Progression of Cognitive-Affective States During Learning in Kindergarteners: Bringing Together Physiological, Observational and Performance Data
Abstract
1. Introduction
- Understanding and illustrating the progression of cognitive-affective states as kindergartners learn STEM concepts taught using constructionist and instructionist approaches through the collection and analysis of physiological, observational and performance measures.
- A synthesis of several recommendations based on our study and previous work for conducting similar studies with young children, especially the collection and analysis of physiological data.
1.1. Background
1.1.1. Cognitive Affective States in Learning
1.1.2. Assessments in Learning
- Diagnostic/assessment for learning: The teacher gathers information on the student’s existing skills, preferences, learning needs and readiness. The information is then used to plan the lessons and learning paths that are differentiated and suited to the learner’s needs and skills.
- Formative/assessment for learning: The teacher conducts the assessments to evaluate learners’ skills and the nature of students’ strengths and weaknesses, and to help develop students’ capabilities. The information is collected in a planned manner during ongoing learning and used to keep track of the progress with respect to the curricular goals and further set individual goals for learning. These may include formal and informal observations, discussions, learning conversations, questioning, conferences, homework, tasks done in groups, demonstrations, projects, portfolios, performances, peer and self-assessments, self-reflections, essays and tests [3].
- Summative/assessment of learning: These assessments occur at the end of a learning period and are designed to provide information about student achievement and also work as an accountability mechanism to evaluate teachers and schools [28]. These include performance tasks, exams, standardized exams, demonstrations, projects and essays.
1.2. Measuring Cognitive Affective States
- Context of research: Since such multi-modal sensing is central to intelligent and affect-aware tutoring systems, much of the work is conducted in specific settings, such as with intelligent tutors and learning in computer-based environments [5,42,43,44,45,46,47]. Some other research has used more experimental and laboratory settings to explore the physiological activations under stress and cognitive load (for example, [48,49,50]. These studies are indeed important to tease apart the underlying physiological phenomena when a person engages in different levels of mental effort, by eliminating a lot of confounding variables and the challenges that come with ambulatory settings. However, it is challenging to measure day-to-day phenomena in the sterile environment of a fully controlled laboratory, especially with fixed stimuli [51].
- Age group: Most of the work has focused on learning in high school and university students or adults [5,8,42,47,52,53]. One of the reasons why affect has not been explored much in children is because it is hard to measure. While it is more convenient to get performance scores and test the ability to transfer learning, it is harder to measure how the learner feels during the entire process [25].
Multi-Modal Sensing towards Detection of Cognitive-Affective States
1.3. Pedagogical Approaches
2. Method
2.1. Participants and Stimuli
2.2. Procedure
- Connect (5 min): The goal of this stage was to provide a context/problem scenario that presents an opportunity to help identify the problem and investigate how best to come up with a solution. The experimenter narrated a story to set a scene for participants. The experimenter then encouraged participants to come up with a solution. Following this, the participants were pointed to the resources at hand and encouraged to “build” the solution. The participant’s role here was to mainly attend to the experimenter to understand the challenge and appreciate that the solution is linked to a problem.
- Construct (10–15 min): The goal was to use the building instructions and build models embodying concepts related to the key learning areas. The participants were encouraged to use the cards that showed a step-by-step procedure on how to construct a pinwheel using the blocks (see Figure 1). The facilitator provided the instruction sheet and blocks and encouraged the participant to follow the sheet and build the desired model. Further, the instructions supported the development of technical knowledge and understanding. The participant built the model following instructions and had the opportunity to raise any doubts.
- Contemplate (10 min): The goal of this stage was to encourage the participants to conduct scientific investigations with their constructions. Through their investigations participants learnt to identify and compare test results.The experimenter provided questions that encouraged participants to compare two solutions and reason their answers (e.g., “Predict which of the wheels will start turning near the fan” or, “How far from the fan will the pinwheel start turning”). The participant was asked to reflect on what happened, why it happened, if it matched their predictions, how the model works, if the test was fair and in general describe what happened and to reflect and share their thoughts on questions posed by the experimenter.
- Question and answer (5 min): At the end of the session, the participants were asked five questions that tested the concepts learnt. These included multiple choice, open-ended and true/false questions.
- Teaching concept (10–15 min): The experimenter introduced the concept through a lecture where energy and wind energy were explained with definition and examples. The content taught was the same as the constructionist approach, except it took the form of a lecture.
