Applications of a Group Theoretical Method on Biomagnetic Fluid Flow and Heat Transfer for Different Shapes of Fe3O4 Magnetic Particles under the Influence of Thermal Radiation and a Magnetic Dipole over a Cylinder
Abstract
1. Introduction
2. Mathematical and Physical Formulation
3. The Group of Transformations
3.1. The Group Systematic Formulation
3.2. The Invariance Analysis
3.3. The Complete Set of Absolute Invariants
4. Derivation of Distinct Complete Sets
4.1. First Case: None of the Coefficients in (45) Vanish Identically
4.2. Second Case: Two of the Coefficients in (45) Vanish Identically
4.3. Third Case: Only One of the Coefficients in (45) Vanishes Identically
5. The Reduction to Ordinary Differential Equations
6. The Numerical Procedure
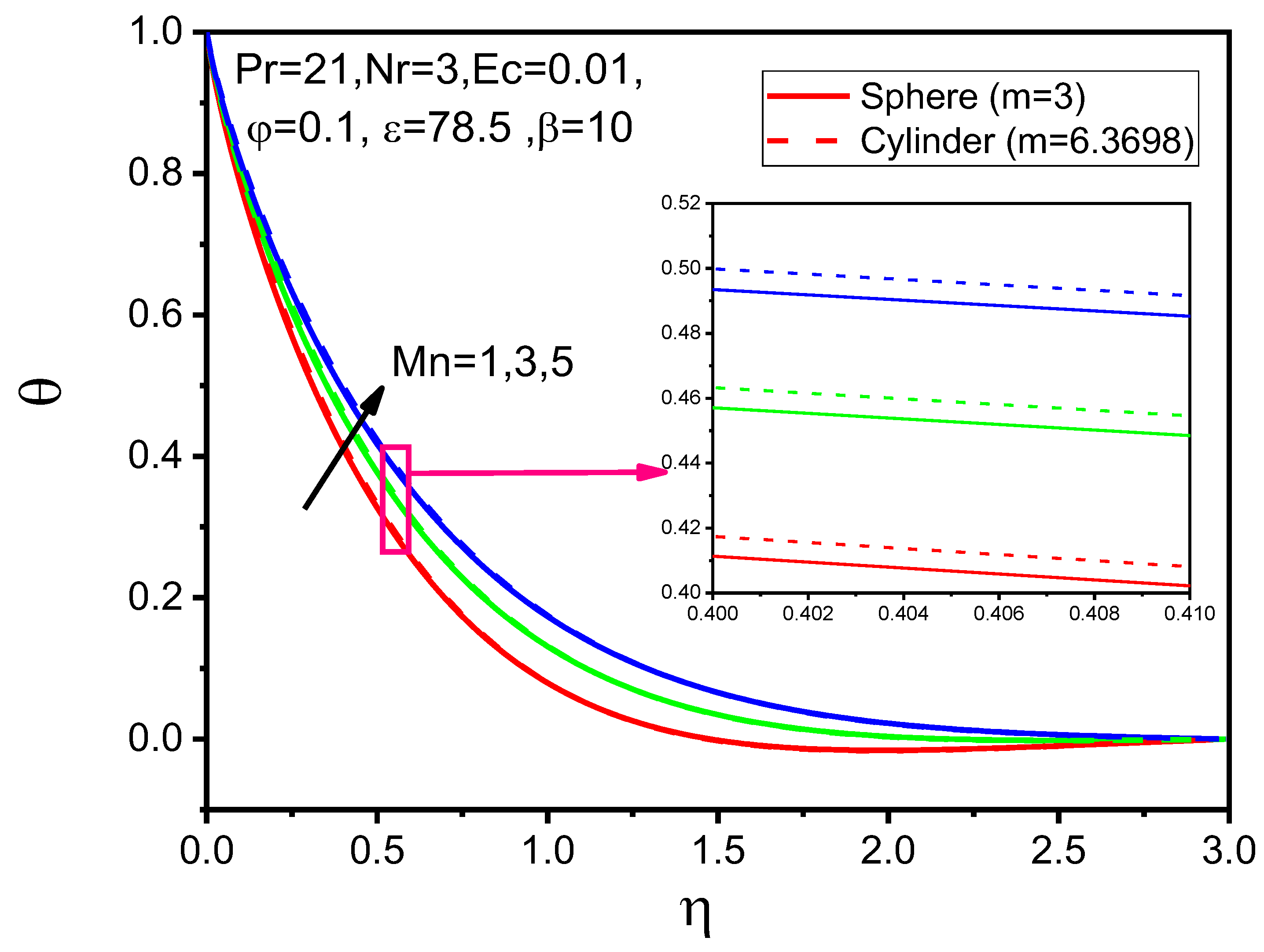
7. Results and Discussion
- (i)
- (ii)
- (iii)
- (iv)
- The radiation parameter as in [57];
- (v)
- The Eckert number as in [58];
- (vi)
- The volume fraction as in [49].
