Abstract
The present studies focus on the analysis of the inherent differences between temperature- and pyrolysis-based models and foster a rational and comprehensive understanding of numerical models for lightning strike damage in laminated composites. A systematic methodology combining numerical simulation and pyrolysis kinetics analysis has been developed to examine the inherent differences in damage area and depth, damage threshold, electrical conductivity characteristics, and Joule energy between temperature- and pyrolysis-based models. The results indicate that the pyrolysis-based model demonstrates closer agreement with experimental data in terms of both damage area and damage depth predictions compared to the temperature-based model. The two damage thresholds (500 °C and pyrolysis degree of 0.1) yield equivalent predictions of overall damage, but the temperature-based criterion neglects localized heating rate effects. The pyrolysis-based model exhibits significantly delayed through-thickness conductivity development during initial current conduction compared to the temperature-based model due to the influence of heating rate. This lag results in the pyrolysis-based model predicting larger damage areas and shallower penetration depths. Joule heating analysis further confirms that the pyrolysis-based model exhibits higher overall electrical resistance than the temperature-based model. Through a systematic comparison of temperature- and pyrolysis-based models, this research holds the significance of enhancing the understanding of lightning strike damage mechanisms and advancing the development of high-fidelity numerical models for predicting lightning strike damage in laminated composite.
1. Introduction
Over the past decades, epoxy-based composite materials have been extensively utilized in the aerospace engineering owing to their exceptional mechanical properties. However, epoxy-based composite materials exhibit poor electrical conductivity, rendering them susceptible to serious structural damage from lightning strikes, thereby posing a threat to aircraft safety. Therefore, composite transport aircraft, especially existing wide-body aircraft or future blended wing-body aircraft, require extra lightning strike protection. The lightning strike damage mechanism of composite materials directly influences the design of lightning strike protection for composite structures. In recent years, scholars have conducted extensive studies on the lightning strike damage characteristics of unprotected composite materials. Many researchers have used lightning current components A or D to study lightning strike damage on unprotected flat composite specimens [1,2,3,4,5,6,7]. To analyze the influence of fasteners on lightning damage, researchers have prepared laminates with fasteners for direct lightning strike tests [8,9,10]. Studies have found that a single fastener can cause through-thickness damage around the hole [8], gaps between the fastener and the laminate may lead to arc ablation [9], and in multi-fastener configurations, the spacing between fasteners significantly affects the extent of lightning damage [10]. The above research has primarily focused on the injection of a single current component. Researchers have also conducted sequential injection tests with different current components to analyze the effects [11,12,13]. The damage process of composite materials subjected to lightning strikes involves complex interactions among multi-physical fields, including electricity, heat, chemistry, and mechanical force. Following a lightning strike, composite materials undergo a series of processes, including rapid heating, resin degradation, and fiber ablation [2]. Additionally, thermal expansion due to high temperature [6], constrained expansion of pyrolysis gases within the composites [2], and the impact of sound pressure resulting from plasma channel expansion [14] can also cause mechanical damage to composite materials.
Simulation research serves as a popular method for analyzing lightning strike damage in composite materials, complementing experimental research. Lightning strike simulation models have been developed based on sample loading conditions with corresponding assumptions [15]. Ogasawara et al. [16] introduced a virtual correlation between the electrical conductivity in the thickness direction of composite materials and temperature. This model was typically regarded as a temperature-based model. Taking into account the pyrolysis process of materials at high temperatures, Dong et al. [17] proposed a virtual relationship between electrical conductivity perpendicular to the fiber direction and pyrolysis degree. This model was typically regarded as a pyrolysis-based model. Following these studies, researchers conducted a series of lightning strike damage studies on carbon fiber composite materials based on thermal-electric coupling [18,19,20,21,22,23,24,25,26,27,28,29,30]. In recent years, there has been growing interest in incorporating the effects of mechanical loads on lightning strike damage, building upon the foundation of thermal-electric coupling analysis [10,31,32,33]. However, research has shown that considering mechanical loads alone is insufficient to cause significant damage to the laminate compared to electrical loads [34,35]. Therefore, the ablation damage predicted by thermal-electric coupling is crucial for accurate lightning damage prediction. Nevertheless, current research still lacks a comprehensive understanding of the damage mechanisms involved in thermal-electric coupling. Although both temperature-based and pyrolysis-based models have been developed for predicting lightning strike damage, the underlying mechanisms responsible for their performance differences remain unclear, which has hindered targeted model improvement and reliable application. Guo et al. [36] assessed the temperature- and pyrolysis-based model on damage area and depth, though these represent only external indicators of the damage. Both the temperature and pyrolysis degree thresholds were utilized to assess damage from the perspective of material degradation at elevated temperatures, yet no research has explored the essential disparities between these two parameters effectively. Sun et al. [6] compared the differences in temperature and pyrolysis threshold in terms of damage area and depth, and the inherent distinctions between these two parameters require further discussion. In addition, there are a few research reports on the changes in conductivity characteristics during the simulation process [28], as well as total energy generated by the lightning current in both the experiment [9] and simulation. Clarifying the variations in material electrical property perpendicular to the fiber direction during coupled thermal-electrical analysis is crucial for comprehending the inherent disparities between temperature- and pyrolysis-based models. Therefore, the underlying reasons for the variations in damage for these two models remain unclear and require further investigation.
This study introduces a novel diagnostic framework integrating numerical simulation with pyrolysis kinetics to elucidate the intrinsic differences between these two mainstream models. This study combines numerical simulation and pyrolysis kinetics analysis to investigate the intrinsic mechanisms affecting the modeling outputs (e.g., predicted damage morphology) of temperature- and pyrolysis-based models. Specifically, the lightning strike damage prediction capabilities of temperature- and pyrolysis-based models were initially compared in terms of both damage area and depth. Subsequently, by considering the actual heating rate in the simulation, the difference in damage thresholds between temperature- and pyrolysis-based models was examined from the standpoint of pyrolysis kinetics. Finally, the disparities in electrical conductivity and Joule heat predicted by these two types of numerical models during lightning strike simulations were investigated. It is important to note that this study did not directly compare the advantages and disadvantages of temperature- and pyrolysis-based models. Instead, it aimed to promote a more nuanced understanding of these two numerical approaches. By providing further insights into these two types of lightning strike damage prediction models, this work is expected to contribute to the advancement of high-fidelity computational modeling for predicting lightning strike damage in laminated composite panels.
2. Brief Overview of Temperature- and Pyrolysis-Based Models
2.1. Definition of Temperature-Based Model
The temperature field in the lightning strike was simulated through a coupled thermal-electrical analysis. The flow of current within the material generates Joule heat, resulting in elevated material temperature and alterations in material properties. The temperature-based model, originally proposed, assumes that the electrical conductivity varies with temperature, achieving full coupling of electric and temperature fields [16]. During analysis, temperature thresholds were employed in the temperature-based model to characterize the lightning strike damage of composite materials.
