Coordinated Collision-Free Trajectory Planning for a Discrete-Serpentine Heterogeneous Dual-Arm Space Robot Based on Equivalent Kinematics
Abstract
1. Introduction
2. Mechanism and Kinematics of the Heterogeneous Space Robot
2.1. Structure Analysis of Discrete-Serpentine Heterogeneous Space Robotic System
2.2. Kinematics of the Discrete-Serpentine Heterogeneous Dual-Arm Space Robot
3. Equivalent Kinematics Model Based on Space Arc Method
3.1. Equivalent Kinematics Analysis
3.2. Kinematics Equivalence Model
3.2.1. Equivalent Kinematics Modeling for Arm-a
3.2.2. Equivalent Kinematics Modeling for Arm-b
4. Coordinated Collision-Free Trajectory Planning Based on Equivalent Kinematics
4.1. Main Steps for Generating Collision-Free Trajectory
4.2. Motion Planning of Target Satellite
4.3. Objective Function and Solution Method
| Algorithm 1 The solution method for the coordinated collision-free trajectory | |
| 1: | Set |
| 2: | Set |
| 3: | Required: Initialize and |
| 4: | Required: , , and |
| 5: | for i = 1 to Nmax do |
| 6: | Calculate the values of , , and |
| 7: | if |
| 8: | Calculate to obtain |
| 9: | Calculate to obtain |
| 10: | Update , and set , |
| 11: | Go to step 6 |
| 12: | else |
| 13: | if , then, break |
| 14: | else |
| 15: | Let and |
| 16: | end if |
| 17: | end if |
| 18: | end for |
| 19: | Output the solution result and |
4.4. Calculation of Joint Angles for Arm-a and Arm-b
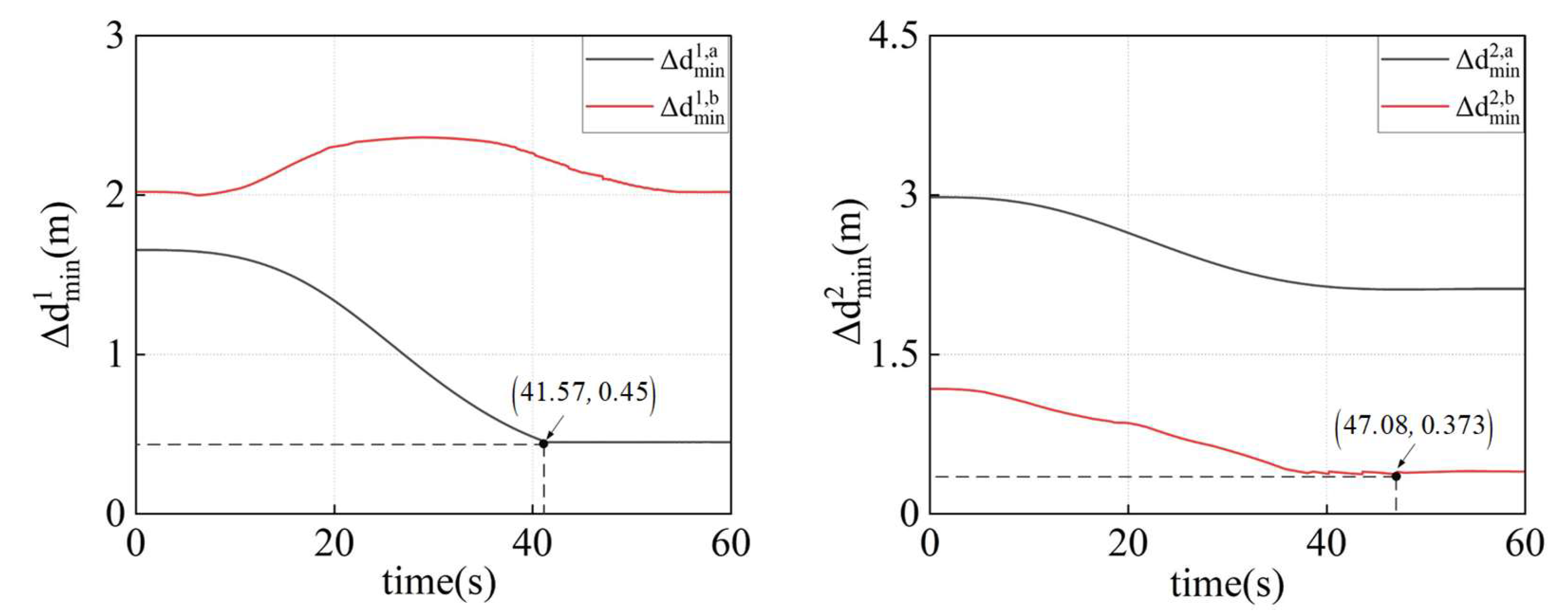
5. Simulation Study
5.1. The Parameters of Simulation Model
5.2. The Planned Trajectory of the Target Satellite
5.3. Target Satellite Transposition Simulation
6. Conclusions
Author Contributions
Funding
Data Availability Statement
Conflicts of Interest
References
- Flores-Abad, A.; Ma, O.; Pham, K.; Ulrich, S. A review of space robotics technologies for on-orbit servicing. Prog. Aeosp. Sci. 2014, 68, 1–26. [Google Scholar] [CrossRef]
- Fallahiarezoodar, N.; Zhu, Z.H. Review of autonomous space robotic manipulators for on-orbit servicing and active debris removal. Space Sci. Technol. 2025, 5, 291. [Google Scholar] [CrossRef]
- Cuadrat-Grzybowski, M.; Gill, E. Generation of secondary space debris risks from net capturing in active space debris removal missions. Aerospace 2024, 11, 236. [Google Scholar] [CrossRef]
- Tao, D.; Zhang, Q.; Chu, X.; Zhou, X.; Zhao, L. Impedance-Sliding Mode Control with Force Constraints for Space Robots Capturing Non-Cooperative Objects. IEEE Access 2021, 9, 160163–160174. [Google Scholar] [CrossRef]