8. Concluding Remarks
- The blood velocity is appreciably reduced, and temperature is significantly improved when magnetic particles are injected into a blood flow stream compared to that of pure blood, where the ferromagnetic interaction parameter plays a significant role.
- The particle shape plays a vital role in the flow and heat characteristics of blood-Fe3O4, where a better temperature enhancement is observed for cylindrical shapes compared to that of spherical shapes.
- An increase in the values of the magnetic field parameter and/or the volume of the fraction of the magnetic particles reduced the fluid velocity, whereas for the increment of the ferromagnetic interaction parameter, the fluid velocity was enhanced.
- The temperature distributions of the fluids increased for all cases of the variation of parameters such as the ferromagnetic interaction parameter, the magnetic field parameter, and the magnetic particle volume fraction.
- Both velocity and temperature profiles are increased as the values of the radiation parameter are enhanced, whereas the reverse trend is observed as the Eckert number is increased.
- Both the skin friction coefficient and the rate of heat transfer are escalated with increasing values of the ferromagnetic interaction parameter. The heat transfer rate of blood-Fe3O4 is enhanced by approximately 33.2% compared to that of pure blood and the coefficient of skin friction is reduced by approximately 6.82%.
- Both the coefficient of skin friction and the rate of heat transfer decrease with increasing values of the particle volume fraction. It was found that the skin friction coefficient is increased by approximately 1.09% for cylindrical shapes compared to that spherical shapes, while an 0.08% reduction is noticed for cylindrical shapes in the heat transfer rate compared to spherical shapes.
Author Contributions
Funding
Conflicts of Interest
List of Symbols
| Velocity components [m/s] | Magnetic field strength [A/m] | ||
| Components of the cartesian system[m] | Arbitrary function of two-parameter group | ||
| Radius of the cylinder [m] | |||
| Distance between the magnetic dipole and sheet [m] | A,B,C | Arbitrary constants | |
| Characteristic length [m] | Fluid temperature [K] | ||
| Reference magnetic field strength | Temperature of the cylinder surface [K] | ||
| Time [s] | Curie temperature [K] | ||
| Specific heat at constant pressure [J Kg−1 K−1] | Magnetic field parameter | ||
| Dimensionless velocity component | Pyromagnetic coefficient [K−1] | ||
| Strength of the magnetic field at the source position | Eckert number | ||
| Prandtl number | Local Nusselt number | ||
| Arbitrary constants | Skin friction coefficient | ||
| Radiative heat flux | Magnetic induction | ||
| wall heat transfer parameter | Scalar potential of the magnetic dipole | ||
| Dimensionless magnetic particle volume fraction | Stream function | ||
| Dimensionless similarity variable | Fluid density [Kg/m3] | ||
| Dimensionless temperature | Dynamic viscosity [Kg/ms] | ||
| Magnetic fluid permeability [NA−2] | Kinematical viscosity [m2/s] | ||
| Convergence criteria | Dimensionless Curie temperature | ||