- Videos (8–10 min): The participants viewed two videos that demonstrated the concept of energy and its forms and wind energy (what it means and uses with examples).
- Demonstration (10 min): The teacher finally demonstrated wind energy using an electric fan and manually blowing different materials such as leaves, paper, foil, tissue, ball, chair, toy etc.
- Question and answer (5 min): At the end of the session, the participants were asked five questions that tested the concepts learnt. These included multiple choice, open-ended and true/false questions.
2.3. Data Collection
2.4. Data Analysis
3. Results and Discussion
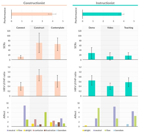
3.1. Constructionist Approach
3.2. Instructionist Approach
3.3. Comparison of the Two Approaches
3.4. Case Illustrations

4. Recommendations for Running Similar Studies
4.1. General Considerations
- Importance of establishing rapport: Any procedure with children as participants, especially those that look at emotional/physiological responses, must begin with rapport building and data must be collected from a very familiar environment. In this study, the experimenter spent a week with the participants in their classroom in art and play activities.
- Including repeated baselines and breaks between tasks: If the participants undergo different activities, it is recommended that a baseline be established before every task to estimate changes in physiological measures. It is also recommended that the entire procedure be conducted under controlled ambient conditions, as room temperature and humidity may influence the physiological and to some extend emotional responses.
- Familiarity with on-seat tasks and compliance: Since this was a preschool group who were more familiar with compliance and on-seat behaviors, there were not many issues with compliance with experimental instructions, which is an important factor for learning tasks.
- Effect on task time on physiological measurements: Time taken to complete a task has an effect on the measurements. For example, a very short task may not capture the fluctuation in the physiological parameters well. A very long task, on the other hand, may bore or tire the child, thereby discouraging him from even continuing participation. Using a combination of short and longer tasks may best mimic learning in real-life situations. Tasks can also be categorized as being consistently easy at the start and increasing in difficulty towards later parts, or have a mix of easy and difficult items interspersed. Having mixed-difficulty tasks may give a good insight into whether the measures are truly responsive to randomly occurring difficulties and cognitive load and not just built up over time.
- Keeping instructions simple and clear with ample opportunities to test understanding: It is recommended to have ample opportunities for the practice task. This is to ensure that the performance on the tasks and other physiological data collected from the task are a reflection of the ability tested by the task rather than errors resulting from misinterpretation or lack of understanding.
Specific Considerations in Eliciting EDA Data
- Capturing non-specific SCR (NS-SCRs) for learning tasks: NS-SCRs are those responses that are not associated with discrete stimuli. Such responses are not measured in terms of amplitude but rather as the number of SCRs per minute or over the time period of activity. A minimum value must be specified as the threshold. Current sensors allow for setting thresholds as low as 0.01 microsiemens, which is more appropriate for small children, as the NS-SCRs with no sudden external stimuli do not evoke the same intensity of response as in the case of sudden stimuli.
- Monitoring any drastic changes in the tonic component of SCR: According to Dawson et al., (2011) [60], increases in non-SCRs are attributed to (a) an increase in tonic arousal, energy regulation or mobilization, (b) attentional and information processing, or (c) stress and affect. The tonic arousal can be ruled out by looking at any abrupt increases in Skin Conductance Levels (SCLs) over time windows.
- Awareness of developmental effects on SCRs: SCRs in general are reported to appear later in children and even though they develop fairly well by 5–6 years [78], as we noticed in the responses in the study, it is recommended to include video taping of the sessions in order to capture other signs when physiological signals are missing. Further, since the SCR does not offer data on valence, the video-taping will facilitate interpretation of SCRs to some extent.
4.2. Specific Considerations in Eliciting HRV Data
- Accounting for data loss from insufficient contact between photoplethysmography (PPG) sensor sensor and small wrist size: In spite of the adjustable strap and getting the tightest fit, the PPG sensor for heart rate measurement sometimes did not achieve good contact with the wrist of the participant owing to their small wrist size, which resulted in data loss. In order to prevent this, we used a small pad of cloth near the strap to enable better contact of the PPG sensor on the wrist, especially for children of smaller build.
