Modeling the Operation of Signal-Controlled Intersections with Different Lane Occupancy
Abstract
1. Introduction
Literature Review
2. Materials and Methods
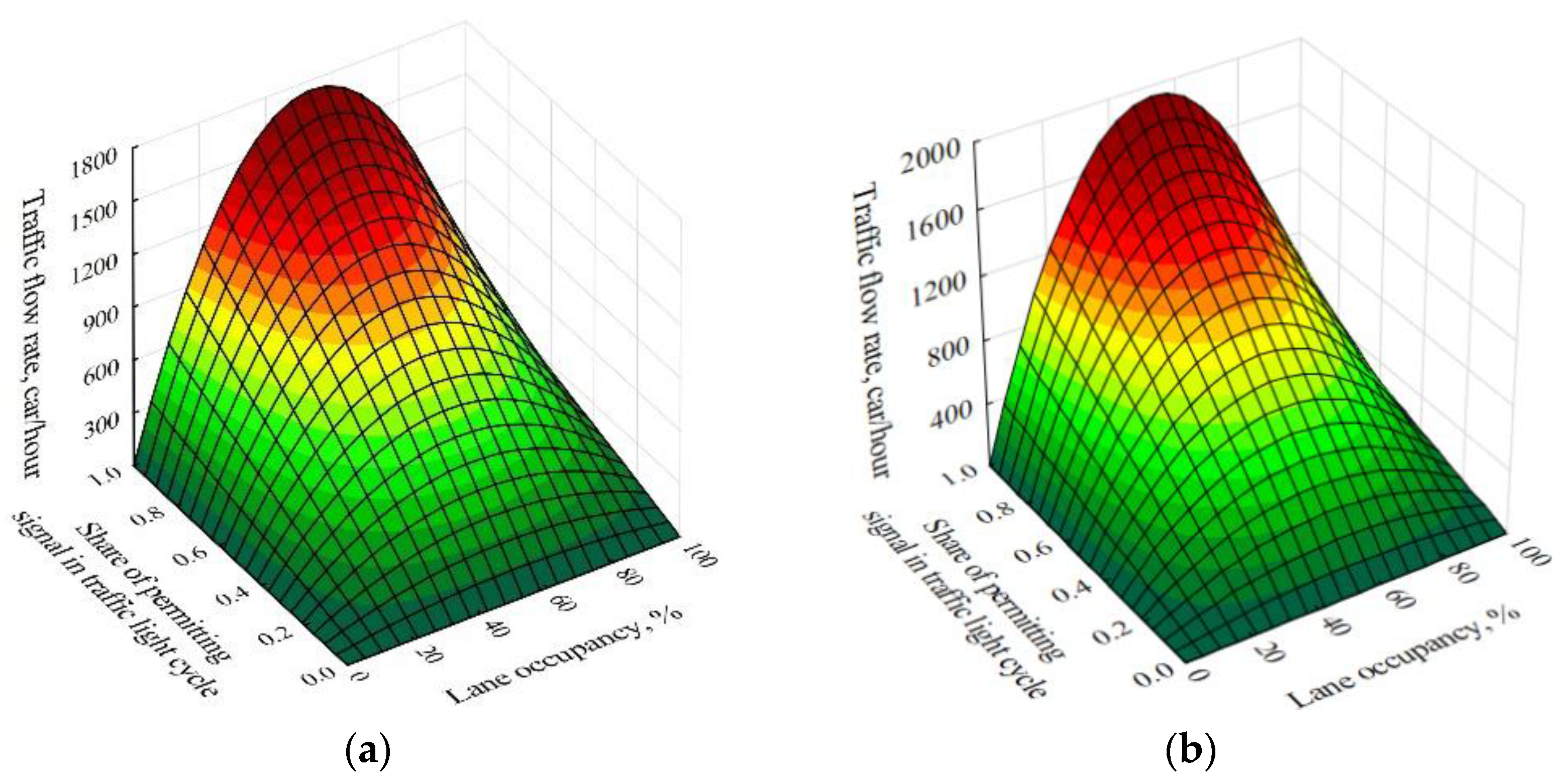
2.1. Influence of Lane Occupancy on Traffic Flow Rate When Moving through Urban Signal-Controlled Intersections
2.2. Main Methodological Stages of Further Research and Their Rationale
- Determining the area of practical application of the mathematical model (1), which describes the process of changing the traffic flow rate under the influence of lane occupancy at urban controlled intersections. First of all, this stage implies general analysis of existing methods for the development of traffic light control cycles. Based on the results of the analysis, an existing method is selected, which can serve as a base for further research.