- Dremann, K.; Hassan, M.; Davis, I.; Orosa, A.V.; Ninan, N.; Mahajan, A.; Gao, X.; Farhad, S. A review of advancements in inspection, manufacturing and repair, and robots for on-orbit servicing, assembly, and manufacturing (OSAM) of spacecraft. Aerospace 2025, 12, 819. [Google Scholar] [CrossRef]
- Robinson, G.; Davies, J.B.C. Continuum robots-a state of the art. In Proceedings of the IEEE International Conference on Robotics and Automation, Detroit, MI, USA, 10–15 May 1999; pp. 2849–2854. [Google Scholar]
- Kalekeyeva, M.; Konakbay, Z.; Imanbekova, M.; Shakbutova, A.; Garmash, O.; Muratbekova, G. Continuum robots: Current trends in design, control, and applications. IEEE Access 2025, 13, 106771–106792. [Google Scholar] [CrossRef]
- Kreutz-Delgado, K.; Long, M.; Seraji, H. Kinematic analysis of 7-DOF manipulators. Int. J. Robot. Res. 1992, 11, 469–481. [Google Scholar] [CrossRef]
- Kucuk, S.; Bingul, Z. The inverse kinematics solutions of industrial robot manipulators. In Proceedings of the IEEE International Conference on Mechatronics, Istanbul, Turkey, 5 June 2004; pp. 274–279. [Google Scholar]
- Qin, L.; Wei, X.; Lv, L.; Han, L.; Fang, G. An analytical solution for inverse kinematics of SSRMS-type redundant manipulators. Sensors 2023, 23, 5412. [Google Scholar] [CrossRef]
- Meng, D.; Guo, T.; Ma, Z.; Wang, R.; Wang, Z.; Li, X.; Wang, X.; Liang, B. A novel variable-diameter-stiffness cable-driven serpentine manipulator: Design, modeling, and characterization. IEEE/ASME Trans. Mechatron. 2025, 30, 4874–4885. [Google Scholar] [CrossRef]
- Dione, A.C.A.; Hasegawa, S.; Mitake, H. Stable posture control for planar hyper-redundant arms using selective control points. Adv. Robot. 2017, 31, 1338–1348. [Google Scholar] [CrossRef]
- Cetin, K.; Tatlicioglu, E.; Zergeroglu, E. An extended Jacobian-based formulation for operational space control of kinematically redundant robot manipulators with multiple subtask objectives: An adaptive control approach. J. Dyn. Syst. Meas. Control 2019, 141, 51011. [Google Scholar] [CrossRef]
- Dione, A.C.A.; Hasegawa, S. Stable posture tracking for modular spatial hyper-redundant serial arms using selective control points. Adv. Robot. 2024, 38, 14–28. [Google Scholar] [CrossRef]
- Niu, P.; Han, L.; Huang, Y.; Yan, L. Shape-controllable inverse kinematics of hyper-redundant robots based on the improved FABRIK method. Robotica 2024, 42, 225–241. [Google Scholar] [CrossRef]
- Ouyang, X.; Meng, D.; Wang, X.; Wang, C.; Liang, B.; Ding, N. Hybrid rigid-continuum dual-arm space robots: Modeling, coupling analysis, and coordinated motion planning. Aerosp. Sci. Technol. 2021, 116, 106861. [Google Scholar] [CrossRef]
