Novel Predefined-Time Sliding Mode Fault-Tolerant Control for Hypersonic Vehicle Attitude Tracking
Abstract
1. Introduction
- Based on the proposed condition, a predefined-time sliding mode control method is developed for the attitude tracking of hypersonic vehicles subject to actuator faults and disturbances. The controller ensures that the tracking error converges to a compact set near the origin during both the reaching and sliding phases. In comparison with the method presented in [20], the proposed strategy provides greater flexibility in adjusting the control performance, and demonstrates improvements in convergence speed, tracking accuracy, and robustness.
2. Preliminaries and Problem Formulation
2.1. Predefined-Time Stability
2.2. Mathematical Model of Hypersonic Vehicle
- No failure: ,
- Loss of effectiveness: ,
- Actuator bias: ,
- 1.
- External disturbance bound:
- 2.
- Actuator fault bounds: ,
- 3.
- Saturation-induced error bound:
3. New Predefined-Time Sliding Mode Control Method
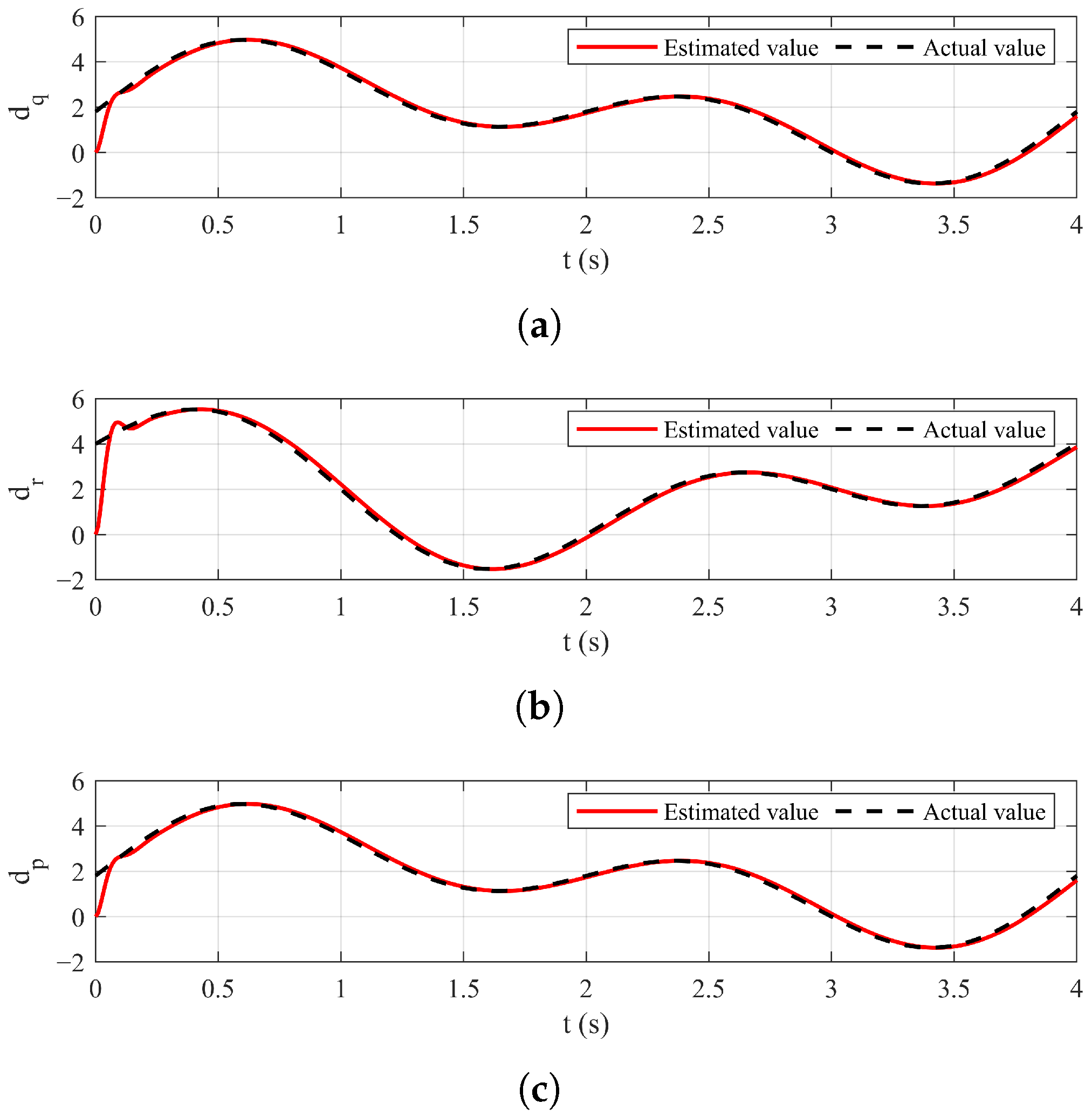
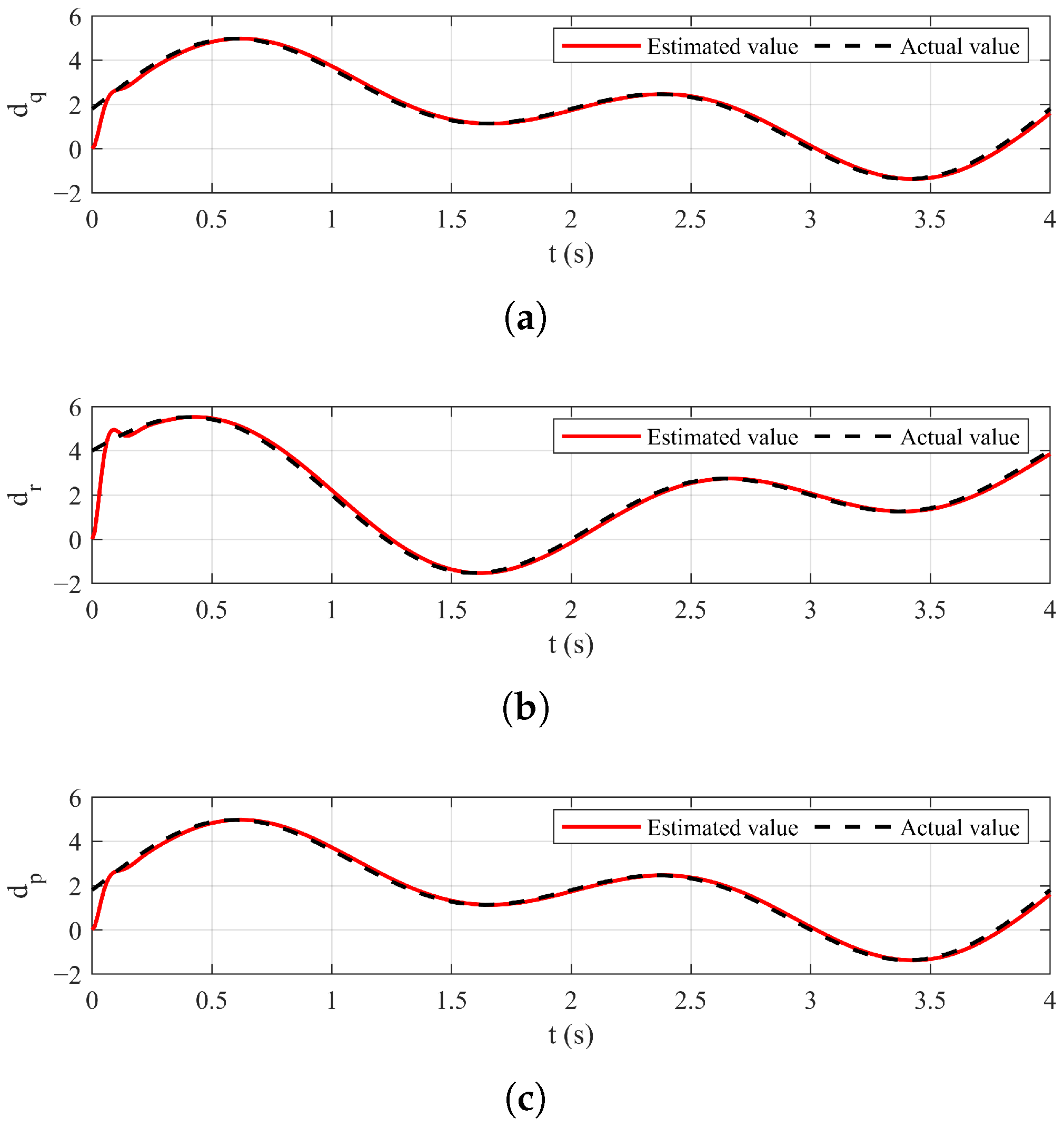
3.1. Extended State Observer Design
- Exponential convergence: There exists a constant independent of such that
- Convergence time: For any , the estimation error satisfies for all , where
- Error bound: As , the disturbance estimation error is uniformly bounded by
3.2. Predefined-Time Sliding Mode Controller Design
4. Simulation Results and Discussion
- Integral of absolute error (IAE):where is the stop time of the simulation.
- Integral of time-weighted absolute error (ITAE):