- The next stage, from the point of view of the authors, should be aimed at improving the basic method, taking into account the mathematical model (1).
- This stage, according to the authors, will consist in determining the sequence of the main stages of the proposed method, taking into account lane occupancy.
- The final stage of this study will be an assessment of the effectiveness of the pro-posed method.
2.3. Determination of the of Practical Application Area of the Research Results
- Collecting the initial data on the existing traffic organization scheme and the geometric characteristics of the intersection, including traffic and pedestrian flow monitoring.
- Analyzing the data obtained, and developing and adjusting the traffic management scheme and the scheme for the traffic priority of vehicles and pedestrians.
- Determining the saturation flow (cars/hour).
- Determining the values of the phase coefficients .
- Determining the duration of the intermediate timings (s).
- Determining the duration of the traffic signal cycle (s).
- Determining the duration of the main timings (s).
- Checking the results obtained in paragraphs 5 and 7 according to compliance with the minimum required time for the movement of pedestrian flows, and adjusting the results obtained, if necessary.
2.3.1. Initial Data Collection
2.3.2. Analysis of the Data Obtained, Adjustment of the Scheme of Traffic Organization and Traffic Priority of Vehicles and Pedestrians
2.3.3. Determination of the Saturation Flow and Phase Coefficients
2.3.4. Determination of the Duration of Intermediate Timings
2.3.5. Determination of the Duration of the Traffic Signal Cycle
2.3.6. Determination of the Duration of the Main Timing of the Traffic Signal Cycle
2.3.7. Verification of Calculations, Taking into Account the Movement of Pedestrian Flows
2.3.8. Evaluation of Signal-Controlled Intersection Efficiency
2.4. Development of a Method for Improving the Efficiency of Traffic Management at Signal-Controlled City Intersections, Taking into Account Lane Occupancy
2.4.1. Adjustment of Phase Coefficients, Taking into Account Lane Occupancy
2.4.2. Determination of Optimal Traffic Signal Cycle Duration, Taking into Account Lane Occupancy
An Additional Problem in Determining the Optimal Duration of the Traffic Signal Cycle and a Method of Solving It
2.4.3. Determination of the Duration of the Main Timings of the Traffic Signal Cycle Phases, Taking into Account Lane Occupancy
3. Results
3.1. Determination of the Main Stages of the Method for Improving the Efficiency of Traffic Management at Signal-Controlled Urban Intersections, Taking into Account Lane Occupancy
- Collecting the initial data:
- 2.
- Determining the minimum allowable duration of the main and intermediate timings and the boundaries of the duration of the traffic signal cycle.
- 3.
- Predicting the maximum possible traffic flow rate at the exit of the signal-controlled intersection.
- 4.
- Determining the efficiency of traffic management at the controlled intersection with an active traffic signal cycle.
- 5.
- Finding reserve adjustments.
- 6.
- Adjusting the traffic signal cycle.
- 7.
- Analyzing the results of the adjustment.
