MoMA Algorithm: A Bottom-Up Modeling Procedure for a Modular System under Environmental Conditions
Abstract
:1. Introduction
2. Preliminaries
3. The Model
3.1. Model Assumptions
- The ith module is formed by units. The lifetime of a unit j in the module follows a PH-distribution with phases, where , , and . The units within a module are considered independent.
- Shocks arrive to module i following an MAP of order , where is the infinitesimal generator. Matrix governs the inter-arrival times between shocks that affect the module. The entries of matrix contain the transition rates between the phases of the MAP when a shock arrives.
- The MAP process affecting module i is independent of the other MAP processes affecting the rest of the modules.
- A shock may or may not cause the failure of a module. Let be the probability that a shock causes the failure of module i, and be the probability that the module does not fail when the shock arrives. Furthermore, .
- The system might fail even though individual modules remain operational.
3.2. Module Description: Internal Operation
- From to : all units are operational and remain this way. While any unit might change its operational phase, none of them fails. This transition is described by
- From to : all units are operational, then unit h fails. This transition is described bywhere represents the identity matrix of order for and .The rest of the transitions from this state are not possible because two units cannot fail at the same time.In fact, from any state it is only possible to transition to a state where a failure occurs or to the same state, given that at present we are not considering maintenance in the system. That is, from a state where s out of units have failed, the module can either stay in this state or change to a state where units have failed. These units do not have to be consecutive.Let us describe the transitions in this case. For simplicity, we consider , i.e., two units of the module have failed. Let us say that the failed units are and , where and can refer to any two units in and .
- From to : in this case, after transition the same two units are failed, the rest of the units continue functioning, and one of them changes phase:
- The second possibility is that a unit fails due to wear; let us say that this is unit l. In this case, l is in the set of units that were operational before transition, i.e., . Therefore, unit l can be placed before, after, or in between and .Remark 1.Given that unit l is non-consecutive to any of the previously failed units.
- Transitions in matrix have to consider all possible combinations of s units out of that have failed. For example, if a module has units and , i.e., one unit has already failed, the transitions that are described in matrix are the transitions among the states and .To describe these transitions, the matrix is comprised of blocks of matrices. In the diagonal, we have the transitions within the same state, i.e., from the state where s specific units have failed to the state where exactly the same units have failed. The matrices in the diagonal blocks are akin to the following one:Out of the matrix diagonal we have matrices of zeros of appropriate dimensions, as these transitions mean that a different set of s units have failed and that is not possible.For example, if module i is formed by three units , and one of them has failed, that is, , matrix is provided as follows:Remark 2.Considering that the transitions are between the states , and , in this order.
- On the other hand, is a matrix that has to consider all the possibilities of a unit failing out of . This matrix is formed by blocks of matrices that describe the transitions when the unit fails out of all the remaining ones. The transitions when we consider s failed units to , where the previously failed s units remain fixed, are provided by matrices such as the one described in Equation (4). The rest of the transitions are provided by matrices of zeros of appropriate dimensions.Following the previous example, if module i is formed by three units , and one of the units has failed, , we can consider the transitions from the states , and to the states , , and . Then,
3.3. System Description: Independent MAPs Affecting the Modules
- If the module is a series module:where the rest of the blocks in matrix are given by matrices of of apropriate dimensions.
- If the module is a parallel module:and
- is a matrix describing the transitions when l out of K modules have failed. Similarly to the previous section, this matrix is composed of blocks of matrices. Its diagonal contains the transitions to the same state, i.e., the same l modules are failed and there are no changes in the rest. The off-diagonal matrices are matrices of zeros of appropriate dimensions.The matrices in the diagonal blocks are akin to the following one:with in and .