- Eliminating artifacts and accounting for data loss from optical noise: The biggest challenge with HR measurements from optical sensors is missing data from motion noise. As a result, there were periods where the HR measurements were not recorded because the child moved their hands a lot. While small movements do not affect this, sudden big movements result in a loss of data. Therefore if the child is exerting mental effort but makes a movement during this period, there is always a risk of losing the data. Therefore using video data and other contextual cues is important to decipher why data are missing or what may have ensued during this period. It is recommended to check for noise when children make general normal motor movements like moving of hands, head movements etc. when performing an activity. In our case, we did not find this to impact their skin conductance data, while some movements resulted in loss of heart rate measures for that brief period. Being aware of how such movement impact data is important when interpreting the data. For example, it helps to look at the accelerometer data to see if there was a movement if video tapes do not present very obvious movements.
5. Limitations
6. Conclusions and Future Work
Author Contributions
Funding
Conflicts of Interest
References
- Edith, A. Piaget’s Constructivism, Papert’s Constructionism: What’s the Difference; Massachusetts Institute of Technology: Cambridge, MA, USA, 2002. [Google Scholar]
- Resnick, L.B.; Resnick, D.P. Assessing the thinking curriculum: New tools for educational reform. In Changing Assessments; Springer: Dordrecht, The Netherlands, 1992; pp. 37–75. [Google Scholar]
- Ontario Ministry of Education. Growing Success: Assessment, Evaluation and Reporting in Ontario Schools; Ontario Ministry of Education: Toronto, ON, Canada, 2010. [Google Scholar]
- Pekrun, R. The control-value theory of achievement emotions: Assumptions, corollaries, and implications for educational research and practice. Educ. Psychol. Rev. 2006, 18, 315–341. [Google Scholar] [CrossRef]
- D’Mello, S.; Graesser, A. Dynamics of affective states during complex learning. Learn. Instr. 2012, 22, 145–157. [Google Scholar] [CrossRef]
- Sridhar, P.K.; Chan, S.W.; Nanayakkara, S. Going beyond performance scores: Understanding cognitive-affective states in kindergarteners. In Proceedings of the 17th ACM Conference on Interaction Design and Children, Trondheim, The Netherlands, 19–22 June 2018; pp. 253–265. [Google Scholar]
- O’Donoghue, T.; Punch, K. Qualitative Educational Research in Action: Doing and Reflecting; Routledge: Abingdon, UK, 2003. [Google Scholar]
- Woolf, B.; Burleson, W.; Arroyo, I.; Dragon, T.; Cooper, D.; Picard, R. Affect-aware tutors: Recognising and responding to student affect. Int. J. Learn. Technol. 2009, 4, 129–164. [Google Scholar] [CrossRef]
- Johnson, G.M. Instructionism and Constructivism: Reconciling Two Very Good Ideas. Int. J. Spec. Educ. 2005, 24, 90–98. [Google Scholar]
- Schug, M.C.; Tarver, S.G.; Western, R.D. Direct Instruction and the Teaching of Early Reading: Wisconsin’s Teacher-Led Insurgency; Wisconsin Policy Research Institute Report; Wisconsin Policy Research Institute: Thiensville, WI, USA, 2001; Volume 14, Number 2. [Google Scholar]
- Jonassen, D.H. Computers in the Classroom: Mindtools for Critical Thinking; Prentice-Hall, Inc.: Upper Saddle River, NY, USA, 1996. [Google Scholar]
- Sumida, M. Kids science academy: Talent development in STEM from the early childhood years. In Science Education in East Asia; Springer International Publishing: Cham, The Netherlands, 2015; pp. 269–295. [Google Scholar]