| Ferromagnetic interaction parameter | Thermal conductivity [J/m s K] | ||
| Magnetization | Thermal radiation parameter | ||
| Wall shear stress | Magnetic particle’s shape factor | ||
| Stefan–Boltzmann constant | Electrical conductivity | ||
| Mean absorption coefficient | Arbitrary coefficient | ||
| Magnetic fluid | Base fluid | ||
| Magnetic particles | Differentiation with respect to | ||
| Dimensional quantities | Kinematic viscosity of the fluid |
Abbreviations
| BFD | Biomagnetic fluid dynamics |
| FHD | Ferrohydrodynamics |
| MHD | Magnetohydrodynamic |
| MRI | Magnetic resonance imaging |
| PDEs | Partial differential equations |
| ODEs | Ordinary differential equations |
References
- Stark, D.D.; Weissleder, R.; Elizondo, G.; Hahn, P.F.; Saini, S.; Todd, L.E.; Wittenberg, J.; Ferrucci, J.T. Superparamagnetic iron oxide: Clinical application as a contrast for MR imaging of the liver. Radiology 1988, 168, 297–301. [Google Scholar] [CrossRef]
- Rugge, E.K.; Rusetski, A.N. Magnetic fluids as drug carries: Targeted transport of drugs by a magnetic field. J. Magn. Magn. Mater. 1993, 122, 335–339. [Google Scholar] [CrossRef]
- Fiorentini, G.; Szasz, S. Hyperthermia today: Electric energy, a new opportunity in cancer treatment. J. Cancer Res. Ther. 2006, 2, 41–46. [Google Scholar] [CrossRef]
- Misra, J.C.; Sinha, A.; Shit, G.C. Flow of a biomagnetic viscoelastic fluid: Application to estimation of blood flow in arteries during electromagnetic hyperthermia, a therapeutic procedure for cancer treatment. Appl. Math. Mech.-Engl. Ed. 2010, 31, 1405–1420. [Google Scholar] [CrossRef]
- Chien, S.; Usami, S.; Skalsk, R. Blood flow in small tubes. In American Physiological Society Handbook of Physiology; Section 2, The Cardivascular System, 4; Renkins, E.M., Michel, C.C., Eds.; American Physiological Society: Bethesda, MD, USA, 1984; pp. 217–249. [Google Scholar]
- Bhatti, M.M.; Abbas, M.A. Simultaneously effects of slip and MHD on peristaltic blood flow of Jeffrey fluid model through a porous medium. Alex. Eng. J. 2016, 55, 1017–1023. [Google Scholar] [CrossRef]
- Haik, Y.; Chen, J.C.; Pai, V.M. Development of bio-magnetic fluid dynamics. In Proceedings of the IX International Symposium on Transport Properties in Thermal Fluids Engineering, Singapore; Winoto, S.H., Chew, Y.T., Wijeysundera, N.E., Eds.; Pacific Center of Thermal Fluid Engineering: Hawaii, HI, USA, 1996; pp. 121–126. [Google Scholar]
- Tzirtzilakis, E.E. A mathematical model for blood flow in magnetic field. Phys. Fluids 2005, 17, 077103. [Google Scholar] [CrossRef]
- BSharma, K.; Kumawat, C. Impact of temperature dependent viscosity and thermal conductivity on MHD blood flow through a stretching surface with ohmic effect and chemical reaction. Nonlinear Eng. 2021, 10, 255–271. [Google Scholar] [CrossRef]
- Misra, J.C.; Shit, G.C. Biomagnetic viscoelastic fluid over a stretching sheet. Appl. Math. Comput. 2009, 210, 350–361. [Google Scholar] [CrossRef]
- Koppu, S.; Pol, B.A.R.; Bhuvanagiri, S.R.V.P. Effects of chemical reaction and thermal radiation on MHD flow over an inclined permeable stretching surface with non-uniform heat source/sink: An application to the dynamics of blood flow. J. Mech. Med. Biol. 2014, 14, 1450067. [Google Scholar]
