Next Article in Journal
From Theoretical Framework to Empirical Investigation: A Bibliometric Analysis of Research Evolution and Emerging Trends in Polarity Sensitivity Studies Between 1980 and 2023
Next Article in Special Issue
The Importance of Being Onset: Tuscan Lenition and Stops in Coda Position
Previous Article in Journal
Multimodal Pragmatic Markers of Feedback in Dialogue
Previous Article in Special Issue
Test Fonetico per la Prima Infanzia (TFPI): A New Instrument to Assess Italian Toddlers’ Phonetic Development
 
 
Font Type:
Arial Georgia Verdana
Font Size:
Aa Aa Aa
Line Spacing:
Column Width:
Background:
Article

Inherently Long Consonants in Contemporary Italian Varieties: Regional Variation and Orthographic Effects

1
UMR 8163 STL, University of Lille, 59000 Lille, France
2
Department of Philology and Literary Criticism, University of Siena, 53100 Siena, Italy
3
Department of Foreign Languages, Literatures and Modern Cultures, University of Turin, 10124 Turin, Italy
*
Authors to whom correspondence should be addressed.
Languages 2025, 10(6), 118; https://doi.org/10.3390/languages10060118
Submission received: 31 May 2024 / Revised: 18 April 2025 / Accepted: 3 May 2025 / Published: 23 May 2025
(This article belongs to the Special Issue Speech Variation in Contemporary Italian)

Abstract

In this article, we analyse durational variation for inherently long consonants in Italian. Productions by 40 speakers of four regional varieties were elicited via a read-aloud task containing target words with inherently long consonants in the post-consonantal vs. intervocalic position. The analysis of acoustic durations revealed variation. Overall, we found that /ts/, /dz/ and /ʎ/ were considerably longer intervocalically than post-consonantally, although by smaller ratios than those reported in the literature for contrastive geminates; the effect was smaller for /ʃ/ and barely detectable for /ɲ/. We also detected a trend to lengthen /dz/ and /ʃ/ after a morphemic boundary. In terms of regional variation, north-eastern speakers were found to diverge from the others, with shorter durations and less consistent durational patterns. Additionally, we verified the existence of lengthening induced by double letters for /ts/ (vizi—vizzi) and /dz/ (Gaza—gazza), and only found it for /dz/, particularly for north-eastern speakers. We argue that this may originally have been an orthographic effect due to the acquisition of Italian at school via the written form by past generations, which has been lost for /ts/ but preserved for /dz/ under the influence of loanwords spelled with <z> and pronounced as short intervocalically.

1. Introduction

Italian displays two forms of consonant gemination: lexical and syntactic (Di Benedetto et al., 2021; Vietti, 2019). Lexical gemination occurs within words and is contrastive. This means that the distinction between long (geminate) and short (singleton) consonants can differentiate members of a minimal pair, as in fatto /ˈfatːo/ (‘done’) vs. fato /ˈfato/ (‘fate’). Gemination has a high functional load in Italian, with numerous minimal pairs in the lexicon. Syntactic gemination (or sandhi gemination) refers to a lengthening of word-initial consonants across word boundaries in connected speech under specific positional conditions, a phenomenon which is sometimes referred to as raddoppiamento (or rafforzamento) fonosintattico (RF) or raddoppiamento (or rafforzamento) sintattico (RS) (for an overview of RF, see Loporcaro, 1997). Additionally, Italian phonological descriptions attribute a special status to /ts/, /dz/, /ʃ/, /ɲ/ and /ʎ/, for which duration is not contrastive but positionally determined: these five consonants are described as being long intervocalically and word-initially if preceded by a vowel, and short in the post-consonantal position (Muljačić, 1972). In the international literature, these consonants are sometimes referred to as inherent geminates (e.g., Payne, 2005; Mairano & De Iacovo, 2020). However, we do not consider this term as accurate, since gemination refers to a phonological property and implies contrastiveness. In the Italian literature, these consonants are sometimes referred to as rafforzate (‘strengthened’, e.g., Endo & Bertinetto, 1999), but this is misleading as it may suggest an articulatory strengthening. In this article, we shall refer to them as ‘inherently long’.
Lexical gemination has been the focus of a large body of literature, both for central varieties and, more recently, for northern and southern varieties. Sandhi gemination has also received considerable attention, though its investigation has been less systematic (Stevens, 2011). Instead, the durational patterns of inherently long consonants have attracted far less attention in the literature, and even less so in terms of regional variation. The reason for specifically looking at these consonants is not only motivated by the wish to fill a gap in the literature but is also rooted in their relation with spelling. Contrastive geminates were thought to undergo a high degree of regional variation, but recent studies have found that they are consistently realised throughout the peninsula (Mairano & De Iacovo, 2020; Dian & Burroni, 2024), thus suggesting that the progressive standardisation of the language is levelling out regional differences among contemporary speakers (Crocco, 2017; Marković, 2019). Given that contrastive gemination is orthographically transparent, it seems reasonable to believe that spelling may have promoted the realisation of standard patterns for geminate consonants within the peninsula. However, since inherently long consonants are not indicated by Italian orthography, and since such consonants are not described as inherently long in northern dialects, they constitute an interesting case study which may shed light on the role of spelling within the standardisation process. We also take this opportunity to verify a specific orthographic effect, by which /ts/ and /dz/ have been claimed to be contrastive for northern speakers (Bertinetto & Loporcaro, 2005; Bertinetto, 2010).
Overall, we aim to explore three types of variation affecting the durational patterns of inherently long consonants in Italian: (i) phonologically conditioned variation (as caused by the phonological context and stress pattern); (ii) regional variation (referred to as ‘diatopic variation’ in the Romance sociolinguistic and dialectological tradition) across four different survey points (Arezzo, Cagliari, Trento and Turin) in different linguistic macro-areas; and (iii) orthographic effects of double letters for /ts/ and /dz/ as explained above, as well as for foreign spellings of /ʃ/ for loanwords such as <sh> and <ch> (as for sushi /ˈsuʃi/, or cliché, /kliˈʃe/). In the following section, we present the background, first introducing studies on contrastive gemination, then shifting the focus to inherently long consonants. The data and the methodology are detailed in Section 3 before presenting the results in Section 4. Section 5 concludes this article with a discussion and interpretation of our findings.

2. Background

2.1. Long Consonants in Italian and Their Relation with Spelling

The Italian consonant inventory includes 23 consonants. According to Italian phonological descriptions, 15 of them (/p/, /b/, /t/, /d/, /k/, /ɡ/, /tʃ/, /dʒ/, /s/, /f/, /v/, /n/, /m/, /l/, /r/) show both singleton and geminate forms: for these consonants, gemination is contrastive, though the contrast is limited to the word-internal position, when preceded by a vowel and followed by either a vowel, or an approximant or a liquid. Three consonant phonemes, instead, are always short and do not occur in geminated form (/j/, /w/, /z/) (Bertinetto & Loporcaro, 2005; Krämer, 2009; Bertinetto, 2010). The five remaining consonants (/ts/, /dz/, /ʃ/, /ɲ/, /ʎ/) hold a special status: these consonants are said to be long when preceded by a vowel and followed by a vowel or an approximant (e.g., ascia [ˈaʃːa] ‘axe’), and short elsewhere (e.g., conscio [ˈkɔnʃo] ‘conscious’). Word-initially, these consonants can undergo gemination through sandhi gemination (see Bertinetto, 2010; Arango et al., 2020; but controversial results are provided by Payne, 2005).
Finally, Italian has a third type of long consonants, due to sandhi gemination: word-initial consonants are lengthened when preceded by a stressed vowel (e.g., papà Carlo [paˈpa ˈkːarlo] ‘dad Carlo’) or by a specific set of function words (e.g., a casa [a ˈkːasa] ‘at home’, see Loporcaro, 1997; Passino, 2013). Sandhi gemination is said to apply to the 15 contrastive geminates as well as to the five inherently long consonants (Payne, 2005; Bertinetto, 2010; but see Celata & Kaeppeli, 2003).
Italian orthography represents contrastive gemination transparently and consistently, with singleton consonants being graphically represented with single letters (e.g., <t> in fato), and geminate consonants being represented with double letters (e.g., <tt> in fatto). In contrast, inherently long consonants and sandhi geminates are not consistently represented by spelling. Sandhi gemination is completely opaque (see the example above), apart from certain lexicalised expressions that are now perceived as single lexical units and spelled as one word (e.g., giammai, with già ‘already’ + mai ‘never’ meaning ‘never ever’, or dappertutto, with da ‘from’ + per ‘through’ + tutto ‘all’ meaning ‘everywhere’); in these cases, lexicalization has effectively transformed sandhi geminates into contrastive ones, which then come to be indicated in spelling. Inherently long consonants are also opaque, although some clarifications are needed: /ʃ/, /ɲ/ and /ʎ/ are always represented by digraphs <sc>, <gn> and <gl>, respectively (except for loanwords, where /ʃ/ is sometimes spelled <sh> and <ch>, such as in fashion and cliché), therefore without reflecting their long vs. short phonetic nature in different positions. /ts/ and /dz/ are both indicated by a single (<z>) or double (<zz>) letter: for example, the Italian words azione ‘action’ and polizza ‘policy’ are said to be pronounced with a long /ts/ despite being spelled with a single vs. double letter (Di Benedetto et al., 2021). This spelling alternation follows a convention adopted from the third edition of the Vocabolario della Crusca in 1691 (where <zi> indicated the evolution from Latin -ti and c+ti, cf. Gili Fivela, 2010) and does not in any way reflect the phonetic duration of consonants. The word pairs vizi ‘vices’—vizzi ‘withered’ and Gazagazza ‘magpie’ are therefore considered to be homophones in Standard Italian, both members of each pair containing an inherently long consonant, respectively [ˈvitːsi] and [ˈɡadːza] according to DiPI (Canepari, 2009; actual transcriptions according to DiPI’s conventions: [ˈviʦʦi], [ˈɡaʣʣa]), despite being spelled with a single vs. double letter.

2.2. Italian Geminate Consonants in Acoustics and Perception

There is consensus that the main acoustic cue of gemination is consonant duration for many languages (e.g., Lahiri & Hankamer, 1988, for Turkish & Bengali; Arvaniti, 1999, for Cypriot Greek; Al-Tamimi & Khattab, 2018, for Lebanese Arabic; Kawahara, 2015, for Japanese). Studies investigating the acoustic patterns of Italian geminate consonants have converged with this finding (Farnetani & Kori, 1986; Esposito & Di Benedetto, 1999; Pickett et al., 1999; Stevens & Hajek, 2004; Payne, 2005; Di Benedetto & De Nardis, 2021a, 2021b), and have usually reported CC:C ratios of approximately 2:1, with remarkable variation depending on consonant classes (see Esposito & Di Benedetto, 1999; Di Benedetto & De Nardis, 2021a, 2021b), the presence/absence of lexical stress (Pickett et al., 1999; Payne, 2005), speech rate (Pickett et al., 1999) and type of speech (e.g., running speech vs. isolated words; Mairano & De Iacovo, 2020). There have also been claims of variation in terms of lengthening across northern and southern varieties of Italian, although recent studies have pointed to a levelling of such differences (see Giordano & Savy, 2012; Mairano & De Iacovo, 2020).
While consonant duration is the primary cue of gemination, it is usually reported that the duration of the preceding vowel is also affected by the presence of a long vs. short consonant: vowels preceding geminate consonants undergo a compensatory shortening by a Vcc:Vc ratio of approximately 0.75:1 (see Bertinetto & Vivalda, 1978; Marotta, 1985; Esposito & Di Benedetto, 1999; Celata & Mairano, 2014; Di Benedetto & De Nardis, 2021a, 2021b). However, many studies have highlighted that this shortening effect is exclusively found under lexical stress and mostly in the nuclear position (Bertinetto, 1981; Landi & Savy, 1996; Pickett et al., 1999; Bertinetto et al., 2008). Additionally, Turco and Braun (2016) reported the existence of non-local lengthening effects of gemination on the preceding word-initial consonant, so that /p/ is longer for palla ‘ball’ than for pala ‘shovel’. Moreover, some studies have revealed secondary non-durational cues of gemination, such as non-systematic differences in the energy domain (Esposito & Di Benedetto, 1999; Di Benedetto & De Nardis, 2021a, 2021b), the presence of preaspiration for geminate plosives (Stevens, 2011; Stevens & Reubold, 2014), higher F1 values for geminate laterals (Payne, 2005; confirmed by EPG data in Payne, 2006) and increased f0 on a vowel preceding a geminate affricate or nasal among male speakers (Di Benedetto & De Nardis, 2021a, 2021b).
A smaller number of studies have analysed geminate consonants in perception. These have converged on identifying consonant duration as the primary perceptive (and therefore not only acoustic) cue of gemination (Bertinetto & Vivalda, 1978; Rochet & Rochet, 1995; Esposito & Di Benedetto, 1999; Tagliapietra & McQueen, 2010). Vice versa, the role of the preceding vowel duration seems to be limited or negligible as a perceptive cue of gemination for native speakers of Italian (Bertinetto & Vivalda, 1978; Krull et al., 2006). In a word identification task by Rochet and Rochet (1995), Italian speakers responded to the manipulation of consonant duration but were insensitive to the manipulation of the preceding vowel duration. The role of non-durational cues of gemination is considered secondary (although Pickett et al., 1999 found that the ratio between consonant closure duration and preceding vowel duration is a robust cue of consonant length across speaking rates), and probably for this reason has not been tested in perception. As for the accuracy of singleton vs. geminate identification, Gili Fivela and Zmarich (2005) reported that native speakers from various parts of Italy distinguished singleton vs. geminate consonants nearly at the ceiling level under contrastive focus but less well at faster speech rates.