3.2. Evaluation of the Efficiency of the Developed Method
3.2.1. Evaluation of Technological Efficiency
3.2.2. Evaluation of Economic Efficiency
3.2.3. Evaluation of Environmental Efficiency
4. Discussion
5. Conclusions
Author Contributions
Funding
Institutional Review Board Statement
Informed Consent Statement
Acknowledgments
Conflicts of Interest
References
- Vuchic, V.R. Transportation for Livable Cities, 1st ed.; Routledge: New York, NY, USA, 2017; p. 378. [Google Scholar]
- Shepelev, V.; Aliukov, S.; Nikolskaya, K.; Shabiev, S. The capacity of the road network: Data collection and statistical analysis of traffic characteristics. Energies 2020, 13, 1765. [Google Scholar] [CrossRef]
- Morozov, V.; Iarkov, S. Formation of the Traffic Flow Rate under the Influence of Traffic Flow Concentration in Time at Controlled Intersections in Tyumen, Russian Federation. Sustainability 2021, 13, 8324. [Google Scholar] [CrossRef]
- Morozov, V.; Iarkov, S. The application of lane occupancy parameter for solving tasks of traffic management. Transp. Res. Procedia 2018, 36, 520–526. [Google Scholar] [CrossRef]
- Zhankaziev, S. Current trends of road-traffic infrastructure development. Transp. Res. Procedia 2017, 20, 731–739. [Google Scholar] [CrossRef]
- Asensio, Á.; Blanco, T.; Blasco, R.; Marco, Á.; Casas, R. Managing emergency situations in the smart city: The smart signal. Sensors 2015, 15, 14370–14396. [Google Scholar] [CrossRef]
- Cottrill, C.; Derrible, S. Leveraging big data for the development of transport sustainability indicators. J. Urban Technol. 2015, 22, 45–64. [Google Scholar] [CrossRef]
- Errampalli, M.; Chalumuri, R.S.; Nath, R. Development and evaluation of an integrated transportation system: A case study of Delhi. Proc. Inst. Civ. Eng. Transp. 2018, 171, 75–84. [Google Scholar] [CrossRef]
- Karmanov, D.S.; Zakharov, D.A.; Fadyushin, A.A. Evaluation of changes in traffic parameters for various types of traffic signal regulation. Transp. Res. Procedia 2018, 36, 274–280. [Google Scholar] [CrossRef]
- Krivolapova, O. Algorithm for Risk Assessment in the Introduction of Intelligent Transport Systems Facilities. Transp. Res. Procedia 2017, 20, 373–377. [Google Scholar] [CrossRef]
- Moroz, B.I.; Udovyk, I.M.; Shvachych, G.G.; Pasichnik, A.M.; Miroshnichenko, S.V. Intelligent system of traffic light control with dynamic change phases of traffic flows on controlled intersections. Sci. Rev. 2019, 1, 11–17. [Google Scholar] [CrossRef]
- Nguyen, D.D.; Rohács, J.; Rohács, D.; Boros, A. Intelligent Total Transportation Management System for Future Smart Cities. Appl. Sci. 2020, 10, 8933. [Google Scholar] [CrossRef]
- Petrov, A.I.; Kolesov, V.I.; Petrova, D.A. Theory and Practice of Quantitative Assessment of System Harmonicity: Case of Road Safety in Russia before and during the COVID-19 Epidemic. Mathematics 2021, 9, 2812. [Google Scholar] [CrossRef]
- Rodríguez, D.A.; Levine, J.; Agrawal, A.W.; Song, J. Can information promote transportation-friendly location decisions? A simulation experiment. J. Transp. Geogr. 2010, 19, 304–312. [Google Scholar] [CrossRef]
- Shepelev, V.D.; Glushkov, A.I.; Almetova, Z.V.; Mavrin, V.G. A study of the travel time of intersections by vehicles using computer vision. In Proceedings of the 6th International Conference on Vehicle Technology and Intelligent Transport Systems, Online, 2–4 May 2020; pp. 653–658. [Google Scholar]
