Integral Sliding Mode Control-Based Anti-Disturbance Controller for Unmanned Aerial Manipulators
Abstract
1. Introduction
2. UAM Dynamics
3. ISMC-Based Cooperative Control Method
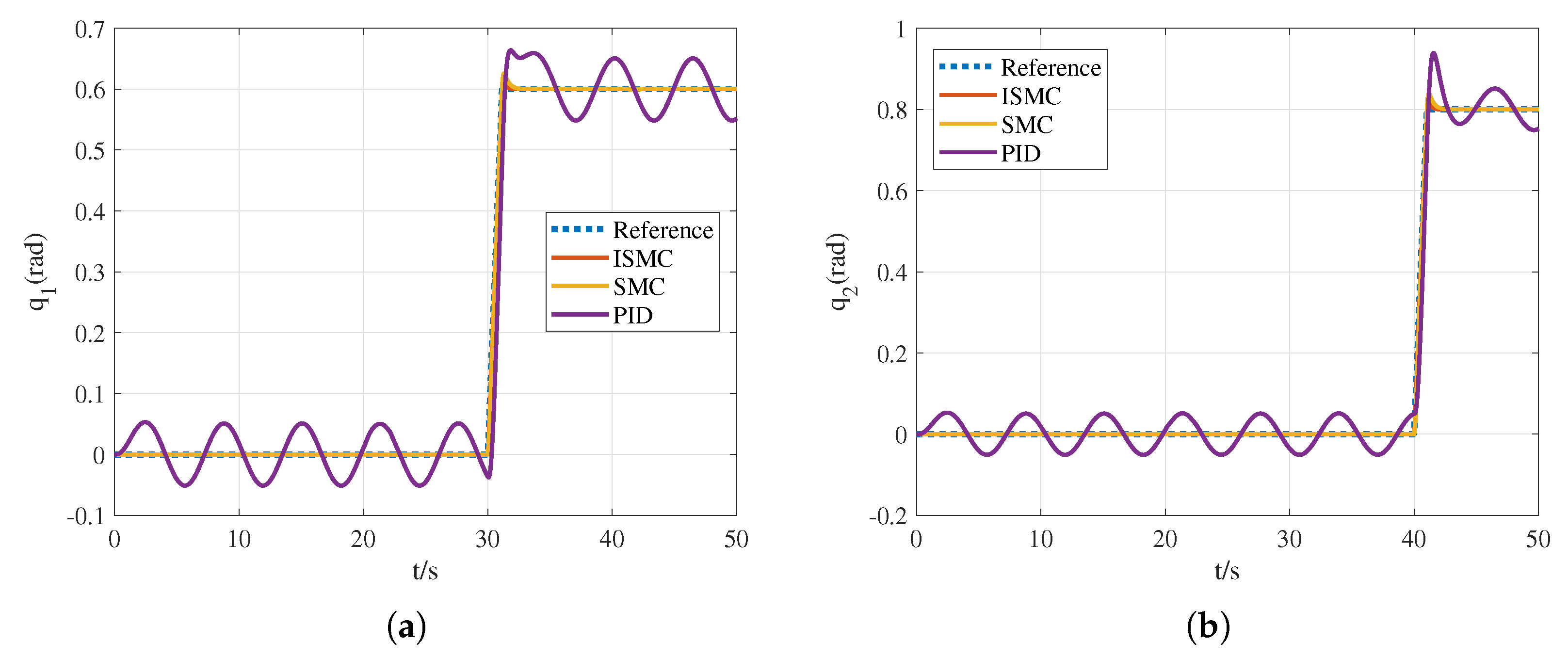
4. Numerical Simulations
4.1. Case 1: Without Disturbances
4.2. Case 2: External Disturbance
5. Discussion
- Actuator saturation. In practical UAM systems, the limited torque and thrust output of motors may lead to actuator saturation, especially under high external disturbances or aggressive maneuvers. This saturation can degrade tracking accuracy or even destabilize the system. We suggest incorporating anti-windup strategies and torque allocation optimization in future implementations.