- is a transition matrix that contains blocks of matrices describing all the possibilities of a module failing out of modules. In an equivalent way to a module, this matrix is formed by blocks of matrices that describe the transitions when a module fails out of the remaining operational ones. The transitions from specific operational modules to , where l of the modules are the previously failed ones, can be described by matrices such as the one below:where e is a column vector of ones with the appropriate dimension. The rest of the transitions in matrix are given by matrices of zeros of appropriate dimension.Remark 2.In this case, module p fails out of the remaining operational modules, being non-consecutive to any of the previously failed ones.Finally, depending on how the modules are arranged in the system, the macro-states that represent the failure of the system in matrix (provided in Equation (12)) are different, i.e., if the system is a series system, when one of the modules fails the whole system fails. If it is a parallel system, the system fails only when all the modules fail. If it is a k-out-of-K system, then modules must fail for the system to fail.
3.4. System Description: An MAP Affecting the System as a Whole
- (2bis)
- Shocks arrive to the system following an MAP , of order b where . Matrix governs the inter-arrival time between shocks. The entries of matrix contain the transition rates between the phases of the MAP when a shock arrives.
- (3bis)
- A shock may or may not cause the failure of the system. Let be the probability that a shock causes the failure of the system and be the probability that the shock does not make the system fail.
- is a matrix that represents the transitions when l modules out of K modules have failed due to internal failure. This matrix is composed of blocks of matrices. Its diagonal contains the transitions to the same state and the same l failed modules. The off-diagonal matrices are matrices of zeros of appropriate dimensions.The matrices in the diagonal blocks are akin to the following one:
- is a matrix made up of blocks of matrices that describe the transitions when a module fails due to an internal failure. Here, l module has failed, and after the transition the system has failed modules. Only one module changes in this transition from operational to failed; the rest of the modules are unchanged and remain in the state they were before the transition. This transition is described by a matrix such as the one below:
3.5. MoMA Algorithm
4. Maintenance Strategy of Modular Systems Based on Critical Values
4.1. Preventive Maintenance Based on the Critical State Probability Criterion (CSPC)
4.2. Maintenance Strategy Expected Cost
- , for
- , where , as above
5. An Application Example: A Two-out-of-Three Voting Scheme for a Surveillance System
5.1. Description of the System
- Internal degradationFor each module i, , is a sub-system with identical and independent units in series. Each unit has a PH-distribution according to , which arefor and modules and , andfor in module . For any unit in any module, we denote the operative phases as and the absorbent phase representing the failure of the unit as 2.
- External shocksIndependently, each module receives shocks that arrive following an MAP with parameters such thatThe MAPs governing the shocks arriving at the modules are identical and independent. Moreover, when a shock occurs in module this can affect the module, producing its complete failure, with probability ; otherwise, it does not affect the module at all, which occurs with probability . We take for all
- System regimeWe assume a architecture for the system behavior, which means that the system is working when at least two out of three modules are working. Then, the states of the system can in general be written aswhen all modules in the system are working, where ; for , we refer to the internal phase of the units inside the module , and denotes the phase of the MAP affecting module . The up states when one module of the system is down are described aswhen module is not working,when module is not working, andwhen module is not working. We denote the whole set of working states of the system by U.The state of the system can be reached as soon as any two modules fail; within this macro-state, we can consider any of the following configurations aswhen only is working,when only is working, and,when only is working, with , , and finallywhen none of the modules is functioning.With this specification, the size of the set of up states U is . We can split the set of up states into two subsets. In the first subset, , we consider the case where all the three modules are occupying any of their operative phases, while and in the second, , we consider the states where there is one module down. We call this subset the critical set.