- Murtaza, M.G.; Tzirtzilakis, E.E.; Ferdows, M. A duality of biomagnetic fluid flow and heat transfer over a quadratic stretched surface. J. Power Technol. 2021, 101, 154–162. [Google Scholar]
- Murtaza, M.G.; Tzirtzilakis, E.E.; Ferdows, M. Effect of electrical conductivity and magnetization on the biomagnetic fluid flow over a stretching sheet. Z. Angew. Math. Phys. 2017, 68, 93. [Google Scholar] [CrossRef]
- Choi, S.U.S.; Eastman, J.A. Enhancing thermal conductivity of fluids with nanoparticles. In Developments and Applications of Non-Newtonian Flows; Siginer, D.A., Wang, H.P., Eds.; ASME: New York, NY, USA, 1995; Volume 66, pp. 99–105. [Google Scholar]
- Alsenafi, A.; Ferdows, M. Dual solution for double-diffusive mixed convection opposing flow through a vertical cylinder saturated in a Darcy porous media containing gyrotactic microorganisms. Sci. Rep. 2021, 11, 19918. [Google Scholar] [CrossRef]
- Nikelham, A.; Enjilela, V.; Vaziri, N.; Moziraji, Z.P. The effects of magnetic-field direction and magnitude on forced convection of aluminum oxide–water nanofluid over a circular cylinder. Int. J. Therm. Sci. 2022, 173, 107398. [Google Scholar] [CrossRef]
- Aminian, E.; Moghadasi, H.; Saffari, H. Magnetic field effects on forced convection flow of a hybrid nanofluid in a cylinder filled with porous media: A numerical study. J. Therm. Anal Calorim. 2020, 141, 2019–2031. [Google Scholar] [CrossRef]
- Tlili, I.; Khan, W.A.; Ramadan, K. MHD flow of nanofluid flow across horizontal circular cylinder: Steady forced convection. J. Nanofl. 2019, 8, 179–186. [Google Scholar] [CrossRef]
- Elbashbeshy, E.M.A.; Emam, T.G.; El-Azab, M.S.; Abdelgaber, K.M. Effect of magnetic field on flow and heat transfer over a stretching horizontal cylinder in the presence of a heat source/sink with suction/injection. J. Appl. Mech. Eng. 2012, 1, 1–5. [Google Scholar] [CrossRef]
- Roy, N.; Akter, A. Heat transfer enhancement and boundary layer separations for a hybrid nanofluid flow past an isothermal cylinder. J. Appl. Comput. Mech. 2021, 7, 2096–2112. [Google Scholar]
- Ali, L.; Ali, B.; Ghori, M.B. Melting effect on Cattaneo--Christov and thermal radiation features for aligned MHD nanofluid flow comprising microorganisms to the leading edge: FEM approach. Comput. Math. Appl. 2022, 109, 260–269. [Google Scholar] [CrossRef]
- Kumar, P.; Poonia, H.; Ali, L.; Areekara, S. The numerical simulation of nanoparticle size and thermal radiation with the magnetic field effect based on tangent hyperbolic nanofluid flow. Case Stud. Therm. Eng. 2022, 37, 102247. [Google Scholar] [CrossRef]
- Dawar, A.; Saeed, A.; Kumam, P. Magneto-hydrothermal analysis of copper and copper oxide nanoparticles between two parallel plates with Brownian motion and thermophoresis effects. Int. Commun. Heat Mass Transf. 2022, 133, 105982. [Google Scholar] [CrossRef]
- Bilal, M.; El Ahmed, A.; El-Nabulsi, R.A.; Ahammad, N.A.; Alharbi, K.A.M.; Elkotb, M.A.; Anukool, W.; Zedan, A.S.A. Numerical analysis of an unsteady, Electroviscous, Tenary Hybrid nanofluid flow with chemical reaction and activation energy across. Micromachines 2022, 13, 874. [Google Scholar] [CrossRef] [PubMed]