- Shepelev, V.; Zhankaziev, S.; Aliukov, S.; Varkentin, V.; Marusin, A.; Marusin, A.; Gritsenko, A. Forecasting the Passage Time of the Queue of Highly Automated Vehicles Based on Neural Networks in the Services of Cooperative Intelligent Transport Systems. Mathematics 2022, 10, 282. [Google Scholar] [CrossRef]
- Khazukov, K.; Shepelev, V.; Karpeta, T.; Shabiev, S.; Slobodin, I.; Charbadze, I.; Alferova, I. Real-time monitoring of traffic parameters. J. Big Data 2020, 7, 84. [Google Scholar] [CrossRef]
- Winter, H.; Serra, J.; Nesmachnow, S.; Tchernykh, A.; Shepelev, V. Computational intelligence for analysis of traffic data. In Proceedings of the Communications in Computer and Information Science, Online, 9–11 November 2020; Volume 1359, pp. 167–182. [Google Scholar] [CrossRef]
- National Academies of Sciences, Engineering, and Medicine. Highway Capacity Manual: A Guide for Multimodal Mobility Analysis, 7th ed.; The National Academies Press: Washington, DC, USA, 2022. [Google Scholar]
- Gordon, R.L.; Tighe, W. Traffic Control Systems Handbook; U.S. Department of Transportation, Federal Highway Administration: Washington, DC, USA, 2005. [Google Scholar]
- Gerlough, D.L.; Huber, J.H. Traffic Flow Theory: A Monograph; Transportation Research Board National Research Council: Washington, DC, USA, 1975. [Google Scholar]
- Larin, O.N.; Dosenko, V.A. Use of a Phase Transition Concept for Traffic Flow Condition Estimation. Transp. Telecommun. 2014, 15, 315–321. [Google Scholar] [CrossRef][Green Version]
- Athol, P. Interdependence of Certain Operational Characteristics Within a Moving Traffic Stream. Highw. Res. Rec. 1965, 72, 58–87. [Google Scholar]
- Banks, J.H. Freeway Speed-Flow-Concentration Relationships: More Evidence and Interpretations. Transp. Res. 1989, 1225, 53–60. [Google Scholar]
- Hall, F.L.; Gunter, M.A. Further Analysis of the Flow-Concentration Relationship. Transp. Res. 1986, 1901, 1–9. [Google Scholar]
- Hall, F.L.; Hurdle, V.F.; Banks, J.H. Synthesis of recent work on the nature of speed-flow and flow-occupancy (or density) relationships on freeways. Transp. Res. 1992, 1365, 12–18. [Google Scholar]
- Hurdle, V.F.; Datta, P.K. Speeds and Flows on an Urban Freeway: Some Measurements and a Hypothesis. Transp. Res. 1983, 905, 127–137. [Google Scholar]
- Hurdle, V.F.; Merlo, M.I.; Robertson, D. Study of speed-flow relationships on individual freeway lanes. Transp. Res. 1997, 1591, 7–13. [Google Scholar] [CrossRef]
- Pushkar, A.; Hall, F.L.; Acha-Daza, J.A. Estimation of Speeds from Single-Loop Freeway Flow and Occupancy Data Using the Cusp Catastrophe Theory Model. Transp. Res. 1994, 1457, 149–157. [Google Scholar]
- Araghi, S.; Khosravi, A.; Johnstone, M.; Creighton, D. Intelligent Traffic Light Control of Isolated Intersections Using Machine Learning Methods. In Proceedings of the 2013 IEEE International Conference on Systems, Man, and Cybernetics, Manchester, UK, 13–16 October 2013; pp. 3621–3626. [Google Scholar] [CrossRef]
- Tresler, F. A proposed model of extended coordination for the traffic light control at intersections. Commun. Comput. Inf. Sci. 2012, 329, 240–248. [Google Scholar] [CrossRef]