5.2. Reliability and Maintenance of the -Voting System
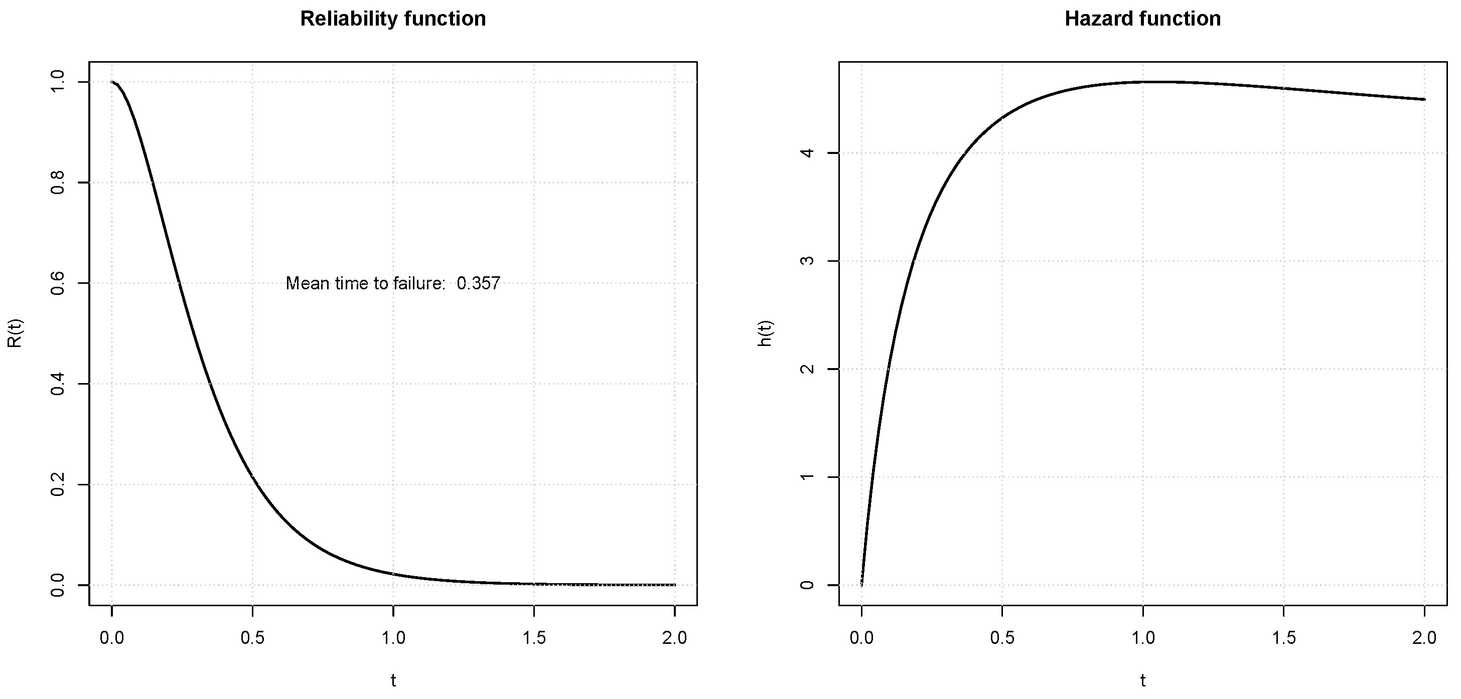
- ReliabilityDependability measures are displayed in Figure 3, with the reliability function presented on the left panel and the hazard function shown on the right. The expected lifetime of the system is obtained as 0.357 u.t. On the other hand, the hazard rate presents a very fast increasing tendency at the beginning of the system lifetime until it reaches a maximum around , after which it stabilizes and presents an almost constant hazard rate above 4 (u.t.).
