Quantification of Aversion to Uncertainty in Intertemporal Choice through Subjective Perception of Time
Abstract
1. Introduction
2. Motivation and Mathematical Formalization
2.1. Discounted Utility Model and Time in Intertemporal Choice
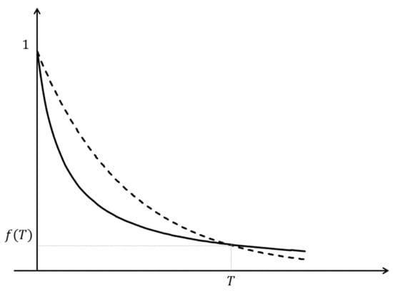
2.2. Aversion to Uncertainty and Inconsistency Function
3. Materials and Methods
“You have to receive euros in days, how much do you want to receive in days to consider the offer equivalent?”
“You have to receive 100 euros today, how much do you want to receive in days to consider the offer equivalent?”
“Time’s up! The time available to answer the question has expired. Please answer the question IMMEDIATELY without further thought.”
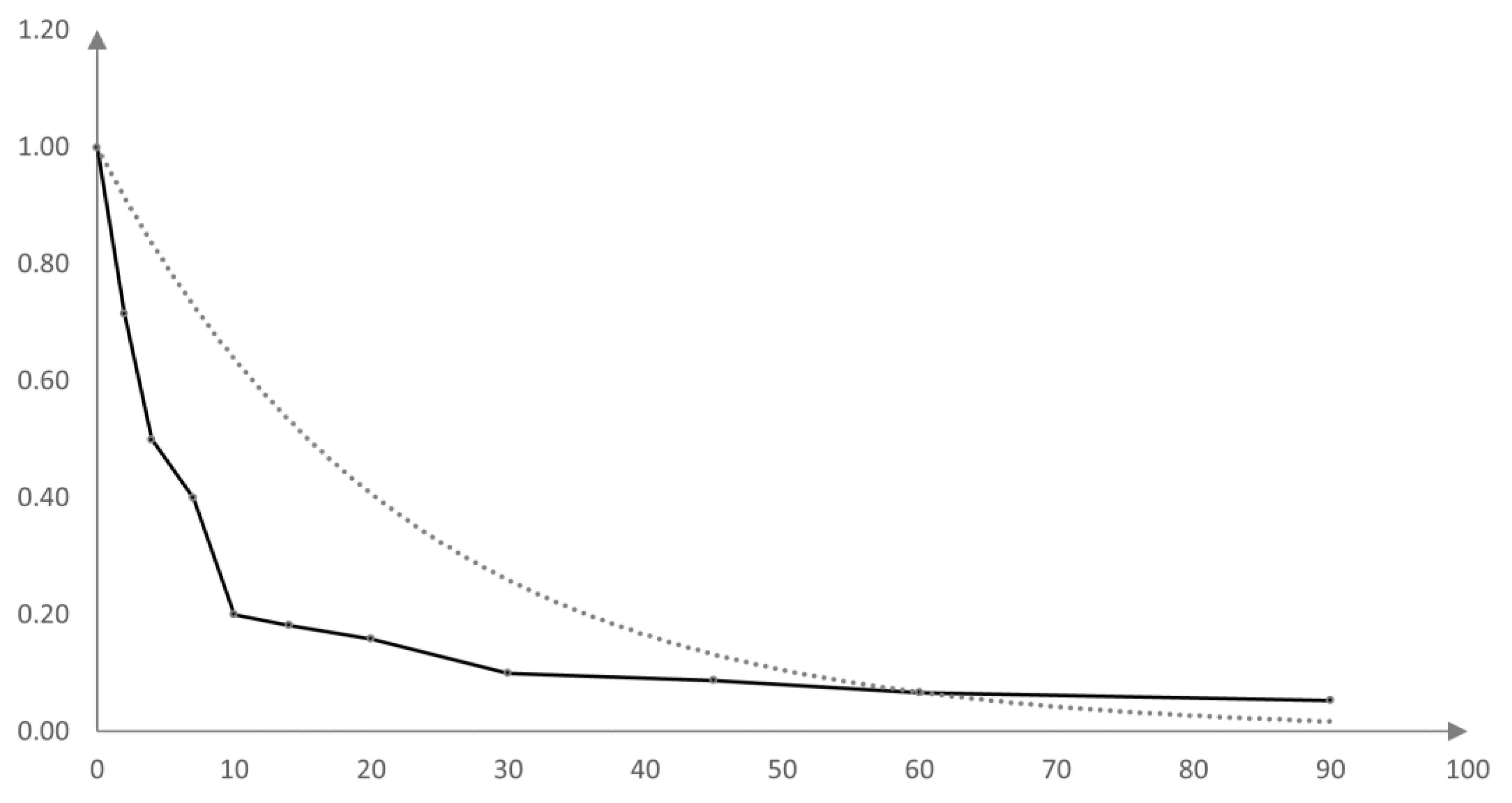
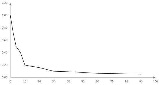
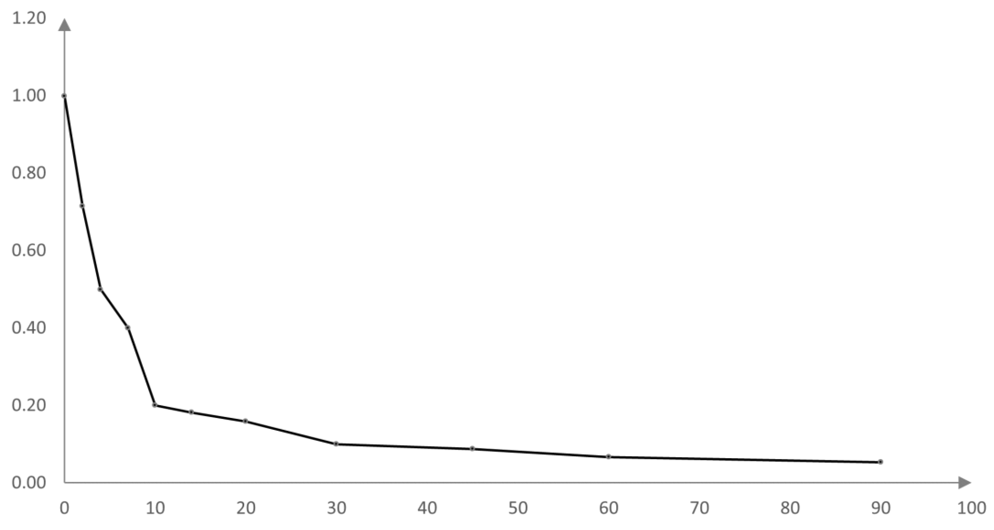
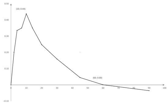
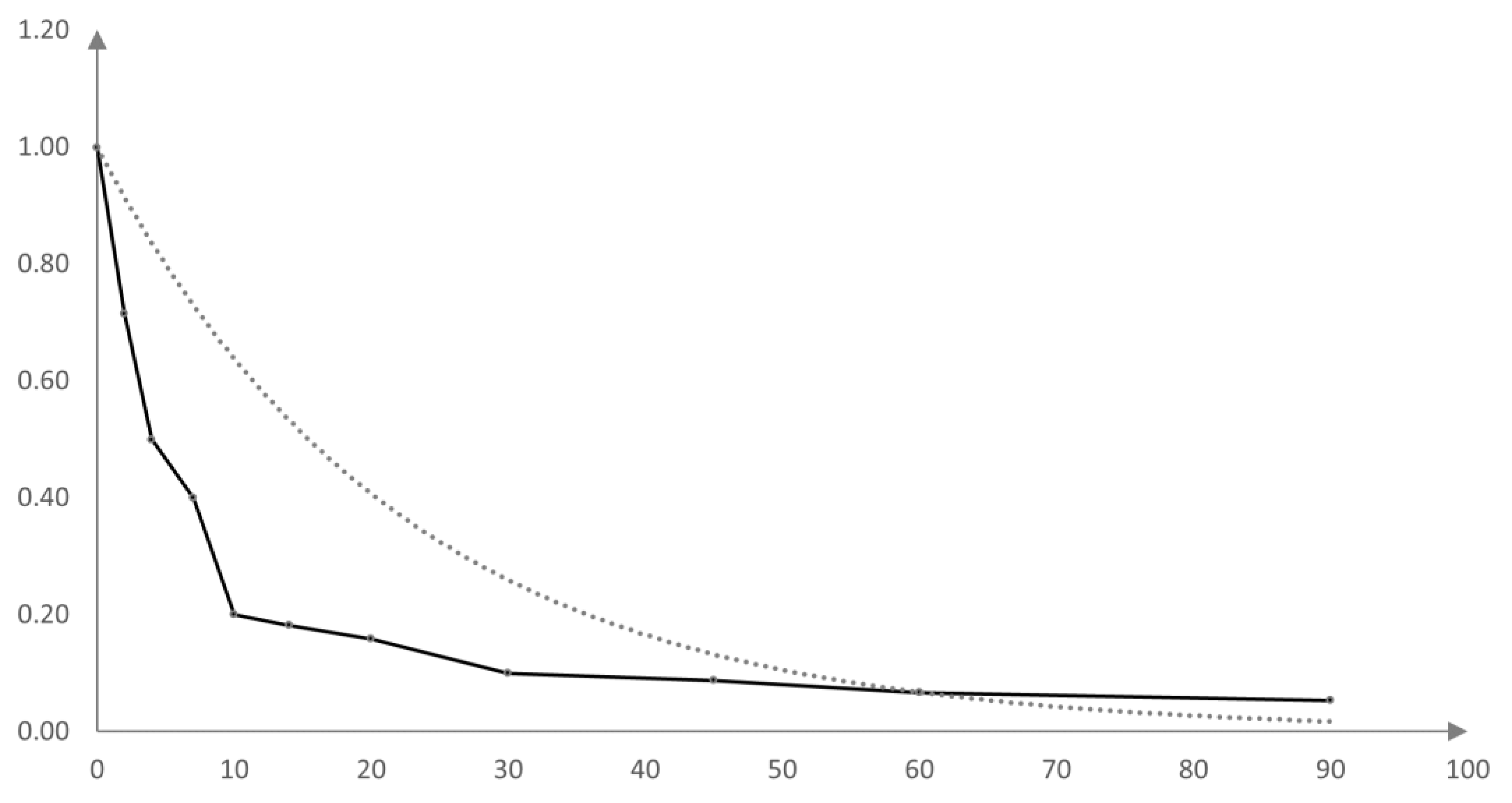
4. Results
5. Discussion
6. Conclusions
Author Contributions
Funding
Institutional Review Board Statement
Informed Consent Statement
Data Availability Statement
Conflicts of Interest
References
- Anderson, E.W.; Ghysels, E.; Juergens, J.L. The impact of risk and uncertainty on expected returns. J. Financ. Econ. 2009, 94, 233–263. [Google Scholar] [CrossRef]
- Noor, J. Intertemporal choice and the magnitude effect. Games Econ. Behav. 2011, 72, 255–270. [Google Scholar] [CrossRef]
- Sayman, S.; Öncüler, A. An investigation of time inconsistency. Manag. Sci. 2009, 55, 470–482. [Google Scholar] [CrossRef]
- Samuelson, P.A. A note on measurement of utility. Rev. Econ. Stud. 1937, 4, 155–161. [Google Scholar] [CrossRef]
- Samuelson, P.A. Probability, utility, and the independence axiom. Econom. J. Econom. Soc. 1952, 20, 670–678. [Google Scholar] [CrossRef]
- Cruz Rambaud, S.; Muñoz Torrecillas, M.J. Measuring impatience in intertemporal choice. PLoS ONE 2016, 11, e0149256. [Google Scholar] [CrossRef]