- Settling time (): The time required for the tracking error to enter and remain within the band .
- Peak control surface deflection (): The maximum absolute value among all control surface deflections over the entire simulation horizon, i.e.,where denotes the i-th control surface deflection.
- Control energy integral ():
- Average steady-state total variation per second ():where is the maximum settling time among all three attitude channels. This index quantifies the overall chattering of the control surface deflections during the steady-state phase.
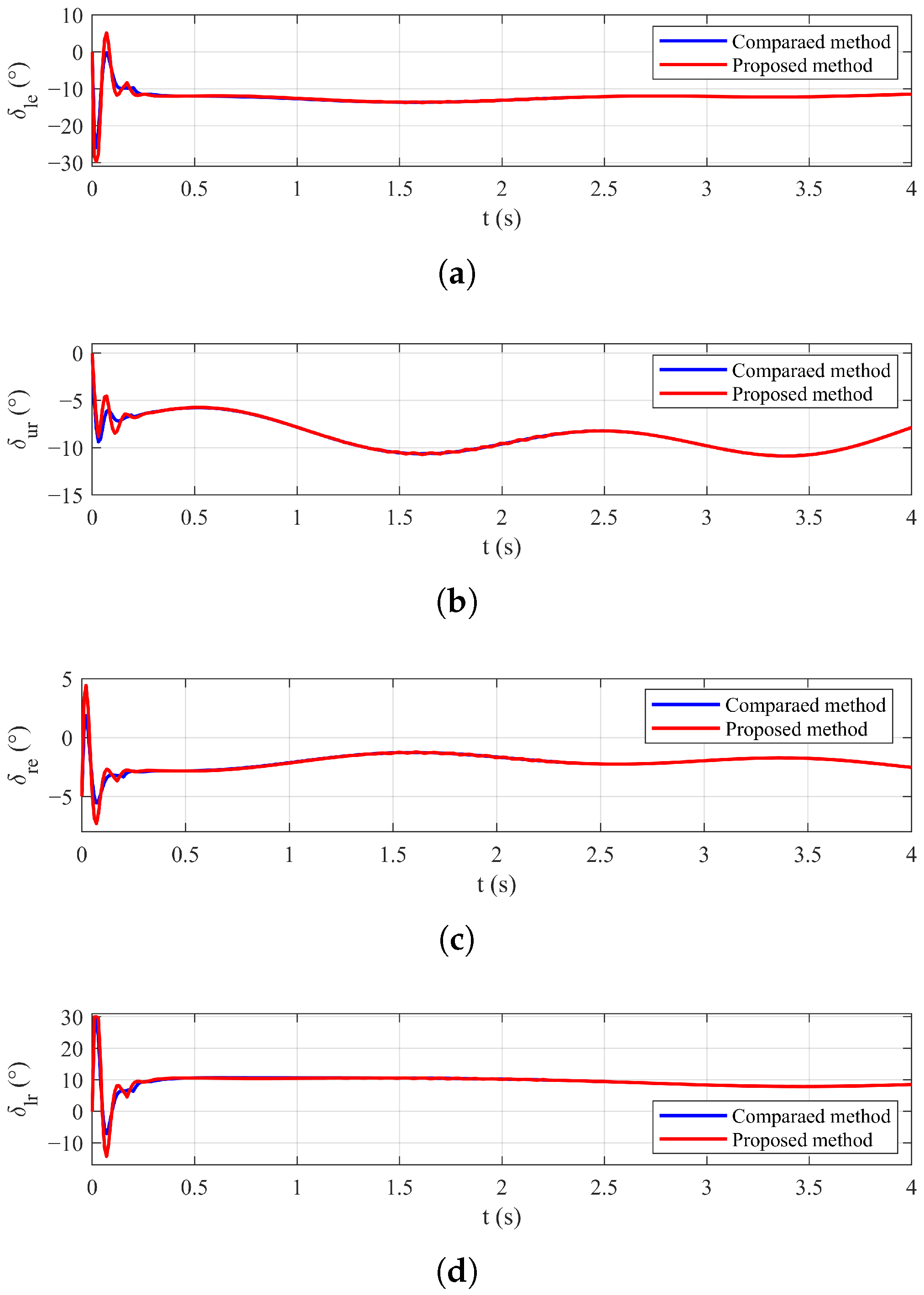
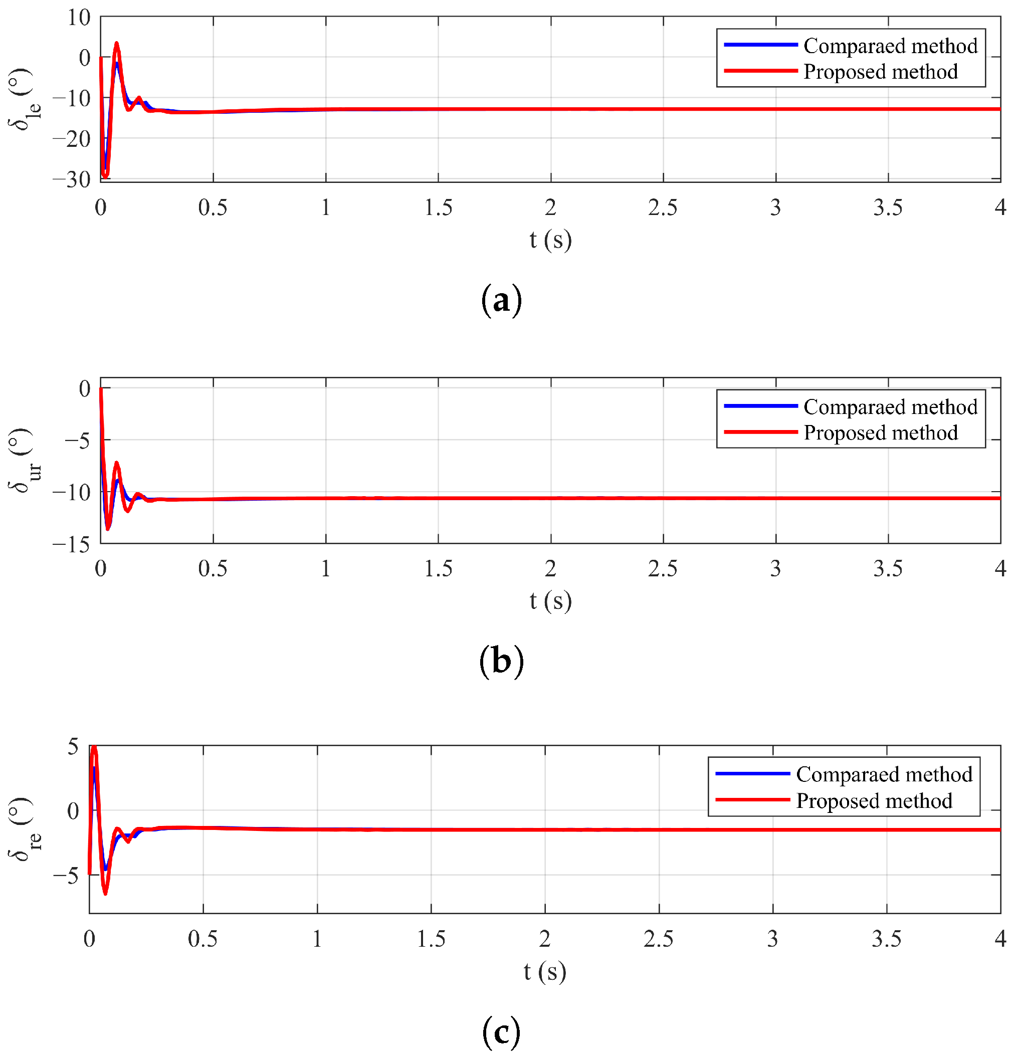
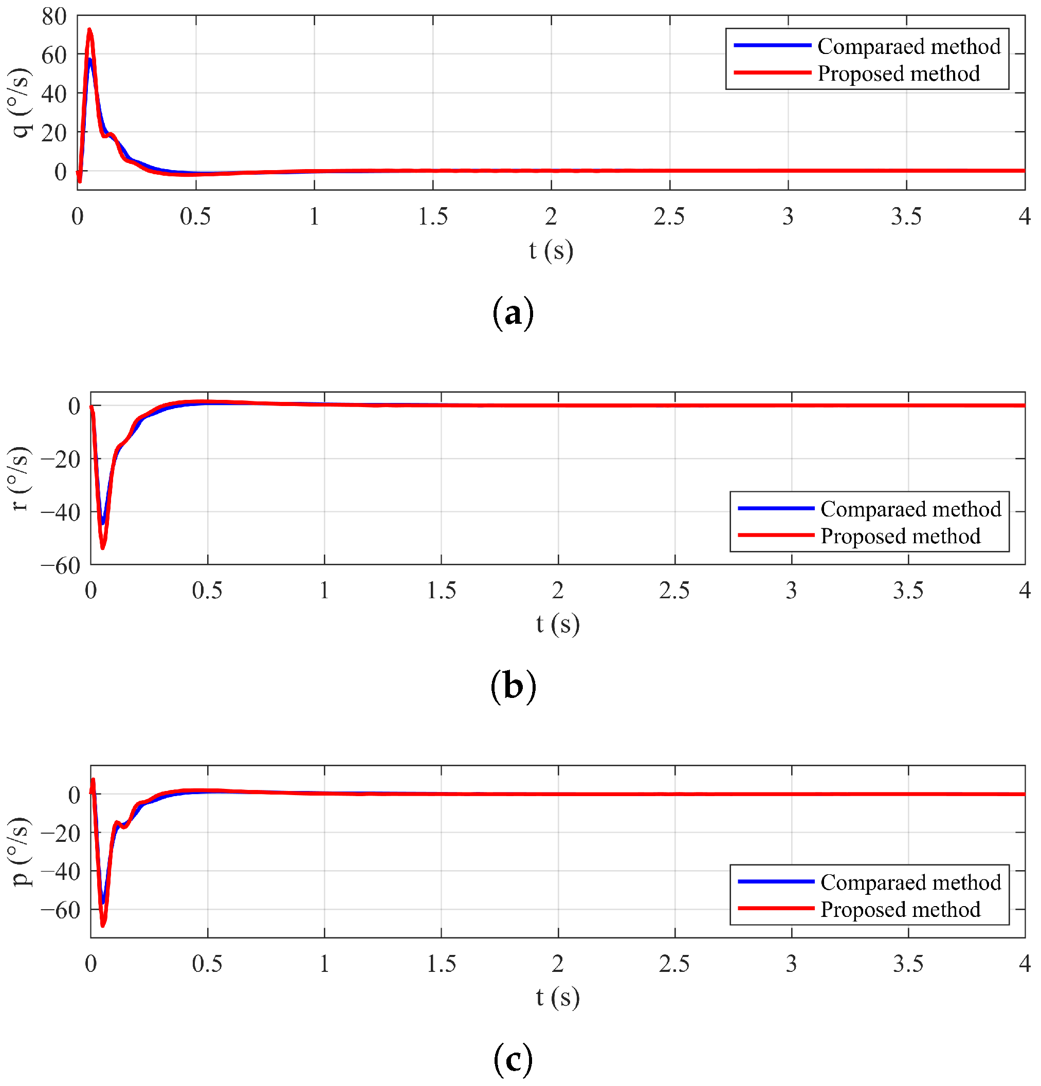
4.1. Comparative Simulations
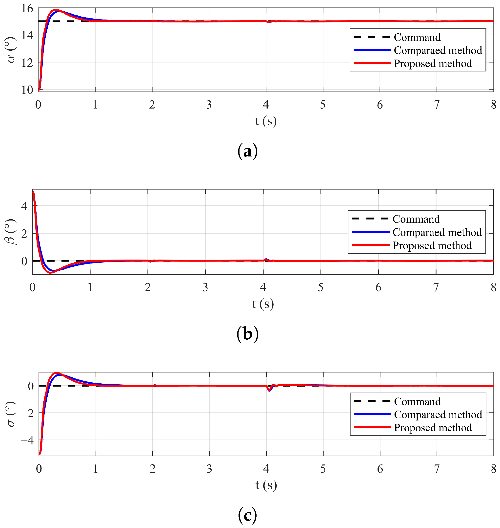
4.1.1. Verification Under Nominal Condition
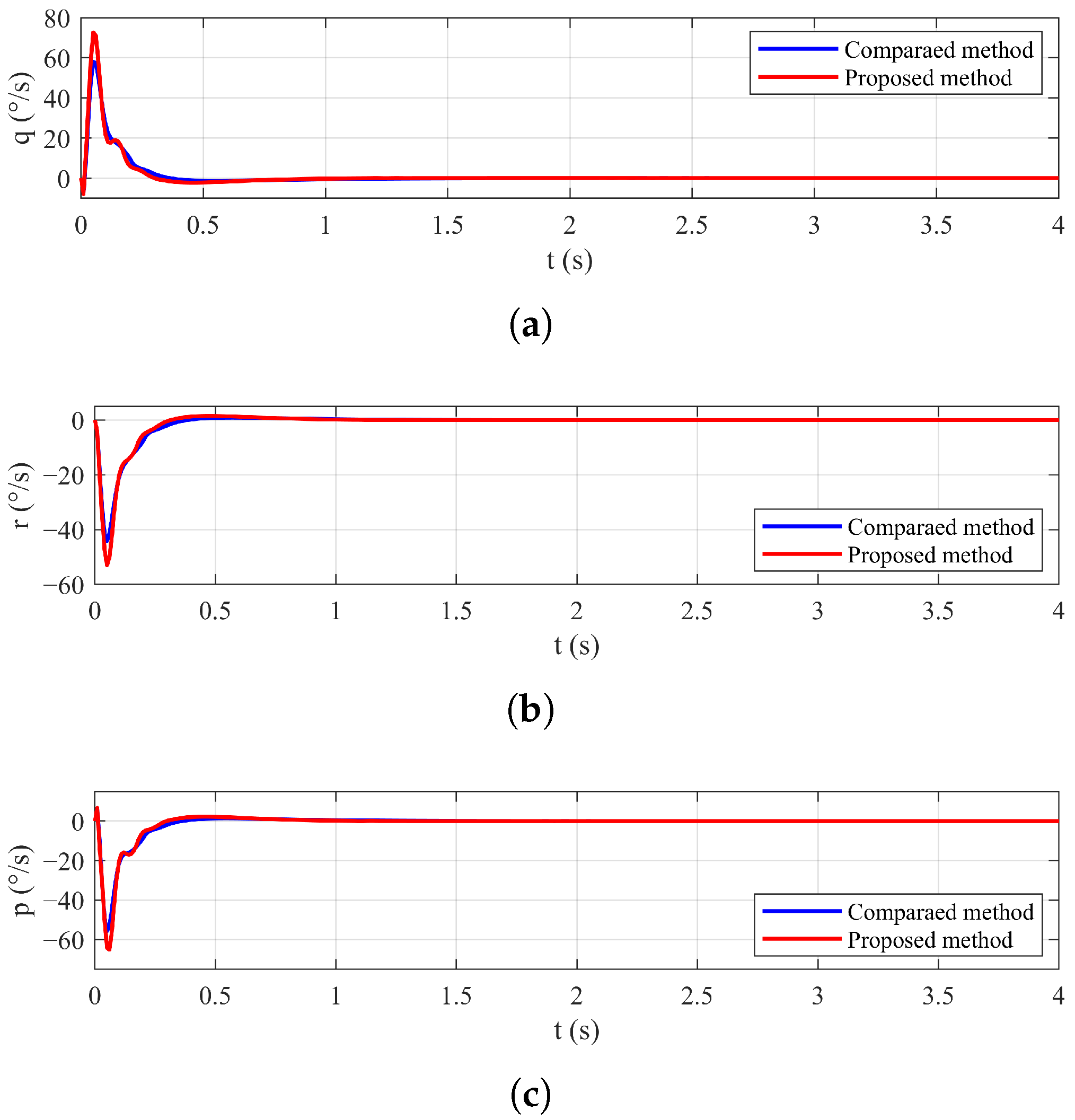
4.1.2. Verification Under Disturbance
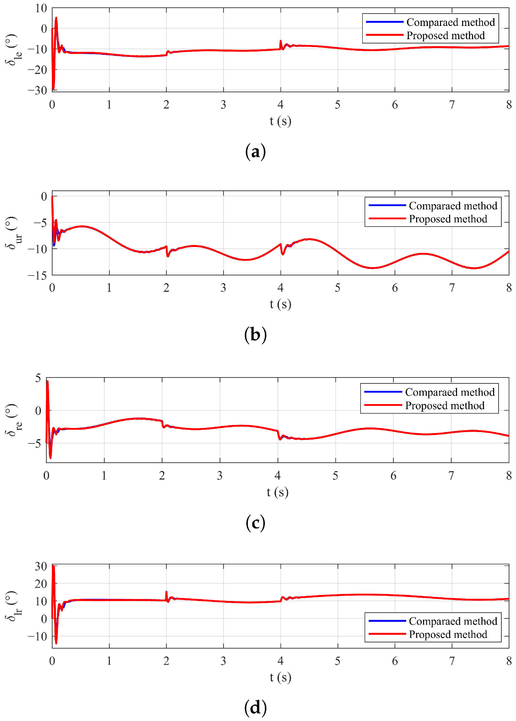
4.1.3. Verification Under Disturbance and Actuator Faults
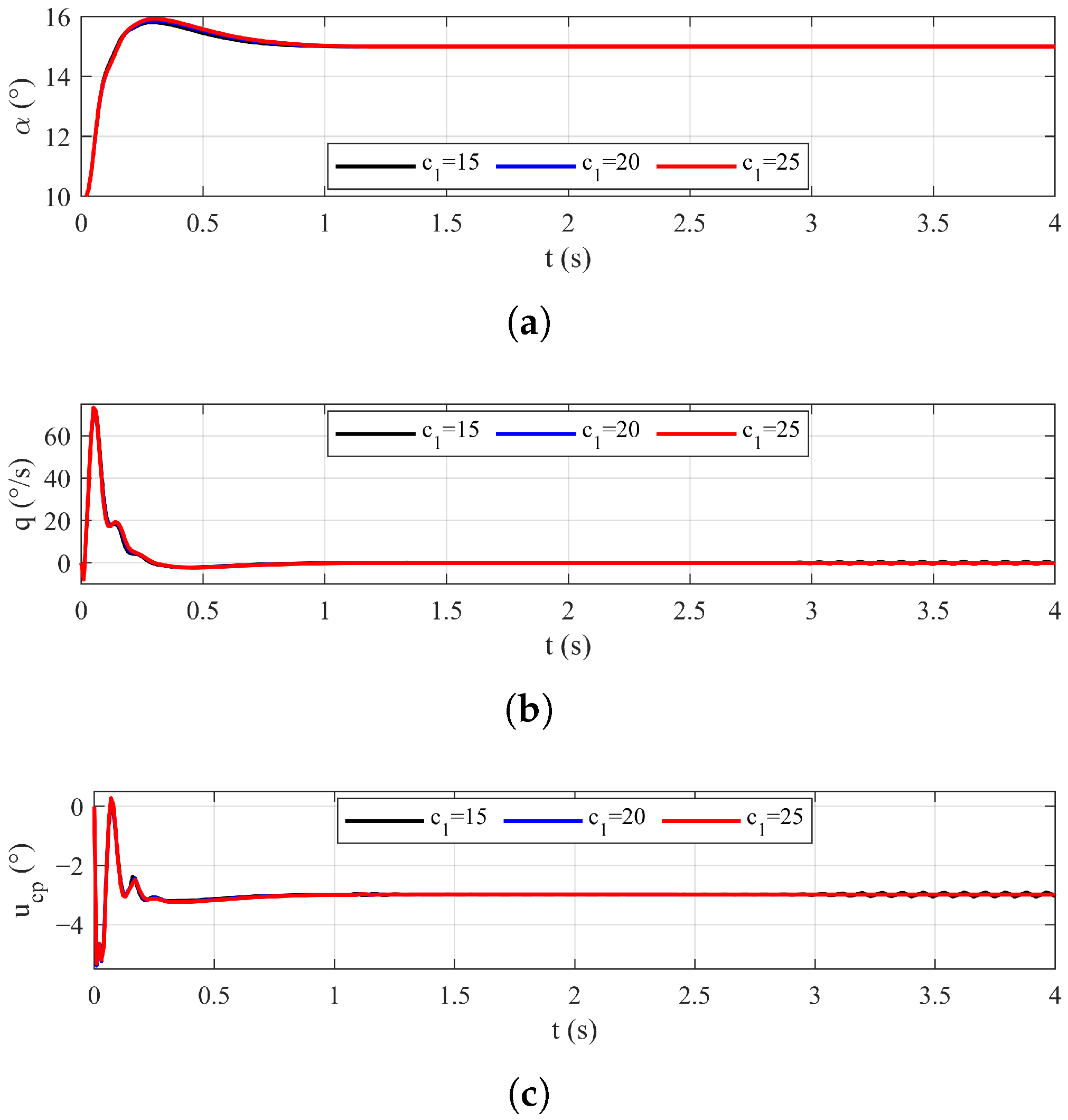
4.2. Influence of Parameters
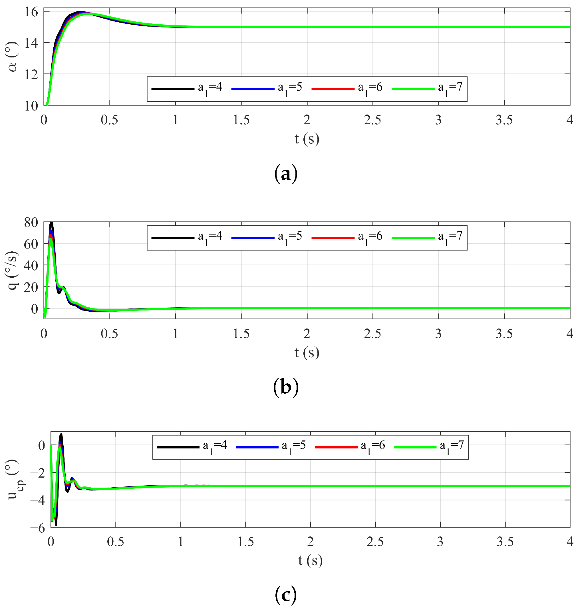
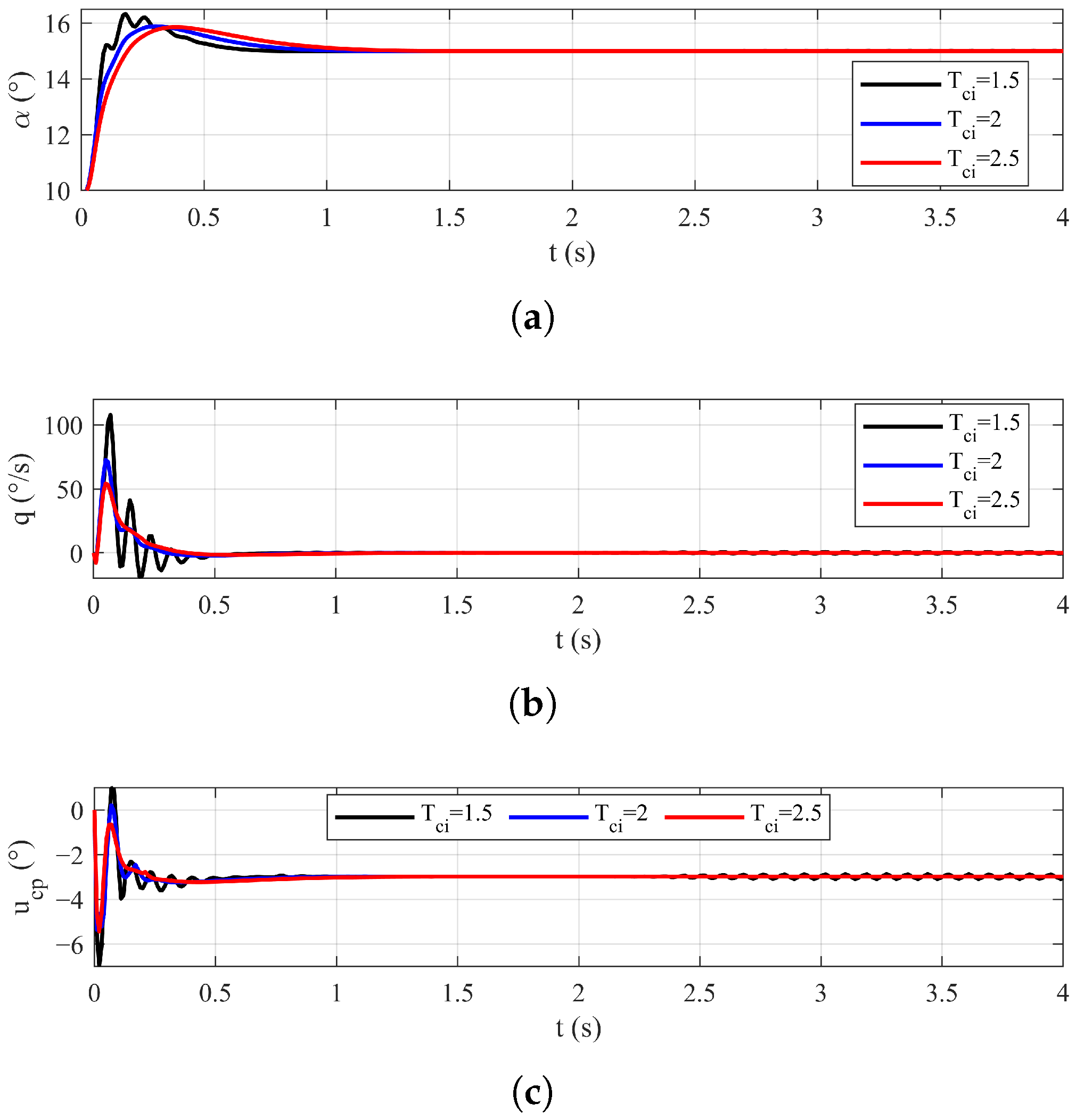
4.2.1. The Effect of Different
4.2.2. The Effect of Different a
4.2.3. The Effect of Different b
4.2.4. The Effect of Different c
5. Conclusions and Future Work
Author Contributions
Funding
Data Availability Statement
Conflicts of Interest
References
- Chen, F.; Hu, Q.; Han, T. Predefined-Time Fault Tolerant Control for Hypersonic Vehicles Under Actuator Faults. In Advances in Guidance, Navigation and Control: Lecture Notes in Electrical Engineering; Yan, L., Duan, H., Deng, Y., Eds.; Springer Nature: Singapore, 2025; pp. 77–85. [Google Scholar]