2.2. Definition of Pyrolysis-Based Model
The thermal degradation of materials in high-temperature environments can be characterized by the degree of pyrolysis, which is a function of temperature, time, and heating rate. The pyrolysis-based model relies on a coupled thermal-electrical analysis, correlating the electrical properties of materials with their pyrolysis field [17], and utilizes pyrolysis degree thresholds to characterize the lightning strike damage in composite materials.
The degree of pyrolysis is often expressed as a fraction of the total mass loss in the process, as follows:
where W is the sample weight and the subscripts i and f represent the initial and final state of the sample.
The relationship between pyrolysis rate , time t, and temperature T can be expressed as [37]
where A, E, R, and n denote exponential factor, the activation energy, the gas constant, and reaction order.
Considering the nonlinear heating process during lightning strikes, previous research expressed temperature as a function of time and derived a predictive model for pyrolysis degree under nonlinear heating conditions [38], which is summarized as follows:
where the subscripts i − 1 and i represent the previous and current step.
Based on the data provided by Ogasawara et al. [16], the comparison between the predicted thermogravimetric curve using Equation (3) and the experimental results was shown in Figure 1. The predicted thermal degradation process obtained using Equation (3) shows good agreement with experimental results. It is worth noting that all current pyrolysis kinetic parameters have been determined under conventional heating rates. Their applicability under lightning strike conditions remains to be verified.
Figure 1.
Validation of pyrolysis kinetics analysis method at 20 °C/min. Data from Ogasawara et al. are included for reference [16].
3. Numerical Simulation Model of Laminated Composite Panel Subjected to Lightning Strikes
The geometry and boundary conditions corresponding to the experimental setup [16] are illustrated in Figure 2. The specimen measures 150 mm in length and 100 mm in width. The laminated composite panel consists of 32-ply ([45°/0°/−45°/90°]4S), with each ply having a thickness of 0.147 mm. The laminated composite panel was simulated using an eight-node 3D-coupled thermal-electrical element DC3D8E in ABAQUS 2019. The size of finite element grids was 1.0 mm, which was smaller than that recommended by previous studies [25,39,40]. During lightning strike tests [2], damage to the 4.7 mm thick composite material was confined to the top 10 plies. In order to improve computational efficiency, a single element was used to simulate the thickness direction of the bottom 16 layers [16,17]. The convergence of the grid has been verified. The edges and bottom of the finite element model were grounded, while surface radiation and convection constraints were applied to the top surface. Lightning current (4/20 μs with peak current of 40.0 kA, as shown in Figure 3) was applied to the central circular area with a diameter of 10 mm in the finite element model using a surface current method [18,23]. Some researchers consider the expansion characteristics of the arc when applying current, but there is no unified application standard [12,25,40,41]. In addition, the expansion of the arc channel may cause interference with the in-plane damage results of the two models, which is not conducive to effective analysis and comparison of the two models. Therefore, this paper adopts a fixed current application area strategy to compare the two models more effectively. This simplification neglects the dynamic expansion of the arc channel, which is a known characteristic of actual lightning strikes [41]. Consequently, while this approach is suitable for the comparative objectives of this study, it implies that the damage area may be underestimated under conditions where significant arc channel expansion occurs. Coupled thermal-electrical analysis was employed to simulate the current loading process, with a total simulation time of 60 μs. Following it, pure heat transfer analysis was conducted to simulate the cooling process, with a total simulation time of 30 s. Therefore, the entire simulation has two steps. Considering that carbon fibers begin to sublimate at approximately 3316 °C, and to restrict the maximum temperature of the element, a virtual latent heat was incorporated into the simulation. The pyrolysis prediction model developed by Xiao et al. [38] was utilized in the USDFLD subroutine to compute the pyrolysis field of materials. It is worth noting that this is a non-decreasing function, which corresponds to the irreversibility of the pyrolysis behavior. Because temperature is reversible, the element’s temperature gradually decreases during the heat transfer analysis. Therefore, the UVARM subroutine was used to record the maximum (irreversible) temperature experienced by each element. The pyrolysis degree, being computed by a non-decreasing function in the USDFLD subroutine, is inherently irreversible; thus, its maximum value is directly available from the field variable output.
Figure 2.
Geometry and boundary conditions of laminated composite panel for lightning strike simulation.
Figure 3.
Current waveforms (4/20 μs with peak current of 40.0 kA) [16].
To account for electrical conduction resulting from complex mechanisms, including dielectric breakdown and surface recession during a lightning strike, a virtual temperature dependency of electrical conductivity perpendicular to the fiber direction was incorporated into the temperature-based model [16]. Likewise, a virtual pyrolysis dependency of electrical conductivity perpendicular to fiber direction was integrated into the pyrolysis-based model [17]. Material properties of IM 600/133, as utilized in this study, were listed in Table 1, referencing prior researches [2,16,17]. The resin enrichment between the layers of laminated composite panel results in a significantly lower average conductivity in the thickness direction compared to the transverse. Considering the complex processes of breakdown, degradation, and ablation in composite materials, the temperature-based model assumes that the conductivity in the transverse and thickness directions varies linearly with temperatures [16] ranging with temperature of 500 °C to 3316 °C since Foster et al. [25] believed that temperature range associated with resin decomposition is 500 °C considering heating rate. The pyrolysis-based model assumes a linear change in electrical conductivity with pyrolysis degree from 0 to 1 [17], while some studies have adopted multi-stage conductivity update strategies [18,25,28,36,40], which still adhere to the physical mechanism proposed by Ogasawara et al. [16] as employed by the linear update strategy. To ensure comparability between temperature- and pyrolysis-based models in predicting lightning strike damage, the parameters of these two models were aligned at the onset and end of material damage, respectively. As per Ogasawara et al. [16], the kinetic triplet used in this study was (1/min), (kJ/mol), and .
Table 1.
Electrical and thermal properties of IM 600/133 versus temperature and pyrolysis.
