Aerodynamic Shape Optimisation Using Parametric CAD and Discrete Adjoint
Abstract
1. Introduction
2. Methodology
2.1. Adjoint Sensitivities
2.2. Geometric Sensitivities
| Algorithm 1 Computation of Geometric Sensitivities |
| 1: Input: Parametric FreeCAD model |
| 2: Output: Design Velocity in x, y and z directions |
| 3: tag each unique CAD model surface faces as a colour (using CAD system API) |
| 4: compute the design velocities at each surface mesh node created using the baseline CAD model |
| 5: for mesh node to N do |
| 6: store information of the face in baseline model |
| 7: compute in which face each mesh node () lies and its corresponding parametric coordinate () |
| 8: end for |
| 9: for parameters to n do do |
| 10: perturb parameter by small value () |
| 11: for mesh node to N do |
| 12: find the face with same tag (on which ith node lies in baseline model) in the perturbed model |
| 13: use the parametric coordinates () to get the location of mesh node in perturbed model |
| 14: calculate geometric sensitivities for each mesh node i |
| 15: end for |
| 16: end for |
2.3. Gradient Evaluation
3. Optimisation Framework
3.1. Flow and Adjoint Solver
3.2. Mesh Deformation
4. Test Cases and Results
4.1. Case 1: Twist Optimisation of Rectangular Wing
4.1.1. Problem Definition
- The freestream Mach number = 0.5.
- The angle of attack (AOA) .
- The objective function .
- The constraint: .
4.1.2. Geometry and Mesh Description
4.1.3. Validation of Gradients
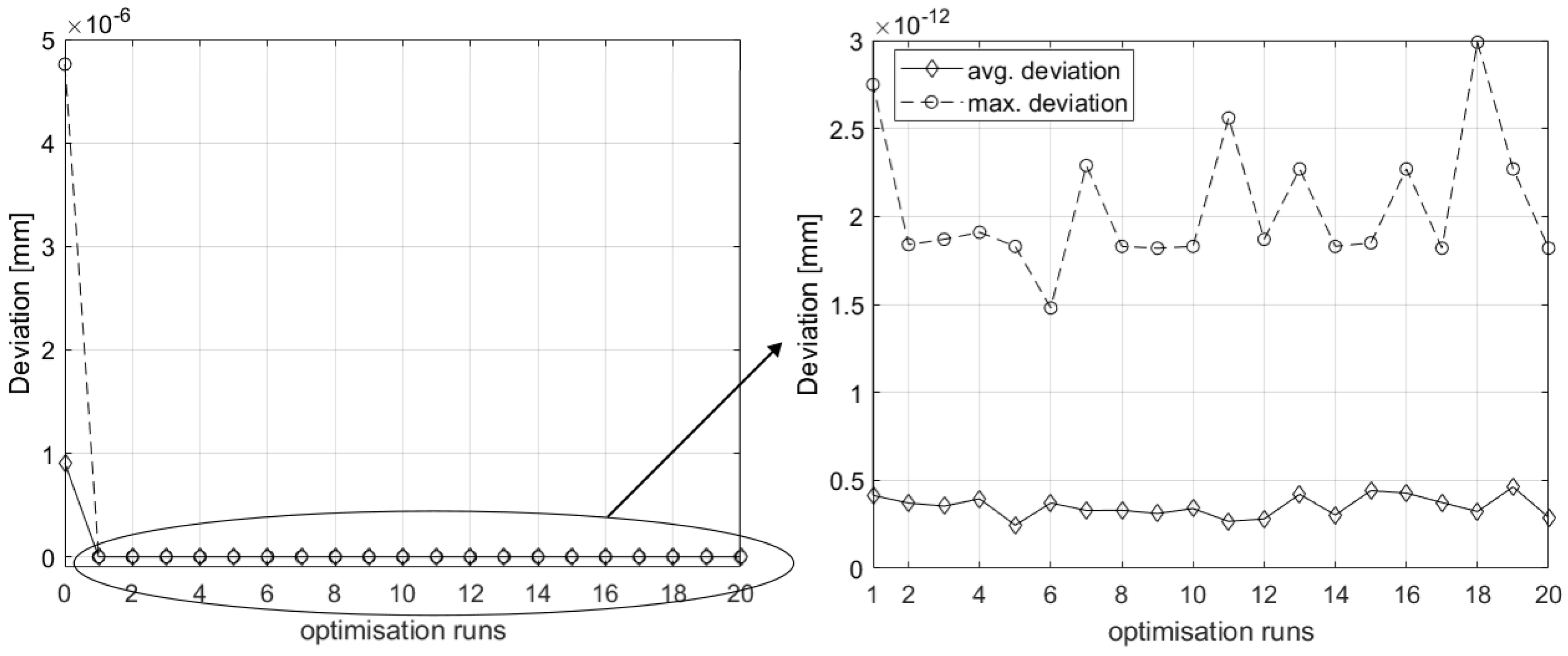
4.1.4. Optimisation Results
4.2. Case 2: Optimisation of Three-Section Aerofoil Surface
4.2.1. Problem Definition
- The freestream Mach number = 0.2.