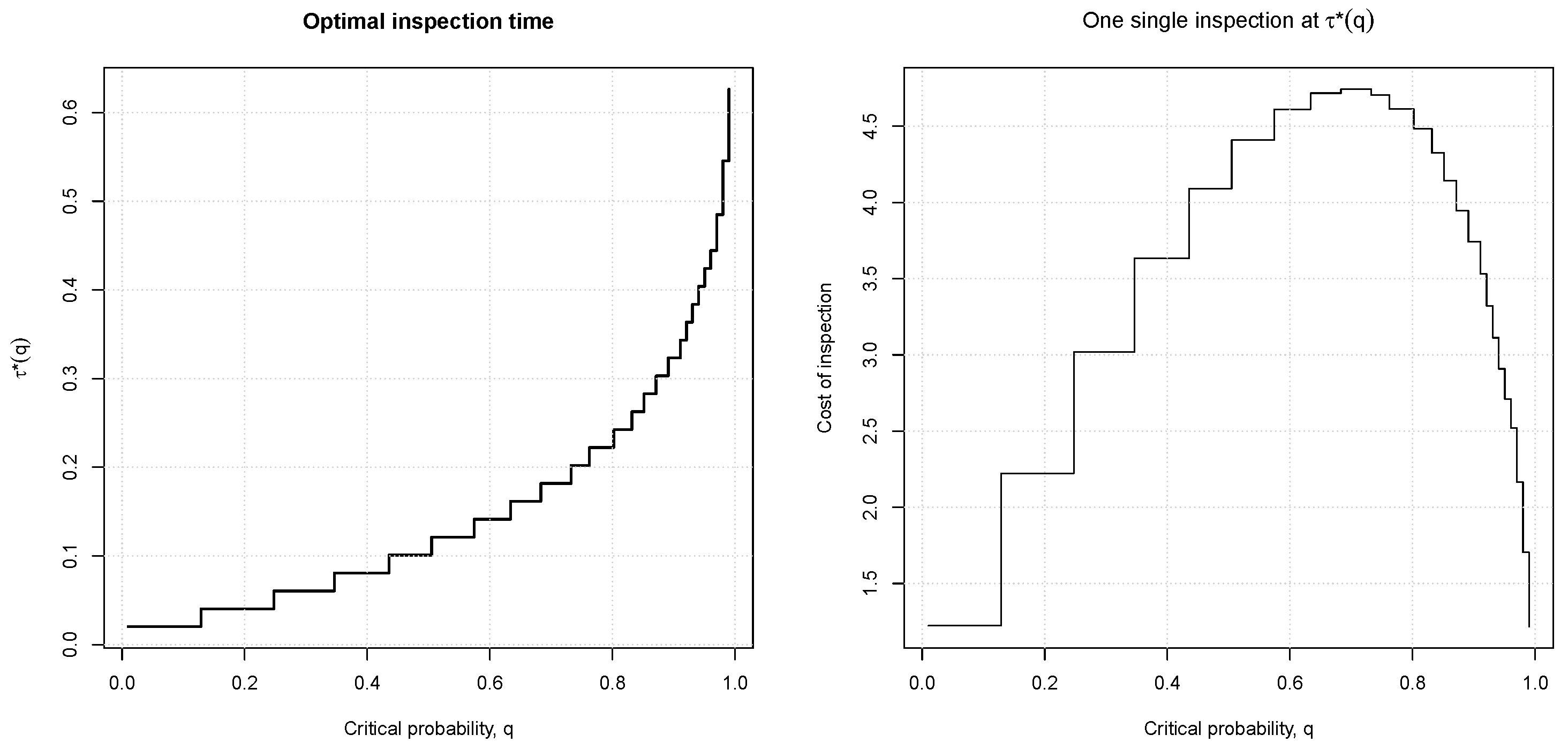
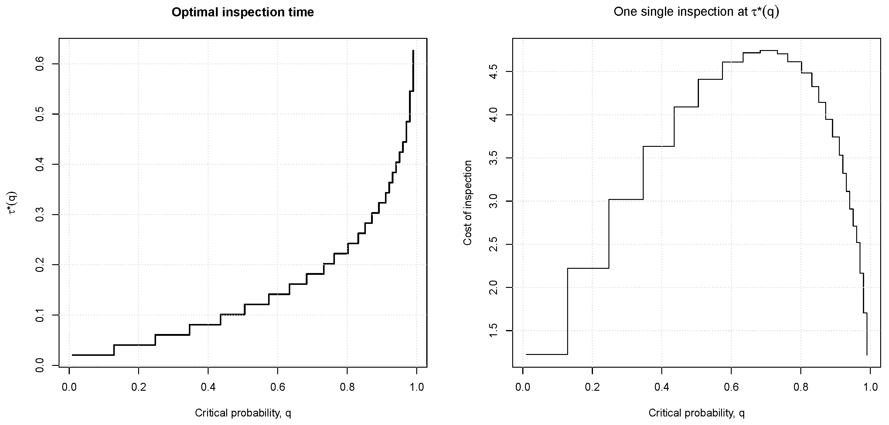
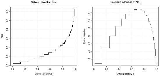
- MaintenanceIn this case, we consider that the system is inspected periodically to perform preventive maintenance (PM). The interval of inspection is determined according to Section 4. We determine the optimal inspection time depending on a critical probability criterion, that is, we perform system inspection every time the probability that the system is in an operational but critical state exceeds a prespecified value q. We assume that the cost involved in a PM action is half the cost that is implied by a CM action. In particular, we take for restoring the system from any critical state to a state in the set chosen according to , and we take .The results are presented in Figure 4 and Figure 5. In Figure 5, it can be observed that the maintenance cost increases as the critical probability increases, reaching its peak close to the critical probability value of . after that, the cost decreases rapidly, which could mean that after a certain value of q it is better in terms of cost to let the system fail and perform maintenance correctively.Figure 4. voting system. (Left panel): Optimal time to PM. (Right panel): Optimal maintenance cost.Figure 5. -voting system with a maximum operation time before replacement.In Figure 5, we illustrate the situation described in Section 4.2, with the system allowed to operate for a prespecified period of time u.t. As can be seen, the expected cost of maintenance decreases as the critical probability increases. However, for probabilities above the situation becomes unstable. For higher values of q the optimal inspection time for PM is very long, meaning that at the time of inspection the system is likely to have failed, at which point it has to be correctively maintained. With the parameters selected in this particular case for the vector of cost (PM and CM), it seems more convenient to let the system fail.
6. Conclusions and Future Work
Author Contributions
Funding
Institutional Review Board Statement
Informed Consent Statement
Data Availability Statement
Conflicts of Interest
References
- Luque Ordonez, J. Comunicaciones por satélite. Rev. Digi. ACTA 2013. Available online: https://www.acta.es/medios/articulos/comunicacion_e_informacion/016001.pdf (accessed on 6 August 2022).
- Martin de Alcántara Dias, B.; Laganá, A.; Justo, J.; Yoshioka, L.; Santos, M.M.; Gu, Z. Model-Based Development of an Engine Control Module for a Spark Ignition Engine. Inst. Electr. Electron. Eng. (IEEE) 2018, 6, 53638–53649. [Google Scholar] [CrossRef]
