, T.; Guo, S. Stochastic modeling of overtime occupancy and its application in building energy simulation and calibration. Build. Environ. 2014, 79, 1–12. [Google Scholar] [CrossRef] [Green Version]
- Carlucci, S.; Lobaccaro, G.; Li, Y.; Lucchino, E.C.; Ramaci, R. The effect of spatial and temporal randomness of stochastically generated occupancy schedules on the energy performance of a multiresidential building. Energy Build. 2016, 127, 279–300. [Google Scholar] [CrossRef]
- Motuziene, V.; Vilutiene, T. Modelling the effect of the domestic occupancy profiles on predicted energy demand of the energy efficient house. Procedia Eng. 2013, 57, 798–807. [Google Scholar] [CrossRef] [Green Version]
- Matar, W. Beyond the end-consumer: How would improvements in residential energy efficiency affect the power sector in Saudi Arabia? Energy Effic. 2016, 9, 771–790. [Google Scholar] [CrossRef] [Green Version]
- Al-Tamimi, N. A state-of-the-art review of the sustainability and energy efficiency of buildings in Saudi Arabia. Energy Effic. 2017, 10, 1129–1141. [Google Scholar] [CrossRef]
- Almushaikah, A.S.; Almasri, R.A. Evaluating the potential energy savings of residential buildings and utilizing solar energy in the middle region of Saudi Arabia–Case study. Energy Explor. Exploit. 2021, 39, 1457–1490. [Google Scholar] [CrossRef]
- Jiang, Y.; Xin, L. Broadband cancellation method in an adaptive co-site interference cancellation system. Int. J. Electron. 2021, 2021, 9953416. [Google Scholar] [CrossRef]
- Li, L.; Sun, W.; Hu, W.; Sun, Y. Impact of natural and social environmental factors on building energy consumption: Based on bibliometrics. J. Build. Eng. 2021, 37, 102136. [Google Scholar] [CrossRef]
- Varmaghani, A.; Nazar, A.M.; Ahmadi, M.; Sharifi, A.; Ghoushchi, S.J.; Pourasad, Y. DMTC: Optimize energy consumption in dynamic wireless sensor network based on fog computing and fuzzy multiple attribute decision-making. Wirel. Commun. Mob. Comput. 2021, 2021, 9953416. [Google Scholar] [CrossRef]
- Dong, Z.; Liu, J.; Liu, B.; Li, K.; Li, X. Hourly energy consumption prediction of an office building based on ensemble learning and energy consumption pattern classification. Energy Build. 2021, 241, 110929. [Google Scholar] [CrossRef]
- Somu, N.; MR, G.R.; Ramamritham, K. A deep learning framework for building energy consumption forecast. Renew. Sustain. Energy Rev. 2021, 137, 110591. [Google Scholar] [CrossRef]
- Popoola, O.; Chipango, M. Improved peak load management control technique for non-linear and dynamic residential energy consumption pattern. In Building Simulation; Tsinghua University Press: Beijing, China, 2021; Volume 13, pp. 195–208. [Google Scholar]
- Ali, S.B.M.; Hasanuzzaman, M.; Rahim, N.A.; Mamun, M.A.A.; Obaidellah, U.H. Analysis of energy consumption and potential energy savings of an institutional building in Malaysia. Alex. Eng. J. 2021, 60, 805–820. [Google Scholar]
- Mokhtari, R.; Jahangir, M.H. The effect of occupant distribution on energy consumption and COVID-19 infection in buildings: A case study of university building. Build. Environ. 2021, 190, 107561. [Google Scholar] [CrossRef] [PubMed]
- Barik, A.K.; Das, D.C.; Latif, A.; Hussain, S.M.; Ustun, T.S. Optimal voltage–frequency regulation in distributed sustainable energy-based hybrid microgrids with integrated resource planning. Energies 2021, 14, 2735. [Google Scholar] [CrossRef]
- Brandi, S.; Piscitelli, M.S.; Martellacci, M.; Capozzoli, A. Deep reinforcement learning to optimise indoor temperature control and heating energy consumption in buildings. Energy Build. 2020, 224, 110225. [Google Scholar] [CrossRef]
- Li, X.; Chen, S.; Li, H.; Lou, Y.; Li, J. Multi-dimensional analysis of air-conditioning energy use for energy-saving management in university teaching buildings. Build. Environ. 2020, 185, 107246. [Google Scholar] [CrossRef]