- Jones, A.L.; Stapleton, M.K. 1.2 million kids and counting—Mobile science laboratories drive student interest in STEM. PLoS Biol. 2017, 15, e2001692. [Google Scholar]
- Kessen, W.; Ortony, A.; Craik, F. Memories, Thoughts, and Emotions: Essays in Honor of George Mandler; Psychology Press: Hove, UK, 2013. [Google Scholar]
- Dweck, C.S. Motivational processes affecting learning. Am. Psychol. 1986, 41, 1040–1048. [Google Scholar] [CrossRef]
- Ames, C.; Archer, J. Achievement goals in the classroom: Students’ learning strategies and motivation processes. J. Educ. Psychol. 1988, 80, 260–267. [Google Scholar] [CrossRef]
- Dweck, C.S.; Leggett, E.L. A social-cognitive approach to motivation and personality. Psychol. Rev. 1988, 95, 256–273. [Google Scholar] [CrossRef]
- Csikszentmihalyi, M. Finding Flow; Basic Books: New York, NY, USA, 1997. [Google Scholar]
- Kort, B.; Reilly, R.; Picard, R.W. An affective model of interplay between emotions and learning: Reengineering educational pedagogy-building a learning companion. In Proceedings of the IEEE International Conference on Advanced Learning Technologies, Madison, WI, USA, 6–8 August 2001; pp. 43–46. [Google Scholar]
- Pekrun, R.; Goetz, T.; Daniels, L.M.; Stupnisky, R.H.; Perry, R.P. Boredom in achievement settings: Exploring control–value antecedents and performance outcomes of a neglected emotion. J. Educ. Psychol. 2010, 102, 531. [Google Scholar] [CrossRef]
- Conati, C.; Maclaren, H. Empirically building and evaluating a probabilistic model of user affect. User Model. User Adapt. Interact. 2009, 19, 267–303. [Google Scholar] [CrossRef]
- Forbes-Riley, K.; Litman, D. Metacognition and learning in spoken dialogue computer tutoring. In Proceedings of the International Conference on Intelligent Tutoring Systems, Pittsburgh, PA, USA, 14–18 June 2010; pp. 379–388. [Google Scholar]
- Hussain, M.S.; AlZoubi, O.; Calvo, R.A.; D’Mello, S.K. Affect detection from multichannel physiology during learning sessions with AutoTutor. In Proceedings of the International Conference on Artificial Intelligence in Education, Auckland, New Zealand, 28 June–1 July 2011; pp. 131–138. [Google Scholar]
- Bransford, J.D.; Schwartz, D.L. Chapter 3: Rethinking transfer: A simple proposal with multiple implications. Rev. Res. Educ. 1999, 24, 61–100. [Google Scholar] [CrossRef]
- Picard, R.W.; Papert, S.; Bender, W.; Blumberg, B.; Breazeal, C.; Cavallo, D.; Machover, T.; Resnick, M.; Roy, D.; Strohecker, C. Affective learning—A manifesto. BT Technol. J. 2004, 22, 253–269. [Google Scholar] [CrossRef]
- Sutton, R. Assessment for Learning; RS Publications: Manchester, UK, 1995. [Google Scholar]
- Harlen, W. On the relationship between assessment for formative and summative purposes. Assess. Learn. 2006, 2, 95–110. [Google Scholar]
- Garrison, C.; Ehringhaus, M. Formative and Summative Assessments in the Classroom. Available online: https://www.amle.org/browsebytopic/whatsnew/wndet/tabid/270/artmid/888/articleid/286/formative-and-summative-assessments-in-the-classroom.aspx (accessed on 19 June 2018).
- York, B.N.; Loeb, S. One Step at a Time: The Effects of an Early Literacy Text Messaging Program for Parents of Preschoolers; Technical Report; National Bureau of Economic Research: Cambridge, MA, USA, 2014. [Google Scholar]
- Clune, W.H.; White, P.A. Policy Effectiveness of Interim Assessments in Providence Public Schools; WCER Working Paper No. 2008-10; Wisconsin Center for Education Research (NJ1): Madison, WI, USA, 2008. [Google Scholar]
- Maxwell, G.S. Teacher Observation in Student Assessment. Available online: https://digitised-collections.unimelb.edu.au/bitstream/handle/11343/115657/scpp-00437-qld-2001.pdf?sequence=1 (accessed on 23 June 2018).