4. Results and Discussion
4.1. Damage Prediction Using Temperature- and Pyrolysis-Based Models
Contour plots of temperature and pyrolysis filed at 30 s of step 2 were depicted in Figure 4. For the temperature-based model, the white area around the center of the sample indicates a temperature above 3316 °C and the grey area below 500 °C. These two thresholds correspond to the resin decomposition temperature and fibre sublimation temperature [16,25]. For the pyrolysis-based model, the white area around the center of the laminated composite panel indicates a pyrolysis degree greater than 0.99 and the grey area under 0.1. In the pyrolysis-based model, 0.1 was used to represent the beginning of pyrolysis [24,41]. The damage profile of these two models was overall consistent. In each single layer of laminated composite, lightning strike damage extends along the fiber direction, but was also affected by adjacent layers. The damage footprint of the temperature- and pyrolysis-based model was shown in Figure 5. The simulation results of both models exhibited consistent damage distribution characteristics with the experimental data, as both demonstrated primary damage propagation along the 45° fiber direction in the first ply [4]. The temperature-based model predicted an ablation damage area of 1432.90 mm2, while the pyrolysis-based model yielded a prediction of 1891.20 mm2. The experimental measurements showed an average ablation damage footprint of approximately 1865.56 mm2 and an average delamination damage footprint of approximately 2009.30 mm2 [4]. The temperature-based model predicted an ablation area with an error of −23.2% compared to the experimental results, whereas the pyrolysis-based model showed an error of +1.4%. The research results indicate that the damage area predicted by the temperature-based model is smaller than that predicted by the pyrolysis-based model, which may be related to the selection of the temperature threshold value. Considering moisture vaporization occurs at 300 °C, Foster et al. [25] also adopted 300 °C to evaluate the lightning strike damage of composites. Using 300 °C as the damage threshold, the predicted damage area based on the temperature model reached 2591.20 mm2, which is significantly larger than the current prediction based on 500 °C and even exceeds the experimental observations. However, the physical significance of using 300 °C to evaluate damage is still unclear, as the main damage modes in the experiment were fibre fracture, resin ablation, and delamination. Obviously, by adjusting the temperature threshold value between 300 °C and 500 °C, the temperature-based model can obtain an ablation area close to the experimental results. In fact, temperature thresholds of 300 °C [16,27,36,40], 343 °C [42], 450 °C [6], and even 800 °C [25,28] have also been used to evaluate composite material lightning strike damage. Temperature is a reversible physical quantity; the intrinsic correlation mechanism between material damage state and temperature value has not been fully understood. This is a scientific issue that requires further exploration in this field. In the next section, we will analyze the selection of damage thresholds for the temperature-based model and the pyrolysis-based model to form a more sufficient understanding of these two numerical models.
Figure 4.
In-plane contour plots obtained from the top four layers of (a) temperature-based model and (b) pyrolysis-based model (step 2, 30 s).
Figure 5.
The in-plane damage footprints obtained from (a) temperature-based model and (b) pyrolysis-based model. Data from Hirano et al. are included for reference [2].
The temperature-based model ablated nine layers, reaching about 1.323 mm, while the pyrolysis-based model ablated eight layers, reaching about 1.176 mm, as listed in Table 2. Compared to the experimental results [2], the temperature-based and pyrolysis-based models exhibited errors of +13.7% and +1.0%. From a damage tolerance perspective, precise prediction of damage depth is critical, as lightning-induced damage in carbon fiber composites primarily manifests as surface-level degradation within laminated panels. In the numerical simulation model, based on the fundamental assumption that lightning-induced damage is predominantly confined to surface plies, a single element was used in the thickness direction to simulate the bottom 16 layers. The simulation results demonstrate that for both temperature-based and pyrolysis-based models, the maximum damage depth consistently remained within 10 plies. Due to the low conductivity in the thickness direction of undamaged composite materials, there is almost no current flowing through the bottom 16 layers. Therefore, this simplification is appropriate and will not have a significant impact on the simulation results.
Table 2.
Comparison of damage depths obtained from the temperature- and pyrolysis-based models (step 2, 30 s).
Previous studies had suggested that pyrolysis-based model severely underestimate lightning damage [17], using a pyrolysis-based model cannot effectively characterize the mechanism of lightning strike damage in composite materials [36]. One important reason may be that Guo et al. [36] used a temperature threshold of 300 °C to evaluate in-plane damage, which also resulted in their predicted damage depth being significantly greater than the experimental results. Additionally, a pyrolysis degree threshold of 0.5 was used to assess damage in the pyrolysis-based model, which also leads to a significant underestimation of the in-plane damage area. The results indicate that, for this specific experimental configuration and with the chosen parameters, the pyrolysis-based model shows closer agreement with the measured damage area and depth compared to the temperature-based model. This study also highlights that the predictive accuracy of temperature-based models is highly sensitive to the choice of damage threshold, as evidenced by the substantial variation in predicted damage area when using thresholds of 300 °C versus 500 °C.
4.2. Damage Threshold of Temperature- and Pyrolysis-Based Models
As noted in the previous section, existing temperature-based models have failed to establish a consensus on the determination of temperature thresholds, often rendering the selection process somewhat arbitrary. Temperature, as a physical parameter, is not a direct measure of heat-induced material damage but rather serves as a practical engineering indicator. The degree of pyrolysis is defined as the proportion of a material that undergoes decomposition or transformation during the pyrolysis process. Therefore, employing the degree of pyrolysis to evaluate the ablation damage of materials holds greater practical significance. Kamiyama et al. [24] conducted heating experiments on carbon fiber composite laminates. The results indicated that significant delamination occurs when the degree of pyrolysis reaches 0.1. Adopting a pyrolysis degree threshold of 0.1 to evaluate the ablation damage of the laminates is justified. Therefore, this section focuses on the correspondence between different temperature thresholds and the pyrolysis degree of 0.1.
It is reasonable to use damage area and damage depth to evaluate the differences between temperature- and pyrolysis-based models, but these indicators do not truly reflect the inherent differences between these two models. The temperature of a material is related to its internal energy, while the pyrolysis degree of a material is a function of temperature, time, and heating rate. The temperature-based model cannot effectively consider the effect of heating rate on thermal damage, and empirical values of 300 °C [16] or 500 °C [25] were used. Therefore, authors analyzed the differences in lightning strike damage at heating rates of 10,000 °C/min, 15,000 °C/min, and 20,000 °C/min [28]. However, the actual heating rate of composite materials in lightning strike simulation was much higher than these, which can be validated by the experiment [5]. Take the 1600 °C as an example, under the load of lightning current, assuming that the material linearly heats up from 25 °C to 1600 °C within 400 μs, with an average heating rate of up to °C/min. In the numerical simulation model, step 1 represents the heating process of current conduction, while step 2 represents the heat dissipation process after the end of current conduction. In order to analyze the inherent differences between temperature- and pyrolysis-based models, the commonly used temperature thresholds (300 °C, 500 °C, 800 °C, 1000 °C, and 3000 °C) for temperature-based models were selected as a reference to calculate material heating rates in step 1.