- Jiang, R.; Zhou, J.; Guo, J. Stochastic precision analysis of hypersonic flight vehicle attitude control system in the presence of uncertainties. Syst. Sci. Control Eng. 2020, 8, 277–287. [Google Scholar] [CrossRef]
- Xu, S.; Wei, C.; Zhang, L.; Mu, R. Neural network based adaptive nonsingular practical predefined-time fault-tolerant control for hypersonic morphing aircraft. Chin. J. Aeronaut. 2024, 37, 421–435. [Google Scholar] [CrossRef]
- Li, A.; Hu, X.; Dong, K.; Xiao, B. Reconfigurable fault-tolerant attitude control for over-actuated hypersonic flight vehicle with actuator failures. Alex. Eng. J. 2025, 114, 463–475. [Google Scholar] [CrossRef]
- Hu, C.; Tang, Y.; Mi, H.; Yang, X.; Hu, Y. Tube-Based Composite Fault-Tolerant Control Method for Flexible Hypersonic Vehicle. Int. J. Aeronaut. Space Sci. 2025, 26, 196–219. [Google Scholar] [CrossRef]
- Gou, X.; Liu, J.; Zhang, Q. Adaptive backstepping fault-tolerant control for hypersonic aircraft with unknown control direction under actuator and sensor faults. Aeronaut. J. 2023, 128, 1183–1203. [Google Scholar] [CrossRef]
- Luo, R.; He, J.; Li, Y.; Bu, X.; Li, Q. Appointed-Time Fuzzy Fault-Tolerant Control of Hypersonic Flight Vehicles with Flexible Predefined Behaviors. IEEE Trans. Autom. Sci. Eng. 2025, 22, 13995–14007. [Google Scholar] [CrossRef]
- Zhang, Y.; Han, W.; Fan, Q. Finite-time fault-tolerant attitude control for hypersonic reentry vehicle based composite learning observer. IEEE Asian J. Control 2025. online version of record. [Google Scholar] [CrossRef]