- Dai, Y.; Xiang, C.; Zhang, Y.; Jiang, Y.; Qu, W.; Zhang, Q. A review of spatial robotic arm trajectory planning. Aerospace 2022, 9, 361. [Google Scholar] [CrossRef]
- Rybus, T. Obstacle avoidance in space robotics: Review of major challenges and proposed solutions. Prog. Aeosp. Sci. 2018, 101, 31–48. [Google Scholar] [CrossRef]
- Papadopoulos, E.; Poulakakis, I.; Papadimitriou, I. On path planning and obstacle avoidance for nonholonomic platforms with manipulators: A polynomial approach. Int. J. Robot. Res. 2002, 21, 367–383. [Google Scholar] [CrossRef]
- Rybus, T.; Wojtunik, M.; Basmadji, F.L. Optimal collision-free path planning of a free-floating space robot using spline-based trajectories. Acta Astronaut. 2022, 190, 395–408. [Google Scholar] [CrossRef]
- Seddaoui, A.; Saaj, C.M. Collision-free optimal trajectory generation for a space robot using genetic algorithm. Acta Astronaut. 2021, 179, 311–321. [Google Scholar] [CrossRef]
- Chen, Z.; Zhang, X.; Liu, M.; Huo, J.; Zhang, H.; Tan, L. Review of cable-driven hyper-redundant robotic arms. In Proceedings of the International Conference on Robotics, Artificial Intelligence and Intelligent Control (RAIIC), Mianyang, China, 5–7 July 2024; pp. 110–119. [Google Scholar]
- Liu, T.; Yang, T.; Xu, W.; Mylonas, G.; Liang, B. Efficient inverse kinematics and planning of a hybrid active and passive cable-driven segmented manipulator. IEEE Trans. Syst. Man Cybern. Syst. 2022, 52, 4233–4246. [Google Scholar] [CrossRef]
- Tian, Y.; Zhu, X.; Meng, D.; Wang, X.; Liang, B. An overall configuration planning method of continuum hyper-redundant manipulators based on improved artificial potential field method. IEEE Robot. Autom. Lett. 2021, 6, 4867–4874. [Google Scholar] [CrossRef]
- Zhang, X.; Liu, J.; Li, Y. An obstacle avoidance algorithm for space hyper-redundant manipulators using combination of RRT and shape control method. Robotica 2022, 40, 1036–1069. [Google Scholar] [CrossRef]
- Wang, T.; Ma, G.; Xu, L.; Yu, R. CP-QRRT*: A path planning algorithm for hyper-redundant manipulators considering joint angle constraints. Sensors 2025, 25, 1490. [Google Scholar] [CrossRef]
- Lima, J.; Pereira, A.I.; Costa, P.; Pinto, A.; Costa, P. A fast and robust kinematic model for a 12 DoF hyper-redundant robot positioning: An optimization proposal. AIP Conf. Proc. 2017, 1863, 270007. [Google Scholar]
- Chen, L.; Ma, Y.; Zhang, Y.; Liu, J. Obstacle avoidance and multitarget tracking of a super redundant modular manipulator based on bezier curve and particle swarm optimization. Chin. J. Mech. Eng. 2020, 33, 71. [Google Scholar] [CrossRef]