- Gunes, F.; Bayrakli, S.; Zaim, A.H. Smart Cities and Data Analytics for Intelligent Transportation Systems: An Analytical Model for Scheduling Phases and Traffic Lights at Signalized Intersections. Appl. Sci. 2021, 11, 6816. [Google Scholar] [CrossRef]
- Harahap, E.; Darmawan, D.; Fajar, Y.; Rachmiatie, A. Modeling and simulation of queue waiting time at traffic light intersection. J. Phys. Conf. Ser. 2019, 1188, 012001. [Google Scholar] [CrossRef]
- Leverents, E.; Andronov, R.; Anufrieva, T. Simulation of queue length and vehicle delays on signal-controlled intersection. MATEC Web Conf. 2018, 170, 05010. [Google Scholar] [CrossRef][Green Version]
- Li, X.; Khattak, A.J.; Kohls, A.G. Signal phase timing impact on traffic delay and queue length-a intersection case study. In Proceedings of the Winter Simulation Conference (WSC), Washington, DC, USA, 11–14 December 2016; pp. 3722–3723. [Google Scholar] [CrossRef]
- Adak, M.F.; Balta, M. Fuzzy Logic-based Adaptive Traffic Light Control of an Intersection: A Case Study. In Proceedings of the 5th International Symposium on Multidisciplinary Studies and Innovative Technologies (ISMSIT), Ankara, Turkey, 21–23 October 2021; pp. 394–398. [Google Scholar] [CrossRef]
- Talab, H.S.; Mohammadkhani, H. Design Optimization Traffic Light Timing Using the Fuzzy Logic at a Diphasic’s Isolated Intersection. J. Intell. Fuzzy Syst. 2014, 27, 1609–1620. [Google Scholar] [CrossRef]
- Yusuf, A.M.H.; Yusuf, R. Adaptive Traffic Light Controller Simulation for Traffic Management. In Proceedings of the 6th International Conference on Interactive Digital Media (ICIDM), Bandung, Indonesia, 14–15 December 2020; pp. 1–5. [Google Scholar] [CrossRef]
- Yang, Z.; Peng, J.; Wu, L.; Ma, C.; Zou, C.; Wei, N.; Zhang, Y.; Liu, Y.; Andre, M.; Li, D.; et al. Speed-guided intelligent transportation system helps achieve low-carbon and green traffic: Evidence from real-world measurements. J. Clean. Prod. 2020, 268, 122230. [Google Scholar] [CrossRef]
- Alrawi, F. The importance of intelligent transport systems in the preservation of the environment and reduction of harmful gases. Transp. Res. Procedia 2017, 24, 197–203. [Google Scholar] [CrossRef]
- Branston, D. Some factors affecting the capacity of signalized intersection. Traffic Eng. Control 1979, 20, 390–396. [Google Scholar]
- Gorodokin, V.; Almetova, Z.; Shepelev, V. Procedure for calculating on-time duration of the main cycle of a set of coordinated traffic lights. Pap. Present. Transp. Res. Procedia 2017, 20, 231–235. [Google Scholar] [CrossRef]
- Glushkov, A.; Shepelev, V. Development of reliable models of signal-controlled intersections. Transp. Telecommun. 2021, 22, 417–424. [Google Scholar] [CrossRef]
- Webster, F.V.; Cobbe, B.M. Traffic Signals; Road Research Technical Paper N56; HMSQ: London, UK, 1966. [Google Scholar]
- Video observation: Online broadcast. Available online: https://stream.is74.ru (accessed on 8 February 2022).
- Fedorov, A.; Nikolskaia, K.; Ivanov, S.; Shepelev, V.; Minbaleev, A. Traffic Flow Estimation with Data from a Video Surveillance Camera. J. Big Data 2019, 6, 73. [Google Scholar] [CrossRef]
- Tyumen City Transport. Available online: https://tgt72.ru/ (accessed on 8 February 2021). (In Russian).