- Huang, T.; Li, T.; Chen, C.L.P. Adaptive Tracking Control for a Quadrotor System Subject to Internal and External Uncertainties. IEEE Trans. Circuits Syst. II Express Briefs 2023, 70, 1099–1103. [Google Scholar] [CrossRef]
- Van, M. Higher-order terminal sliding mode controller for fault accommodation of Lipschitz second-order nonlinear systems using fuzzy neural network. Appl. Soft Comput. 2021, 104, 107186. [Google Scholar] [CrossRef]
- Haimo, V.T. Finite Time Controllers. SIAM J. Control Optim. 1986, 24, 760–770. [Google Scholar] [CrossRef]
- Chen, W.; Fan, Z. Strict finite-time sliding mode control for a tethered space net robot. Chin. J. Aeronaut. 2023, 36, 325–335. [Google Scholar] [CrossRef]
- Polyakov, A. Nonlinear feedback design for fixed-time stabilization of linear control systems. IEEE Trans. Autom. Control 2012, 57, 2106–2110. [Google Scholar] [CrossRef]
- Han, Z. Adaptive Fixed-Time Nonsingular Terminal Sliding Mode Attitude Tracking Control for Spacecraft with Actuator Saturations and Faults. Int. J. Aerosp. Eng. 2021, 2021, 8838784. [Google Scholar] [CrossRef]
- Zhang, H.; Wang, P.; Tang, G.; Bao, W. Disturbance observer-based fixed-time control for hypersonic morphing vehicles with uncertainties. Aeronaut. J. 2024, 128, 1844–1874. [Google Scholar] [CrossRef]
- Wang, Q.; Cao, J.; Liu, H. Adaptive Fuzzy Control of Nonlinear Systems with predefined-time and Accuracy. IEEE Trans. Fuzzy Syst. 2022, 30, 5152–5165. [Google Scholar] [CrossRef]