- Martín, A.; Barrientos, A.; Del Cerro, J. The natural-CCD algorithm, a novel method to solve the inverse kinematics of hyper-redundant and soft robots. Soft Robot. 2018, 5, 242–257. [Google Scholar] [CrossRef]
- Hu, Z.; Xu, W.; Yang, T.; Yuan, H.; Zou, H. A coordination planning method of the hybrid two-arm space robot for on-orbit servicing. In Proceedings of the Intelligent Robotics and Applications, Yantai, China, 22–25 October 2021; pp. 485–497. [Google Scholar]
- Hu, Z.; Yuan, H.; Xu, W.; Yang, T.; Liang, B. Equivalent kinematics and pose-configuration planning of segmented hyper-redundant space manipulators. Acta Astronaut. 2021, 185, 102–116. [Google Scholar] [CrossRef]
















| Case | Xf | S or F |
|---|---|---|
| 1 | [−3.8117, 2.8220, −2.0436, −126.94, −3.66, −98.99] | S |
| 2 | [−3.8356, 2.8412, −2.0232, −124.64, −1.61, −101.65] | S |
| 3 | [−3.8757, 2.8816, −1.9837, −126.95, −3.64, −100.62] | S |
| 4 | [−3.8957, 2.9012, −1.9640, −123.16, −6.66, −95.95] | S |
| 5 | [−3.9160, 2.9212, −1.9437, −127.81, −7.90, −95.65] | S |
Disclaimer/Publisher’s Note: The statements, opinions and data contained in all publications are solely those of the individual author(s) and contributor(s) and not of MDPI and/or the editor(s). MDPI and/or the editor(s) disclaim responsibility for any injury to people or property resulting from any ideas, methods, instructions or products referred to in the content. |
© 2025 by the authors. Licensee MDPI, Basel, Switzerland. This article is an open access article distributed under the terms and conditions of the Creative Commons Attribution (CC BY) license.
Share and Cite
Hu, Z.; Pu, Z.; Xu, W.; Li, W.; Meng, D. Coordinated Collision-Free Trajectory Planning for a Discrete-Serpentine Heterogeneous Dual-Arm Space Robot Based on Equivalent Kinematics. Aerospace 2026, 13, 34. https://doi.org/10.3390/aerospace13010034
Hu Z, Pu Z, Xu W, Li W, Meng D. Coordinated Collision-Free Trajectory Planning for a Discrete-Serpentine Heterogeneous Dual-Arm Space Robot Based on Equivalent Kinematics. Aerospace. 2026; 13(1):34. https://doi.org/10.3390/aerospace13010034
Chicago/Turabian StyleHu, Zhonghua, Zhonghan Pu, Wenfu Xu, Wenshuo Li, and Deshan Meng. 2026. "Coordinated Collision-Free Trajectory Planning for a Discrete-Serpentine Heterogeneous Dual-Arm Space Robot Based on Equivalent Kinematics" Aerospace 13, no. 1: 34. https://doi.org/10.3390/aerospace13010034
APA StyleHu, Z., Pu, Z., Xu, W., Li, W., & Meng, D. (2026). Coordinated Collision-Free Trajectory Planning for a Discrete-Serpentine Heterogeneous Dual-Arm Space Robot Based on Equivalent Kinematics. Aerospace, 13(1), 34. https://doi.org/10.3390/aerospace13010034