- Prelec, D. Decreasing impatience: A criterion for Non-stationary time preference and “hyperbolic” discounting. Scand. J. Econ. 2004, 106, 511–532. [Google Scholar] [CrossRef]
- Read, D. Blackwell Handbook of Judgment and Decision Making; John Wiley & Sons: Hoboken, NJ, USA, 2008; pp. 424–443. [Google Scholar]
- Simon, H.A. Models of Man, Social and Rational: Mathematical Essays on Rational Human Behavior in Society Setting; Wiley: New York, NY, USA, 1957. [Google Scholar]
- Kahneman, D. Thinking, Fast and Slow; Farrar, Straus and Giroux: New York, NY, USA, 2011. [Google Scholar]
- Kahneman, D.; Tversky, A. Prospect theory: An analysis of decision under risk. In Handbook of the Fundamentals of Financial Decision Making: Part I; World Scientific: Singapore, 2013; pp. 99–127. [Google Scholar]
- Thaler, R.H.; Sunstein, C.R. Nudge: Improving Decisions about Health, Wealth, and Happiness; Reviewed and Expanded Edition; Penguin Books: New York, NY, USA, 2009. [Google Scholar]
- Pompian, M.M. Using behavioral investor types to build better relationships with your clients. J. Financ. Plan. 2008, 21, 64–76. [Google Scholar]
- Pompian, M.M. Behavioral Finance and Investor Types: Managing Behavior to Make Better Investment Decisions; John Wiley & Sons: Hoboken, NJ, USA, 2012. [Google Scholar]
- Agostino, C.S.; Claessens, P.M.E.; Balci, F.; Zana, Y. The role of time estimation in decreased impatience in intertemporal choice. J. Neurosci. Psychol. Econ. 2021, 14, 185. [Google Scholar] [CrossRef]
- Zauberman, G.; Kim, B.K.; Malkoc, S.A.; Bettman, J.R. Discounting time and time discounting: Subjective time perception and intertemporal preferences. J. Mark. Res. 2009, 46, 543–556. [Google Scholar] [CrossRef]
- Nyberg, L.; Kim, A.S.N.; Habib, R.; Levine, B.; Tulving, E. Consciousness of subjective time in the brain. Proc. Natl. Acad. Sci. USA 2010, 107, 22356–22359. [Google Scholar] [CrossRef] [PubMed]