- Keilson, J. Introduction to the Theory of Queues. Technometrics 1963, 5, 286. [Google Scholar] [CrossRef]
- Krishnamoorthy, A.; Joshua, A.N.; Vishnevsky, V. Analysis of a k-Stage Bulk Service Queuing System with Accessible Batches for Service. Mathematics 2021, 9, 559. [Google Scholar] [CrossRef]
- Ma, F.-Q.; Fan, R.-N. Queuing Theory of Improved Practical Byzantine Fault Tolerant Consensus. Mathematics 2022, 10, 182. [Google Scholar] [CrossRef]
- Minkevičius, S.; Katin, I.; Katina, J.; Vinogradova-Zinkevič, I. On Little’s Formula in Multiphase Queues. Mathematics 2021, 9, 2282. [Google Scholar] [CrossRef]
- Tsitsiashvili, G. Construction and Analysis of Queuing and Reliability Models Using Random Graphs. Mathematics 2021, 9, 2511. [Google Scholar] [CrossRef]
- Hubbard, J.H.; Hubbard, B.B. Vector Calculus, Linear Algebra, and Differential Forms: A Unified Approach, 6th ed.; Matrix Editions: Ithaca, NY, USA, 2015; p. 818. [Google Scholar]
- Sturges, H. The choice of a class-interval. J. Am. Stat. Assoc. 1926, 21, 65–66. [Google Scholar] [CrossRef]
- Bhattacharya, G.K.; Johnson, R.A. Statistical Concepts and Methods; John Wiley & Sons: New York, NY, USA, 1977; p. 639. [Google Scholar]
- Federal State Statistics Service. Available online: https://eng.rosstat.gov.ru (accessed on 17 December 2021).
- Boulter, P.G.; Latham, S. Emissions Factors 2009: Report 5—A Review of the Effects of Fuel Properties on Road Vehicle Emissions; RL Report PPR358; TRL Limited: Wokingham, UK, 2009. [Google Scholar]
- Chainikov, D.; Chikishev, E.; Anisimov, I.; Gavaev, A. Influence of Ambient Temperature on the CO2 Emitted with Exhaust Gases of Gasoline Vehicles. In Proceedings of the VII International Scientific Practical Conference “Innovative Technologies in Engineering”, Yurga, Russia, 19–21 May 2016; Volume 142, p. 12109. [Google Scholar] [CrossRef]
- Magaril, E. Increasing the efficiency and environmental safety of vehicle operation through improvement of fuel quality. Int. J. Sustain. Dev. Plan. 2015, 10, 880–893. [Google Scholar] [CrossRef]
- Magaril, E.; Magaril, R.; Abrzhina, L. Environmental Assessment of the Measures Increasing the Sustainability of Motor Transport. IOP Conf. Ser. Earth Environ. Sci. 2017, 72, 012003. [Google Scholar] [CrossRef]
- Magaril, E.; Abrzhina, L.; Belyaeva, M. Environmental damage from the combustion of fuels: Challenges and methods of economic assessment. WIT Trans. Ecol. Environ. 2014, 190, 1105–1115. [Google Scholar] [CrossRef]
- Parsaev, E.V.; Malyugin, P.N.; Teterina, I.A. Methodology for the calculation of emissions for non-stationary transport flow. Russ. Automob. Highw. Ind. J. 2018, 15, 686–697. (In Russian) [Google Scholar] [CrossRef]
- Schiavon, M.; Redivo, M.; Antonacci, G.; Rada, E.C.; Ragazzi, M.; Zardi, D.; Giovannini, L. Assessing the air quality impact of nitrogen oxide and benzene from road traffic and domestic heating and the associated cancer risk in an urban area of Verona (Italy). Atmos. Environ. 2015, 120, 234–243. [Google Scholar] [CrossRef]
- Stroe, C.-C.; Panaitescu, V.N.; Ragazzi, M.; Rada, E.C.; Ionescu, G. Some considerations on the environmental impact of highway traffic. Rev. Chim. 2014, 65, 152–155. [Google Scholar]
- Zakharov, D.; Magaril, E.; Rada, E.C. Sustainability of the Urban Transport System under Changes in Weather and Road Conditions Affecting Vehicle Operation. Sustainability 2018, 10, 2052. [Google Scholar] [CrossRef]
