Using a Separable Mathematical Entropy to Construct Entropy-Stable Schemes for a Reduced Blood Flow Model
Abstract
1. Introduction
2. Theoretical Results
Entropy Pair and Simmetrizability
3. Numerical Method
3.1. Entropy Conservative and Entropy-Stable Numerical Schemes
3.2. Friction Source Term Discretization
4. Numerical Results
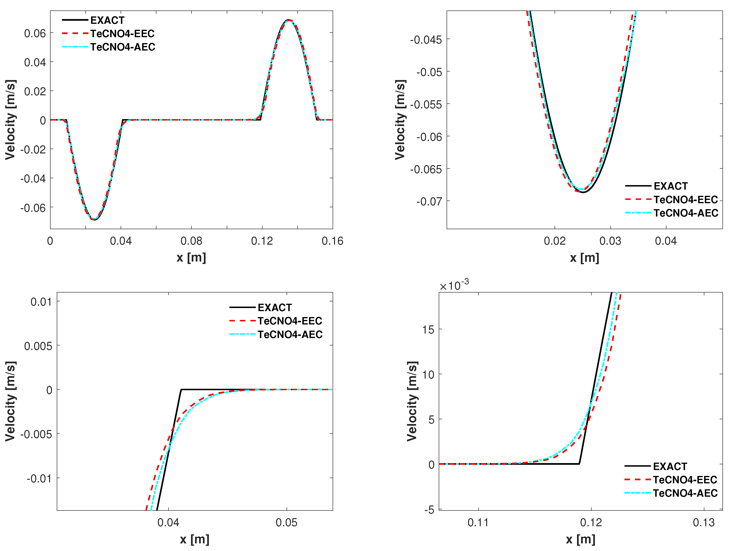
4.1. Example 1: The Ideal Tourniquet
4.2. Example 2: Wave Equation
4.3. Example 3: Wave Damping
5. Conclusions
Author Contributions
Funding
Institutional Review Board Statement
Informed Consent Statement
Data Availability Statement
Conflicts of Interest
References
- Sherwin, S.J.; Franke, V.; Peiró, J.; Parker, K. One-dimensional modelling of a vascular network in space—Time variables. J. Eng. Math. 2003, 47, 217–250. [Google Scholar] [CrossRef]
- Formaggia, L.; Nobile, F.; Quarteroni, A.; Veneziani, A. Multiscale modelling of the circulatory system: A preliminar analysis. Comput. Vis. Sci. 1999, 2, 75–83. [Google Scholar] [CrossRef]
- Delestre, O.; Lagrée, P.Y. A ’well-balanced’ finite volume scheme for blood flow simulation. Int. J. Numer. Methods Fluids 2013, 72, 177–205. [Google Scholar] [CrossRef]
- Shapiro, A.H. Steady flow in collapsible tubes. J. Biomech. Eng. 1977, 99, 126–147. [Google Scholar] [CrossRef]
- Guigo, A.R.; Delestre, O.; Fullana, J.M.; Lagrée, P.Y. Low-Shapiro hydrostatic reconstruction tecnique for blood flow simulation in large arteries with varying geometrical and mechanical properties. J. Comput. Phys. 2017, 331, 108–136. [Google Scholar] [CrossRef]
- Formaggia, L.; Gerbeau, J.F.; Nobile, F.; Quarteroni, A. On the coupling of 3D and 1D Navier-Stokes equations for flow problems in compliant vessel. Comput. Methods Appl. Mech. Eng. 2001, 191, 561–582. [Google Scholar] [CrossRef]
- Mock, M.S. Systems of conservation laws of mixed type. J. Differ. Equ. 1980, 37, 70–88. [Google Scholar] [CrossRef]
- Bürger, R.; Valbuena, S.; Vega, C. A well-balanced and entropy stable scheme for a reduced blood flow model. Numer. Meth. Part Differ. Equ. 2021; submitted. [Google Scholar]
- Fjordholm, U.S.; Mishra, S.; Tadmor, E. Arbitrary high-order essentially non-oscillatory entropy stable schemes for systems of conservation laws. SIAM J. Numer. Anal. 2012, 50, 544–573. [Google Scholar] [CrossRef]
- Harten, A. On the symmetric form of systems of conservation laws with entropy. J. Comput. Phys. 1983, 49, 151–164. [Google Scholar] [CrossRef]
- Puelz, C.; Čanić, S.; Rivière, B.; Rusin, C. Comparison of reduced models for blood flow using Runge-Kutta discontinuos Galerkin methods. Appl. Numer. Math. 2017, 115, 114–141. [Google Scholar] [CrossRef]
- Vega, C.; Valbuena, S. Numerical approximations of the Keyfitz-Kranzer type models by using entropy stable schemes. J. Numer. Anal. Ind. Appl. Math. 2020, 3–4, 1–15. [Google Scholar]
- Luo, J.; Shu, C.W.; Zhang, Q. A priori error estimates to smooth solutions of the third order Runge–Kutta discontinuous Galerkin method for symmetrizable systems of conservation laws. ESAIM: Math. Model. Numer. Anal. 2015, 49, 991–1018. [Google Scholar] [CrossRef][Green Version]
- Zhang, Q.; Shu, C.W. Error estimates to smooth solutions of Runge–Kutta discontinuous Galerkin method for symmetrizable systems of conservation laws. SIAM J. Numer. Anal. 2006, 44, 1703–1720. [Google Scholar] [CrossRef]