- Cheng, C.; Yang, J.; Li, L. Reliability evaluation of a k-out-of-n(G)-subsystem based multi-state phased mission system with common bus performance sharing subjected to common cause failures. Reliab. Eng. Syst. Saf. 2021, 216, 108003. [Google Scholar] [CrossRef]
- Li, H.; Díaz, H.; Guedes Soares, C. A Failure Analysis of a Floating Offshore Wind Turbines using AHP-FMEA Methodology. Ocean Eng. 2021, 234, 109261. [Google Scholar] [CrossRef]
- Li, H.; Díaz, H.; Guedes Soares, C. A developed failure mode and effect analysis for floating offshore wind turbine support structures. Renew. Energy 2021, 164, 133–145. [Google Scholar] [CrossRef]
- Levitin, G.; Finkelstein, M. Effect of element separation in series-parallel systems exposed to random shocks. Eur. J. Oper. Res. 2017, 260, 305–315. [Google Scholar] [CrossRef]
- Levitin, G.; Xing, L.; Yu, S. Optimal connecting elements allocation in linear consecutively-connected systems with phased mission and common cause failures. Reliab. Eng. Syst. Saf. 2014, 130, 85–94. [Google Scholar] [CrossRef]
- Aghaei, M.; Zeinal Hamadani, A.; Abouei Ardakan, M. Redundancy allocation problem for k-out-of-n systems with a choise of redundancy strategies. J. Ind. Eng. Int. 2017, 13, 81–92. [Google Scholar] [CrossRef]
- Sooktip, T.; Wattanapongsakorn, N.; Coit, D.W. System reliability optimization with k-out-of-n subsystems and changing k. Proc. Int. Conf. Rel. Maint. Saf. 2011, 7, 1382–1387. [Google Scholar]
- Coit, D.W.; Liu, J. System Reliability Optimization with k-out-of-n Subsystems. Int. J. Reliab. Qual. Saf. Eng. 2000, 27, 129–142. [Google Scholar] [CrossRef]
- Su, P.; Wang, G.; Duan, F. Reliability evaluation of a k-out-of-n(G)-subsystem based multi-state system with common bus performance sharing. Reliab. Eng. Syst. Saf. 2020, 198, 106884. [Google Scholar] [CrossRef]
- Zhao, X.; Cui, L. Reliability evaluation of generalised multi-state k-out-of-n systems based on FMCI approach. Int. J. Syst. Sci. 2010, 41, 1437–1443. [Google Scholar] [CrossRef]
- Byun, J.E.; Noh, H.M.; Song, J. Reliability growth analysis of k-out-of-N systems using matrix-based system reliability method. Reliab. Eng. Syst. Saf. 2017, 165, 410–421. [Google Scholar] [CrossRef]
- Liu, Z.; Liu, Y.; Cai, B. Reliability Analysis of the Electrical Control System of Subsea Blowout Preventers Using Markov Models. PLoS ONE 2014, 9, e113525. [Google Scholar] [CrossRef]
- Esary, J.D.; Marshall, A.W.; Proschan, F. Shocks models and wear processes. Ann. Prob. 1973, 627–649. [Google Scholar] [CrossRef]
- Mallor, F.; Santos, J. Reliability of systems subject to shocks with a stochastic dependence for the damages. Test 2003, 12, 427–444. [Google Scholar] [CrossRef]
- Gut, A.; Hursler, J. Realistic variation of shocks models. Stat. Probab. Lett. 2005, 74, 187–204. [Google Scholar] [CrossRef]