- Read, J.C.; MacFarlane, S. Using the fun toolkit and other survey methods to gather opinions in child computer interaction. In Proceedings of the 2006 Conference on Interaction Design and Children, Tampere, Finland, 12–14 June 2006; pp. 81–88. [Google Scholar]
- Pociask, F.D.; Morrison, G.R. Controlling split attention and redundancy in physical therapy instruction. Educ. Technol. Res. Dev. 2008, 56, 379–399. [Google Scholar] [CrossRef]
- Hasler, B.S.; Kersten, B.; Sweller, J. Learner control, cognitive load and instructional animation. Appl. Cogn. Psychol. 2007, 21, 713–729. [Google Scholar] [CrossRef]
- Yuksel, B.F.; Oleson, K.B.; Harrison, L.; Peck, E.M.; Afergan, D.; Chang, R.; Jacob, R.J. Learn piano with BACh: An adaptive learning interface that adjusts task difficulty based on brain state. In Proceedings of the 2016 CHI Conference on Human Factors in Computing Systems, San Jose, CA, USA, 7–12 May 2016; pp. 5372–5384. [Google Scholar]
- Leppink, J.; van den Heuvel, A. The evolution of cognitive load theory and its application to medical education. Perspect. Med Educ. 2015, 4, 119–127. [Google Scholar] [CrossRef]
- Picho, K.; Artino, A.R., Jr. 7 deadly sins in educational research. J. Grad. Med. Educ. 2016, 8, 483–487. [Google Scholar] [CrossRef][Green Version]
- Mayer, R.E.; Hegarty, M.; Mayer, S.; Campbell, J. When static media promote active learning: Annotated illustrations versus narrated animations in multimedia instruction. J. Exp. Psychol. Appl. 2005, 11, 256–265. [Google Scholar] [CrossRef]
- Nakasone, A.; Prendinger, H.; Ishizuka, M. Emotion recognition from electromyography and skin conductance. In Proceedings of the 5th International Workshop on Biosignal Interpretation, Tokyo, Japan, 6–8 September 2005; pp. 219–222. [Google Scholar]
- Lyu, Y.; Luo, X.; Zhou, J.; Yu, C.; Miao, C.; Wang, T.; Shi, Y.; Kameyama, K.I. Measuring photoplethysmogram-based stress-induced vascular response index to assess cognitive load and stress. In Proceedings of the 33rd Annual ACM Conference on Human Factors in Computing Systems, Seoul, Korea, 18–23 April 2015; pp. 857–866. [Google Scholar]
- Calvo, R.A.; D’Mello, S.K. New Perspectives on Affect and Learning Technologies; Springer Science & Business Media: Berlin, Germany, 2011; Volume 3. [Google Scholar]
- Vail, P.L. Emotion: The on/off Switch for Learning; Modern Learning Press: Rosemont, NJ, USA, 1994. [Google Scholar]
- Hartley, D.; Mitrovic, A. Supporting learning by opening the student model. In Proceedings of the International Conference on Intelligent Tutoring Systems, San Sebastian, Spain, 2–7 June 2002; pp. 453–462. [Google Scholar]
- Gluga, R. Long term student learner modeling and curriculum mapping. In Proceedings of the International Conference on Intelligent Tutoring Systems, Pittsburgh, PA, USA, 14–18 June 2010; pp. 227–229. [Google Scholar]
- Corbett, A.T.; Anderson, J.R. Student modeling and mastery learning in a computer-based programming tutor. In Proceedings of the International Conference on Intelligent Tutoring Systems, Montreal, QC, Canada, 10–12 June 1992; pp. 413–420. [Google Scholar]
- Stevens, R.; Soller, A.; Cooper, M.; Sprang, M. Modeling the development of problem solving skills in chemistry with a web-based tutor. In Proceedings of the International Conference on Intelligent Tutoring Systems, Maceio, Brazil, 30 August–3 September 2004; pp. 580–591. [Google Scholar]
- D’Mello, S.K.; Graesser, A. Multimodal semi-automated affect detection from conversational cues, gross body language, and facial features. User Model. User Adapt. Interact. 2010, 20, 147–187. [Google Scholar] [CrossRef]
- McDuff, D.J.; Hernandez, J.; Gontarek, S.; Picard, R.W. Cogcam: Contact-free measurement of cognitive stress during computer tasks with a digital camera. In Proceedings of the 2016 CHI Conference on Human Factors in Computing Systems, San Jose, CA, USA, 7–12 May 2016; pp. 4000–4004. [Google Scholar]