- Barth, T.J. Numerical methods for gas-dynamics systems on unstructured meshes. In An Introduction to Recent Developments in Theory and Numerics of Conservation Laws; Kroner, D., Ohlberger, M., Rohde, C., Eds.; Springer: Berlin, Germany, 1999; Volume 5, pp. 195–285. [Google Scholar] [CrossRef]
- Tadmor, E. The numerical viscosity of entropy stable schemes for systems of conservation laws, I. Math. Comput. 1987, 49, 91–103. [Google Scholar] [CrossRef]
- Fjordholm, U.S.; Mishra, S.; Tadmor, E. Energy preserving and energy stable schemes for the shallow water equations. In Foundations of Computational Mathematics, Hong Kong 2008; London Mathematical Society Lecture Note Series; Cucker, F., Pinkus, A., Todd, M., Eds.; Cambridge University Press: Cambridge, UK, 2009; Volume 363, pp. 93–139. [Google Scholar] [CrossRef]
- Tadmor, E. Entropy stability theory for difference approximations of nonlinear conservation laws and related time-dependent problems. Acta Numer. 2003, 12, 451–512. [Google Scholar] [CrossRef]
- Lefloch, P.G.; Mercier, J.M.; Rohde, C. Fully discrete entropy conservative schemes of arbitrary order. SIAM J. Numer. Anal. 2002, 40, 1968–1992. [Google Scholar] [CrossRef]
- Fjordholm, U.S.; Mishra, S.; Tadmor, E. ENO reconstruction and ENO interpolation are stable. Found. Comput. Math. 2013, 13, 139–159. [Google Scholar] [CrossRef]
- Pareschi, L.; Russo, G. Implicit-Explicit Runge-Kutta Schemes and Applications to Hyperbolic Systems with Relaxation. J. Sci. Comput. 2005, 25, 129–155. [Google Scholar] [CrossRef]
- Boscarino, S.; Filbet, F.; Russo, G. High Order Semi-implicit Schemes for Time Dependent Partial Differential Equations. J. Sci. Comput. 2016, 68, 975–1001. [Google Scholar] [CrossRef]
- Boscarino, S.; Bürger, R.; Mulet, P.; Russo, G.; Villada, L.M. Linearly implicit IMEX Runge-Kutta methods for a class of degenerate convection-diffusion problems. SIAM J. Sci. Comput. 2015, 37, B305–B331. [Google Scholar] [CrossRef]
- Gottlieb, S.; Shu, C.W.; Tadmor, E. Strong stability-preserving high-order time discretization methods. SIAM Rev. 2001, 43, 89–112. [Google Scholar] [CrossRef]
- Womersley, J. On the oscillatory motion of a viscous liquid in thin-walled elastic tube: I. Philos. Mag. 1955, 46, 199–221. [Google Scholar] [CrossRef]




Publisher’s Note: MDPI stays neutral with regard to jurisdictional claims in published maps and institutional affiliations. |
© 2022 by the authors. Licensee MDPI, Basel, Switzerland. This article is an open access article distributed under the terms and conditions of the Creative Commons Attribution (CC BY) license (https://creativecommons.org/licenses/by/4.0/).
Share and Cite
Valbuena, S.; Vega, C.A. Using a Separable Mathematical Entropy to Construct Entropy-Stable Schemes for a Reduced Blood Flow Model. Mathematics 2022, 10, 3314. https://doi.org/10.3390/math10183314
Valbuena S, Vega CA. Using a Separable Mathematical Entropy to Construct Entropy-Stable Schemes for a Reduced Blood Flow Model. Mathematics. 2022; 10(18):3314. https://doi.org/10.3390/math10183314
Chicago/Turabian StyleValbuena, Sonia, and Carlos A. Vega. 2022. "Using a Separable Mathematical Entropy to Construct Entropy-Stable Schemes for a Reduced Blood Flow Model" Mathematics 10, no. 18: 3314. https://doi.org/10.3390/math10183314
APA StyleValbuena, S., & Vega, C. A. (2022). Using a Separable Mathematical Entropy to Construct Entropy-Stable Schemes for a Reduced Blood Flow Model. Mathematics, 10(18), 3314. https://doi.org/10.3390/math10183314