2.3. Regional Variation of Consonant Gemination in Italy

Historically, Standard Italian corresponds to the educated Florentine pronunciation with the exclusion of the most marked local traits. This is generally considered a rather abstract notion, because it does not exactly correspond to any variety spoken in Italy. Standard Italian exists only as a prescriptive pronunciation, in the sense of a phonetic variety codified in pronunciation manuals learned by professional speakers (Schmid, 1999; Bertinetto & Loporcaro, 2005; Calamai, 2011; Vietti, 2019; Vietti & Mereu, 2023). Towards the end of the 20th century, spoken language features that were once considered substandard (including regional pronunciations) gradually gained acceptance and entered even more formal speech styles, forming recognised regional standards. This shift, narrowing the gap between spoken and written Italian, led to the emergence of italiano dell’uso medio (Sabatini, 1985) and italiano neo-standard (Berruto, 1987).
Italian as spoken by native speakers is thus represented by a set of regional varieties comprising wide regional variation. These varieties have resulted from the long-term contact between standard language and primary base dialects (Cerruti & Regis, 2015). This kind of contact has contributed to the basic absence of a standardisation centre in the Italian sociolinguistic repertoire and to the existence of several competing local standards in Italian phonology (cf. Auer, 2005). Accordingly, the different regional standards can be said to coincide with the varieties spoken by educated people in each region (Crocco, 2017). As a result, there is no consensus on the phonetic features of Standard Italian, either on a segmental or prosodic level, as it presents significant variation across dialectological areas (Gili Fivela et al., 2015; Vietti, 2019).
Today, base dialects are still spoken by a considerable number of speakers: in this respect, some regions are characterised by a situation of dilalia, where the use of a regional variety of Italian is found in more formal contexts and the presence of both dialect and Italian in informal or familiar contexts (Berruto, 1987, 2007, 2017, 2018). Regional variation in Italy is extensively documented thanks to a long-standing tradition of dialectological and sociolinguistic studies (Sobrero, 1988; Cortelazzo & Mioni, 1990; Cerruti, 2011; Vietti, 2019). Of interest for our work is the so-called La Spezia–Rimini line (more precisely the Massa–Senigallia line, Loporcaro, 2013), which is marked by a considerable number of isoglosses conventionally separating Western versus Eastern Romance languages. Among such isoglosses, one marks the preservation (in the south) vs. the degemination (in the north) of Latin geminate consonants (Loporcaro, 1997; Benincà et al., 2016).
The Massa–Senigallia line refers to dialects (vernaculars), but it is evident that regional varieties have inherited certain characteristics of the dialectal substrate. As for gemination, there has been until recently a tendency to assume that, since northern dialects have lost gemination in favour of vowel length, northern speakers do not produce geminate consonants in regional varieties of Italian, or not as consistently as in central and southern varieties. Payne (2005, p. 155) cursorily mentioned that “many northern speakers do not produce geminates”; Canepari (1992, p. 488) claimed that northern speakers tend to produce geminate consonants that are shorter than southern speakers, and that in Veneto, “si tende a scempiar tutto” (‘[speakers] tend to degeminate everything’); Canepari and Giovannelli (2008, p. 93) and Bertinetto and Loporcaro (2005, p. 134) suggested that the realisation of all geminates is less consistent among northern speakers and that sandhi gemination is completely absent; Casalicchio and Cordin (2020) claimed that geminate consonants are shortened in the Trentino region. Another regional variety of Italian often identified as divergent in terms of gemination is the one spoken in Sardinia, despite lying geographically south of the Massa–Senigallia line. In this regional variety, geminate consonants are said to be generally shortened, and some singleton consonants are lengthened in the post-stressed position (Bertinetto, 2010). Loi Corvetto (1983, pp. 80–88) claimed that in Sardinian regional Italian (namely, Campidanese and Logudorese Italian), the singleton vs. geminate consonant opposition is missing, or rather, the singleton consonant is realised as such only when it is a lateral or a vibrant, while all other consonants are pronounced with longer duration and are called ‘strengthened’ (rafforzate) in the tradition of Sardinian linguistics (Loi Corvetto, 1983; Paulis, 1984). The distinctive function is therefore provided in Sardinian Italian by the strengthened vs. geminate consonant opposition. As for Tuscany, although this variety is close to Standard Italian, traces of degemination of /rr/ are attested to in the western areas and, occasionally, in the Florentine area as well. However, degemination is considered the residual vestiges of a past tendency, which is being challenged by the diffusion of more standard-like pronunciations with full maintenance of the singleton–geminate contrast (Giannelli, 2000).
Yet, recent studies have challenged the view that modern regional varieties of Italian diverge dramatically in terms of gemination. Mairano and De Iacovo (2020) carried out an acoustic analysis on the CLIPS corpus (Albano Leoni, 2006) and only found small differences between speakers north (Turin, Genoa, Milan, Bergamo, Parma, Venice) vs. south (Florence, Perugia, Rome, Naples, Bari, Lecce, Catanzaro, Palermo) of the Massa–Senigallia line, both for consonant lengthening and compensatory vowel shortening. All speakers from all survey points consistently exhibited longer consonant durations for geminate than singleton consonants. The authors found slightly smaller geminate–singleton ratios for northern than central and southern speakers, but differences across survey points were small and only reached statistical significance for some speech styles. They concluded that distinctions between Italian varieties in terms of gemination are disappearing due the progressive standardisation of the language, in this case favoured by a transparent spelling with double letters, as previously suggested by Giordano and Savy (2012).
Further investigations in the following years have converged with these results, confirming that northern Italian speakers consistently produce geminate consonants, although potentially with slightly lower lengthening ratios than for central varieties: Dian et al. (2022) found average ratios of 1.76 for six Veneto speakers. A subsequent analysis comparing six northern and six central speakers revealed that the geminate–singleton distinction remained stable for all speakers, but that the role of secondary cues diverged (in particular, the proportion of voicing seemed to be a significant acoustic cue for northern speakers but not for central speakers, Dian & Burroni, 2024). Miatto et al. (2023) reached similar conclusions, observing that speakers from Veneto and Friuli consistently distinguished singletons vs. geminates in their production but used vowel length (a secondary cue of gemination) less extensively than speakers from Naples. Globally, the results from these recent studies suggest that degemination is no longer widespread among northern speakers, although we do not exclude that it may still be found in some rural areas and/or in particular speech styles, and/or for certain lexical items or phonological contexts.

2.4. Studies on Inherently Long Consonants

While many studies have focused on contrastive and on sandhi gemination (raddoppiamento fonosintattico, RF), experimental analyses focusing on inherent geminates are scarce and, furthermore, do not always converge. In particular, only few studies have expressly investigated whether there is a difference in lengthening for these five consonants in their different conditions. More precisely, there is still a lack of empirical evidence that these consonants show a longer segment duration in intervocalic condition compared to word-initial condition.
In a study conducted on six Florentine speakers, Korzen (1981) found that all the five inherently long consonants were realised as longer in the intervocalic position than in pre-consonantal, post-consonantal and initial positions. Conversely, Endo and Bertinetto (1999) found that intervocalic durations for /ts, dz, ʃ/, but not for /ɲ, ʎ/, were comparable to the durations found for contrastive geminates in the speech of speakers from Pisa, Naples and (partially) Turin. A further study by Payne (2005) conducted on five Tuscan speakers from Pisa does not confirm Endo and Bertinetto’s (1999) results: the author carried out an analysis of durational cues for various types of gemination (contrastive, inherent, post-lexical, fake, etc.), and /ʃ/ was included in the analysis to represent inherently long consonant (or inherent geminates, in her terms). The author found no significant duration difference between the post-consonantal and intervocalic positions, concluding that there is no phonetic evidence of a systematic lengthening in the intervocalic position for this consonant. Celata and Kaeppeli (2003) globally found that inherently long consonants were shorter in post-sonorant than in the intervocalic position but did not find evidence of sandhi gemination for inherently long consonants in the word-initial position. Di Benedetto et al. (2021) focused on the duration of the dental affricates /ts/ and /dz/, finding that these consonants did not occur as singletons in the intervocalic position.
In summary, research on these consonants is limited, with some studies (Payne, 2005; Di Benedetto et al., 2021) examining only a subset of them. Only three studies, as far as we know, have provided a comprehensive and systematic analysis of all five sounds (Korzen, 1981; Endo & Bertinetto, 1999; Celata & Kaeppeli, 2003). These findings indicate that /ts/ and /dz/ consistently yield clear results across all investigations, whereas /ʃ/ exhibits a more ambiguous status. Moreover, it remains uncertain whether these consonants are realised in the sandhi position in the same way as in intervocalic contexts. Furthermore, apart from the study by Endo and Bertinetto (1999) comparing speakers from three cities, we dispose of very little information on the pronunciation of inherently long consonants in regional varieties of Italian. Most studies have been conducted on speakers from Tuscany or from Rome (who are considered close to standard by Di Benedetto & De Nardis, 2021a). There have been claims that the duration patterns of inherently long consonants are less consistent in northern varieties (Bertinetto & Loporcaro, 2005; Bertinetto, 2010), and that some northern speakers (and especially north-eastern speakers, Bertinetto, 2010), may tend to produce an orthographically driven opposition, so that homophonous pairs such as vizi ‘vices’—vizzi ‘withered’ come to be realised with a singleton vs. geminate. Such claims stem from impressionistic observations and have never been verified empirically.
In light of recent evidence that duration is consistently used to realise contrastive geminates in northern varieties (cf. Section 2.3), it seems reasonable to ask whether the same applies to the durational patterns of inherently long consonants. Considering that the duration of inherently long consonants is not reflected by spelling, the situation may well differ with respect to contrastive geminates: northern speakers may not be aware of phonetic patterns of duration for these consonants, and their realisations may diverge from those produced by central speakers.

2.5. Goal of Our Study

Given the controversial evidence of the aforementioned studies, the primary aim of this research is to experimentally verify the duration patterns of inherently long consonants. Secondly, our work aims to explore the variation of inherently long consonants across regional varieties of Italian. Thirdly, we aim to explore the potential role of orthography in the duration of intervocalic /ts/ and /dz/. In terms of regional variation, we address the question of whether the progressive standardisation of the language has levelled out differences in the realisation of inherently long consonants as much as contrastive geminates, or if distinct regional patterns are still observable. In terms of orthographic effects, we wish to verify if speakers of northern (and potentially other) varieties tend to produce an orthographically driven contrast for <z> vs. <zz>, as suggested by Bertinetto and Loporcaro (2005). In order to address these questions, we analysed acoustic durations for the five inherently long consonants as pronounced by 40 speakers in the four cities of Arezzo, Cagliari, Trento and Turin.
Our research questions can then be summarised as follows:
(i)
Does empirical evidence support phonological descriptions of Italian suggesting that these five consonants hold a special status, being realised as longer in the intervocalic position and shorter in the post-consonantal position?
(ii)
Is there regional variation in the duration patterns of these consonants? In particular, do northern regional varieties exhibit smaller durations in the intervocalic than the post-consonantal position?
(iii)
Do speakers of northern varieties tend to produce an orthographically driven contrast between <z> and <zz>?