- Fahim, M.; Fraz, K.; Sillitti, A. TSI: Time series to imaging based model for detecting anomalous energy consumption in smart buildings. Inf. Sci. 2020, 523, 1–13. [Google Scholar] [CrossRef]
- Ashouri, M.; Fung, B.C.; Haghighat, F.; Yoshino, H. Systematic approach to provide building occupants with feedback to reduce energy consumption. Energy 2020, 194, 116813. [Google Scholar] [CrossRef]
- Irtija, N.; Sangoleye, F.; Tsiropoulou, E.E. Contract-theoretic demand response management in smart grid systems. IEEE Access 2020, 8, 184976–184987. [Google Scholar] [CrossRef]
- Wen, L.; Zhou, K.; Yang, S. Load demand forecasting of residential buildings using a deep learning model. Electr. Power Syst. Res. 2020, 179, 106073. [Google Scholar] [CrossRef]
- Von Korff, H.J. An Analysis of Energy Loads Using Machine Learning to Examine Zero Net Energy and All-Electric Communities That Have Solar and Energy Storage; Stanford University: Stanford, CA, USA, 2019. [Google Scholar]
- Li, C.; Ding, Z.; Yi, J.; Lv, Y.; Zhang, G. Deep belief network based hybrid model for building energy consumption prediction. Energies 2018, 11, 242. [Google Scholar] [CrossRef] [Green Version]
- Li, Y.; Che, P.; Liu, C.; Wu, D.; Du, Y. Cross-scene pavement distress detection by a novel transfer learning framework. Comput. -Aided Civ. Infrastruct. Eng. 2021, 36, 1398–1415. [Google Scholar] [CrossRef]
- Zhang, C.; Ali, A.; Sun, L. Investigation on low-cost friction-based isolation systems for masonry building structures: Experimental and numerical studies. Eng. Struct. 2021, 243, 112645. [Google Scholar] [CrossRef]
- Wang, T.; Liu, W.; Zhao, J.; Guo, X.; Terzija, V. A rough set-based bio-inspired fault diagnosis method for electrical substations. Int. J. Electr. Power Energy Syst. 2020, 119, 105961. [Google Scholar] [CrossRef]
- Wang, T.; Wei, X.; Wang, J.; Huang, T.; Peng, H.; Song, X.; Cabrera, L.V.; Perez-Jimenez, M.J. A weighted corrective fuzzy reasoning spiking neural P system for fault diagnosis in power systems with variable topologies. Eng. Appl. Artif. Intell. 2020, 92, 103680. [Google Scholar] [CrossRef]
- Liu, W.; Wang, Z.; Liu, X.; Zeng, N.; Liu, Y.; Alsaadi, F.E. A survey of deep neural network architectures and their applications. Neurocomputing 2017, 234, 11–26. [Google Scholar] [CrossRef]
- Zadeh, L.A. Fuzzy Sets. Inf. Control. 1965, 8, 338–353. [Google Scholar] [CrossRef] [Green Version]
- Nguyen, H.T.; Walker, C.; Walker, E.A. A First Course in Fuzzy Logic, 3rd ed.; CRC: Boca Raton, FL, USA; Chapman and Hall: London, UK, 2005. [Google Scholar]
- Ross, T.J. Fuzzy Logic with Engineering Applications, 4th ed.; Wiley: Hoboken, NJ, USA, 2016. [Google Scholar]
- Hajek, P.; Novák†, V. The Sorites Paradox and Fuzzy Logic. Int. J. Gen. Syst. 2003, 32, 373–383. [Google Scholar] [CrossRef]
- Cintula, P.; Christian, F.; Carles, N. (Eds.) Handbook of Mathematical Fuzzy Logic; Studies in Logic, Volume 58; College Publications: London, UK, 2015; Volume 3. [Google Scholar]
- Wang, L.X. A Course in Fuzzy Systems and Control; Prentice-Hall, Inc.: Hoboken, NJ, USA, 1996. [Google Scholar]
- Ho, D.W.; Zhang, P.A.; Xu, J. Fuzzy wavelet networks for function learning. IEEE Trans. Fuzzy Syst. 2001, 9, 200–211. [Google Scholar] [CrossRef]
- Adeli, H.; Jiang, X. Dynamic fuzzy wavelet neural network model for structural system identification. J. Struct. Eng. 2006, 132, 102–111. [Google Scholar] [CrossRef]
- Abiyev, R.H.; Kaynak, O. Fuzzy wavelet neural networks for identification and control of dynamic plants—A novel structure and a comparative study. IEEE Trans. Ind. Electron. 2008, 55, 3133–3140. [Google Scholar] [CrossRef]







| Author | Objective | Method | Results |