- Loewenstein, G. Out of control: Visceral influences on behavior. Organ. Behav. Hum. Decis. Process. 1996, 65, 272–292. [Google Scholar] [CrossRef]
- Loewenstein, G.; O’Donoghue, T.; Rabin, M. Projection bias in predicting future utility. Q. J. Econ. 2003, 118, 1209–1248. [Google Scholar] [CrossRef]
- Loewenstein, G.; Prelec, D.; Shatto, C. Hot/Cold Intrapersonal Empathy Gaps and the under-Prediction of Curiosity. Unpublished Manuscript; Carnegie-Mellon University: Pittsburgh, PA, USA, 1998. [Google Scholar]
- Wheeler, M.A.; Stuss, D.T.; Tulving, E. Toward a theory of episodic memory: The frontal lobes and autonoetic consciousness. Psychol. Bull. 1997, 121, 331. [Google Scholar] [CrossRef] [PubMed]
- Zimbardo, P.; Boyd, J. The Time Paradox: The New Psychology of Time that Will Change Your Life; Simon and Schuster: New York, NY, USA, 2008. [Google Scholar]
- Ventre, V.; Rambaud, S.C.; Martino, R.; Maturo, F. An analysis of intertemporal inconsistency through the hyperbolic factor. Qual. Quant. 2022, 1–28. [Google Scholar] [CrossRef]
- Gifford, S. Risk and uncertainty. In Handbook of Entrepreneurship Research; Springer: Boston, MA, USA, 2003; pp. 37–53. [Google Scholar]
- LeRoy, S.F.; Werner, J. Principles of Financial Economics; Cambridge University Press: Cambridge, MA, USA, 2014. [Google Scholar]
- Da Silva, S.; De Faveri, D.; Correa, A.; Matsushita, R. High-income consumers may be less hyperbolic when discounting the future. Economics Bulletin. 2017, 37, 1421–1434. [Google Scholar]
- Laibson, D. Golden eggs and hyperbolic discounting. Q. J. Econ. 1997, 112, 443–478. [Google Scholar] [CrossRef]
- Green, L.; Myerson, J.; McFadden, E. Rate of temporal discounting decreases with amount of reward. Mem. Cogn. 1997, 25, 715–723. [Google Scholar] [CrossRef]