3. Materials and Methods

3.1. Stimuli

Studies analysing the durational patterns of contrastive gemination in Italian often use minimal pairs (e.g., pala ‘shovel’—palla ‘ball’) and compare the duration of the target consonant; such minimal pairs exist in large numbers in Italian and allow researchers to control for many possible confounds, given that the phonological context of the target phoneme is exactly the same within each pair. However, this is obviously not applicable for inherently long consonants: as previously stated, no minimal pairs exist for these consonants, meaning that we can never compare short vs. long counterparts within the same phonological context. For this reason, some studies have contrasted the durations of these consonants with comparable contrastive geminates with the closest articulatory characteristics (e.g., /l/ for /ʎ/, cf. Celata & Kaeppeli, 2003). We chose to contrast the duration of target consonants in the word-internal intervocalic position (e.g., ozono, ‘ozone’), where they are said to be phonetically long, with counterparts in the word-internal post-consonantal position (enzima, ‘enzyme’), where they are said to be short.
We prepared a list of 150 stimuli with /ts/, /dz/, /ʃ/, /ɲ/ and /ʎ/ (Table 1, Table 2, Table 3, Table 4 and Table 5), in which we controlled for the position (post-consonantal, intervocalic) and stress condition (pre-stressed, post-stressed, unstressed) of the target consonant. It must be noted that the unstressed condition consists of stimuli with two or more unstressed syllables at the beginning, with the target consonant between the first and the second syllable. These words may be said to contain a secondary stress on the first syllable, meaning that the target consonant would be in a condition closer to pre-stressed than real unstressed. However, the existence and nature of secondary stress in Italian is debated (for different views, cf. Bertinetto, 1976; Vogel & Scalise, 1982; Marotta, 1999; Krämer, 2009). Here, we simply used the label ‘unstressed’ to refer to target consonants occurring between two syllables that do not carry primary lexical stress.
Apart from the stress and position, for some of our consonants we controlled for other factors too. For /ts/ and /dz/, we controlled for spelling (single vs. double letter in the intervocalic position, e.g., sazi ‘satiated’ vs. mazzi ‘bunches’); for /ʃ/, we controlled for native vs. foreign status/spelling (e.g., nasce ‘he/she is born’ vs. fashion); and for /dz/ and /ʃ/, we controlled for the presence vs. absence of a morphological boundary before the target consonant (e.g., coscienza ‘conscience’ vs. retroscena ‘backstage’).
We were not able to fully control for (i) word length across conditions, (ii) lexical frequency, (iii) surrounding vowels, or (iv) grammatical category. However, in order to account for potential effects of word length on segmental durations, we included the number of syllables as a control variable in our models. Similarly, in order to control for potential effects of word frequency, we included the frequency of our stimuli extracted from the itTenTen corpus (Jakubíček et al., 2013) as a control variable in our models. Another limitation of the dataset is that many words prime each other (e.g., conscio—inconscio, sazio—saziato). However, the order of presentation of stimuli was randomised for every participant, so that some speakers pronounced sazio before saziato, and others pronounced them in the opposite order. Although this was no guarantee of control, it was an attempt to (at least partially) counterbalance this priming effect.
We included three target words in each experimental condition. Initially, we had included further stimuli in the word-initial position (zebra), taking care to avoid contexts where RF may apply. However, such stimuli were problematic because (i) the word-initial position was missing for some consonants; (ii) the selection of /ts/ and /dz/ in the word-initial position varies across varieties, making it difficult to select stimuli that would work for all speakers; (iii) an impressionistic evaluation revealed that some speakers had produced RF in this position. For these reasons, stimuli with target consonants in the word-initial position were discarded from the analysis presented in this paper and may possibly be the object of a future study on RF. The exclusion of stimuli with target consonants in the word-initial position left us with 135 words for the analysis.
Table 1 and Table 3 show the stimuli analysed for /ts/ and /dz/. We have to make a note concerning /dz/ stimuli in the post-stressed intervocalic position spelled with singleton <z>: all of them are foreign names (Gaza, Mozart) or loanwords (kamikaze). This could not be avoided, since no native Italian word contains /dz/ in this condition. Their (partially) foreign status may imply a certain amount of variability in how Italian speakers pronounce these words. However, Canepari (2009) only reported geminate pronunciations (as non-marked) for these words in Italian. Realisations that were different from the target (in this case, a voiced alveolar affricate) were discarded from the analysis.
The stimuli recorded for /ʃ/ are shown in Table 3. For this consonant, we were not able to separate the foreign status and foreign spelling of target words; this is because the sound /ʃ/ is systematically spelled <sc> in native Italian words and <sh> or <ch> in loanwords. Additionally, we have to make a note about bolscevico (‘Bolshevik’): this word has two possible stress patterns ([bolʃeˈviko], [bolˈʃɛviko], according to Canepari, 2009). It had been included in the dataset because no alternative could be found in the pre-stressed post-consonantal position, and in the hope that a conspicuous number of participants would pronounce [bolˈʃɛviko]. Unfortunately, only 4 out of 40 participants pronounced it as hoped, and therefore this word was discarded from the analysis.
The stimuli recorded for /ʎ/ are shown in Table 4. Unfortunately, the analysis of this consonant was limited because we ran into issues finding suitable stimuli filling all experimental conditions. Stimuli with post-consonantal /ʎ/ are only available with a word-internal morphemic boundary, more specifically when the clitic gli (‘to him’) is added to an infinitive verb form. In the post-stressed position, we recorded stimuli in both the post-consonantal and intervocalic positions, all with a morphemic boundary and therefore comparable. In the pre-stressed position, we recorded stimuli without a morphemic boundary, but no post-consonantal counterparts existed to compare them with. In the unstressed position, we recorded stimuli with /ʎ/ in the intervocalic position with a morphemic boundary but failed to record post-consonantal counterparts.
The stimuli recorded for /ɲ/ are shown in Table 5. Like for /ʎ/, the analysis of this consonant is limited because words with post-consonantal /ɲ/ in the unstressed position do not exist in Italian. Furthermore, post-consonantal /ɲ/ in the pre-stressed and post-stressed positions is exclusively found in toponyms of northern Italy. We recognise that this may constitute a potential bias, given that northern speakers may be more familiar with these place names, as well as with the /rɲ/ cluster, which is virtually non-existent in central and southern Italy.

3.2. Format

For each stimulus, we created a short sentence (from 5 to 10 words) containing the target word in the final nuclear position (e.g., Verranno processati per resistenza alla polizia ‘They will be tried for resisting the police’, L’isola fu divisa in quattro per evitare screzi ‘The island was divided into four to avoid disagreements’). No distractors were added, to avoid making the recording procedure too long and tiresome for participants. We reasoned that, since we had five different target consonants, and since target words were presented within sentences, participants were not likely to detect a pattern in the test or spot the goal of our study.
Participants were asked to complete a read-aloud task with the list of sentences, visually presented on a computer screen via SpeechRecorder (Draxler & Jänsch, 2004). To avoid experimental issues due to the order of presentation and to limit the impact of fatigue on task performance, the stimuli were presented in random order. All participants gave informed consent for the analysis of their recordings and did not receive any type of compensation. They were recorded in the university premises by the authors, either in a sound-proof booth or in a silent room (depending on availability), with professional equipment. The reading task took approximately 15 min. All recordings were of sufficient audio quality for performing acoustic measurements of duration.
After recording the target sentences, participants completed a questionnaire providing information about their sociolinguistic background. At the end of the questionnaire, we also included three questions to gain some information about their awareness of pronunciation patterns. Participants were provided three word pairs and had to inform us whether they pronounced them differently or in the same way: pesca ‘peach’—pesca ‘fishing’, razza ‘race’—razza ‘ray’ and vizi ‘vices’—vizzi ‘withered’. The only pair of relevance for our study was vizi—vizzi, testing whether participants thought that the single letter <z> vs. double letter <zz> indicated a length distinction. The other two pairs served solely as distractors and featured items with highly marked variations that are easily recognised by naïve speakers: the /e/–/ɛ/ (found in the first word pair) contrast is neutralised in many regional varieties, while the /ts/–/dz/ distinction (found in the second word pair) carries minimal functional load and is strongly influenced by regional variation.

3.3. Participants

We recorded 10 participants in each of 4 survey points in Italy (total = 40 participants). The survey points were the cities of Arezzo (AR, Tuscany), Cagliari (CA, Sardinia), Trento (TN, Trentino-Alto Adige) and Turin (TO, Piedmont). By no means are these four survey points supposed to fully represent the considerable amount of regional variation found in Italian varieties. However, they do reflect some of the major geographic and dialectal areas of the peninsula, and those which are claimed to differ in terms of gemination: central varieties (AR, close to Standard Italian), north-western varieties (TO), north-eastern varieties (TN) and Sardinian (CA).
An anonymous reviewer pointed out the transitional nature of Trento between Lombard and Venetian and the presence of bilingualism in its province. However, scholars classify Trento within Venetian varieties, with linguistic trends favouring Venetian in urban areas (Zamboni, 1977; Cortelazzo, 1983; Bonfaldini, 1983), and bilingualism is limited to specific communities (e.g., Ladin in Fassa Valley, Cimbrian in Luserna, see Dell’Aquila et al., 2022) beyond the city of Trento. Moreover, none of our participants reported using minority languages. Another reviewer noted that the Arezzo variety may be peripheral within the Tuscan area. However, it has to be noted that Tuscan sociolinguistic situation is rather peculiar and is presently affected by koineization. More local features that are not widely shared are losing ground, while pan-Tuscan elements that are less attributable to precise territorial divisions tend to be consolidated. In this respect, the Florentine variety is far from being a prestigious model because of its features that are perceived as highly vernacular. The levelling of the dialect has led to the disappearance of local phenomena even in peripheral areas, such as Arezzo (Giannelli, 2000; Calamai, 2017; Binazzi, 2019). Finally, the regional variety spoken in the city of Arezzo is still clearly classified as a central variety, and patterns with dialects south of the Massa–Senigallia line with respect to gemination.
All participants were native speakers of the regional varieties considered, were born and raised in the region where they were recorded by parents who were also born in the target region (except 2 speakers in TO and 3 speakers in AR, who had one parent born in another region—we inspected data for these speakers, and they did not seem to behave as outliers within their respective groups). All participants were young adults, recruited among university students (mean age = 23.73, range: 20 to 36); 25 of them identified as women, 15 as men. Many of them claimed that they spoke Italian with a regional accent (7 in TN, 8 in TO, 9 in AR, 10 in CA), and many also claimed that they spoke or understood the local dialect (9 in AR, 9 in CA, 9 in TO, 5 in TN). The average self-declared frequency with which participants claimed to use the local dialect from 1 (never) to 5 (all the time) was 2.6 in AR, 2.5 in CA, 2.2 in TO and 1.5 in TN. All participants but one claimed that they spoke English, and most participants also claimed to speak one or more other languages: French (n = 23), Spanish (n = 14), German (n = 13), Russian (n = 5), Mandarin (n = 3), Japanese (n = 1), Portuguese (n = 1). Participants’ responses to the three linguistic awareness questions (see Section 3.2) are illustrated in Figure 1. Most participants claimed that they pronounced vizi and vizzi in the same way, although northern speakers were slightly less likely to claim that. In total, 12 speakers claimed to make a difference between vizi and vizzi, of which 2 were in AR, 3 in CA, 3 in TO and 4 in TN.

3.4. Data Analysis

All the recordings were transcribed phonemically and forced-aligned with WebMAUS (Kisler et al., 2017), then target words were manually checked in Praat (Boersma & Weenink, 2023) by the authors. To ensure a homogeneous segmentation check, the authors agreed on a common set of standard criteria based on Ladefoged (2003); additionally, each author verified two speakers for each target city in order to balance any potential idiosyncrasies in the segmentation work. Consonants that had been mispronounced (due to slip of the tongue, misplaced stress or any other unexpected mispronunciation) were marked for exclusion during the segmentation check. Then, the target consonant durations were extracted via a Praat script, normalised and saved in .csv format for statistical analysis.
Durations were normalised to avoid the confounding effect of speech rate differences across participants: normalisation was performed by dividing the target phoneme duration by the average duration of all nuclear segments (i.e., all phonemes contained in the last word of all sentences) produced by a given speaker. In other words, for each speaker, we computed the average duration of all phonemes in the last word of all sentences and used this measure as a reference duration: target phoneme durations were then divided by this by-speaker reference duration to neutralise potential speech rate differences across speakers. Therefore, a normalised value of 1 indicated the average duration of a phoneme in the nuclear position by a given speaker.
The statistical analysis was performed in R (version 4.3.2, R Core Team, 2023) via linear mixed-effects models with the lme4 library (version 1.1.35.1, Bates et al., 2015). For all models, the dependent variable was consonant duration. In an initial analysis, we built a global model for all our data, evaluating the effects of our primary variables: Position (post-consonantal vs. intervocalic), Sound (/ts/, /dz/, /ʃ/, /ɲ/, /ʎ/), City (AR, CA, TN, TO) and their interactions. Subsequent models evaluated the effects of secondary variables which relate to a subset of the data: for /ts/, /dz/ and /ʃ/, we tested the effect of Stress (post-stressed, pre-stressed, unstressed; /ɲ/ and /ʎ/ were not included due to missing cases in pre-stressed and unstressed contexts, see Table 4 and Table 5); for /ts/ and /dz/, we tested the effect of Spelling (single vs. double letter, e.g., Gaza vs. gazza); for /ʃ/, we tested the effect of Foreign Status (native vs. non-native, e.g., nasce ‘he/she is born’ vs. sushi); for /ʃ/ and /dz/, we also tested the effect of the presence vs. absence of a morphological boundary. We tried to build models that would account for the potential effects of lexical frequency on segmental durations (see Bybee, 2001), and potential effects due to word length (see Farnetani & Kori, 1986). With this goal, we included the log-transformed Frequency (extracted from the itTenTen corpus, Jakubíček et al., 2013) and the Number of Syllables in the target word. In order to keep the analysis reasonable, we did not involve control variables in interactions.
All models included the random effects of Speaker (to account for possible idiosyncratic behaviours) and of Item (to account for possible lexical effects). The structure of the random slopes was kept maximal initially but had to be progressively reduced to avoid convergence issues and singular fit (Barr et al., 2013). All factors were coded with sum-to-zero contrasts, except Position, which was contrast-coded with reference level = post-consonantal. P values for fixed effects were obtained from the type 3 Anova table via Satterthwaite’s approximation for the calculation of degrees of freedom as implemented by the lmerTest library (version 3.1.3, Kuznetsova et al., 2017). Model predictions were extracted and plotted via the sjPlot library (version 2.8.15, Lüdecke, 2023). Post-hoc tests were performed via the emmeans library (version 1.8.6, Lenth, 2023) with Tukey adjustment for multiple comparisons.

4. Results

4.1. Duration in Intervocalic vs. Post-Consonantal Position

Our main analysis examined the effects of Position (post-consonantal vs. intervocalic), Sound (/ts/, /dz/, /ʃ/, /ɲ/, /ʎ/) and City (AR, CA, TN, TO) on consonant duration. We included Stress, Log Frequency and Number of Syllables as control variables, since they are known to affect segmental durations. The Anova table and model predictions are given, respectively, in Table 6 and Figure 2.
The main effect of City was not significant, indicating that segmental durations produced by speakers from different cities did not differ overall. The main effect of Position was highly significant, reflecting the fact that target consonants the in intervocalic position were overall longer than in the post-consonantal position (β = 0.31, SE = 0.03, p < 0.001). The main effect of Sound was also significant, and post-hoc pairwise comparisons revealed that, globally, /ts/ and /ʃ/ were significantly longer than all other consonants (all p values < 0.001). As for control variables, only the effect of Stress was significant; post-hoc tests revealed that post-stressed consonants were overall longer than pre-stressed consonants (β = 0.11, SE = 0.03, p = 0.007), which were, in turn, longer than unstressed consonants (β = 0.23, SE = 0.04, p < 0.001).
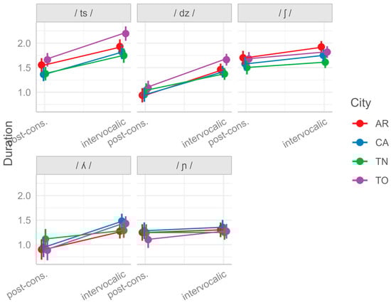
All interactions among the three main variables were significant. Post-hoc pairwise comparisons on the three-way interaction of Position, Sound and City (reported in Table 7) indicated that the effect of Position was not the same across sounds and cities (see Figure 2): target consonants were longer in intervocalic than the post-consonantal position across all cities for /ts/ and /dz/ (although the magnitude of the effect varied); in AR, CA and TO (therefore not TN) for /ʃ/ and /ʎ/; and only in TO for /ɲ/. We used model predictions to compute average predicted values in each experimental condition via emmeans and used them to calculate intervocalic:post-consonantal duration ratios, reported in Table 8. We can clearly see that such ratios were larger for /ts/, /dz/ and /ʎ/ overall (except for /ʎ/ in TN) and smaller for /ʃ/ and /ɲ/.