- Sánchez-Torres, D.J.; Gómez-Gutiérrez, D.; López, E.; Loukianov, A.G. A class of predefined-time stable dynamical systems. IMA J. Math. Control Inf. 2018, 35, i1–i29. [Google Scholar] [CrossRef]
- Li, Q.; Yue, C. Predefined-Time Polynomial-Function-Based Synchronization of Chaotic Systems via a Novel Sliding Mode Control. IEEE Access 2020, 8, 162149–162162. [Google Scholar] [CrossRef]
- Xue, H.; Liu, X. A novel fast terminal sliding mode with predefined-time synchronization. Chaos Solitons Fractals 2023, 175, 114049. [Google Scholar] [CrossRef]
- Liu, J.; Li, R. Novel predefined-time stability theory and its application in sliding mode control of synchronizing chaotic systems. Rev. Sci. Instrum. 2024, 95, 124702. [Google Scholar] [CrossRef]
- Jin, L.; Su, L.; Fei, X.; Wang, K.; Shen, H. Adaptive neural inverse optimal control for uncertain switched nonlinear systems: An improved predefined-time method. J. Control Decis. 2024, 1–15. [Google Scholar] [CrossRef]
- Song, J.; Ren, X.; Na, J.; Gong, J.; Zheng, D. Enhanced Predefined-Time Tracking and Synchronization Control for Multimotor Servo Systems. IEEE Trans. Ind. Electron. 2025, 72, 7094–7105. [Google Scholar] [CrossRef]
- Xie, S.; Chen, Q. Adaptive Nonsingular Predefined-Time Control for Attitude Stabilization of Rigid Spacecrafts. IEEE Trans. Circuits Syst. II Express Briefs 2022, 69, 189–193. [Google Scholar] [CrossRef]
- Kong, X.; Sun, Y.; Guo, Y.; Ma, G.; Gong, Y. Predefined-Time Control of a Spacecraft Attitude with Thrust Booms. Aerospace 2023, 10, 94. [Google Scholar] [CrossRef]