- The angle of attack (AOA) .
- The Reynolds number .
- The objective function .
- The constraint: .
- The turbulence model: Spalart–Allmaras.
4.2.2. Mesh Description and Geometry Parameterisation
4.2.3. Optimisation Results
5. Discussion
6. Conclusions
Author Contributions
Funding
Data Availability Statement
Acknowledgments
Conflicts of Interest
References
- Giles, M.B.; Pierce, N.A. An introduction to the adjoint approach to design. Flow Turbul. Combust. 2000, 65, 393–415. [Google Scholar] [CrossRef]
- Giles, M.B.; Duta, M.C.; Muller, J.D.; Pierce, N.A. Algorithm developments for discrete adjoint methods. AIAA J. 2003, 41, 198–205. [Google Scholar] [CrossRef]
- Brezillon, J.; Gauger, N. 2D and 3D aerodynamic shape optimisation using the adjoint approach. Aerosp. Sci. Technol. 2004, 8, 715–727. [Google Scholar] [CrossRef]
- Mader, C.A.; Martins, J.R.; Alonso, J.J.; Van Der Weide, E. ADjoint: An approach for the rapid development of discrete adjoint solvers. AIAA J. 2008, 46, 863–873. [Google Scholar] [CrossRef]
- Roth, R.; Ulbrich, S. A discrete adjoint approach for the optimization of unsteady turbulent flows. Flow Turbul. Combust. 2013, 90, 763–783. [Google Scholar] [CrossRef]
- Zhou, B.Y.; Albring, T.A.; Gauger, N.R.; Economon, T.D.; Palacios, F.; Alonso, J.J. A discrete adjoint framework for unsteady aerodynamic and aeroacoustic optimization. In Proceedings of the 16th AIAA/ISSMO Multidisciplinary Analysis and Optimization Conference, Dallas, TX, USA, 22–26 June 2015; p. 3355. [Google Scholar]
- Albring, T.A.; Sagebaum, M.; Gauger, N.R. Efficient aerodynamic design using the discrete adjoint method in SU2. In Proceedings of the 17th AIAA/ISSMO Multidisciplinary Analysis and Optimization Conference, Washington, DC, USA, 13–17 June 2016; p. 3518. [Google Scholar]
- Kaya, H.; Tuncer, İ.H. Discrete Adjoint-Based Aerodynamic Shape Optimization Framework for Natural Laminar Flows. AIAA J. 2022, 60, 197–212. [Google Scholar] [CrossRef]
- Agarwal, D.; Robinson, T.T.; Armstrong, C.G.; Marques, S.; Vasilopoulos, I.; Meyer, M. Parametric design velocity computation for CAD-based design optimization using adjoint methods. Eng. Comput. 2018, 34, 225–239. [Google Scholar] [CrossRef]
- Jesudasan, R.; Zhang, X.; Mueller, J.D. Adjoint optimisation of internal turbine cooling channel using NURBS-based automatic and adaptive parametrisation method. In Proceedings of the Gas Turbine India Conference. American Society of Mechanical Engineers, Bangalore, India, 7–8 December 2017; Volume 1. V001T02A009. [Google Scholar]
- Xu, S.; Jahn, W.; Müller, J.D. CAD-based shape optimisation with CFD using a discrete adjoint. Int. J. Numer. Methods Fluids 2014, 74, 153–168. [Google Scholar] [CrossRef]
- Sanchez Torreguitart, I.; Verstraete, T.; Mueller, L. Optimization of the LS89 axial turbine profile using a cad and adjoint based approach. Int. J. Turbomach. Propuls. Power 2018, 3, 20. [Google Scholar] [CrossRef]
- Banović, M.; Mykhaskiv, O.; Auriemma, S.; Walther, A.; Legrand, H.; Müller, J.D. Algorithmic differentiation of the Open CASCADE Technology CAD kernel and its coupling with an adjoint CFD solver. Optim. Methods Softw. 2018, 33, 813–828. [Google Scholar] [CrossRef]
- Robinson, T.T.; Armstrong, C.G.; Chua, H.S.; Othmer, C.; Grahs, T. Optimizing parameterized CAD geometries using sensitivities based on adjoint functions. Comput.-Aided Des. Appl. 2012, 9, 253–268. [Google Scholar] [CrossRef]
- Agarwal, D.; Robinson, T.T.; Armstrong, C.G.; Kapellos, C. Enhancing CAD-based shape optimisation by automatically updating the CAD model’s parameterisation. Struct. Multidiscip. Optim. 2019, 59, 1639–1654. [Google Scholar] [CrossRef]
- Agarwal, D.; Kapellos, C.; Robinson, T.; Armstrong, C. Using parametric effectiveness for efficient CAD-based adjoint optimization. Comput.-Aided Des. Appl. 2019, 16, 703–719. [Google Scholar] [CrossRef]
- FreeCAD 0.19.2. Available online: https://www.freecadweb.org/ (accessed on 5 November 2021).