4.2. The Effect of Stress for /ts/, /dz/ and /ʃ/

We controlled the stress condition for our stimuli (see Section 3.1) because stress is known to affect segmental durations. However, due to the phonotactic restrictions of Italian, it was not possible to include stimuli for all three stress conditions (post-stressed, pre-stressed, unstressed) for palatal consonants /ʎ/ and /ɲ/. Therefore, in order to analyse the effect of stress and our target consonants and its interaction with the other variables, we built a second model exclusively on /ts/, /dz/ and /ʃ/ durations. This model included the fixed effects of City, Position, Sound, Stress and their interactions, as well as our control variables. The Anova table and model predictions are given, respectively, in Table 9 and Figure 3.
The effects of City, Position and Sound and their three-way interactions were significant, confirming that the three consonants were globally longer in the intervocalic than the post-consonantal position (β = 0.36, SE = 0.03, p < 0.001). Post-hoc tests on the effect of Sound revealed that /dz/ was globally shorter than the two voiceless consonants /ts/ (β = −0.47, SE = 0.03, p < 0.001) and /ʃ/ (β = 0.46, SE = 0.04, p < 0.001). The main effect of City was not significant in the global model presented in the previous section, and post-hoc tests revealed that durations were on average longer for these three consonants in TO than in CA (β = 0.2, SE = 0.06, p = 0.006) and TN (β = 0.24, SE = 0.06, p < 0.001), while other pairwise comparisons did not differ significantly. The main effect of Stress was also significant, and post-hoc pairwise comparisons revealed that, globally, the three target consonants were descriptively but not statistically longer in the post-stressed than the pre-stressed position (β = 0.08, SE = 0.04, p = 0.119), and significantly longer in the post-stressed or pre-stressed than the unstressed condition (β = 0.28, SE = 0.05 and β = 0.20, SE = 0.04, respectively, both p < 0.001). Since this section focuses on the effect of Stress and for the sake of brevity and readability, we shall comment exclusively on interactions involving this variable (other interactions are still reported in Table 9).
Stress interacted significantly with City, indicating that the effect of stress was not the same in all cities: post-hoc tests revealed that in TN (but not in the other cities), the difference between the pre-stressed and the post-stressed condition reached significance (β = 0.16, SE = 0.05, p < 0.001). What is most relevant for the present paper is that Stress interacted significantly with Position, indicating that the effect of Position was not the same in the three stress conditions. Post-hoc tests revealed that target consonants in the intervocalic position were globally longer than in the post-consonantal position, but the magnitude of the effect varied: it was largest in the post-stressed position (β = 0.45, SE = 0.05, p < 0.001), slightly smaller in the pre-stressed position (β = 0.35, SE = 0.05, p < 0.001) and smallest in the unstressed position (β = 0.25, SE = 0.05, p < 0.001).

4.3. The Effect of Single vs. Double Letters for /ts/ and /dz/

We controlled the spelling condition for our stimuli (see Section 3.1). In particular, we included single vs. double letter stimuli for /ts/ and /dz/ in the intervocalic position in order to verify the hypothesis that northern speakers produce a spelling-driven durational alternation. The model testing the effect of Spelling (<z> vs. <zz>) for /ts/ and /dz/ durations included the fixed effects of City, Spelling, Sound, Stress and their interactions, as well as our control variables (Position was not tested here, since this analysis only included intervocalic consonants). The Anova table and model predictions are given, respectively, in Table 10 and Figure 4.
The main effects of Sound, Stress, City, Spelling and Number of Syllables were all significant, and they had various significant interactions. The effect of Stress confirmed that /ts/ was globally longer than /dz/ (β = 0.46, SE = 0.03, p < 0.001); post-hoc tests on the effect of Stress confirmed that post-stressed consonants were longer than pre-stressed consonants (β = 0.23, SE = 0.05, p < 0.001), which, in turn, were longer than unstressed consonants (β = 0.37, SE = 0.05, p < 0.001), while post-hoc tests on the effect of City confirmed that durations were overall longer in TO than in CA (β = 0.30, SE = 0.09, p = 0.007) and TN (β = 0.36, SE = 0.09, p = 0.001). The effect of Number of Syllables indicated that durations were shorter in words with more syllables (β = −0.15, SE = 0.05, p = 0.006). The main effect of Spelling revealed overall longer durations for consonants spelled with a double vs. single letter (β = 0.14, SE = 0.03, p < 0.001). Like in the previous section, we shall now comment on all the interactions, including the focus variable Spelling.
Spelling interacted significantly with Sound, indicating that the effect of Spelling was not the same for /ts/ vs. /dz/. Post-hoc tests revealed that consonants spelled with a double letter were significantly longer than those spelled with a single letter for /dz/ (β = 0.28, SE = 0.05, p < 0.001), but there was virtually no difference for /ts/ (β = −0.0007, SE = 0.42, p = 0.986). Additionally, the four-way interaction of City, Spelling, Sound and Stress was also significant. The results of pairwise comparisons are reported in Table 11 and revealed that: (a) /ts/ durations were not affected by spelling in any stress condition in any city; (b) /dz/ durations were significantly longer for <zz> than <z> for all cities in the post-stressed condition (all p values ≥ 0.001), but this difference only reached significance for TN in the pre-stressed (β = 0.39, SE = 0.11, p < 0.001) and unstressed (β = 0.31, SE = 0.11, p = 0.007) condition. We used model predictions to compute average predicted values in each experimental condition via emmeans and used them to calculate zz:z duration ratios, reported in Table 12. These reflect our statistical analysis: ratios were >1.3 for /dz/ in the post-stressed condition for all cities and for /dz/ in the pre-stressed and unstressed condition for TN; they were 1.18 for other cities in the unstressed condition and close to 1 for /dz/ in the pre-stressed condition and for /ts/ in all cities and all stress conditions.
These results indicate that TN speakers produce an orthographically driven alternation between long and short /dz/ motivated by spelling. Speakers in AR, CA and TO also alternated between short and long /dz/, which, however, reached significance only in the post-stressed position. We shall remind the reader that stimuli with /dz/ in the post-stressed intervocalic position spelled with singleton <z> are foreign names (Gaza, Mozart) or loanwords (kamikaze) (see Section 3.1). This suggests that, while TN speakers seemed to produce a durational alternation between <z> and <zz> which was entirely motivated by spelling and foreign status, speakers in the other cities may have produced an alternation reflecting foreign status only.

4.4. The Effect of Native vs. Foreign Status and Spelling on /ʃ/ Durations

For /ʃ/, we included stimuli in the intervocalic position spelled with native grapheme <sc> (e.g., nasce) vs. foreign graphemes <sh> (e.g., sushi) and <ch> (e.g., cliché) in order to check for a potential effect on the durations of these consonants. As already mentioned in Section 3.1, the native vs. foreign status of a word and the native vs. foreign spelling could not be torn apart due to limitations in the Italian lexicon. Therefore, our analysis checked the combined effect of foreign status and foreign spelling on /ʃ/ durations. The model included the fixed effects of City, Foreign Status, Stress and their interactions, as well as our control variables (Position was not tested here since this analysis only included intervocalic consonants, and Sound was not included since we tested only /ʃ/). The Anova table and model predictions are given, respectively, in Table 13 and Figure 5.
The effects of City and Stress and their interaction were significant. Post-hoc tests revealed that /ʃ/ was overall shorter in TN than in AR (β = −0.29, SE = 0.06, p < 0.001) and in TO (β = −0.20, SE = 0.06, p = 0.020), while other pairwise comparisons did not reach significance; post-stressed /ʃ/ was descriptively longer than pre-stressed /ʃ/ (β = 0.15, SE = 0.07, p = 0.110) and unstressed /ʃ/ was significantly shorter than both post-stressed (β = −0.34, SE = 0.10, p = 0.017) and pre-stressed /ʃ/ (β = −0.19, SE = 0.06, p = 0.021). The interaction of these variables indicated that post-stressed /ʃ/ was descriptively (but not significantly) longer than pre-stressed /ʃ/ for all cities, and significantly longer than unstressed /ʃ/ in AR, CA, TN (β > 0.32 for all cities, all p values < 0.029), but only descriptively in TO (β = 0.25, SE = 0.11, p = 0.092); pre-stressed /ʃ/ was longer than unstressed /ʃ/ in AR (β = 0.32, SE = 0.07, p < 0.001) but only descriptively in CA, TN, TO (all p values > 0.092). However, what is most relevant here is that the combined effect of foreign status and foreign spelling was not significant for /ʃ/ durations and was not involved in any interaction with other variables.

4.5. The Effect of Morphemic Boundaries

For /dz/ and /ʃ/, we included stimuli in the intervocalic pre-stressed position with and without a morphemic boundary preceding the target consonant (e.g., ozono vs. eurozona for /dz/, crescendo vs. retroscena for /ʃ/, see Section 3.1) in order to check for a potential effect on the durations of these consonants. The model testing the effect of morphemic status on consonantal durations included the fixed effects of Sound, City and Morphemic Boundary, as well as our control variables. Stress and Position were not included since all stimuli were in the pre-stressed intervocalic position. The model formula was as follows: Duration ~ (Sound * City * Morphemic Boundary) + Log Frequency + Number of Syllables + (1 + Morphemic Boundary|Speaker) + (1|Word). The Anova table and model predictions are given, respectively, in Table 14 and Figure 6.
The main effects of Sound, City, Number of Syllables and Morphemic Boundary were significant. This revealed that /dz/ was globally shorter than /ʃ/ (β = −0.10, SE = 0.02, p < 0.001), that durations were globally longer in TO than CA (β = 0.21, SE = 0.06, p < 0.003) and TN (β = 0.35, SE = 0.06, p < 0.001) and in AR than in TN (β = 0.29, SE = 0.06, p < 0.001), and that durations were globally shorter in words with more syllables (β = −0.23, SE = 0.06, p < 0.001). What is most relevant in this section is that the main effect of Morphemic Boundary was significant, with overall longer durations when the target consonant was preceded by a morphemic boundary (β = 0.19, SE = 0.06, p = 0.004). Additionally, the three-way interaction of Sound, City and Morphemic Boundary was significant, indicating that the presence of a morphemic boundary did not affect durations in the same way across sounds and cities. Post-hoc tests revealed statistically longer durations for /dz/ preceded by a morphemic boundary among speakers from AR, CA and TN: the effect was strongest for TN (β = 0.37, SE = 0.11, p = 0.002), slightly weaker for AR (β = 0.28, SE = 0.11, p < 0.018) and CA (β = 0.23, SE = 0.11, p < 0.044) and non-significant for TO (β = 0.15, SE = 0.11, p = 0.173). Instead, for /ʃ/ the effect did not reach significance for any city and was only close to significance for AR (β = 0.17, SE = 0.08, p < 0.054) and TO (β = 0.16, SE = 0.08, p < 0.062).

5. Discussion

The results of our study showed that inherently long consonants overall had a higher duration in the intervocalic position than in the post-consonantal position (Section 4.1). However, the magnitude of such durational differences varied greatly following various parameters. Some of this variation was phonologically conditioned and could be attributed to consonant type (Section 4.1) and stress (Section 4.2), whereas other variation could be attributed to regional varieties (Section 4.1, Section 4.2, Section 4.3, Section 4.4 and Section 4.5) and yet other variations were due to item-level characteristics such as the orthographic form (Section 4.3) and/or the foreign status of words (Section 4.4). Finally, other variations could be attributed to the morphological structure of words (Section 4.5). The effects of lexical frequency and word length (number of syllables) were overall marginal; the former did not reach significance in our models, and the latter was only significant in the models presented in Section 4.3 and Section 4.5. The effects of these variables on segmental durations have been attested in the literature (e.g., Bybee, 2001), but their magnitude may be too small to reach significance in our relatively modest dataset. We shall now discuss separately the different types of variation affecting inherently long consonants.