- Finkelstain, M. Shocks in homogeneous and heterogeneous populations. Reliab. Eng. Syst. Saf. 2007, 92, 569–574. [Google Scholar] [CrossRef]
- Thanakornworaki, T.; Nassar, R.; Leangsuksun, C.B.; Paun, M. Reliability model of a system of k nodes with simultaneous failures for high-performance computing applications. Int. J. High Perform. Comput. Appl. 2013, 27, 474–482. [Google Scholar] [CrossRef]
- Erylmaz, S.; Devrim, Y. Reliability and optimal replacement policy for k-out-of-n systems subject to shocks. Reliab. Eng. Syst. Saf. 2019, 188, 393–397. [Google Scholar] [CrossRef]
- Zarezadeh, S.; Ashrafi, S. On preventive maintenance of networks with components subject to external shocks. Reliab. Eng. Syst. Saf. 2019, 191, 106559. [Google Scholar] [CrossRef]
- Segovia, M.C.; Labeau, P.E. Reliability of a multi-state system subject to shocks using phase-type distributions. Appl. Math. Model. 2013, 37, 4883–4904. [Google Scholar] [CrossRef]
- Montoro-Cazorla, D.; Pérez-Ocón, R.; Segovia, M.C. Survival probabilities for shock and wear models governed by phase-type distributions. Qual. Tech. Quant. Manag. 2007, 4, 85–94. [Google Scholar] [CrossRef]
- Chakravarthy, S.R. Maintenance of a deteriorating single server system with Markovian arrivals and random shocks. Eur. J. Oper. Res. 2012, 222, 508–522. [Google Scholar] [CrossRef]
- Finkelstain, M.; Gertsbakh, I. Preventive maintenance of multi-state systems subject to shocks. Appl. Stoch. Models Bus. Ind. 2016, 32, 283–289. [Google Scholar] [CrossRef]
- Montoro-Cazorla, D.; Pérez-Ocón, R. A reliability system under cumulative shocks governed by a BMAP. Appl. Math. Model. 2015, 39, 7620–7629. [Google Scholar] [CrossRef]
- Montoro-Cazorla, D.; Pérez-Ocón, R. A reliability system under different types of shock governed by a Markovian arrival process and maintenance policy K. Eur. J. Oper. Res. 2014, 235, 636–642. [Google Scholar] [CrossRef]
- Pérez-Ocón, R.; Segovia, M.C. Shocks models under a markovian arrival process. Math. Comput. Model. 2009, 50, 879–884. [Google Scholar] [CrossRef]
- Montoro-Cazorla, D.; Pérez-Ocón, R. Constructing a Markov process for modelling a reliability system under multiple failures and replacements. Reliab. Eng. Syst. Saf. 2018, 173, 34–47. [Google Scholar] [CrossRef]
- Montoro-Cazorla, D.; Pérez-Ocón, R. Analysis of k-Out-of-N-Systems with Different Units under Simultaneous Failures: A Matrix-Analytic Approach. Mathematics 2022, 10, 1902. [Google Scholar] [CrossRef]
- Montoro-Cazorla, D.; Pérez-Ocón, R. Optimizing Costs in a Reliability System under Markovian Arrival of Failures and Reposition by K-Policy Inspection. Mathematics 2022, 10, 1918. [Google Scholar] [CrossRef]