- Ertman, S.; Ertman, J.; Zakharov, D. Adaptation of urban roads to changing of transport demand. E3S Web Conf. 2016, 6, 01013. [Google Scholar] [CrossRef]










| Method | Positive Results |
|---|---|
| Neural network model for controlling traffic signal lights [30] | To reduce average delay time |
| Model of the dynamic sequence of phases [31] | To decrease the average number vehicles waiting in queues (by approximately 21%) |
| A waiting time model for vehicles [33] | To avoid queues that are too long and uneven or unfair at all lanes of the intersection |
| Fuzzy logic model [36] | To decrease the average waiting time of vehicles To decrease average queue length |
| Traffic-actuated optimization signal fuzzy control [37] | To reduce queue length To reduce the overall delay time of vehicles |
| Agent-based modeling system [38] | To reduce waiting time To reduce the number of vehicles stopping at an intersection To increase vehicles’ speed |
| Speed-guided intelligent transportation system [39] | To reduce the total vehicle-related exhaust emissions of nitrogen oxide, carbon monoxide, total hydrocarbons and particulate matter To alleviate urban traffic congestion |
| Traffic Direction | Model Parameters | Saturation Flow MH, cars/Hour | Optimal θ, % | Correlation Coefficient R | Student’s t-Test | Determination Coefficient R2 | Average Approximation Error, % | Fisher’s Variance Ratio F | |
|---|---|---|---|---|---|---|---|---|---|
| a, 1/% | b, 1/% | ||||||||
| Left-turn | 342 × 10−6 | 370 × 10−4 | 1760 | 62 | 0.90 | 12.5 | 0.82 | 8.92 | 2.02 |
| Forward | 360 × 10−6 | 383 × 10−4 | 1906 | 48 | 0.86 | 9.68 | 0.74 | 11.83 | 1.71 |
| Right-turn | 334 × 10−6 | 364 × 10−4 | 1695 | 68 | 0.82 | 7.94 | 0.69 | 11.97 | 1.66 |
| Time | Total Average Delay (h) | Economic Losses due to Fuel Consumption (USD) | Pollutant Emissions (kg) | ||||||
|---|---|---|---|---|---|---|---|---|---|
| Before | After | Δ | Before | After | Δ | Before | After | Δ | |
| 7:00 | 26.74 | 14.86 | 11.88 | 15.23 | 8.47 | 6.77 | 1.99 | 1.10 | 0.88 |
| 10:00 | 52.01 | 39.89 | 12.11 | 29.62 | 22.72 | 6.90 | 3.86 | 2.96 | 0.90 |
| 13:00 | 86.50 | 58.42 | 28.08 | 49.27 | 33.28 | 15.99 | 6.43 | 4.34 | 2.09 |
| 16:00 | 69.32 | 40.34 | 28.98 | 39.48 | 22.98 | 16.51 | 5.15 | 3.00 | 2.15 |
Publisher’s Note: MDPI stays neutral with regard to jurisdictional claims in published maps and institutional affiliations. |
© 2022 by the authors. Licensee MDPI, Basel, Switzerland. This article is an open access article distributed under the terms and conditions of the Creative Commons Attribution (CC BY) license (https://creativecommons.org/licenses/by/4.0/).
Share and Cite
Morozov, V.; Shepelev, V.; Kostyrchenko, V. Modeling the Operation of Signal-Controlled Intersections with Different Lane Occupancy. Mathematics 2022, 10, 4829. https://doi.org/10.3390/math10244829
Morozov V, Shepelev V, Kostyrchenko V. Modeling the Operation of Signal-Controlled Intersections with Different Lane Occupancy. Mathematics. 2022; 10(24):4829. https://doi.org/10.3390/math10244829
Chicago/Turabian StyleMorozov, Viacheslav, Vladimir Shepelev, and Viktor Kostyrchenko. 2022. "Modeling the Operation of Signal-Controlled Intersections with Different Lane Occupancy" Mathematics 10, no. 24: 4829. https://doi.org/10.3390/math10244829
APA StyleMorozov, V., Shepelev, V., & Kostyrchenko, V. (2022). Modeling the Operation of Signal-Controlled Intersections with Different Lane Occupancy. Mathematics, 10(24), 4829. https://doi.org/10.3390/math10244829