- Souayeh, B.; Ramesh, K.; Hdhiri, N.; Yasmin, E.; Alam, M.W.; Alfares, K.; Yasmin, A. Heat transfer attributes of Gold-Silver-Blood hybrid nanomaterial flow in an EMHD peristaltic channel with activation energy. Nanomaterials 2022, 12, 1615. [Google Scholar] [CrossRef]
- Alwawi, F.A.; Swalmeh, M.Z.; Sulaiman, I.M.; Yaseen, N.; Alkasasbeh, H.T.; Al-Soub, T.F. Numerical investigation of heat transfer characteristics for blood/water-based nanofluids in free convection about a circular cylinder. J. Mech. Eng. Sci. 2022, 16, 8931–8942. [Google Scholar] [CrossRef]
- Alam, J.; Murtaza, M.G.; Tzirtzilakis, E.E.; Ferdows, M. Group Method analysis for Blood-Mn-ZnFe2O4 flow and heat transfer under ferrohydrodynamics through a stretched cylinder. Math. Methods Appl. Sci. 2022, 1–21. [Google Scholar] [CrossRef]
- Shinkaj, M.; Ito, A. Functional magnetic particles for medical application. Adv. Biochem. Engin./Biotechnol. 2004, 91, 191–220. [Google Scholar]
- Stueber, D.D.; Vilanova, J.; Aponte, I.; Xiao, Z.; Colvin, V.L. Magnetic nanoparticles in Biology and Medicine: Past, present and future trends. Pharmaceutics 2021, 13, 943. [Google Scholar] [CrossRef] [PubMed]
- Ramanujan, V. Magnetic particles for biomedical applications. In Biomedical Materials; Narayan, R., Ed.; Sringer: Boston, MA, USA, 2009. [Google Scholar]
- Baki, A.; Weikhorst, F.; Bleul, R. Advances in magnetic nanoparticles engineering for biomedical applications—A Review. Bioengineering 2021, 8, 134. [Google Scholar] [CrossRef] [PubMed]
- Morgan, A.J.A. The reduction by one of the number of independent variables in systems of partial differential equations. Quart. J. Math. Oxford Ser. 1952, 3, 250–259. [Google Scholar] [CrossRef]
- El-Kabeir, S.M.M.; El-Hakiem, M.A.; Rashad, A.M. Group method analysis for the effect of radiation on MHD coupled heat and mass transfer natural convection flow water vapor over a vertical cone through porous medium. Int. J. Appl. Math Mech. 2007, 3, 35–53. [Google Scholar]
- Abd-el-Malek, M.B.; Badran, N.B. Group method analysis of unsteady free convective laminar boundary layer flow on a nonisothermal vertical circular cylinder. Acta Mech. 1990, 85, 193–206. [Google Scholar] [CrossRef]
- Ibrahim, F.S.; Hamad, M.A.A. Group method analysis of mixed convection boundary-layer flow of a micropolar fluid near a stagnation point on a horizontal cylinder. Acta Mech. 2006, 181, 65–81. [Google Scholar] [CrossRef]
- Rajput, G.R.; Krishnaprasad, J.S.V.R.; Timol, M.G. Group theoretic technique for MHD forced convection laminar boundary flow of nanofluid over a moving surface. Int. J. Heat Tech. 2016, 34, 1–6. [Google Scholar] [CrossRef]
- Abd-el-Malek, M.B.; Badran, N.A. Group method analysis of steady free-convective laminar boundary-layer flow on a nonisothermal vertical circular cylinder. J. Comput. Appl. Math. 1991, 36, 227–238. [Google Scholar] [CrossRef]
- Tzirtzilakis, E.E.; Kafoussias, N.G. Three-dimensional magnetic fluid boundary layer flow over a linearly stretching sheet. J. Heat Transf. 2010, 132, 011702. [Google Scholar] [CrossRef]