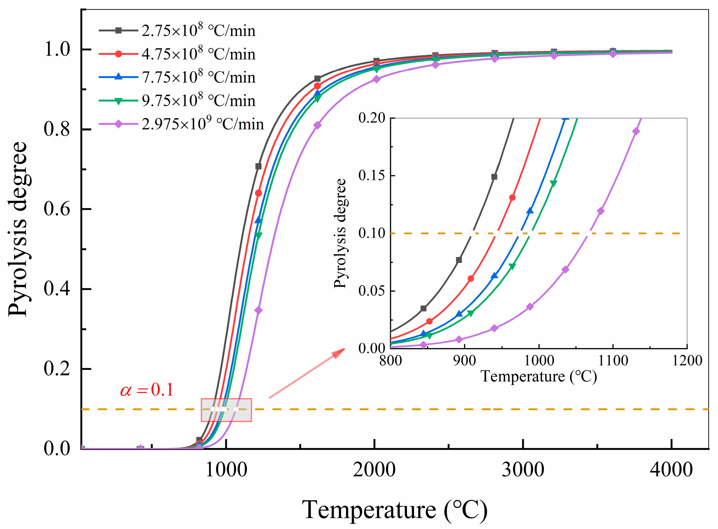
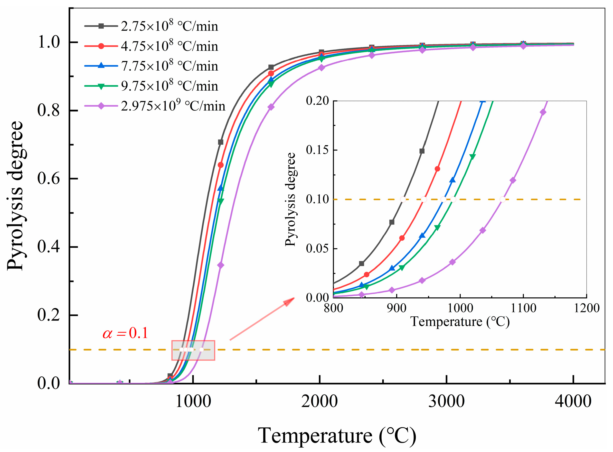
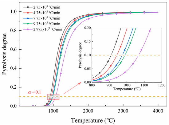
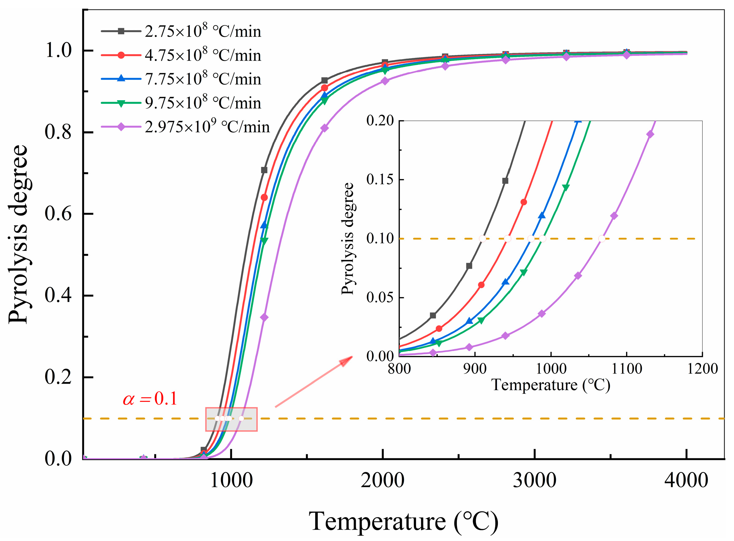
Based on the assumption of linear heating, pyrolysis kinetics analysis was conducted to obtain the pyrolysis degree-temperature curves of composite materials at different heating rates, as shown in Figure 6. As the heating rate increases, the pyrolysis curve gradually shifted toward the high-temperature region. The abscissa of the intersection points between the pyrolysis degree of 0.1 and the pyrolysis degree-temperature curves at different heating rates means that the pyrolysis degree of the material reaches 0.1 at that temperature. Table 3 listed the temperature at which the pyrolysis degree reaches 0.1 at different heating rates. When the heating rate was °C/min, the corresponding pyrolysis starting temperature was 910.09 °C, but the actual temperature of the material was 300 °C. Only when the starting temperature of material pyrolysis is less than or equal to the current temperature of the material will pyrolysis occur. So, the material will not be damaged at 300 °C, and when the temperature was equal or greater than 1000 °C, the material will begin to undergo pyrolysis, as shown in Table 3. Although many studies have recognized that the heating rate affects the pyrolysis of composite materials, the starting temperature of pyrolysis at lower heating rates was still used as the threshold to predict lightning strike damage [6,16,28]. These finding challenges conventional assumptions about heating rate limitations in such materials. The kinetic parameters (A, E, n) used in the pyrolysis-based model were determined through standard thermogravimetric analysis (TGA) experiments at relatively low heating rates. The validity of these parameters is a fundamental assumption of the pyrolysis-based model. However, due to current technical limitations, it is challenging to perform thermogravimetric analysis under extreme heating rates. Consequently, the applicability of these parameters to lightning strike conditions requires further investigation. Previous studies [6,17,20,24,28,36,41] also use the kinetic parameters determined by standard thermogravimetric analysis experiments to evaluate and analyze lightning ablation damage. Therefore, this issue is the core problem and technical challenge faced in the numerical simulation of lightning damage to composite materials. These findings are based on a theoretical analysis under linear heating rates. In actual lightning strike events, the thermal response of materials involves a more complex heating process.
Figure 6.
Pyrolysis degree versus temperature curves for composite materials subjected to extremely high heating rates.
Table 3.
Temperature thresholds, corresponding heating rates, and the starting temperature of pyrolysis.
The above analysis results also lead to a crucial topic. Assuming linear heating in step 1, the corresponding temperature when the pyrolysis degree reaches 0.1 is as high as 1000 °C, which inevitably leads to a smaller damage area predicted by the pyrolysis-based model than the temperature-based model, but the opposite is true. This is because the actual temperature-time history of the material is much more complex than the assumed linear case, whether it is the heating in step 1 or the cooling in step 2. To analyze the difference between temperature and pyrolysis degree as damage thresholds, three representative points were selected from the pyrolysis-based model for detailed analysis, as illustrated in the accompanying Figure 7a. Point A is positioned at the geometric center of the laminate surface, coinciding with the current loading center, which is also the most severely damaged zone. Points B and C are located within the peripheral region of the damage, which is the extension zone of the damage. The temporal evolution of temperature and pyrolysis degree at these three monitoring points was systematically analyzed, with the results presented in the corresponding Figure 7b. The analysis reveals distinct thermal response characteristics at each monitoring point. The temperature change history of all three points is nonlinear. At point A, located at the current channel’s epicenter, pyrolysis occurs predominantly during step 1, with the pyrolysis degree reaching 0.1 at approximately 1200 °C and an average heating rate of approximately °C/min. Point B, positioned outside the primary current path, maintains temperatures below 500 °C during stage 1, resulting in minimal pyrolysis (α < 0.1). During step 2, thermal diffusion mechanism induced a transient temperature increase to 500 °C at point B, followed by subsequent cooling. The highest temperature of point B is 540.3 °C. Notably, material pyrolysis exhibits temperature-dependent behavior, with rapid progression above 500 °C and stagnation below this threshold. The instantaneous heating rate when the pyrolysis degree reaches 0.1 is approximately −7559.65 °C/min. Point C demonstrates intermediate behavior, exceeding 500 °C during stage 1 due to partial current conduction, yet maintaining a pyrolysis degree below 0.1. The highest temperature of point C in step 1 is 669.75 °C, with an average heating rate of °C/min. The subsequent cooling phase in step 2 triggers a rapid increase in the pyrolysis degree to approximately 0.2 and followed by stagnation as temperatures fall below 500 °C. In the pyrolysis-based model, the relatively low heating rate observed in the damage boundary region results in a material pyrolysis initiation temperature of approximately 500 °C. Points B and C are already positioned at the damage boundary defined by a thermal decomposition degree of 0.1. Consequently, employing 500 °C as the damage threshold appears to provide a valid evaluation criterion for damage assessment within the pyrolysis-based model, which is equivalent to using a pyrolysis degree of 0.1. Since pyrolysis degree is a function of temperature, it can be anticipated that in the temperature-based model, using a pyrolysis degree of 0.1 as the damage threshold would yield identical damage results to those obtained when using 500 °C as the criterion. Therefore, from the perspective of material pyrolysis kinetics, Foster et al. [25] proposal to use 500 °C to evaluate the lightning damage of composite materials is somewhat reasonable. The equivalence between 500 °C and a pyrolysis degree of 0.1 was established based on a specific resin system; its applicability to other resin systems requires further validation.