- Shi, Y.; Ruiz, N.; Taib, R.; Choi, E.; Chen, F. Galvanic skin response (GSR) as an index of cognitive load. In Proceedings of the CHI’07 extended abstracts on Human factors in computing systems, San Jose, CA, USA, 28 April–3 May 2007; pp. 2651–2656. [Google Scholar]
- Setz, C.; Arnrich, B.; Schumm, J.; La Marca, R.; Tröster, G.; Ehlert, U. Discriminating stress from cognitive load using a wearable EDA device. IEEE Trans. Inf. Technol. Biomed. 2010, 14, 410–417. [Google Scholar] [CrossRef]
- Hedman, E.B. Thick Psychophysiology for Empathic Design. Ph.D. Thesis, Massachusetts Institute of Technology, Cambridge, MA, USA, 2014. [Google Scholar]
- Arroyo, I.; Cooper, D.G.; Burleson, W.; Woolf, B.P.; Muldner, K.; Christopherson, R. Emotion sensors go to school. In Proceedings of the AIED 2009, Brighton, UK, 6–10 July 2009; Volume 200, pp. 17–24. [Google Scholar]
- Vail, A.K.; Grafsgaard, J.F.; Boyer, K.E.; Wiebe, E.N.; Lester, J.C. Predicting learning from student affective response to tutor questions. In Proceedings of the International Conference on Intelligent Tutoring Systems, Zagreb, Croatia, 7–10 June 2016; pp. 154–164. [Google Scholar]
- Calvo, R.A.; D’Mello, S. Affect detection: An interdisciplinary review of models, methods, and their applications. IEEE Trans. Affect. Comput. 2010, 1, 18–37. [Google Scholar] [CrossRef]
- Ekman, P. Facial expression and emotion. Am. Psychol. 1993, 48, 384–392. [Google Scholar] [CrossRef] [PubMed]
- Jaimes, A.; Sebe, N. Multimodal human–computer interaction: A survey. Comput. Vis. Image Underst. 2007, 108, 116–134. [Google Scholar] [CrossRef]
- Craig, S.; Graesser, A.; Sullins, J.; Gholson, B. Affect and learning: An exploratory look into the role of affect in learning with AutoTutor. J. Educ. Media 2004, 29, 241–250. [Google Scholar] [CrossRef]
- Najafpour, E.; Asl-Aminabadi, N.; Nuroloyuni, S.; Jamali, Z.; Shirazi, S. Can galvanic skin conductance be used as an objective indicator of children’s anxiety in the dental setting? J. Clin. Exp. Dent. 2017, 9, e377–e383. [Google Scholar] [CrossRef] [PubMed][Green Version]
- Posthumus, J.A.; Böcker, K.; Raaijmakers, M.; Van Engeland, H.; Matthys, W. Heart rate and skin conductance in four-year-old children with aggressive behavior. Biol. Psychol. 2009, 82, 164–168. [Google Scholar] [CrossRef]
- Dawson, M.E.; Schell, A.M.; Courtney, C.G. The skin conductance response, anticipation, and decision-making. J. Neurosci. Psychol. Econ. 2011, 4, 111–116. [Google Scholar] [CrossRef]
- Bousefsaf, F.; Maaoui, C.; Pruski, A. Remote assessment of the heart rate variability to detect mental stress. In Proceedings of the 2013 7th International Conference on Pervasive Computing Technologies for Healthcare and Workshops, Venice, Italy, 5–8 May 2013; pp. 348–351. [Google Scholar]
- Hjortskov, N.; Rissén, D.; Blangsted, A.K.; Fallentin, N.; Lundberg, U.; Søgaard, K. The effect of mental stress on heart rate variability and blood pressure during computer work. Eur. J. Appl. Physiol. 2004, 92, 84–89. [Google Scholar] [CrossRef]
- Moses, Z.B.; Luecken, L.J.; Eason, J.C. Measuring task-related changes in heart rate variability. In Proceedings of the 2007 29th Annual International Conference of the IEEE Engineering in Medicine and Biology Society, Lyon, France, 22–26 August 2007; pp. 644–647. [Google Scholar]
- Fairclough, S.H. Fundamentals of physiological computing. Interact. Comput. 2008, 21, 133–145. [Google Scholar] [CrossRef]
- Kapoor, A.; Mota, S.; Picard, R.W. Towards a learning companion that recognizes affect. In Proceedings of the AAAI Fall Symposium, North Falmouth, MA, USA, 2–4 November 2001; pp. 2–4. [Google Scholar]
- Papert, S.; Harel, I. Situating constructionism. Constructionism 1991, 36, 1–11. [Google Scholar]