5.1. Phonologically Conditioned Variation

As for variation due to consonant type, our results showed that the durational difference between the intervocalic and post-consonantal positions was overall greater for /ts/, /dz/ and /ʎ/ (although we were only able to test the latter in the post-stressed position), smaller for /ʃ/ and globally non-significant for /ɲ/. It is not entirely clear why some consonants exhibited greater durational differences than others: these patterns did not reflect voicing, manner or place of articulation. Some other variation in consonant durations were due to stress patterns. In our data, inherently long consonants tended to be overall longer in the post-stressed than the pre-stressed condition, and, in turn, longer in the pre-stressed than the unstressed condition. This is not particularly surprising, since previous studies found that the duration of contrastive geminates increases around stressed syllables (Mairano & De Iacovo, 2020), but it is partially in contrast with Farnetani and Kori (1986), who found stress effects in the pre-stressed but not the post-stressed position. We can simply claim that inherently long geminates are no exception of a more general trend.
Although our study did not directly compare the duration of inherently long vs. geminate consonants, and although a direct comparison cannot be rigorous because our baseline condition (post-consonantal position) is not directly comparable to the baseline condition for contrastive geminates (singletons in the intervocalic position), we can tentatively link our results with previous studies on contrastive geminates. Overall, we can claim that duration ratios for inherently long consonants are far smaller than those reported for contrastive geminates. Even if we exclude TN speakers (who produced the smallest ratios, see Section 5.2), the ratios produced by our participants in the post-stressed position (i.e., the highest values) were close to those reported for contrastive geminates (1.7 and above) only for /ʎ/ and /dz/ (approximately 1.6); they were far smaller for /ts/ (approximately 1.3) and /ʃ/ (approximately 1.1), and barely detectable for /ɲ/ and /ʃ/ (<1.1, except for TO speakers). Then, with respect to our first research question, we confirmed the general finding by Endo and Bertinetto (1999) that inherently long consonants exhibit smaller increases in duration than contrastive geminates (contra Korzen, 1981). However, our results partially diverge from Endo and Bertinetto (1999) for the different magnitudes of the effect measured for each consonant: while Endo and Bertinetto found that /ts/, /dz/ and /ʃ/ were considerably longer intervocalically, we only found similarly long durations for /ts/ and /dz/ but not for /ʃ/, confirming Payne’s (2005) finding for this consonant. Additionally, Endo and Bertinetto did not find substantially longer intervocalic durations for /ɲ/ and /ʎ/, whereas we found them for /ʎ/ (although our analysis was limited to the post-stressed condition for this consonant).

5.2. Regional Variation

As for our second research question, our initial global model (Section 4.1) does not point to global differences across the four cities in the duration of inherently long consonants taken as a whole (i.e., the main effect of City does not reach significance). However, differences are found between cities for specific sounds: this is shown by the significant interaction of City and Sound in our global model, as well as by the significant main effect of City in the subsequent models looking at a subsection of the data. Globally, models focusing on /ts/ and /dz/ suggested that durations in TO tended to be longer than CA and TN (Section 4.2 and Section 4.3), and models focusing on /ʃ/ and /ʎ/ suggested that durations in TO and AR were longer than in TN (Section 4.4 and Section 4.5).
Beyond overall differences across cities, speakers from different cities sometimes diverge in terms of durational patterns for inherently long consonants: that is to say, considerable regional variation in our data can be found in the amount of difference between the intervocalic and postconsonantal positions. Particularly, it is eye-catching that durations produced in the intervocalic position by TN speakers were far shorter than those produced by speakers from the other survey points: these speakers exhibited the smallest ratios for /ʃ/, /ʎ/ and /dz/ and no detectable lengthening for /ɲ/; they were also the only group that did not reach significance in the difference between post-consonantal vs. intervocalic /ʃ/ and /ʎ/. Only for /ts/ did they produce duration patterns that were comparable to speakers from other cities. Interestingly, they were also the only group that consistently produced a difference between intervocalic <z> and intervocalic <zz> for consonant /dz/ in all stress conditions (see Section 5.3 for more details) and the group who claimed to have the smallest knowledge of the local dialect and who had the smallest proportion of speakers claiming to have a regional accent (see Section 3.3). It is also interesting to note that the other northern group (TO) exhibited durational patterns that were generally comparable to AR and CA speakers. TO speakers even produced the highest ratios for palatal consonants /ʎ/ and /ɲ/ (for the latter, they were the only group producing significantly different durations in the intervocalic vs. postconsonantal position).
These results partially align with previous analyses on the regional variation of contrastive geminates: Mairano and De Iacovo (2020), Miatto et al. (2023) and Dian and Burroni (2024) had found no evidence of complete degemination (all speakers produced a significant durational contrast between singletons and geminates), but revealed differences for northern vs central and southern speakers either in the amount of lengthening (Mairano & De Iacovo, 2020, although the difference was only significant for some speech styles) or in the realisation of secondary cues such as vowel length (Miatto et al., 2023; Dian & Burroni, 2024). Similarly, in our study on inherently long consonants, we did not find a complete levelling of durational differences between intervocalic and post-consonantal /ts/, /dz/, /ʃ/, /ʎ/ and /ɲ/ (the only exception being /ɲ/ in TN), but we did find regional differences in terms of the magnitude of this effect, with intervocalic consonants being generally longer in AR, CA and TO than in TN. This is remarkable, considering that Mairano and De Iacovo (2020) had not highlighted significant differences between north-western and north-eastern varieties for contrastive gemination (although it has to be noted that the north-western survey point was Venice rather than Trento, and the northwestern group also included speakers from Milan, Bergamo and Genoa). The present data on inherently long consonants instead suggest that the norther-western group (TO) clusters with the other groups, while the north-eastern one shows peculiar patters, with overall shorter consonants in the intervocalic position and with duration patterns for /dz/ that reflect spelling as well as foreign status.
Finally, it is interesting to remark that intervocalic:post-consonantal duration ratios for inherently long consonants are far smaller than geminate:singleton ratios reported for contrastive geminates (partially in contrast with Endo & Bertinetto, 1999, who found that the intervocalic durations of /ts/, /dz/ and /ʃ/ but not /ʎ/ and /ɲ/ reflected the durations of contrastive geminates).

5.3. Variation Due to Orthography and Foreign Status

We tested the orthographic effect of single vs. double letters for /ts/ and /dz/ (e.g., Gazagazza), and the combined effect of foreign status and spelling for /ʃ/ (e.g., nascesushi). For /ts/ and /dz/, our third research question aimed at verifying whether northern participants produce a length contrast driven by single vs. double letters (<z> vs. <zz>), as suggested by Bertinetto and Loporcaro (2005). Surprisingly, results were mixed for these two consonants. For /ts/, we did not detect any durational difference for <z> vs. <zz> in any city, either north or elsewhere. Thus, our results do not corroborate claims by Bertinetto and Loporcaro (2005) that northern speakers pronounce an orthographically driven distinction between <z> and <zz> for /ts/. In the awareness question administered within the sociolinguistic questionnaire, slightly more northern speakers claimed that they made a distinction between vizi and vizzi (n = 4 and n = 3 for TN and TO, respectively) than central speakers (n = 2), but the difference is small and we are not sure that it can be generalised. We can therefore claim that our Italian speakers did not make an orthography-driven distinction between /ts/ and /tːs/ in any of the four cities. By contrast, we observed clear durational differences corresponding to <z> vs. <zz> for /dz/. Such distinction was present in the post-stressed position for all cities and was particularly salient by TN speakers (for whom it was observed in all stress conditions with duration ratios of 1.31–1.38), whereas the magnitude of <zz> lengthening decreased in the unstressed position and was undetectable in the pre-stressed position for speakers from other cities. We shall consider this alternation as non-canonical, in the sense that it is not reported in dictionaries and reference books for Standard Italian. Bertinetto and Loporcaro (2005) had hypothesised the existence of this alternation for northern speakers, but it is interesting to note that non-northern speakers CA and AR also produced it at least in the post-stressed position (i.e., for kamikaze, Gaza, Mozart vs. mezza, gazza, grezzo).
It is not easy to explain why a length distinction between <z> and <zz> is absent for /ts/ but (presumably) present for /dz/. This orthographic effect may have two explanations, but neither is entirely satisfactory. The first explanation that we propose makes reference to how Standard Italian was first acquired by the past generations after the unification of Italy (i.e., after 1861) and until the 1920s and 1930s. <zz> lengthening can be explained by the fact that those generations had their first contact with Italian at school as a L2, with their L1 being the dialect spoken in their local area (it is estimated that less than 10% of the population spoke Italian before 1861, cf. Castellani, 1982). The focus on the written language in Italian schools at that time may have favoured spelling pronunciations (Crocco, 2017), and those speakers may have overgeneralised the correspondence between double letters and geminate consonants to <zz>. This had the effect of creating a singleton vs. geminate alternation in their interlanguage, which has then been phonologised and transmitted to subsequent generations.
Although attractive and plausible, this hypothesis accounts for the alternation of /dz/ but unfortunately fails to explain why the same does not apply to /ts/. An alternative interpretation may refer to the foreign status of many words where intervocalic <z> is pronounced as short by our speakers (Gaza, Mozart, kamikaze)—especially in the post-stressed position, where the <z>-<zz> duration contrast is significant for all speakers. We can hypothesise that, for loanwords, Italian speakers create mental phono-lexical representations that rely more strongly on the orthographic form, probably due to the lack of a readily available oral form, and can therefore apply known grapheme–phoneme correspondences. This second hypothesis accounts well for productions of AR, CA and TO speakers, where the duration alternation is only significant in the post-stressed position. However, for TN speakers, the alternation is also visible for learned words of Greek origin or other nativised proper names (azalea “azalea”, Mozambico “Mozambique”, bizantino “Byzantine”), which are likely to be perceived as native words by naïve Italian speakers. We would then have to suppose that the <z>-<zz> alternation was introduced for pronouncing loanwords and successively generalised to other words by TN speakers.
Finally, it is not unreasonable to imagine an interaction of the two possible causes for this orthographic effect, at least for TN speakers: the alternation between singleton and geminate /ts/ and /dz/ driven by <z>-<zz> may have been initially introduced by the overgeneralisation of grapheme–phoneme correspondences by generations who learned Italian through the written form in the 1920s and 1930s. Over the following generations, the progressive standardisation of the language driven by the media, the increased mobility, etc., may have fostered the disappearance of this opposition for /ts/, while the presence of increasing numbers of foreign words spelled with <z> and pronounced short, even in the media (such as Gaza), may have been reinforced the length contrast for /dz/.
No effect was detected for the combined action of foreign status and spelling on /ʃ/ durations. As already discussed, in this case, it is impossible to disentangle the effect of foreign status and foreign spelling, since the native <sc> grapheme is used for native words, while the foreign <sh> and <ch> graphemes are used for loanwords. At any rate, /ʃ/ durations were not significantly affected by this combined effect: participants in all cities and in all stress conditions produced similar patterns for native words spelled with <sc> as for loanwords spelled with <sh> (from English or Japanese) or <ch> (from French). This may be because, contrary to <z> and <zz>, the two foreign graphemes <sh> and <ch> do not suggest a length contrast: although the use of a digraph itself may perhaps evoke a long(er) sound in the mind of naïve speakers, there is no contrast between a single vs. double letter (or between a single letter vs. a digraph).

5.4. Theoretical Implications and Perspectives for Future Research

The duration alternation found for /dz/ can be linked to the emerging literature showing the impact of orthographic knowledge on native speech. While orthographic effects have been found for various speech perception and processing tasks (Pattamadilok et al., 2014; Perre et al., 2009), fewer studies have documented orthographic effects in native speech production. Some of these studies have looked precisely at acoustic durations and number of consonants, with mixed results: Warner et al. (2004, 2006) found longer durations for double consonants for native speakers of Dutch, while Muschalik and Kunter (2023) failed to observe an effect of number of letters for native English speakers, but found an effect of graphemic complexity by which speakers shorten sounds for which they do not have a visible graphemic correlate (e.g., /s/ is shorter in tux than in fuss). The origin of orthographic effects in native speech production are debated and could reflect (i) task-specific strategies to discriminate between words (Mitterer & Reinisch, 2015), (ii) a bidirectional link between the spoken and written systems (Grainger & Ferrand, 1996), or (iii) the integration of spelling information within previously acquired phonological representations (Pattamadilok et al., 2014).
However, the effects described in the studies mentioned above are subphonemic durational differences, whereas the duration alternation found for /dz/ seems to be of a different nature. It seems to be linked with the orthographic effects of double consonants described for L1 Italian learners of L2 English (Bassetti et al., 2018) and L2 French (Mairano et al., 2018), who were found to produce a non-native singleton–geminate alternation caused by the generalisation of grapheme–phoneme correspondences, resulting in minimal pairs such as ‘Finnish’ [ˈfɪnːɪʃ] vs. ‘finish’ [ˈfɪnɪʃ] (Bassetti et al., 2018). This matches the proposed origin of this phenomenon, i.e., the acquisition of Italian as an L2 at school in the 1920s and 1930s by speakers whose native language was the local dialect. As suggested above, this generalisation may then have been preserved over the subsequent generations, reinforced by loanwords with <z>, for which a stricter reliance on grapheme–phoneme conversion rules promoted a short pronunciation. If so, we have an orthographic effect stemming from varieties of L2 Italian, which has progressively phonologised and crystallised into what are now regional varieties of Italian. Future studies may explore speakers’ mental representations and speech perception, to verify the potentially phonemic nature of this duration alternation for /dz/. This may include rhyming tasks with words pairs such as Gaza—gazza, as well as lexical decision tasks with manipulated consonantal durations.
At a more global level, beyond the alternation for <z>-<zz>, we found that orthography could be a relevant factor within the process of standardisation for Italian. While previous studies have found that orthographically transparent contrastive geminates are now consistently realised in regional varieties across the peninsula (Mairano & De Iacovo, 2020; Dian & Burroni, 2024), the present study reveals that speakers of the north-eastern TN variety diverge from the others in terms of durational patterns for orthographically opaque inherently long consonants: these speakers exhibited smaller ratios overall and did not produce significantly longer /ʃ/, /ʎ/ and /ɲ/ intervocalically. This may indicate that the process of converging towards a standard operates at a faster rate and/or is easier when phonology is supported by spelling (see also Crocco, 2017).
Finally, we wish to point out a known limitation of this study: as already mentioned in the methodology section, we measured acoustic durations in the post-consonantal vs. intervocalic position (for the reasons outlined in Section 3.1). We do not have comparable data for contrastive geminates in the post-consonantal position vs. geminate, so we cannot make direct comparisons for gemination ratios. A future study may look at the production of inherent geminates vs. contrastive geminates as measured in the same positions.