Figure 7.
The temporal evolution curves of temperature and pyrolysis degree at characteristic locations on the laminate top surface: (a) schematic diagram of characteristic point locations in the pyrolysis-based model and (b) time history curves of pyrolysis degree and temperature at points A, B, and C.
Compared to the temperature-based model using an identical damage threshold of 500 °C, the pyrolysis-based model predicts a significantly larger damage area. This discrepancy suggests that the pyrolysis-based model identifies a more extensive in-plane region exceeding the 500 °C threshold temperature, as shown in Figure 8. While a temperature threshold of 500 °C effectively quantifies ablation damage in step 2, this criterion fails to remain valid during step 1 under extreme heating rate conditions. As previously established, the pyrolysis initiation temperature at point A surpasses 1000 °C in step 1. Furthermore, both the pyrolysis degree and temperature significantly influence the through-thickness conductivity. The temperature-based model, limited by its inability to account for localized high heating rate phenomena, employs a uniform 500 °C threshold to evaluate bulk conductivity. In contrast, the pyrolysis-based model incorporates localized nonlinear heating behavior, leading to markedly different electrical property predictions. This fundamental divergence in modeling approaches, specifically in their treatment of local thermal effects, explains the observed discrepancies in predicting thermal damage between the two models.
Figure 8.
Temperature footprints obtained from the top eight layers of (a) temperature-based model and (b) pyrolysis-based model (step 2, 30 s).
By employing pyrolysis kinetic analysis, the degree of pyrolysis was converted into corresponding temperatures, enabling an effective comparison of the two damage thresholds on the same coordinate axis. This approach robustly reveals the intrinsic differences and similarities between the two models in terms of damage thresholds, while also enhancing the understanding of lightning strike damage mechanisms in composite materials.
4.3. Electrical Conductivity Through-Thickness of Temperature- and Pyrolysis-Based Models
In Table 1, the electrical conductivity along the fiber direction remains unchanged, while the electrical conductivity perpendicular to the fiber direction changes dramatically with temperature or pyrolysis degree. Based on the given material parameters, the temperature-based model employed in this study assumes a linear change [16] in electrical conductivity with temperature of 500 °C to 3316 °C, while the pyrolysis-based model assumes a linear change [17] in electrical conductivity with pyrolysis degree from 0 to 1. To compare the differences in electrical conductivity between the temperature-based model and the pyrolysis-based model during lightning strike, a pyrolysis kinetics analysis based on the linear heating assumption was conducted. The electrical conductivity-temperature curves in the thickness direction of these two models under different heating rates were plotted, as shown in Figure 9. Pyrolysis-based model exhibits a significant nonlinear relationship between conductivity and temperature. The intersection means that at a given heating rate, the electrical conductivity of these two models in the thickness direction is equal at a certain temperature. Table 4 presents the temperature and electrical conductivity values at the intersection of the electrical conductivity-temperature curves for these two models in step 1. At heating rates less than °C/min, indicating material temperatures below 1000 °C in step 1, the intersection temperature exceeded the actual temperature corresponding to the heating rates. Therefore, the electrical conductivity of the pyrolysis-based model between 500 °C and 1000 °C was lower than that of the temperature-based model, while the opposite holds true between 1000 °C and 3000 °C. The transverse electrical conductivity properties were also the same.
Figure 9.
Electrical conductivity versus temperature curves in the through-thickness direction.
Table 4.
The intersection temperature and conductivity at different heating rates.
Given that the actual heating rates vary across different locations of the laminate, further analysis of the electrical conductivity at representative positions along the thickness cross section is necessary. A local coordinate system, aligned with the global coordinate system, was established with the laminate center as the origin. At distances of 2 mm, 5 mm, 8 mm, and 10 mm from the laminate center, the top-surface nodes of the first four layers (from the top downward) were selected for comparative analysis, as shown in Figure 10. Since the electric current is only applied in step 1 (coupled thermal-electrical analysis), the conductivity analysis is confined to this step.
Figure 10.
Node selection schematic for electrical conductivity analysis: (a) temperature-based model (step 1, 60 μs) and (b) pyrolysis-based model (step 1, 60 μs).
In this study, the electrical conductivity of the material in the thickness direction is dependent on temperature and degree of pyrolysis. Based on this correlation, the real-time temperature and pyrolysis degree of each node can be converted into corresponding conductivity values, thereby enabling the reconstruction of spatially resolved real-time conductivity profiles throughout the material, as shown in Figure 11. Consistent with the linear heating analysis results, at the same location, the temperature-based model initially exhibits a higher electrical conductivity than the pyrolysis-based model. However, the conductivity predicted by the pyrolysis-based model then increases rapidly and eventually surpasses that of the temperature-based model. The conductivity stabilizes at 30 μs, as the lightning impulse current decays rapidly and the material temperature shows no significant variation beyond this time point.
Figure 11.
Nodal conductivity at representative locations: (a) D = 2 mm; (b) D = 5 mm; (c) D = 8 mm; (d) D = 10 mm.
When the distance from the laminate center is 2 mm or 5 mm, the conductivity at position A1 in both models increases rapidly and reaches its maximum value first among the four positions, as shown in Figure 11a,b. However, at distances of 8 mm and 10 mm from the laminate center, the conductivity at A1 increases more slowly or even remains largely unchanged, while position A2 shows a rapid conductivity increase, as shown in Figure 11c,d. This phenomenon occurs because the current application radius is 5 mm, and the current primarily flows along the in-plane fiber direction. When the distance exceeds 5 mm and deviates from the fiber direction, where the current center is located, the current’s effect on A1 diminishes significantly. In contrast, point A2, located in the fiber direction of the second layer, remains consistently influenced by the current.