- Shipp, A.J.; Edwards, J.R.; Lambert, L.S. Conceptualization and measurement of temporal focus: The subjective experience of the past, present, and future. Organ. Behav. Hum. Decis. Processes 2009, 110, 1–22. [Google Scholar] [CrossRef]
- Takahashi, T. Loss of self-control in intertemporal choice may be attributable to logarithmic time-perception. In Behavioral Economics of Preferences, Choices, and Happiness. Med. Hypotheses 2005, 65, 691–693. [Google Scholar] [CrossRef]
- Han, R.; Takahashi, T. Psychophysics of time perception and valuation in temporal discounting of gain and loss. Phys. A Stat. Mech. Its Appl. 2012, 391, 6568–6576. [Google Scholar] [CrossRef]
- Dos Santos, L.S.; Martinez, A.S. Inconsistency and subjective time dilation perception in intertemporal decision making. Front. Appl. Math. Stat. 2018, 4, 54. [Google Scholar] [CrossRef]
- Xu, S.; Xiao, Z.; Rao, H. Hypothetical versus real monetary reward decrease the behavioral and affective effects in the Balloon Analogue Risk Task. Exp. Psychol. 2019, 66, a000447. [Google Scholar] [CrossRef] [PubMed]
- Lu, Y.; Yang, C. Measuring impatience: Experiments of intertemporal choices. In Education Management and Management Science; CRC Press: Boca Raton, FL, USA, 2015; pp. 311–314. [Google Scholar]
- Gilbert, D.T.; Gill, M.J.; Wilson, T.D. The future is now: Temporal correction in affective forecasting. Organ. Behav. Hum. Decis. Processes 2002, 88, 430–444. [Google Scholar] [CrossRef]
- Attema, A.E.; Bleichrodt, H.; Rohde, K.I.; Wakker, P.P. Time-tradeoff sequences for analyzing discounting and time inconsistency. Manag. Sci. 2010, 56, 2015–2030. [Google Scholar] [CrossRef]
- Rohde, K.I. The hyperbolic factor: A measure of time inconsistency. J. Risk Uncertain. 2010, 41, 125–140. [Google Scholar] [CrossRef]
- Loewenstein, G.; Thaler, R.H. Anomalies: Intertemporal choice. J. Econ. Perspect. 1989, 3, 181–193. [Google Scholar] [CrossRef]