- Sui, S.; Chen, C.L.P.; Tong, S. Command Filter-Based Predefined-Time Adaptive Control for Nonlinear Systems. IEEE Trans. Autom. Control 2024, 69, 7863–7870. [Google Scholar] [CrossRef]
- Wang, J.; Liu, L.; Zhao, T.; Tang, G. Integrated guidance and control for hypersonic vehicles in dive phase with multiple constraints. Aerosp. Sci. Technol. 2016, 53, 103–115. [Google Scholar] [CrossRef]
- Chen, H.; Song, S.; Zhu, Z. Robust finite-time attitude tracking control of rigid spacecraft under actuator saturation. Int. J. Control Autom. Syst. 2018, 16, 1–5. [Google Scholar] [CrossRef]
- Yu, X.; Li, P.; Zhang, Y. Fixed-Time Actuator Fault Accommodation Applied to Hypersonic Gliding Vehicles. IEEE Trans. Autom. Sci. Eng. 2021, 18, 1429–1440. [Google Scholar] [CrossRef]
- Chen, P.; Cheng, Y.; Yuan, Y.; Hua, L. Sliding Mode Tension Control for the Yarn Winding Process with Extended State Observer. Trans. Inst. Meas. Control 2025, 47, 291–303. [Google Scholar] [CrossRef]
- Tang, J.; Dang, Z.; Deng, Z.; Li, C. Adaptive fuzzy nonlinear integral sliding mode control for unmanned underwater vehicles based on ESO. Ocean. Eng. 2022, 266, 113154. [Google Scholar] [CrossRef]
- Guo, B.; Zhao, Z. On Convergence of the Nonlinear Active Disturbance Rejection Control for MIMO Systems. SIAM J. Control Optim. 2013, 51, 1727–1757. [Google Scholar] [CrossRef]
- Jia, C.; Liu, X.; Xu, J. Predefined-Time Nonsingular Sliding Mode Control and Its Application to Nonlinear Systems. IEEE Trans. Ind. Inform. 2024, 20, 5829–5837. [Google Scholar] [CrossRef]




















| States | Value |