At positions A1 (D = 2 mm and D = 5 mm), a uniform in-plane current is applied as an initial condition. As material temperature increases, the temperature-based model exhibits earlier enhancement of through-thickness conductivity, causing a significant reduction in overall resistance. This facilitates current penetration and expansion of the conduction network. In contrast, the pyrolysis-based model demonstrates delayed through-thickness conductivity development due to heating rate effects, maintaining predominant surface current flow. This concentrated current generates intensified Joule heating, leading to a rapid temperature rise. This rise subsequently accelerates the through-thickness growth of electrical conductivity, causing it to exceed the predictions of the temperature-based model. Therefore, when current begins to conduct through the laminate thickness, the pyrolysis-based model demonstrates significantly delayed conductivity compared to the temperature-based model. With an initial through-thickness conductivity of only 0.0018 S/m, the maximum conductivity difference between these two models reaches two orders of magnitude (100 times) in the thickness direction. Although the pyrolysis-based model’s conductivity eventually surpasses the temperature-based model in later stages, the maximum excess remains below 10-fold. These mechanisms result in substantially lower effective through-thickness conductivity in the pyrolysis-based model’s first layer, promoting preferential shallow current flow that generates larger damage areas. When A1 approaches ablation completion, current gradually transfers to underlying layers, inducing temperature rise at A2. Nodes A2 and A3 exhibit analogous through-thickness conductivity evolution patterns to A1. This process repeats at A2/A3 positions (D = 8 mm and 10 mm). Consequently, the heating rate-induced conductivity delay in the pyrolysis-based model fundamentally explains its prediction of larger damage areas but shallower depths.
Notably, this study is confined to the linear conductivity assumption. While this simplification facilitates a focused comparison, it prompts discussion on the implications for nonlinear conductivity models. Existing nonlinear conductivity models [28] typically postulate that through-thickness conductivity remains constant once the temperature or pyrolysis degree exceeds the damage threshold, and conductivity increases abruptly upon material ablation, as shown in Figure 12. A key insight from our previous analysis is that the pre-threshold conductivity evolution is a critical phase differentiating the two models, where the pyrolysis-based model lags significantly due to local heating rate effects. We hypothesize that if this pre-threshold lag mechanism persists in a nonlinear modeling framework, it could potentially lead to even more pronounced discrepancies in damage prediction. However, validating this hypothesis requires dedicated simulations with nonlinear conductivity laws, which is beyond the scope of this study. Therefore, the findings presented here are specific to the linear conductivity model, yet they highlight a pre-damage conductivity lag mechanism that should be considered in the development or interpretation of any conductivity model, linear or nonlinear, for lightning strike simulation.
Figure 12.
Schematic diagram of nonlinear conductivity characteristics: (a) temperature-based and (b) pyrolysis-based.
Using pyrolysis kinetic analysis, the degree of pyrolysis was converted into corresponding temperatures, allowing for an effective comparison of the through-thickness conductivity values of the two models on the same coordinate axis. This approach clearly demonstrates the differences in through-thickness conductivity between the two models and, based on these conductivity variations, further analyzes the origins of their discrepancies in damage prediction. These findings advance the understanding of lightning strike damage mechanisms in composite materials.
4.4. Joule Energy of Temperature- and Pyrolysis-Based Models
The Joule heat generated during lightning current conduction directly governs the thermal loading that drives damage. Therefore, comparing the Joule energy provides a macroscopic indicator of the models’ overall electrical-thermal response, complementing the conductivity analysis in Section 4.3.
As shown in Figure 13, the pyrolysis-based model generated about 1892.13 J of total Joule heat, which is about 334.59 J more than the temperature-based model (1557.54 J). This finding is a direct consequence of the delayed through-thickness conductivity development identified earlier. During the critical initial phase of current conduction, the pyrolysis-based model exhibits significantly lower through-thickness conductivity (Figure 11), resulting in a higher overall resistance. For a prescribed current waveform, this increased resistance naturally leads to greater cumulative Joule heating, as quantified here.
Figure 13.
Comparison of Joule heat obtained from the temperature- and pyrolysis-based models under lightning current (4/20 μs with peak current of 40.0 kA).
The practical implication of this higher Joule heat is consistent with the predicted damage morphology. The additional energy generated in the pyrolysis-based model contributes to a more extensive in-plane temperature field (as seen in Figure 8), which directly translates to the larger predicted damage area discussed in Section 4.1. Thus, Joule heating analysis does not stand alone; it provides strong validation for the relationship between the conductivity hysteresis dependent on local heating rate (Section 4.3) and the final damage (Section 4.1).
It is worth noting that due to the scarcity of such data in the references, it is not possible to directly quantitatively verify the simulated energy values based on experimental measurements. The future work of synchronously measuring current, voltage, and temperature during lightning strike testing will be very valuable for fully calibrating and verifying the energy balance predicted by these coupled models.
5. Conclusions
This study developed a diagnostic framework integrating numerical simulation with pyrolysis kinetics to elucidate the intrinsic differences between temperature- and pyrolysis-based models for predicting lightning strike damage in composites. The key finding is that the primary discrepancy between the two models stems from the heating rate-dependent evolution of through-thickness electrical conductivity, a mechanism inherently captured by the pyrolysis-based model but neglected in the temperature-based model.
This fundamental difference manifests in several specific outcomes: (1) Under the studied conditions, the pyrolysis-based model demonstrated closer agreement with experimental data in both damage area and depth. (2) Although a temperature threshold of 500 °C corresponds effectively to a pyrolysis degree of 0.1 in global damage assessment, a temperature-based criterion cannot capture the local heating rate effect. (3) Consequently, the pyrolysis-based model exhibits a significant lag in through-thickness conductivity development during the initial current conduction phase, leading to (4) higher overall electrical resistance and greater Joule heating, which logically results in the prediction of larger in-plane damage areas.
The conclusions drawn in this study regarding the differences between the two models are obtained within the framework of currently prevalent modeling assumptions. The validation of these fundamental assumptions themselves represents a key challenge for future research in the field. In this study, the pyrolysis kinetics parameters obtained under conventional heating rates were adopted for analyzing pyrolysis under the extreme heating rates characteristic of lightning strikes. The applicability of these parameters requires further validation. Additionally, a linear relationship based on thermal ablation (temperature and pyrolysis degree) is adopted to describe the variation in electrical conductivity. Recent research has also demonstrated that conductivity models incorporating dielectric breakdown mechanisms can also effectively simulate lightning strike damage in carbon fiber composites [41], offering new insights and critical evidence for the field. The most critical direction for future work is the experimental characterization of electrical conductivity evolution in composites subjected to coupled extreme heating rates and high voltages, as this remains the foundational uncertainty limiting all current modeling approaches, whether based on temperature, pyrolysis, or dielectric breakdown mechanisms.
Author Contributions
Conceptualization, P.X., Z.F. and J.X.; methodology, P.X. and J.X.; software, P.X.; validation, P.X. and J.X.; formal analysis, P.X.; investigation, P.X.; resources, J.X.; data curation, P.X.; writing—original draft preparation, P.X.; writing—review and editing, Z.F. and J.X.; visualization, P.X.; supervision, J.X.; project administration, J.X. and Z.F.; funding acquisition, J.X. All authors have read and agreed to the published version of the manuscript.
Funding
This research was funded by National Key R&D Program of China, grant number 2022YFB4301000.
Data Availability Statement
Data will be made available on request.