Supplementary Materials

The following supporting information can be downloaded at: https://www.mdpi.com/article/10.3390/languages10060118/s1, Statistical analysis: inherent_geminates_analysis_R; Data: inherent_geminates_ready.csv.

Author Contributions

Conceptualization, P.M., F.A., V.D.I., D.M. and R.N.; methodology, P.M., F.A., V.D.I., D.M. and R.N.; software, P.M. and F.A.; formal analysis, P.M., F.A., V.D.I., D.M. and R.N.; investigation, P.M., F.A., V.D.I., D.M. and R.N.; resources, F.A., V.D.I., D.M. and R.N.; data curation, P.M., F.A., V.D.I., D.M. and R.N.; writing—original draft preparation, P.M.; writing—review and editing, P.M., F.A., V.D.I., D.M. and R.N.; visualization, P.M. All authors have read and agreed to the published version of the manuscript.

Funding

This research received no external funding.

Institutional Review Board Statement

The study was conducted in accordance with the Declaration of Helsinki and approved by the Ethics Committee of the University of Lille (protocol code 2024-779-S126 and 20 May 2024).

Informed Consent Statement

Informed consent was obtained from all subjects involved in the study.

Data Availability Statement

The R code for the statistical analysis and the dataset in CSV format are included as Supplementary Materials for this article.

Acknowledgments

We are grateful to all speakers who accepted to take part in our study.

Conflicts of Interest

The authors declare no conflicts of interest.