|---|---|
| Height | 30,000 m |
| Speed | 2300 m/s |
| Flight path angle | |
| Angle of attack | |
| Sideslip angle | |
| Bank angle | |
| Pitch rate | /s |
| Yaw rate | /s |
| Roll rate | /s |
| Method | Parameter |
|---|---|
| Predefined-time controller in [20] | , , , , , , , , , , , , |
| Predefined-time controller in this paper | , , , , , , , , , , , , |
| Method | Global | |||||||||||
|---|---|---|---|---|---|---|---|---|---|---|---|---|
| IAE | ITAE | IAE | ITAE | IAE | ITAE | |||||||
| Compared method | 0.014 | 0.0043 | 1.57 | 0.014 | 0.0042 | 1.56 | 0.014 | 0.0043 | 1.48 | 29.2 | 29.4 | 0.114 |
| Proposed method | 0.012 | 0.0028 | 1.09 | 0.011 | 0.0028 | 1.11 | 0.012 | 0.0029 | 1.06 | 29.9 | 29.8 | 0.074 |
| Method | Global | |||||||||||
|---|---|---|---|---|---|---|---|---|---|---|---|---|
| IAE | ITAE | IAE | ITAE | IAE | ITAE | |||||||
| Compared method | 0.014 | 0.014 | 1.93 | 0.015 | 0.0050 | 3.93 | 0.0052 | 0.0053 | 3.93 | 29.0 | 25.5 | 3.37 |
| Proposed method | 0.011 | 0.011 | 1.08 | 0.012 | 0.0033 | 1.14 | 0.0037 | 0.0038 | 1.85 | 29.9 | 25.8 | 3.19 |
| Method | Global | |||||||
|---|---|---|---|---|---|---|---|---|
| IAE | ITAE | IAE | ITAE | IAE | ITAE | |||
| Compared method | 0.015 | 0.076 | 0.15 | 0.073 | 0.016 | 0.0098 | 29.0 | 52.7 |
| Proposed method | 0.013 | 0.058 | 0.13 | 0.058 | 0.014 | 0.0077 | 29.9 | 53.0 |
| Parameter | Settling Time |
|---|---|
| N/A | |
| 0.99 s | |
| 1.28 s |
| Parameter | Settling Time |
|---|---|
| 1.52 s | |
| 1 s | |
| 1.04 s | |
| 1.07 s |
| Parameter | Settling Time |
|---|---|
| 1.07 s | |