- Tzirtzilakis, E.E.; Kafoussias, N.G. Biomagnetic fluid flow over a stretching sheet with non linear temperature dependent magnetization. Z. Angew. Math. Phys. 2003, 54, 551–565. [Google Scholar]
- Tzirtzilakis, E.E.; Tanoudis, G.B. Numerical study of biomagnetic fluid flow over a stretching sheet with heat transfer. Internat. J. Numer. Methods Heat Fluid Flow 2003, 13, 830–848. [Google Scholar] [CrossRef]
- Raptis, A. Flow of a micropolar fluid past a continuously moving plate by the presence of radiation. Int. J. Heat Mass Tran. 1998, 41, 2865–2866. [Google Scholar] [CrossRef]
- Raptis, A. Radiation and free convection flow through a porous medium. Int. Commun. Heat Mass Tran. 1998, 25, 289–295. [Google Scholar] [CrossRef]
- Andersson, H.I.; Valnes, O.A. Flow of a heated ferrofluid over a stretching sheet in the presence of a magnetic dipole. Acta Mech. 1998, 128, 39–47. [Google Scholar] [CrossRef]
- Nadeem, S.; Ullah, N.; Khan, A.U.; Akbar, T. Effect of homogeneous-heterogeneous reactions on ferrofluid in the presence of magnetic dipole along a stretching cylinder. Results Phys. 2017, 7, 3574–3582. [Google Scholar] [CrossRef]
- Matsuki, H.; Yamasawa, K.; Murakami, K. Experimental consideration on a new automatic cooling device using temperature sensitive magnetic fluid. IEEE Trans. Magn. 1997, 13, 1143–1145. [Google Scholar] [CrossRef]
- Makinde, O.D. Stagnation point flow with heat transfer and temporal stability of ferrofluid past a permeable stretching/shrinking. Defect Diffus. Forum 2018, 387, 510–522. [Google Scholar] [CrossRef]
- Lin, Y.; Zheng, L.; Chen, G. Unsteady flow and heat transfer of pseudo-plastic nano liquid in a finite thin film on a stretching surface with variable thermal conductivity and viscous dissipation. Powder Technol. 2015, 274, 324–332. [Google Scholar] [CrossRef]
- Kandasamy, R.; Adnan, N.A.-b; Mohammad, R. Nanoparticles shape effects on squeezed MHD flow of water based on Cu, Al2O3 and SWCNTs over a porous sensor surface. Alex. Eng. J. 2018, 57, 1433–1445. [Google Scholar] [CrossRef]
- Alam, J.; Murtaza, G.; Tzirtzilakis, E.E.; Ferdows, M. Biomagnetic fluid flow and heat transfer study of blood with gold nanoparticles over a stretching sheet in the presence of magnetic dipole. Fluids 2021, 6, 113. [Google Scholar] [CrossRef]
- Aziz, A.; Jamshed, W.; Ali, Y.; Shams, M. Heat transfer and entropy analysis of Maxwell hybrid nanofluid including effects of an inclined magnetic field, Joule heating and thermal radiation. Discrete Contin. Dyn. Syst. Ser. S 2020, 13, 2667–2690. [Google Scholar] [CrossRef]
- Reddy, S.R.R.; Reddy, P.B.A. Bio-mathematical analysis for the stagnation point flow over a non-linear stretching surface with the second order velocity slip and titanium alloy nanoparticle. Front. Heat Mass Tran. 2018, 10, 13. [Google Scholar]
- Hassanien, I.A.; Salama, A.A.; Hosham, H.I. Group theoretic method analysis for unsteady boundary layer flow near a stagnation point. Taiwanese J. Math. 2005, 9, 639–660. [Google Scholar] [CrossRef]
- Abd-el-Malek, M.B.; Boutros, Y.Z.; Badran, N.A. Group method analysis of unsteady free-convective laminar boundary-layer flow on a nonisothermal vertical flat plate. J. Engrg. Math. 1990, 24, 343–368. [Google Scholar] [CrossRef]