References

  1. Albano Leoni, F. (2006). Il CORPUS CLIPS. Presentazione del progetto. Available online: http://www.clips.unina.it/ (accessed on 3 February 2024).
  2. Al-Tamimi, J., & Khattab, G. (2018). Acoustic correlates of the voicing contrast in Lebanese Arabic singleton and geminate stops. Journal of Phonetics, 71, 306–325. [Google Scholar] [CrossRef]
  3. Arango, J., DeCaprio, A., Yao, S., Baik, S., Shattuck-Hufnagel, S., & Di Benedetto, M. (2020). Estimation of the frequency of occurrence of Italian phonemes in text. The Journal of the Acoustical Society of America, 148(4), 2809. [Google Scholar] [CrossRef]
  4. Arvaniti, A. (1999, August 1–7). Effects of speaking rate on the timing of single and geminate sonorants. XIVth International Congress of Phonetic Sciences (pp. 599–602), San Francisco, CA, USA. [Google Scholar]
  5. Auer, P. (2005). Europe’s sociolinguistic unity, or: A typology of european dialect/standard constellations. In N. Delbecque, J. Van Der Auwera, & D. Geeraerts (Eds.), Perspectives on variation (pp. 7–42). Mouton De Gruyter. [Google Scholar] [CrossRef]
  6. Barr, D. J., Levy, R., Scheepers, C., & Tily, H. J. (2013). Random effects structure for confirmatory hypothesis testing: Keep it maximal. Journal of Memory and Language, 68(3), 255–278. [Google Scholar] [CrossRef] [PubMed]
  7. Bassetti, B., Sokolović-Perović, M., Mairano, P., & Cerni, T. (2018). Orthography-induced length contrasts in the second language phonological systems of l2 speakers of English: Evidence from minimal pairs. Language and Speech, 61(4), 577–597. [Google Scholar] [CrossRef]
  8. Bates, D., Mächler, M., Bolker, B., & Walker, S. (2015). Fitting linear mixed-effects models using Lme4. Journal of Statistical Software, 67(1), 1–48. [Google Scholar] [CrossRef]
  9. Benincà, P., Parry, M., & Pescarini, D. (2016). The dialects of Northern Italy. In A. Ledgeway, & M. Maiden (Eds.), The Oxford guide to the Romance languages (1st ed., pp. 185–205). Oxford University Press. [Google Scholar] [CrossRef]
  10. Berruto, G. (1987). Lingua, dialetto, diglossia, dilalìa. In G. Holtus, Ž. Muljačić, & J. Kramer (Eds.), Romania et slavia adriatica. Festschrift für žarko muljačić. Buske. [Google Scholar]
  11. Berruto, G. (2007). Fondamenti di sociolinguistica (4th ed.). Manuali di base 9. Laterza. [Google Scholar]
  12. Berruto, G. (2017). Sociolinguistica dell’italiano contemporaneo (Nuova ed. 2nd ed.). Manuali universitari Linguistica 131. Carocci Editore. [Google Scholar]
  13. Berruto, G. (2018). 18. The languages and dialects of Italy. In W. Ayres-Bennett, & J. Carruthers (Eds.), Manual of romance sociolinguistics (pp. 494–525). De Gruyter. [Google Scholar] [CrossRef]
  14. Bertinetto, P. M. (1976). L’accento secondario nella fonologia italiana. Analisi teorica e sperimentale. In R. Simone, U. Vignuzzi, & G. Ruggero (Eds.), Studi di fonetica e fonologia (pp. 189–236). Bulzoni. [Google Scholar]
  15. Bertinetto, P. M. (1981). Strutture prosodiche dell’italiano. Accademia della Crusca. [Google Scholar]
  16. Bertinetto, P. M. (2010). Enciclopedia dell’italiano. In Enciclopedia dell’italiano. Istituto dell’Enciclopedia Italiana G. Treccani. [Google Scholar]
  17. Bertinetto, P. M., Dell’Aglio, M., & Agonigi, M. (2008). Quali fattori influenzano maggiormente la durata vocalica e consonantica in italiano? Un’indagine mediante l’algoritmo di decisione C&RT. La Comunicazione Parlata, 1, 13–38. [Google Scholar]
  18. Bertinetto, P. M., & Loporcaro, M. (2005). The sound pattern of Standard Italian, as compared with the varieties spoken in Florence, Milan and Rome. Journal of the International Phonetic Association, 35(2), 131–151. [Google Scholar] [CrossRef]
  19. Bertinetto, P. M., & Vivalda, E. (1978). Recherches sur la perception des opposition de Quantite en Italien. Journal of Italian Linguistics, 3(1), 97–116. [Google Scholar]
  20. Binazzi, N. (2019). Toscana. In R. Bauer, & T. Krefeld (Eds.), Lo spazio comunicativo dell’Italia e delle varietà italiane (Korpus im Text 7). LMU München. Available online: https://www.kit.gwi.uni-muenchen.de/?p=12469&v=2 (accessed on 15 March 2024).
  21. Boersma, P., & Weenink, D. (2023). PRAAT doing phonetics by computer (Version 6.4.31)[Computer software].
  22. Bonfaldini, G. (1983). Il Confine Linguistico Veneto-Lombardo. In M. Cortelazzo (Ed.), Guida ai dialetti veneti (Vol. 5, pp. 23–59). CLEUP. [Google Scholar]
  23. Bybee, J. (2001). Phonology and language use (1st ed.). Cambridge University Press. [Google Scholar] [CrossRef]
  24. Calamai, S. (2011). Pronuncia. In R. Simone (Ed.), Enciclopedia dell’italiano. Treccani. [Google Scholar]
  25. Calamai, S. (2017). Tuscan between standard and vernacular: A sociophonetic perspective. In M. Cerruti, C. Crocco, & S. Marzo (Eds.), Towards a new standard (pp. 213–41). De Gruyter. [Google Scholar] [CrossRef]
  26. Canepari, L. (1992). Manuale di pronuncia italiana: Con un pronunciario di oltre 30000 voci e due audiocassette. Zanichelli. [Google Scholar]
  27. Canepari, L. (2009). Il DiPI: Dizionario di pronuncia italiana (1st ed.). 6. rist. I libri sempre aperti. Zanichelli. [Google Scholar]
  28. Canepari, L., & Giovannelli, B. (2008). La buona pronuncia italiana del terzo millennio: Manualetto d’italiano neutro con sonori, esercizi e test. Aracne. [Google Scholar]
  29. Casalicchio, J., & Cordin, P. (2020). Grammar of central trentino: A romance dialect from North-East Italy. Grammars and sketches of the world’s languages. Brill. [Google Scholar]
  30. Castellani, A. E. (1982). Quanti erano gli italofoni nel 1861? Studi Linguistici Italiani, 8, 3–26. [Google Scholar]
  31. Celata, C., & Kaeppeli, B. (2003). Affricazione e rafforzamento in Italiano: Alcuni dati sperimentali. Quaderni Del Laboratorio Di Linguistica Della SNS, 4, 1–17. [Google Scholar]
  32. Celata, C., & Mairano, P. (2014). On the timing of V-to-V intervals in Italian: A review, and some new hypotheses. Revista de Filología Románica, 31, 37–53. [Google Scholar]
  33. Cerruti, M. (2011). Regional varieties of Italian in the linguistic repertoire. International Journal of the Sociology of Language, 2011(210), 9–28. [Google Scholar] [CrossRef]
  34. Cerruti, M., & Regis, R. (2015). The Interplay between dialect and standard: Evidence from Italo-Romance. In E. Torgersen, S. Hårstad, B. Mæhlum, & U. Røyneland (Eds.), Studies in language variation (Vol. 17, pp. 55–68). John Benjamins Publishing Company. [Google Scholar] [CrossRef]
  35. Cortelazzo, M. (Ed.). (1983). Guida ai dialetti veneti (Vol. 5). CLEUP. [Google Scholar]
  36. Cortelazzo, M., & Mioni, A. (1990). L’ italiano regionale. In Atti del 18° congresso internazionale di studi. Bulzoni. [Google Scholar]
  37. Crocco, C. (2017). Everyone has an accent. Standard Italian and regional pronunciation. In M. Cerruti, C. Crocco, & S. Marzo (Eds.), Towards a new standard (pp. 89–117). De Gruyter. [Google Scholar] [CrossRef]
  38. Dell’Aquila, V., Ramallo, F., & Rasom, S. (2022). CLAM 2021 cimbri, ladini, mòcheni. Mondo Ladino 46. Istitut Cultural Ladin. [Google Scholar]
  39. Dian, A., & Burroni, F. (2024, June 27–29). A machine learning investigation of durational and non-durational Cues to stop gemination in italian across regional varieties and speaking rates. LabPhon 19 (pp. 1–2), Seoul, Republic of Korea. [Google Scholar]
  40. Dian, A., Hajek, J., & Fletcher, J. (2022, December 13–16). Stop (de)GEMINATION in Veneto Italian: The role of durational correlates. SST2022 (pp. 176–180), Canberra, Australia. [Google Scholar]
  41. Di Benedetto, M. G., & De Nardis, L. (2021a). Consonant gemination in Italian: The affricate and fricative case. Speech Communication, 134, 86–108. [Google Scholar] [CrossRef]
  42. Di Benedetto, M. G., & De Nardis, L. (2021b). Consonant gemination in Italian: The nasal and liquid case. Speech Communication, 133, 62–80. [Google Scholar] [CrossRef]
  43. Di Benedetto, M. G., Shattuck-Hufnagel, S., De Nardis, L., Budoni, S., Arango, J., Chan, I., & DeCaprio, A. (2021). Lexical and syntactic gemination in Italian consonants—Does a geminate Italian consonant consist of a repeated or a strengthened consonant? The Journal of the Acoustical Society of America, 149, 3375–3386. [Google Scholar] [CrossRef]
  44. Draxler, C., & Jänsch, K. (2004, May 26–28). SpeechRecorder—A universal platform independent multi-channel audio recording software. LREC 2004 (pp. 559–562), Lisbon, Portugal. [Google Scholar]
  45. Endo, R., & Bertinetto, P. M. (1999). Caratteristiche prosodiche delle così dette “rafforzate” Italiane. In Aspetti computazionali in fonetica, linguistica e didattica delle lingue: Modelli e algoritmi (pp. 243–255). Atti delle IX Giornate de Studio del GFS. [Google Scholar]
  46. Esposito, A., & Di Benedetto, M. G. (1999). Acoustical and perceptual study of gemination in Italian stops. The Journal of the Acoustical Society of America, 106(4), 2051–2062. [Google Scholar] [CrossRef]
  47. Farnetani, E., & Kori, S. (1986). Effects of syllable and word structure on segmental durations in spoken Italian. Speech Communication, 5(1), 17–34. [Google Scholar] [CrossRef]
  48. Giannelli, L. (2000). Toscana. Nuova ed. aggiornata. Profilo Dei Dialetti Italiani 9. Pacini. [Google Scholar]
  49. Gili Fivela, B., & Treccani, G. (2010). Affricate. In Enciclopedia dell’italiano. Istituto dell’Enciclopedia Italiana G. Treccani. [Google Scholar]
  50. Gili Fivela, B., & Zmarich, C. (2005). Italian geminates under speech rate and focalization changes: Kinematic, acoustic, and perception data. In Interspeech 2005 (pp. 2897–2900). ISCA. [Google Scholar] [CrossRef]
  51. Gili Fivela, B., Avesani, C., Barone, M., Bocci, G., Crocco, C., D’imperio, M., Giordano, R., Marotta, G., Savino, M., & Sorianello, P. (2015). Intonational phonology of the regional varieties of Italian. In S. Frota, & P. Prieto (Eds.), Intonation in Romance (1st ed., pp. 140–97). Oxford University Press. [Google Scholar] [CrossRef]
  52. Giordano, R., & Savy, R. (2012). Sulla standardizzazione del consonantismo dell’italiano: Consonanti geminate, rafforzate e fricative alveolari in contesto intervocalico. In La variazione nell’italiano e nella sua storia varietà e varianti linguistiche e testuali, atti dell’XI congresso SILFI (Vol. 2, pp. 431–445). Franco Cesati. [Google Scholar]
  53. Grainger, J., & Ferrand, L. (1996). Masked orthographic and phonological priming in visual word recognition and naming: Cross-task comparisons. Journal of Memory and Language, 35(5), 623–47. [Google Scholar] [CrossRef]
  54. Jakubíček, M., Kilgarriff, A., Kovář, V., Rychl, P., & Suchomel, V. (2013, March 5–7). The TenTen corpus family. 7th International Corpus Linguistics Conference CL (pp. 125–127), Valladolid, Spain. [Google Scholar]
  55. Kawahara, S. (2015). 1 The phonetics of sokuon, or geminate obstruents. In H. Kubozono (Ed.), Handbook of Japanese phonetics and phonology (pp. 43–78). DE GRUYTER. [Google Scholar] [CrossRef]
  56. Kisler, T., Reichel, U. D., & Schiel, F. (2017). Multilingual processing of speech via web services. Computer Speech & Language, 45, 326–347. [Google Scholar]
  57. Korzen, I. (1981). Gradi consonantici nel toscano. Un indagine sperimentale sui cambiamenti quantitativi nei nessi consonantici. Studi Italiani Di Linguistica Teorica Ed Applicata 10, 161–202. [Google Scholar]
  58. Krämer, M. (2009). The Phonology of Italian. The phonology of the world’s languages. Oxford University Press. [Google Scholar]
  59. Krull, D., Traunmüller, H., & Bertinetto, P. M. (2006). Local speaking rate and perceived quantity: An experiment with Italian listeners. Working Papers, 52, 81–84. [Google Scholar]
  60. Kuznetsova, A., Brockhoff, P. B., & Christensen, R. H. B. (2017). lmerTest package: Tests in linear mixed effects models. Journal of Statistical Software, 82(13), 1–26. [Google Scholar] [CrossRef]
  61. Ladefoged, P. (2003). Phonetic data analysis: An introduction to fieldwork and instrumental techniques. Blackwell Pub. [Google Scholar]
  62. Lahiri, A., & Hankamer, J. (1988). The timing of geminate consonants. Journal of Phonetics, 16(3), 327–338. [Google Scholar] [CrossRef]
  63. Landi, R., & Savy, R. (1996). Durata vocalica, struttura sillabica e velocita d’eloquio nel parlato connesso. In Atti Del XXIV Convegno Nazionale AIA (pp. 65–70). Associazione Italiana di Acustica. [Google Scholar]
  64. Lenth, R. V. (2023). Emmeans: Estimated marginal means, aka least-squares means. Available online: https://CRAN.R-project.org/package=emmeans (accessed on 16 July 2024).
  65. Loi Corvetto, I. (1983). L’italiano regionale di sardegna. Fenomeni linguistici. Zanichelli. Available online: https://books.google.it/books?id=ALIdAQAAIAAJ (accessed on 1 September 2024).
  66. Loporcaro, M. (1997). L’origine del raddoppiamento fonosintattico: Saggio di fonologia diacronica romanza. Francke Verlag. [Google Scholar]
  67. Loporcaro, M. (2013). Profilo linguistico dei dialetti italiani. Nuova ed. Aggiornata. Laterza. [Google Scholar]
  68. Lüdecke, D. (2023). sjPlot: Data visualization for statistics in social science. Available online: https://CRAN.R-project.org/package=sjPlot (accessed on 16 July 2024).
  69. Mairano, P., & De Iacovo, V. (2020). Gemination in northern versus central and southern varieties of Italian: A corpus-based investigation. Language and Speech, 63, 608–634. [Google Scholar] [CrossRef]
  70. Mairano, P., Santiago, F., & Delais-Roussarie, E. (2018). Gémination Non-Native En Français d’apprenants Italophones. In XXXIIe Journées d’Études Sur La Parole (pp. 657–665). ISCA. [Google Scholar] [CrossRef]
  71. Marković, I. (2019). Influence of Italian orthography on pronunciation of phonemes in regional Italian. Suvremena Lingvistika, 87, 83–93. [Google Scholar] [CrossRef]
  72. Marotta, G. (1985). Modelli e misure ritmiche. La durata vocalica in italiano. Zanichelli. [Google Scholar]
  73. Marotta, G. (1999). Degenerate feet nella fonologia metrica Dell’italiano. In P. Benincà, A. Mioni, & L. Vanelli (Eds.), Fonologia e morfologia dell’italiano e dei dialetti Italiani. Atti del XXXI congresso SLI (pp. 97–116). Bulzoni. [Google Scholar]
  74. Miatto, V., Leon, A., Rosales, T., & Stephen, K. (2023). Gemination variation in three varieties of regional Italian. The Journal of the Acoustical Society of America, 153(Suppl. S3), A296. [Google Scholar] [CrossRef]
  75. Mitterer, H., & Reinisch, E. (2015). Letters don’t matter: No effect of orthography on the perception of conversational speech. Journal of Memory and Language, 85, 116–134. [Google Scholar] [CrossRef]
  76. Muljačić, Ž. (1972). Fonologia della lingua italiana. Il Mulino. [Google Scholar]
  77. Muschalik, J., & Kunter, G. (2023). Do letters matter? The influence of spelling on acoustic duration. Phonetica, 81(2), 221–264. [Google Scholar] [CrossRef]
  78. Passino, D. (2013). A unified account of consonant gemination in external sandhi in Italian: Raddoppiamento sintattico and related phenomena. The Linguistic Review, 30(2), 313–346. [Google Scholar] [CrossRef]
  79. Pattamadilok, C., Morais, J., Colin, C., & Kolinsky, R. (2014). Unattentive speech processing is influenced by orthographic knowledge: Evidence from mismatch negativity. Brain and Language, 137, 103–111. [Google Scholar] [CrossRef]
  80. Paulis, G. (1984). Introduzione e appendice alla fonetica storica del sardo di Max Leopold Wagner. In M. L. Wagner (Ed.), Fonetica storica del sardo. introduzione traduzione e appendice di giulio paulis. Gianni Trois. [Google Scholar]
  81. Payne, E. M. (2005). Phonetic variation in Italian consonant gemination. Journal of the International Phonetic Association, 35(2), 153–181. [Google Scholar] [CrossRef]
  82. Payne, E. M. (2006). Non-durational indices in Italian geminate consonants. Journal of the International Phonetic Association, 36(1), 83–95. [Google Scholar] [CrossRef]
  83. Perre, L., Midgley, K., & Ziegler, J. C. (2009). When Beef primes Reef more than Leaf: Orthographic information affects phonological priming in spoken word recognition. Psychophysiology, 46(4), 739–46. [Google Scholar] [CrossRef] [PubMed]
  84. Pickett, E. R., Blumstein, S. E., & Burton, M. W. (1999). Effects of speaking rate on the singleton/geminate consonant contrast in Italian. Phonetica, 56(3–4), 135–157. [Google Scholar] [CrossRef]
  85. R Core Team. (2023). R: A language and environment for statistical computing. R Foundation for Statistical Computing. Available online: https://www.R-project.org/ (accessed on 5 July 2024).
  86. Rochet, L. B., & Rochet, A. P. (1995, August 14–19). The perception of the single-geminate consonant contrast by native speakers of italian and anglophones. ICPhS1995 (pp. 616–619), Stockholm, Sweden. [Google Scholar]
  87. Sabatini, F. (1985). L’italiano dell’uso medio: Una realtà tra le varietà linguistiche italiane. In G. Holtus, & E. Radtke (Eds.), Gesprochenes italienisch in geschichte und gegenwart (pp. 154–184). Gunter Narr Verlag. [Google Scholar]
  88. Schmid, S. (1999). Fonetica e fonologia dell’italiano (1st ed.). Sapere linguistico e pratica dell’italiano. Paravia scriptorium. [Google Scholar]
  89. Sobrero, A. (1988). 279. Regionale varianten/italiano regionale. In G. Holtus, M. Metzeltin, & C. Schmitt (Eds.), Italienisch, Korsisch, Sardisch (pp. 732–48). DE GRUYTER. [Google Scholar] [CrossRef]
  90. Stevens, M. (2011). Consonant length in Italian: Gemination, degemination and Preaspiration. In S. M. Alvord (Ed.), Selected proceedings of the 5th conference on laboratory approaches to romance phonology (pp. 21–32). Cascadilla Proceedings Project. [Google Scholar]
  91. Stevens, M., & Hajek, J. (2004). Raddoppiamento Sintattico (RS) and word-medial gemination in Italian. In R. Gess, & E. Rubin (Eds.), Theoretical and experimental approaches to romance linguistics: Selected papers from the 34th linguistic symposium on romance languages (LSRL), Salt Lake City (Vol. 272, pp. 257–271). John Benjamins. [Google Scholar]
  92. Stevens, M., & Reubold, U. (2014). Pre-aspiration, quantity, and sound change. Laboratory Phonology, 5(4), 455–488. [Google Scholar] [CrossRef]
  93. Tagliapietra, L., & McQueen, J. M. (2010). What and where in speech recognition: Geminates and singletons in spoken Italian. Journal of Memory and Language, 63(3), 306–323. [Google Scholar] [CrossRef]
  94. Turco, G., & Braun, B. (2016). An acoustic study on non-local anticipatory effects of Italian length contrast. The Journal of the Acoustical Society of America, 140(4), 2247–2256. [Google Scholar] [CrossRef]
  95. Vietti, A. (2019). Phonological variation and change in Italian. In Oxford research encyclopedia of linguistics. Oxford University Press. [Google Scholar]
  96. Vietti, A., & Mereu, D. (2023). Mid vowels at the crossroads between standard and regional Italian. Sociolinguistica. European Journal of Sociolinguistics, 37(1), 17–39. [Google Scholar] [CrossRef]
  97. Vogel, I., & Scalise, S. (1982). Secondary stress in Italian. Lingua, 58(3–4), 213–42. [Google Scholar] [CrossRef]
  98. Warner, N., Good, E., Jongman, A., & Sereno, J. (2006). Orthographic vs. morphological incomplete neutralization effects. Journal of Phonetics, 34(2), 285–93. [Google Scholar] [CrossRef]
  99. Warner, N., Jongman, A., Sereno, J., & Kemps, R. (2004). Incomplete neutralization and other sub-phonemic durational differences in production and perception: Evidence from Dutch. Journal of Phonetics, 32(2), 251–276. [Google Scholar] [CrossRef]
  100. Zamboni, A. (1977). Veneto. In M. Cortelazzo (Ed.), Profilo dei dialetti italiani (Vols. 4–5). Pacini. [Google Scholar]
Figure 1. Participants’ responses to the three linguistic awareness questions included in the sociolinguistic questionnaire. The bars indicate the number of participants claiming to pronounce differently or the same for each of three word pairs.
Figure 1. Participants’ responses to the three linguistic awareness questions included in the sociolinguistic questionnaire. The bars indicate the number of participants claiming to pronounce differently or the same for each of three word pairs.
Languages 10 00118 g001
Figure 2. Model predictions for normalised durations: effects of Position by Sound and City.
Figure 2. Model predictions for normalised durations: effects of Position by Sound and City.
Languages 10 00118 g002
Figure 3. Model predictions for normalised durations: effects of Position by Sound, City and Stress.
Figure 3. Model predictions for normalised durations: effects of Position by Sound, City and Stress.
Languages 10 00118 g003
Figure 4. Model predictions for normalised durations: effects of Spelling by Sound, Stress and City.
Figure 4. Model predictions for normalised durations: effects of Spelling by Sound, Stress and City.
Languages 10 00118 g004
Figure 5. Model predictions for normalised /ʃ/ durations: effects of Foreign Status by Stress and City.
Figure 5. Model predictions for normalised /ʃ/ durations: effects of Foreign Status by Stress and City.
Languages 10 00118 g005
Figure 6. Model predictions for normalised durations: effects of Morphemic Boundary by Sound and City.
Figure 6. Model predictions for normalised durations: effects of Morphemic Boundary by Sound and City.
Languages 10 00118 g006
Table 1. Stimuli analysed for /ts/.
Table 1. Stimuli analysed for /ts/.
Post-StressedPre-StressedUnstressed
Post-CInterv-zInterv-zzPost-CInterv-zInterv-zzPost-CInterv-zIterv-zz
VCV
scalzoviziguizziinfilzatoprofeziepalizzatainfilzeràN.A.mozzarella
infilzascrezipezzidanzandopoliziapazziadanzeremoN.A.mozzicone
danzasazimazzicalzoniabbaziarazziacalzolaioN.A.pezzatura
VCjV
MarziavizioN.A.parzialeviziatacazziataparzialmentedizionariocazziatone
infanziascrezioN.A.marzialescreziatofantozzianomarzialmentecauzionalefantozzianissimo
divorziosazioN.A.divorziatosaziatorazzialedivorzieràazionistarazziatore
Table 2. Stimuli analysed for /dz/.
Table 2. Stimuli analysed for /dz/.
Post-StressedPre-StressedUnstressed
Post-CInterv-zInterv-zzPost-CInterv-zInterv-zzPost-CInterv-zIterv-zz
zenzerokamikazemezzaronzareozonobizzarrobenzinaioMozambicomezzodì
manzoGazagazzaenzimagazebogazzosabarzellettabizantinobizzarria
bronzoMozartgrezzobenzinaazotomezzoraabbronzaturaazaleaazzuffavano
morphemic boundary before /dz/
eurozona
prozia
sottozero
Table 3. Stimuli analysed for /ʃ/.
Table 3. Stimuli analysed for /ʃ/.
Post-StressedPre-StressedUnstressed
Post-CIntervoc ntvInterv
Foreign
Post-CInterv
ntv
Interv
Foreign
Post-CInterv
ntv
Interv
Foreign
inscionascefashionmessinscenanascendoclichéinscenarenasceràsushi-bar
inconsciocrescepushergramscianocrescendocachetconsciamentecresceraiwashingtoniano
conscioconoscesushibolscevicocoscienzapochettebolscevismoconoscimentofashion-week
morphemic boundary before /ʃ/
prescelto
retroscena
risciacquo
Table 4. Stimuli analysed for /ʎ/. N.A. indicates contexts for which words could not be found or for which suitable counterparts could not be found.
Table 4. Stimuli analysed for /ʎ/. N.A. indicates contexts for which words could not be found or for which suitable counterparts could not be found.
Post-StressedPre-StressedUnstressed
Post-CIntervPost-CIntervPost-CInterv
N.A.N.A.N.A.tagliareN.A.N.A.
N.A.N.A.N.A.sbagliareN.A.N.A.
N.A.N.A.N.A.pigliareN.A.N.A.
morphological boundary before /ʎ/ (i.e., -gli)
farglifagliN.A.N.A.N.A.facendogli
dirglidigliN.A.N.A.N.A.dicendogli
darglidagliN.A.N.A.N.A.dandogli
Table 5. Stimuli analysed for /ɲ/.
Table 5. Stimuli analysed for /ɲ/.
Post-StressedPre-StressedUnstressed
Post-CIntervPost-CIntervPost-CInterv
MargnospegneUrgnanospegnendoN.A.spegnerebbe
FargnasognoPadergnonesognareN.A.sogneranno
CavargnalagnaCuorgnèlagnareN.A.lagnosamente
Table 6. Anova table for the model Duration ~ (City * Position * Sound) + Stress + Log Frequency + Number of Syllables + (1 + Position + Sound|Speaker) + (1|Word). The p values in bold indicate statistically significant effects.
Table 6. Anova table for the model Duration ~ (City * Position * Sound) + Stress + Log Frequency + Number of Syllables + (1 + Position + Sound|Speaker) + (1|Word). The p values in bold indicate statistically significant effects.
Fixed Effectp Value
City0.151
Position<0.001
Sound<0.001
Stress<0.001
Log Frequency0.446
Number of Syllables0.887
City x Position0.001
City x Sound<0.001
Position x Sound<0.001
City x Position x Sound<0.001
Table 7. Post-hoc pairwise comparisons for the effect of Position across cities and sounds. p values were adjusted with Tukey’s method. The p values in bold indicate statistically significant effects.
Table 7. Post-hoc pairwise comparisons for the effect of Position across cities and sounds. p values were adjusted with Tukey’s method. The p values in bold indicate statistically significant effects.
ContrastEstimateSEp Value
Sound = /ts/, City = AR, intervoc–postcons−0.380.05<0.001
Sound = /ts/, City = CA, intervoc–postcons−0.460.05<0.001
Sound = /ts/, City = TN, intervoc–postcons−0.370.05<0.001
Sound = /ts/, City = TO, intervoc–postcons−0.530.05<0.001
Sound = /dz/, City = AR, intervoc–postcons−0.520.07<0.001
Sound = /dz/, City = CA, intervoc–postcons−0.470.07<0.001
Sound = /dz/, City = TN, intervoc–postcons−0.340.07<0.001
Sound = /dz/, City = TO, intervoc–postcons−0.580.07<0.001
Sound = /ʃ/, City = AR, intervoc–postcons−0.220.070.001
Sound = /ʃ/, City = CA, intervoc–postcons−0.170.070.012
Sound = /ʃ/, City = TN, intervoc–postcons−0.110.070.116
Sound = /ʃ/, City = TO, intervoc–postcons−0.140.070.042
Sound = /ʎ/, City = AR, intervoc–postcons−0.370.11<0.001
Sound = /ʎ/, City = CA, intervoc–postcons−0.530.10<0.001
Sound = /ʎ/, City = TN, intervoc–postcons−0.170.100.093
Sound = /ʎ/, City = TO, intervoc–postcons−0.540.10<0.001
Sound = /ɲ/, City = AR, intervoc–postcons−0.050.080.523
Sound = /ɲ/, City = CA, intervoc–postcons−0.070.080.402
Sound = /ɲ/, City = TN, intervoc–postcons0.000.080.969
Sound = /ɲ/, City = TO, intervoc–postcons−0.170.080.044
Table 8. Estimates and ratios for intervocalic–post-consonantal durations computed on model predictions extracted via emmeans. Ratios for which the duration in intervocalic vs. post-consonantal position is significantly different are reported in bold.
Table 8. Estimates and ratios for intervocalic–post-consonantal durations computed on model predictions extracted via emmeans. Ratios for which the duration in intervocalic vs. post-consonantal position is significantly different are reported in bold.
SoundCityIntervoc.Post-ConsRatio
/ts/AR1.4091.7851.27
CA1.2171.6751.38
TN1.2311.6001.30
TO1.5152.0481.35
/dz/AR0.7921.3171.66
CA0.8051.2721.58
TN0.8901.2271.38
TO0.9411.5161.61
/ʃ/AR1.5571.7771.14
CA1.4321.6061.12
TN1.3571.4651.08
TO1.5321.6721.09
/ʎ/AR0.7561.1281.49
CA0.8041.3351.66
TN0.9681.1431.18
TO0.7391.2841.74
/ɲ/AR1.1021.1561.05
CA1.1381.2091.06
TN1.1001.1031.00
TO0.9561.1271.18
Table 9. Anova table for the model Duration ~ (City * Position * Sound) + Stress + Log Frequency + Number of Syllables + (1 + Position + Sound|Speaker) + (1|Word). The p values in bold indicate statistically significant effects. This analysis only includes the durations of /ts/, /dz/, and /ʃ/.
Table 9. Anova table for the model Duration ~ (City * Position * Sound) + Stress + Log Frequency + Number of Syllables + (1 + Position + Sound|Speaker) + (1|Word). The p values in bold indicate statistically significant effects. This analysis only includes the durations of /ts/, /dz/, and /ʃ/.
Fixed Effectp Value
City0.002
Position<0.001
Sound<0.001
Stress<0.001
Log Frequency0.617
Number of Syllables0.850
City x Position0.055
City x Sound<0.001
Position x Sound<0.001
City x Stress<0.001
Position x Stress0.013
Sound x Stress0.145
City x Position x Sound<0.001
City x Position x Stress0.211
City x Sound x Stress0.495
Position x Sound x Stress0.764
City x Position x Sound x Stress0.052
Table 10. Anova table for the model Duration ~ (City * Spelling * Sound * Stress) + Log Frequency + Num of Syllables + (1 + Position + Stress|Speaker) + (1|Word). The p values in bold indicate statistically significant effects.
Table 10. Anova table for the model Duration ~ (City * Spelling * Sound * Stress) + Log Frequency + Num of Syllables + (1 + Position + Stress|Speaker) + (1|Word). The p values in bold indicate statistically significant effects.
Fixed Effectp Value
City0.001
Spelling<0.001
Sound<0.001
Stress<0.001
Log Frequency0.618
Number of Syllables0.006
City x Spelling0.137
City x Sound<0.001
Spelling x Sound<0.001
City x Stress0.155
Spelling x Stress0.095
Sound x Stress0.002
City x Spelling x Sound0.158
City x Spelling x Stress0.332
City x Sound x Stress0.025
Spelling x Sound x Stress0.069
City x Spelling x Sound x Stress0.011
Table 11. Post-hoc pairwise comparisons for the effect of Spelling across cities, sounds and stress. p values were adjusted with Tukey’s method and are bolded if significant.
Table 11. Post-hoc pairwise comparisons for the effect of Spelling across cities, sounds and stress. p values were adjusted with Tukey’s method and are bolded if significant.
ContrastEstimateSEp Value
post-stressed /ts/, City = AR: <z>-<zz>0.060.090.514
post-stressed /ts/, City = CA: <z>-<zz>−0.080.090.371
post-stressed /ts/, City = TN: <z>-<zz>−0.030.090.720
post-stressed /ts/, City = TO: <z>-<zz>−0.010.090.873
pre-stressed /ts/, City = AR: <z>-<zz>−0.030.080.718
pre-stressed /ts/, City = CA: <z>-<zz>−0.150.080.053
pre-stressed /ts/, City = TN: <z>-<zz>0.010.080.924
pre-stressed /ts/, City = TO: <z>-<zz>−0.120.080.130
unstressed /ts/, City = AR: <z>-<zz>0.150.090.103
unstressed /ts/, City = CA: <z>-<zz>0.060.090.557
unstressed /ts/, City = TN: <z>-<zz>0.080.090.425
unstressed /ts/, City = TO: <z>-<zz>0.080.090.394
post-stressed /dz/, City = AR: <z>-<zz>−0.420.110.000
post-stressed /dz/, City = CA: <z>-<zz>−0.470.110.000
post-stressed /dz/, City = TN: <z>-<zz>−0.380.110.001
post-stressed /dz/, City = TO: <z>-<zz>−0.640.11<0.0001
pre-stressed /dz/, City = AR: <z>-<zz>−0.030.110.781
pre-stressed /dz/, City = CA: <z>-<zz>−0.160.110.152
pre-stressed /dz/, City = TN: <z>-<zz>−0.390.110.001
pre-stressed /dz/, City = TO: <z>-<zz>−0.080.110.482
unstressed /dz/, City = AR: <z>-<zz>−0.170.110.126
unstressed /dz/, City = CA: <z>-<zz>−0.170.110.127
unstressed /dz/, City = TN: <z>-<zz>−0.310.110.007
unstressed /dz/, City = TO: <z>-<zz>−0.200.110.068
Table 12. Estimates and ratios for <zz>-<z> durations computed on model predictions extracted via emmeans. Ratios for which the duration of <zz> vs. <z> was significantly different are reported in bold.
Table 12. Estimates and ratios for <zz>-<z> durations computed on model predictions extracted via emmeans. Ratios for which the duration of <zz> vs. <z> was significantly different are reported in bold.
SoundStressCity<z><zz>zz:z Ratio
/ts/post-stressedAR2.1502.0910.97
CA1.9782.0601.04
TN2.0092.0421.02
TO2.3882.4021.01
pre-stressedAR1.8421.8701.02
CA1.6031.7531.09
TN1.6141.6071.00
TO2.0062.1231.06
unstressedAR1.4411.2860.89
CA1.3771.3210.96
TN1.2111.1360.94
TO1.7311.6510.95
/dz/post-stressedAR1.2941.7131.32
CA1.2391.7081.38
TN1.2401.6231.31
TO1.3011.9401.49
pre-stressedAR1.3421.3731.02
CA1.2471.4041.13
TN1.0391.4301.38
TO1.6051.6811.05
unstressedAR0.9361.1061.18
CA0.9091.0761.18
TN0.8351.1451.37
TO1.1401.3421.18
Table 13. Anova table for the model Duration ~ (City * Foreign Status * Stress) + Log Frequency + Number of Syllables + (1 + Stress|Speaker) + (1|Word). The p values in bold indicate statistically significant effects.
Table 13. Anova table for the model Duration ~ (City * Foreign Status * Stress) + Log Frequency + Number of Syllables + (1 + Stress|Speaker) + (1|Word). The p values in bold indicate statistically significant effects.
Fixed Effectp Value
City0.001
Foreign Status0.905
Stress0.017
Log Frequency0.966
Number of Syllables0.362
City x Foreign Status0.761
City x Stress0.001
Foreign Status x Stress0.929
City x Foreign Status x Stress0.894
Table 14. Anova table for the model Duration ~ (Sound * City * Morphemic Boundary) + Log Frequency + Num of Syllables + (1 + Morphemic Boundary|Speaker) + (1|Word). The p values in bold indicate statistically significant effects.
Table 14. Anova table for the model Duration ~ (Sound * City * Morphemic Boundary) + Log Frequency + Num of Syllables + (1 + Morphemic Boundary|Speaker) + (1|Word). The p values in bold indicate statistically significant effects.
Fixed Effectp Value
Sound<0.001
City<0.001
Morphemic Boundary0.004
Log Frequency0.065
Number of Syllables<0.001
Sound x City<0.001
Sound x Morphemic Boundary0.233
City x Morphemic Boundary0.732
Sound x City x Morphemic Boundary0.010
Disclaimer/Publisher’s Note: The statements, opinions and data contained in all publications are solely those of the individual author(s) and contributor(s) and not of MDPI and/or the editor(s). MDPI and/or the editor(s) disclaim responsibility for any injury to people or property resulting from any ideas, methods, instructions or products referred to in the content.