|---|---|---|---|
| Popoola and Chipango (2021) [23] | The residential building energy pattern | Improved peak-load management control technique | It was found that maximum use and energy consumption decreased significantly, ranging from 3% to 20%, for the time-of-use intervals, and at least 14.05% for the energy efficiency. |
| Ali et al. (2021) [24] | The institutional building energy pattern | Statistical analysis | Inspection results confirmed the structure’s electricity bills, which ranged from 160 MWh to 250 MWh and RM 80 k to RM 120 k per month, on average. |
| Somu et al. (2021) [22] | The four-storeyed building energy pattern | k-convolutional neural networks and long-short-term memory | It was noted that the effective electricity consumption estimate produced by kCNN-LSTM is an excellent deep training algorithm for power consumption prediction issues due to its capacity to understand the spatio-temporal relationships in the energy data. |
| Dong et al. (2021) [21] | Office building energy pattern | Ensemble learning based on SVR and ANN | It illustrated the viability and effectiveness of the suggested plan. Additionally, this method provided satisfactory results with minimal training data, which is beneficial for energy usage projection applications. |
| Mokhtari and Jahangir (2021) [25] | University building energy pattern | NSGA-II algorithm | According to the findings, an ideal demographic makeup can lower the number of sick persons by up to 56% while also reducing energy usage by 32%. Additionally, virtual training was an effective way for colleges to reduce the number of illnesses and energy usage. |
| Barik et al. (2021) [26] | Electric regulation in hybrid smart grid | Quasi-oppositional chaotic selfish-herd optimization | The research examined the voltage, frequency, and tie-line power synchronization of the prototype solution under five severe scenarios of source and load fluctuations without adjusting the regulators. In addition, ten different potential configurations of modules in different microgrids were examined in order to determine the optimal combination. In summary, the results of this study indicate that implementing the suggested approach increases the effectiveness of distributed microgrids. |
| Brandi et al. (2020) [27] | Office building energy pattern | Deep reinforcement learning | If the set of variables is appropriately specified, it should be possible to achieve a heating energy savings between 5 and 12% with improved interior temperature management and static and dynamic deployment. Lastly, the study showed that if input variables are not selected correctly, a dynamic deployment is necessary to achieve satisfactory results. |
| Li et al. (2020) [28] | University building energy pattern | Decision tree, Adaboost, and RandomForest | In the case of intermediate usage hours, school scales must be considered. The AC set degree is a crucial control parameter for long-term AC operation. This study contributed to more realistic energy demand simulations and more efficient energy management in educational facilities. |
| Fahim et al. (2020) [29] | Smart building energy pattern | One-class support vector machine, Markov transition function | An extensive public information database was used to test the proposed model. The results of the acquired studies were comparable and demonstrated the effectiveness of the TSI model in actual situations. |
| Ashouri et al. (2020) [30] | Role of occupants in building energy consumption | Statistical analysis | As compared to previous state-of-the-art systems, the present system improved accuracy, adaptability, and realistic findings. |