- Loewenstein, G.; Prelec, D. Anomalies in intertemporal choice: Evidence and an interpretation. Q. J. Econ. 1992, 107, 573–597. [Google Scholar] [CrossRef]
- Hoang, E.C.; Hoxha, I. Corporate payout smoothing: A variance decomposition approach. J. Empir. Financ. 2016, 35, 1–13. [Google Scholar] [CrossRef]
- Conlin, A.; Kyröläinen, P.; Kaakinen, M.; Järvelin, M.R.; Perttunen, J.; Svento, R. Personality traits and stock market participation. J. Empir. Financ. 2015, 33, 34–50. [Google Scholar] [CrossRef]
- Tauni, M.Z.; Fang, H.X.; Yousaf, S. The influence of investor personality traits on information acquisition and trading behavior: Evidence from Chinese futures exchange. Personal. Individ. Differ. 2015, 87, 248–255. [Google Scholar] [CrossRef]
- McLoughlin, A. Factors Affecting Human Time Perception: Do Feelings of Rejection Increase the Rate of Subjective Timing? Timing Time Percept. 2019, 7, 131–147. [Google Scholar] [CrossRef]
- Droit-Volet, S.; Meck, W.H. How emotions colour our perception of time. Trends Cogn. Sci. 2007, 11, 504–513. [Google Scholar] [CrossRef]
- Schmeling, M. Investor sentiment and stock returns: Some international evidence. J. Empir. Financ. 2009, 16, 394–408. [Google Scholar] [CrossRef]
- Loewenstein, G.F.; Weber, E.U.; Hsee, C.K.; Welch, N. Risk as feelings. Psychol. Bull. 2001, 127, 267. [Google Scholar] [CrossRef] [PubMed]
- Wang, M.; Keller, C.; Siegrist, M. The less You know, the more You are afraid of—A survey on risk perceptions of investment products. J. Behav. Financ. 2011, 12, 9–19. [Google Scholar] [CrossRef]
- Broihanne, M.H.; Merli, M.; Roger, P. Overconfidence, risk perception and the risk-taking behavior of finance professionals. Financ. Res. Lett. 2014, 11, 64–73. [Google Scholar] [CrossRef]
- Sun, Y.; Li, S. The effect of risk on intertemporal choice. J. Risk Res. 2010, 13, 805–820. [Google Scholar] [CrossRef]