- Vasilopoulos, I.; Agarwal, D.; Meyer, M.; Robinson, T.T.; Armstrong, C.G. Linking parametric CAD with adjoint surface sensitivities. In Proceedings of the ECCOMAS Congress 2016—Proceedings of the 7th European Congress on Computational Methods in Applied Sciences and Engineering, Crete, Greece, 5–10 June 2016; Volume 2, pp. 3812–3827. [Google Scholar]
- Chen, S.; Torterelli, D. Three-dimensional shape optimization with variational geometry. Struct. Optim. 1997, 13, 81–94. [Google Scholar] [CrossRef]
- Truong, A.H.; Zingg, D.W.; Haimes, R. Surface mesh movement algorithm for computer-aided-design-based aerodynamic shape optimization. AIAA J. 2016, 54, 542–556. [Google Scholar] [CrossRef]
- Sun, L.; Yao, W.; Robinson, T.T.; Armstrong, C.G.; Marques, S.P. Automated mesh deformation for computer-aided design models that exhibit boundary topology changes. AIAA J. 2020, 58, 4128–4141. [Google Scholar] [CrossRef]
- Geuzaine, C.; Remacle, J.F. Gmsh: A 3-D finite element mesh generator with built-in pre-and post-processing facilities. Int. J. Numer. Methods Eng. 2009, 79, 1309–1331. [Google Scholar] [CrossRef]
- Palacios, F.; Alonso, J.; Duraisamy, K.; Colonno, M.; Hicken, J.; Aranake, A.; Campos, A.; Copeland, S.; Economon, T.; Lonkar, A.; et al. Stanford University Unstructured (SU 2): An open-source integrated computational environment for multi-physics simulation and design. In Proceedings of the 51st AIAA Aerospace Sciences Meeting Including the New Horizons Forum and Aerospace Exposition, Grapevine, TX, USA, 7–10 January 2013; p. 287. [Google Scholar]
- Turbulence Modelling Resource, NASA. Available online: https://turbmodels.larc.nasa.gov/multielementverif_grids.htmll (accessed on 12 October 2021).
- GMGW AIAA. Available online: http://www.gmgworkshop.com/gmgw25.shtml (accessed on 6 November 2021).
















| Mesh Level | Elements | ||
|---|---|---|---|
| verycoarse | 29,369 | 0.028987 | 0.35504 |
| coarse | 124,526 | 0.011381 | 0.373843 |
| medium | 526,747 | 0.008691 | 0.382739 |
| fine | 1,297,134 | 0.008500 | 0.383678 |
| veryfine | 7,212,505 | 0.008354 | 0.38500 |
| Station | Adjoint + CAD (A) | Finite Difference (B) | A-B (%) | |||
|---|---|---|---|---|---|---|
| S0 | 0.000282243 | 0.00771650 | 0.00028398 | 0.00770876 | 0.62 | 0.10 |
| S1 | 0.000975287 | 0.02596906 | 0.00098722 | 0.02597942 | 1.22 | 0.04 |
| S2 | 0.000709438 | 0.01744390 | 0.00071825 | 0.01746158 | 1.24 | 0.10 |
| S3 | 0.000726939 | 0.01817444 | 0.00073523 | 0.01818534 | 1.14 | 0.06 |
| S4 | 0.000879464 | 0.01750809 | 0.00088931 | 0.01753582 | 1.12 | 0.16 |
| S5 | 0.000227776 | 0.00391706 | 0.0002303 | 0.00394805 | 1.11 | 0.79 |
| [deg] | |||
|---|---|---|---|
| slat | −0.00743c | 0.00366c | 5 |
| flap | 0.01144c | 0.00705c | −4.011 |
Publisher’s Note: MDPI stays neutral with regard to jurisdictional claims in published maps and institutional affiliations. |
© 2022 by the authors. Licensee MDPI, Basel, Switzerland. This article is an open access article distributed under the terms and conditions of the Creative Commons Attribution (CC BY) license (https://creativecommons.org/licenses/by/4.0/).
Share and Cite
Agarwal, D.; Marques, S.; Robinson, T.T. Aerodynamic Shape Optimisation Using Parametric CAD and Discrete Adjoint. Aerospace 2022, 9, 743. https://doi.org/10.3390/aerospace9120743
Agarwal D, Marques S, Robinson TT. Aerodynamic Shape Optimisation Using Parametric CAD and Discrete Adjoint. Aerospace. 2022; 9(12):743. https://doi.org/10.3390/aerospace9120743
Chicago/Turabian StyleAgarwal, Dheeraj, Simão Marques, and Trevor T. Robinson. 2022. "Aerodynamic Shape Optimisation Using Parametric CAD and Discrete Adjoint" Aerospace 9, no. 12: 743. https://doi.org/10.3390/aerospace9120743
APA StyleAgarwal, D., Marques, S., & Robinson, T. T. (2022). Aerodynamic Shape Optimisation Using Parametric CAD and Discrete Adjoint. Aerospace, 9(12), 743. https://doi.org/10.3390/aerospace9120743