Share and Cite

MDPI and ACS Style

Mairano, P.; Nodari, R.; Ardolino, F.; De Iacovo, V.; Mereu, D. Inherently Long Consonants in Contemporary Italian Varieties: Regional Variation and Orthographic Effects. Languages 2025, 10, 118. https://doi.org/10.3390/languages10060118

AMA Style

Mairano P, Nodari R, Ardolino F, De Iacovo V, Mereu D. Inherently Long Consonants in Contemporary Italian Varieties: Regional Variation and Orthographic Effects. Languages. 2025; 10(6):118. https://doi.org/10.3390/languages10060118

Chicago/Turabian Style

Mairano, Paolo, Rosalba Nodari, Fabio Ardolino, Valentina De Iacovo, and Daniela Mereu. 2025. "Inherently Long Consonants in Contemporary Italian Varieties: Regional Variation and Orthographic Effects" Languages 10, no. 6: 118. https://doi.org/10.3390/languages10060118

APA Style

Mairano, P., Nodari, R., Ardolino, F., De Iacovo, V., & Mereu, D. (2025). Inherently Long Consonants in Contemporary Italian Varieties: Regional Variation and Orthographic Effects. Languages, 10(6), 118. https://doi.org/10.3390/languages10060118

Article Metrics

Back to TopTop