- Carbonaro, M. Making technology an integral part of teaching: The development of a constructionist multimedia course for teacher education. J. Technol. Teach. Educ. 1997, 5, 255–280. [Google Scholar]
- Penner, D.E. Chapter 1: Cognition, computers, and synthetic science: Building knowledge and meaning through modeling. Rev. Res. Educ. 2000, 25, 1–35. [Google Scholar] [CrossRef]
- Rogers, C.; Portsmore, M. Bringing engineering to elementary school. J. STEM Educ. Innov. Res. 2004, 5, 17–28. [Google Scholar]
- Kazdin, A.E. Behavior Modification in Applied Settings; Waveland Press: Long Grove, IL, USA, 2012. [Google Scholar]
- Adams, G.L.; Engelmann, S. Research on Direct Instruction: 25 Years beyond DISTAR.; Educational Achievement Systems: Seattle, WA, USA, 1996. [Google Scholar]
- Engelmann, S.; Carnine, D. Theory of Instruction: Principles and Applications; Irvington Publishers: New York, NY, USA, 1982. [Google Scholar]
- Swanson, H.L. Searching for the best model for instructing students with learning disabilities. Focus Except. Child. 2001, 34, 1. [Google Scholar]
- Braithwaite, J.J.; Watson, D.G.; Jones, R.; Rowe, M. A guide for analysing electrodermal activity (EDA) & skin conductance responses (SCRs) for psychological experiments. Psychophysiology 2013, 49, 1017–1034. [Google Scholar]
- Benedek, M.; Kaernbach, C. A continuous measure of phasic electrodermal activity. J. Neurosci. Methods 2010, 190, 80–91. [Google Scholar] [CrossRef]
- Tarvainen, M.P.; Niskanen, J.P.; Lipponen, J.A.; Ranta-Aho, P.O.; Karjalainen, P.A. Kubios HRV–heart rate variability analysis software. Comput. Methods Programs Biomed. 2014, 113, 210–220. [Google Scholar] [CrossRef]
- Baker, R.S.; D’Mello, S.K.; Rodrigo, M.M.T.; Graesser, A.C. Better to be frustrated than bored: The incidence, persistence, and impact of learners’ cognitive–affective states during interactions with three different computer-based learning environments. Int. J. Hum. Comput. Stud. 2010, 68, 223–241. [Google Scholar] [CrossRef]
- Fowles, D.C. 10 The Measurement of Electrodermal Activity in Children. In Developmental Psychophysiology: Theory, Systems, and Methods; Cambridge University Press: Cambridge, UK, 2007; p. 286. [Google Scholar]
- Bloom, B.S. Bloom’s Taxonomy of Educational Objectives; Longman: Harlow, UK, 1965. [Google Scholar]
- Kharrufa, A.; Rix, S.; Osadchiy, T.; Preston, A.; Olivier, P. Group Spinner: Recognizing and visualizing learning in the classroom for reflection, communication, and planning. In Proceedings of the 2017 CHI Conference on Human Factors in Computing Systems, Denver, CO, USA, 6–11 May 2017; pp. 5556–5567. [Google Scholar]





© 2020 by the authors. Licensee MDPI, Basel, Switzerland. This article is an open access article distributed under the terms and conditions of the Creative Commons Attribution (CC BY) license (http://creativecommons.org/licenses/by/4.0/).
Share and Cite
Sridhar, P.K.; Nanayakkara, S. Progression of Cognitive-Affective States During Learning in Kindergarteners: Bringing Together Physiological, Observational and Performance Data. Educ. Sci. 2020, 10, 177. https://doi.org/10.3390/educsci10070177
Sridhar PK, Nanayakkara S. Progression of Cognitive-Affective States During Learning in Kindergarteners: Bringing Together Physiological, Observational and Performance Data. Education Sciences. 2020; 10(7):177. https://doi.org/10.3390/educsci10070177
Chicago/Turabian StyleSridhar, Priyashri Kamlesh, and Suranga Nanayakkara. 2020. "Progression of Cognitive-Affective States During Learning in Kindergarteners: Bringing Together Physiological, Observational and Performance Data" Education Sciences 10, no. 7: 177. https://doi.org/10.3390/educsci10070177
APA StyleSridhar, P. K., & Nanayakkara, S. (2020). Progression of Cognitive-Affective States During Learning in Kindergarteners: Bringing Together Physiological, Observational and Performance Data. Education Sciences, 10(7), 177. https://doi.org/10.3390/educsci10070177