| Irtija et al. (2020) [31] | Energy demand managment in smart grid | Standard convex optimization methods | On the energy market, it was determined whether or not the prosumers are aware of their kinds, and the ideal contract was negotiated between parties who have competing interests. A power contract that meets ideal conditions includes both the quantity of power purchased by prosumers and the incentives provided by the electricity market. It was demonstrated that a contract-theoretic approach has both advantages and disadvantages. |
| Wen et al. (2020) [32] | Forecasting of buildings’ energy demands in smart grid | ANN, LSTM, RNN | It appeared that the new model predicted aggregated and disaggregated energy demand for residential structures more precisely than existing approaches. In addition, the proposed deep-learning model was an excellent way to fill in any missing information based on historical data. |
| Von Korff (2019) [33] | Energy-load analysis for zeo-net energy | Machine-learning methods | By measuring the net electrical consumption and output for each residence over the course of a year, the researchers provided a variety of typical energy demand profiles. The load profiles presented a number of ways in which solar power or energy storage could be beneficial to customers or grid operators. Additionally, several inefficiencies within the existing system were discussed, along with recommended solutions. As a result of utilizing machine learning to analyze the preliminary data collected from the first advanced energy communities, electric grid managers were better equipped to prepare for a large-scale deployment of solar power and energy storage systems. |
| Li et al. (2018) [34] | Residential building energy pattern | Deep belief network and generalized radial basis function neural network | It was shown how useful it is to include electricity behaviors. This method may be applied to other similar periodicity-based prediction problems, such as traffic flow prediction and power-usage prediction. |
| Moran’s I Statistic | Marginal Prob. | Mean | Standard Dev. | |
|---|---|---|---|---|
| Tehran | 4.186 | 0.0003 | 1.078 | 2.592 |
| Ahvaz | 98.451 | 0.0000 | −0.112 | 0.642 |
| Mashhad | 2.386 | 0.0026 | 0.637 | 1.152 |
| Urmia | 4.982 | 0.0001 | 0.542 | 1.236 |
Publisher’s Note: MDPI stays neutral with regard to jurisdictional claims in published maps and institutional affiliations. |
© 2022 by the authors. Licensee MDPI, Basel, Switzerland. This article is an open access article distributed under the terms and conditions of the Creative Commons Attribution (CC BY) license (https://creativecommons.org/licenses/by/4.0/).
Share and Cite
Ahmadi, M.; Soofiabadi, M.; Nikpour, M.; Naderi, H.; Abdullah, L.; Arandian, B. Developing a Deep Neural Network with Fuzzy Wavelets and Integrating an Inline PSO to Predict Energy Consumption Patterns in Urban Buildings. Mathematics 2022, 10, 1270. https://doi.org/10.3390/math10081270
Ahmadi M, Soofiabadi M, Nikpour M, Naderi H, Abdullah L, Arandian B. Developing a Deep Neural Network with Fuzzy Wavelets and Integrating an Inline PSO to Predict Energy Consumption Patterns in Urban Buildings. Mathematics. 2022; 10(8):1270. https://doi.org/10.3390/math10081270
Chicago/Turabian StyleAhmadi, Mohsen, Mahsa Soofiabadi, Maryam Nikpour, Hossein Naderi, Lazim Abdullah, and Behdad Arandian. 2022. "Developing a Deep Neural Network with Fuzzy Wavelets and Integrating an Inline PSO to Predict Energy Consumption Patterns in Urban Buildings" Mathematics 10, no. 8: 1270. https://doi.org/10.3390/math10081270
APA StyleAhmadi, M., Soofiabadi, M., Nikpour, M., Naderi, H., Abdullah, L., & Arandian, B. (2022). Developing a Deep Neural Network with Fuzzy Wavelets and Integrating an Inline PSO to Predict Energy Consumption Patterns in Urban Buildings. Mathematics, 10(8), 1270. https://doi.org/10.3390/math10081270