Acknowledgments
We sincerely appreciate the insightful comments and valuable suggestions provided by the reviewers. We will continue our research on lightning strike damage modeling of carbon fiber composite materials and strive to advance the engineering application of simulation modeling techniques.
Conflicts of Interest
The authors declare no conflicts of interest.
References
- Hirano, Y.; Katsumata, S.; Iwahori, Y.; Todoroki, A. Fracture Behavior of CFRP Specimen after Lightning Test. In Proceedings of the 17th International Conference on Composite Materials, Edinburgh, UK, 27–31 July 2009. [Google Scholar]
- Hirano, Y.; Katsumata, S.; Iwahori, Y.; Todoroki, A. Artificial Lightning Testing on Graphite/Epoxy Composite Laminate. Compos. Part A Appl. Sci. Manuf. 2010, 41, 1461–1470. [Google Scholar] [CrossRef]
- Li, Y.; Li, R.; Lu, L.; Huang, X. Experimental Study of Damage Characteristics of Carbon Woven Fabric/Epoxy Laminates Subjected to Lightning Strike. Compos. Part A Appl. Sci. Manuf. 2015, 79, 164–175. [Google Scholar] [CrossRef]
- Kamiyama, S.; Hirano, Y.; Okada, T.; Sawaki, K.; Sonehara, T.; Ogasawara, T. Damage Behavior of CFRP Subjected to Simulated Lightning Current under Air, Reduced-Pressure Air, and N2 Environments. Compos. Struct. 2019, 230, 111519. [Google Scholar] [CrossRef]
- Wang, B.; Zhu, Y.; Ming, Y.; Yao, X.; Tian, X.; Ziegmann, G.; Duan, Y.; Sun, J. Understanding Lightning Strike Induced Damage Mechanism of Carbon Fiber Reinforced Polymer Composites: An Experimental Study. Mater. Des. 2020, 192, 108724. [Google Scholar] [CrossRef]
- Sun, J.; Li, Y.; Tian, X.; Duan, Y.; Yao, X.; Wang, B. Experimental and Numerical Analysis of Damage Mechanisms for Carbon Fiber-Reinforced Polymer Composites Subjected to Lightning Strikes. Eng. Fail. Anal. 2020, 118, 104894. [Google Scholar] [CrossRef]
- Harrell, T.M.; Thomsen, O.T.; Dulieu-Barton, J.M. Predicting the Effect of Lightning Strike Damage on the Structural Response of CFRP Wind Blade Sparcap Laminates. Compos. Struct. 2023, 308, 116707. [Google Scholar] [CrossRef]
- Feraboli, P.; Miller, M. Damage Resistance and Tolerance of Carbon/Epoxy Composite Coupons Subjected to Simulated Lightning Strike. Compos. Part A Appl. Sci. Manuf. 2009, 40, 954–967. [Google Scholar] [CrossRef]
- Feraboli, P.; Kawakami, H. Damage of Carbon/Epoxy Composite Plates Subjected to Mechanical Impact and Simulated Lightning. J. Aircr. 2010, 47, 999–1012. [Google Scholar] [CrossRef]
- Kuang, C.; Zhou, Y.; Zhu, H.; Shi, Q.; Fu, K.; Li, Y. Thermal and Mechanical Damage to Carbon Fibre Reinforced Composites with Metallic Fasteners under Lightning Strike. Thin-Walled Struct. 2023, 193, 111280. [Google Scholar] [CrossRef]
- Sun, J.; Yao, X.; Tian, X.; Chen, J.; Wu, Y. Damage Characteristics of CFRP Laminates Subjected to Multiple Lightning Current Strike. Appl. Compos. Mater. 2019, 26, 745–762. [Google Scholar] [CrossRef]
- Dong, Q.; Wan, G.; Guo, Y.; Zhang, L.; Wei, X.; Yi, X.; Jia, Y. Damage Analysis of Carbon Fiber Composites Exposed to Combined Lightning Current Components D and C. Compos. Sci. Technol. 2019, 179, 1–9. [Google Scholar] [CrossRef]
- Sun, J.; Yao, X.; Xu, W.; Chen, J.; Wu, Y. Evaluation Method for Lightning Damage of Carbon Fiber Reinforced Polymers Subjected to Multiple Lightning Strikes with Different Combinations of Current Components. J. Compos. Mater. 2020, 54, 111–125. [Google Scholar] [CrossRef]
- Rupke, E. Lightning Direct Effects Handbook, Report AGATE-WP3.1-031027-043-Design Guideline; Wichita State University: Wichita, KS, USA, 2002. [Google Scholar]
- Millen, S.L.J.; Murphy, A. Modelling and Analysis of Simulated Lightning Strike Tests: A Review. Compos. Struct. 2021, 274, 114347. [Google Scholar] [CrossRef]
- Ogasawara, T.; Hirano, Y.; Yoshimura, A. Coupled Thermal-Electrical Analysis for Carbon Fiber/Epoxy Composites Exposed to Simulated Lightning Current. Compos. Part A Appl. Sci. Manuf. 2010, 41, 973–981. [Google Scholar] [CrossRef]
- Dong, Q.; Guo, Y.; Sun, X.; Jia, Y. Coupled Electrical-Thermal-Pyrolytic Analysis of Carbon Fiber/Epoxy Composites Subjected to Lightning Strike. Polymer 2015, 56, 385–394. [Google Scholar] [CrossRef]
- Abdelal, G.; Murphy, A. Nonlinear Numerical Modelling of Lightning Strike Effect on Composite Panels with Temperature Dependent Material Properties. Compos. Struct. 2014, 109, 268–278. [Google Scholar] [CrossRef]
- Wang, F.S.; Ding, N.; Liu, Z.Q.; Ji, Y.Y.; Yue, Z.F. Ablation Damage Characteristic and Residual Strength Prediction of Carbon Fiber/Epoxy Composite Suffered from Lightning Strike. Compos. Struct. 2014, 117, 222–233. [Google Scholar] [CrossRef]
- Dong, Q.; Guo, Y.; Chen, J.; Yao, X.; Yi, X.; Ping, L.; Jia, Y. Influencing Factor Analysis Based on Electrical-Thermal-Pyrolytic Simulation of Carbon Fiber Composites Lightning Damage. Compos. Struct. 2016, 140, 1–10. [Google Scholar] [CrossRef]
- Wang, F.S.; Ji, Y.Y.; Yu, X.S.; Chen, H.; Yue, Z.F. Ablation Damage Assessment of Aircraft Carbon Fiber/Epoxy Composite and Its Protection Structures Suffered from Lightning Strike. Compos. Struct. 2016, 145, 226–241. [Google Scholar] [CrossRef]
- Dong, Q.; Wan, G.; Xu, Y.; Guo, Y.; Du, T.; Yi, X.; Jia, Y. Lightning Damage of Carbon Fiber/Epoxy Laminates with Interlayers Modified by Nickel-Coated Multi-Walled Carbon Nanotubes. Appl. Compos. Mater. 2017, 24, 1339–1351. [Google Scholar] [CrossRef]