- Toloie-Eshlaghy, A.; Homayonfar, M. MCDM methodologies and applications: A literature review from 1999 to 2009. Res. J. Int. Stud. 2011, 21, 86–137. [Google Scholar]
- Saaty, T.L. Decision making—The analytic hierarchy and network processes (AHP/ANP). J. Syst. Sci. Syst. Eng. 2004, 13, 1–35. [Google Scholar] [CrossRef]
- Gal, D. A psychological law of inertia and the illusion of loss aversion. Judgm. Decis. Mak. 2006, 1, 23–32. [Google Scholar]






| Linear | |
| Exponential | |
| Hyperbolic | Generalized |
| Quasi-hyperbolic | |
| One parameter |
| Characteristic | Categories | Percentage |
|---|---|---|
| Sex | Male | 59.09% |
| Female | 40.91% | |
| Age | 20–34 | 63.67% |
| 35–49 | 33.23% | |
| 50–64 | 9.10% |
| 0.80 | 0.36 | 0.73 | 0.97 |
Publisher’s Note: MDPI stays neutral with regard to jurisdictional claims in published maps and institutional affiliations. |
© 2022 by the authors. Licensee MDPI, Basel, Switzerland. This article is an open access article distributed under the terms and conditions of the Creative Commons Attribution (CC BY) license (https://creativecommons.org/licenses/by/4.0/).
Share and Cite
Ventre, V.; Martino, R. Quantification of Aversion to Uncertainty in Intertemporal Choice through Subjective Perception of Time. Mathematics 2022, 10, 4315. https://doi.org/10.3390/math10224315
Ventre V, Martino R. Quantification of Aversion to Uncertainty in Intertemporal Choice through Subjective Perception of Time. Mathematics. 2022; 10(22):4315. https://doi.org/10.3390/math10224315
Chicago/Turabian StyleVentre, Viviana, and Roberta Martino. 2022. "Quantification of Aversion to Uncertainty in Intertemporal Choice through Subjective Perception of Time" Mathematics 10, no. 22: 4315. https://doi.org/10.3390/math10224315
APA StyleVentre, V., & Martino, R. (2022). Quantification of Aversion to Uncertainty in Intertemporal Choice through Subjective Perception of Time. Mathematics, 10(22), 4315. https://doi.org/10.3390/math10224315