- Moran, M.J.; Gaggioli, R.A. A new systematic formalism for similarity analysis with application to boundary layer flows. U.S. Army Math. Res. Center Tech. Summ. 1968, 75, AD0681404. [Google Scholar]
- Moran, M.J.; Gaggioli, R.A. A new systematic formalism for similarity analysis. J. Engrg. Math. 1969, 3, 151–162. [Google Scholar] [CrossRef]
- Kafoussias, N.G.; Williams, E.W. An improved approximation technique to obtain numerical solution of a class of two-point boundary value similarity problems in fluid mechanics. Int. J. Numer. Meth. Fluids 1993, 17, 145–162. [Google Scholar] [CrossRef]
- Alam, M.J.; Murtaza, M.G.; Tzirtzilakis, E.E.; Ferdows, M. Effect of thermal radiation on biomagnetic fluid flow and heat transfer over an unsteady stretching sheet. Comput. Assist. Meth. Eng. Sci. (CAMES) 2021, 28, 81–104. [Google Scholar]
- Fenuga, O.J.; Hasan, A.R.; Olanrewaju, P.O. Effects of radiation and Eckert number on MHD flow with heat transfer rate near a stagnation point over a non-linear vertical stretching sheet. Int. J. Appl. Mech. Eng. 2020, 25, 27–36. [Google Scholar] [CrossRef]






















| Magnetic Fluid Properties | Applied Model |
|---|---|
| Density | |
| Dynamic viscosity | |
| Electrical conductivity | |
| Heat capacitance | |
| Thermal conductivity |
Publisher’s Note: MDPI stays neutral with regard to jurisdictional claims in published maps and institutional affiliations. |
© 2022 by the authors. Licensee MDPI, Basel, Switzerland. This article is an open access article distributed under the terms and conditions of the Creative Commons Attribution (CC BY) license (https://creativecommons.org/licenses/by/4.0/).
Share and Cite
Alam, J.; Murtaza, G.; Petropoulou, E.N.; Tzirtzilakis, E.E.; Ferdows, M. Applications of a Group Theoretical Method on Biomagnetic Fluid Flow and Heat Transfer for Different Shapes of Fe3O4 Magnetic Particles under the Influence of Thermal Radiation and a Magnetic Dipole over a Cylinder. Mathematics 2022, 10, 3520. https://doi.org/10.3390/math10193520
Alam J, Murtaza G, Petropoulou EN, Tzirtzilakis EE, Ferdows M. Applications of a Group Theoretical Method on Biomagnetic Fluid Flow and Heat Transfer for Different Shapes of Fe3O4 Magnetic Particles under the Influence of Thermal Radiation and a Magnetic Dipole over a Cylinder. Mathematics. 2022; 10(19):3520. https://doi.org/10.3390/math10193520
Chicago/Turabian StyleAlam, Jahangir, Ghulam Murtaza, Eugenia N. Petropoulou, Efstratios Em. Tzirtzilakis, and Mohammad Ferdows. 2022. "Applications of a Group Theoretical Method on Biomagnetic Fluid Flow and Heat Transfer for Different Shapes of Fe3O4 Magnetic Particles under the Influence of Thermal Radiation and a Magnetic Dipole over a Cylinder" Mathematics 10, no. 19: 3520. https://doi.org/10.3390/math10193520
APA StyleAlam, J., Murtaza, G., Petropoulou, E. N., Tzirtzilakis, E. E., & Ferdows, M. (2022). Applications of a Group Theoretical Method on Biomagnetic Fluid Flow and Heat Transfer for Different Shapes of Fe3O4 Magnetic Particles under the Influence of Thermal Radiation and a Magnetic Dipole over a Cylinder. Mathematics, 10(19), 3520. https://doi.org/10.3390/math10193520