- Dong, Q.; Wan, G.; Ping, L.; Guo, Y.; Yi, X.; Jia, Y. Coupled Thermal-Mechanical Damage Model of Laminated Carbon Fiber/Resin Composite Subjected to Lightning Strike. Compos. Struct. 2018, 206, 185–193. [Google Scholar] [CrossRef]
- Kamiyama, S.; Hirano, Y.; Ogasawara, T. Delamination Analysis of CFRP Laminates Exposed to Lightning Strike Considering Cooling Process. Compos. Struct. 2018, 196, 55–62. [Google Scholar] [CrossRef]
- Foster, P.; Abdelal, G.; Murphy, A. Understanding How Arc Attachment Behaviour Influences the Prediction of Composite Specimen Thermal Loading during an Artificial Lightning Strike Test. Compos. Struct. 2018, 192, 671–683. [Google Scholar] [CrossRef]
- Wan, G.; Dong, Q.; Zhi, J.; Guo, Y.; Yi, X.; Jia, Y. Analysis on Electrical and Thermal Conduction of Carbon Fiber Composites under Lightning Based on Electrical-Thermal-Chemical Coupling and Arc Heating Models. Compos. Struct. 2019, 229, 111486. [Google Scholar] [CrossRef]
- Millen, S.L.J.; Murphy, A.; Abdelal, G.; Catalanotti, G. Sequential Finite Element Modelling of Lightning Arc Plasma and Composite Specimen Thermal-Electric Damage. Comput. Struct. 2019, 222, 48–62. [Google Scholar] [CrossRef]
- Millen, S.L.J.; Ashworth, S.; Farrell, C.; Murphy, A. Understanding and Representing Heating and Heating Rate Effects on Composite Material Properties for Lightning Strike Direct Effect Simulations. Compos. Part B Eng. 2022, 228, 109438. [Google Scholar] [CrossRef]
- Guo, Y.; Sun, J.; Li, S.; Lan, P.; Du, K.; Yao, X. Investigation of Damage Mechanisms in CFRP Composites with Fastener under Coupled Arc Heat Flux and Current Effects. Compos. Struct. 2025, 370, 119354. [Google Scholar] [CrossRef]
- Tian, X.; Hu, J.; Sun, J.; Yang, C.; Guo, Y.; Zhou, Y.; Wang, Z.; Yao, X. Effect of Lightning Arc on Damage Characteristics of Carbon Fiber-Reinforced Polymer Composites with a Fastener by an Improved Calculation Method. Compos. Struct. 2025, 363, 119141. [Google Scholar] [CrossRef]
- Yang, B.; Lee, J.; Zhou, Y.; Liu, X.; Guedes Soares, C.; Fu, K.; Yang, D. Coupled Thermal-Electrical–Mechanical Characteristics of Lightning Damage in Woven Composite Honeycomb Sandwich Structures. Int. J. Solids Struct. 2024, 305, 113090. [Google Scholar] [CrossRef]
- Zhu, Y.; Li, Y.; Sun, J.; Liu, C.; Xu, X.; Zhang, K. Lightning Damage Analysis of Composite Bolted Joint Structures Based on Thermal-Electrical-Structural Simulation. Compos. Struct. 2025, 352, 118720. [Google Scholar] [CrossRef]
- Zhou, Y.; Fu, K.; Yang, B.; Zhu, H.; Li, Y. Experimental and Modelling of Dynamic Response and Damage of CFRP Composites under Lightning Strike: Coupled Electrical-Thermal-Mechanical Analysis. Compos. Sci. Technol. 2025, 269, 111237. [Google Scholar] [CrossRef]
- Foster, P.; Abdelal, G.; Murphy, A. Quantifying the Influence of Lightning Strike Pressure Loading on Composite Specimen Damage. Appl. Compos. Mater. 2019, 26, 115–137. [Google Scholar] [CrossRef]
- Lee, J.; Lacy, T.E.; Pittman, C.U. Lightning Mechanical Damage Prediction in Carbon/Epoxy Laminates Using Equivalent Air Blast Overpressure. Compos. Part B Eng. 2021, 212, 108649. [Google Scholar] [CrossRef]
- Guo, Y.; Dong, Q.; Chen, J.; Yao, X.; Yi, X.; Jia, Y. Comparison between Temperature and Pyrolysis Dependent Models to Evaluate the Lightning Strike Damage of Carbon Fiber Composite Laminates. Compos. Part A Appl. Sci. Manuf. 2017, 97, 10–18. [Google Scholar] [CrossRef]
- Vyazovkin, S.; Burnham, A.K.; Criado, J.M.; Pérez-Maqueda, L.A.; Popescu, C.; Sbirrazzuoli, N. ICTAC Kinetics Committee Recommendations for Performing Kinetic Computations on Thermal Analysis Data. Thermochim. Acta 2011, 520, 1–19. [Google Scholar] [CrossRef]
- Xiao, P.; Zhang, J.; Li, H.; Mou, H.; Feng, Z.; Xie, J. Pyrolysis Kinetics Analysis and Prediction for Carbon Fiber-Reinforced Epoxy Composites. Polymers 2023, 15, 4533. [Google Scholar] [CrossRef] [PubMed]
- Lee, J.; Lacy, T.E., Jr.; Pittman, C.U., Jr.; Mazzola, M.S. Thermal Response of Carbon Fiber Epoxy Laminates with Metallic and Nonmetallic Protection Layers to Simulated Lightning Currents. Polym. Compos. 2018, 39, E2149–E2166. [Google Scholar] [CrossRef]
- Lee, J.; Lacy, T.E.; Pittman, C.U. Coupled Thermal Electrical and Mechanical Lightning Damage Predictions to Carbon/Epoxy Composites during Arc Channel Shape Expansion. Compos. Struct. 2021, 255, 112912. [Google Scholar] [CrossRef]
- Fujisawa, Y.; Sato, T.; Hirano, Y.; Kamiyama, S.; Ogasawara, T. Nonlinear Electrical Conductivity Characteristics under High Impulse Current and Applications to Lightning Strike Damage Simulation for CFRP Laminates. Compos. Part A Appl. Sci. Manuf. 2024, 183, 108230. [Google Scholar] [CrossRef]
- Fu, K.; Ye, L.; Chang, L.; Yang, C.; Zhang, Z. Modelling of Lightning Strike Damage to CFRP Composites with an Advanced Protection System. Part I: Thermal–Electrical Transition. Compos. Struct. 2017, 165, 83–90. [Google Scholar] [CrossRef]
Disclaimer/Publisher’s Note: The statements, opinions and data contained in all publications are solely those of the individual author(s) and contributor(s) and not of MDPI and/or the editor(s). MDPI and/or the editor(s) disclaim responsibility for any injury to people or property resulting from any ideas, methods, instructions or products referred to in the content. |
© 2025 by the authors. Licensee MDPI, Basel, Switzerland. This article is an open access article distributed under the terms and conditions of the Creative Commons Attribution (CC BY) license.