| 0.99 s | |
| 0.92 s | |
| 0.86 s |
| Parameter | Settling Time |
|---|---|
| 0.94 s | |
| 0.98 s | |
| 1 s |
Disclaimer/Publisher’s Note: The statements, opinions and data contained in all publications are solely those of the individual author(s) and contributor(s) and not of MDPI and/or the editor(s). MDPI and/or the editor(s) disclaim responsibility for any injury to people or property resulting from any ideas, methods, instructions or products referred to in the content. |
© 2026 by the authors. Licensee MDPI, Basel, Switzerland. This article is an open access article distributed under the terms and conditions of the Creative Commons Attribution (CC BY) license.
Share and Cite
Zhang, Y.; Li, T.; Chen, W.; Yang, H. Novel Predefined-Time Sliding Mode Fault-Tolerant Control for Hypersonic Vehicle Attitude Tracking. Aerospace 2026, 13, 199. https://doi.org/10.3390/aerospace13020199
Zhang Y, Li T, Chen W, Yang H. Novel Predefined-Time Sliding Mode Fault-Tolerant Control for Hypersonic Vehicle Attitude Tracking. Aerospace. 2026; 13(2):199. https://doi.org/10.3390/aerospace13020199
Chicago/Turabian StyleZhang, Yufei, Tao Li, Weifang Chen, and Hua Yang. 2026. "Novel Predefined-Time Sliding Mode Fault-Tolerant Control for Hypersonic Vehicle Attitude Tracking" Aerospace 13, no. 2: 199. https://doi.org/10.3390/aerospace13020199
APA StyleZhang, Y., Li, T., Chen, W., & Yang, H. (2026). Novel Predefined-Time Sliding Mode Fault-Tolerant Control for Hypersonic Vehicle Attitude Tracking. Aerospace, 13(2), 199. https://doi.org/10.3390/aerospace13020199