- Bellman, R. Introduction to Matrix Analysis; McGraw-Hill: New York, NY, USA, 1970. [Google Scholar]
- Graham, A. Kronecker Products, and Matrix Calculus with Applications; Halsted Press: Chichester, UK; Horwood, NY, USA, 1981. [Google Scholar]
- Neuts, M.F. Matrix-Geometric Solutions in Stochastic Models: An Algorithm Approach; John Hopkins University Press: Baltimore, Maryland, 1981. [Google Scholar]
- Li, H.; Huang, C.-G.; Guedes Soares, C. A real-time inspection and opportunistic maintenance strategies for floating offshore wind turbines. Ocean Eng. 2022, 256, 111433. [Google Scholar] [CrossRef]
- Benammar, S.; Tee, K.F. Criticality Analysis and Maintenance of Solar Tower Power Plants by Integrating the Artificial Intelligence Approach. Energies 2021, 1, 5861. [Google Scholar] [CrossRef]
- Gamiz, M.L.; Limnios, N.; Segovia-Garcia, M.C. Hidden Markov Models in Reliability and Maintenance. Eur. J. Oper. Res. 2022. [Google Scholar] [CrossRef]
- Available online: https://www.miinet.com/images/pdf/datasheets/SPA2_Datasheet_Moore_Industries.pdf (accessed on 1 August 2022).
- Gamiz, M.L.; Kulasekera, K.B.; Limnios, N.; Lindqvist, B.H. Applied Nonparametric Statistics in Reliability; Springer: London, UK, 2011. [Google Scholar]


Publisher’s Note: MDPI stays neutral with regard to jurisdictional claims in published maps and institutional affiliations. |
© 2022 by the authors. Licensee MDPI, Basel, Switzerland. This article is an open access article distributed under the terms and conditions of the Creative Commons Attribution (CC BY) license (https://creativecommons.org/licenses/by/4.0/).
Share and Cite
Gámiz, M.L.; Montoro-Cazorla, D.; Segovia-García, M.d.C.; Pérez-Ocón, R. MoMA Algorithm: A Bottom-Up Modeling Procedure for a Modular System under Environmental Conditions. Mathematics 2022, 10, 3521. https://doi.org/10.3390/math10193521
Gámiz ML, Montoro-Cazorla D, Segovia-García MdC, Pérez-Ocón R. MoMA Algorithm: A Bottom-Up Modeling Procedure for a Modular System under Environmental Conditions. Mathematics. 2022; 10(19):3521. https://doi.org/10.3390/math10193521
Chicago/Turabian StyleGámiz, María Luz, Delia Montoro-Cazorla, María del Carmen Segovia-García, and Rafael Pérez-Ocón. 2022. "MoMA Algorithm: A Bottom-Up Modeling Procedure for a Modular System under Environmental Conditions" Mathematics 10, no. 19: 3521. https://doi.org/10.3390/math10193521
APA StyleGámiz, M. L., Montoro-Cazorla, D., Segovia-García, M. d. C., & Pérez-Ocón, R. (2022). MoMA Algorithm: A Bottom-Up Modeling Procedure for a Modular System under Environmental Conditions. Mathematics, 10(19), 3521. https://doi.org/10.3390/math10193521