- Sensor noise. Position, velocity, and attitude measurements are inevitably affected by sensor noise (e.g., IMU drift and encoder quantization). This noise can cause chattering in sliding mode control. Practical mitigation methods include low-pass filtering, adaptive smoothing, and employing disturbance observers with noise-attenuation capabilities.
- Real-time computations. Implementing ISMC on embedded processors requires ensuring that control computations are completed within the sampling time, especially when including dynamic compensation terms. Efficient code optimization and fixed-point arithmetic can be used to address this.
6. Conclusions
Author Contributions
Funding
Data Availability Statement
Conflicts of Interest
References
- Yang, S.; Xian, B. Energy-based nonlinear adaptive control design for the quadrotor UAV system with a suspended payload. IEEE Trans. Ind. Electron. 2020, 67, 2054–2064. [Google Scholar] [CrossRef]
- Xia, K.; Shin, M.; Chung, W.; Kim, M.; Lee, S.; Son, H. Landing a quadrotor UAV on a moving platform with sway motion using robust control. Control Eng. Pract. 2022, 128, 105288. [Google Scholar] [CrossRef]
- Stephens, B.; Nguyen, H.N.; Hamaza, S.; Kovac, M. An integrated framework for autonomous sensor placement with aerial robots. IEEE-ASME Trans. Mechatronics 2022, 28, 38–49. [Google Scholar] [CrossRef]
- Ollero, A.; Heredia, G.; Franchi, A.; Antonelli, G.; Kondak, K.; Sanfeliu, A.; Viguria, A.; Dios, J.R.M.-D.; Pierri, F.; Cortés, J.; et al. The aeroarms project: Aerial robots with advanced manipulation capabilities for inspection and maintenance. IEEE Robot. Autom. Mag. 2018, 25, 12–23. [Google Scholar] [CrossRef]
- Ding, C.; Lu, L. A tilting-rotor unmanned aerial vehicle for enhanced aerial locomotion and manipulation capabilities: Design, control, and applications. IEEE-ASME Trans. Mechatronics 2020, 26, 2237–2248. [Google Scholar] [CrossRef]
- Meng, X.; He, Y.; Gu, F.; Yang, L.; Dai, B.; Liu, Z.; Han, J. Design and implementation of rotor aerial manipulator system. In Proceedings of the IEEE International Conference on Robotics and Biomimetics, Qingdao, China, 3 December 2016. [Google Scholar]
- Clark, A.B.; Baron, N.; Orr, L.; Kovac, M.; Rojas, N. On a balanced delta robot for precise aerial manipulation: Implementation, testing, and lessons for future designs. In Proceedings of the IEEE International Conference on Intelligent Robots and Systems, Kyoto, Japan, 23 October 2022. [Google Scholar]
- Bodie, K.; Tognon, M.; Siegwart, R. Dynamic end effector tracking with an omnidirectional parallel aerial manipulator. IEEE Robot. Autom. Lett. 2021, 6, 8165–8172. [Google Scholar] [CrossRef]
- Gao, H.; Li, Z.; Yu, X.; Qiu, J. Hierarchical multiobjective heuristic for PCB assembly optimization in a beam-head surface mounter. IEEE Trans. Cybern. 2021, 52, 6911–6924. [Google Scholar] [CrossRef]
- Cao, H.; Li, Y.; Liu, C.; Zhao, S. ESO-based robust and high-precision tracking control for aerial manipulation. IEEE Trans. Autom. Sci. Eng. 2023, 21, 2139–2155. [Google Scholar] [CrossRef]
- Lin, J.; Miao, Z.; Zhong, H.; Peng, W.; Wang, Y.; Fierro, R. Adaptive image-based leader–follower formation control of mobile robots with visibility constraints. IEEE Trans. Ind. Electron. 2020, 68, 6010–6019. [Google Scholar] [CrossRef]
- Liu, Y.C.; Dao, P.N.; Zhao, K.Y. On robust control of nonlinear teleoperators under dynamic uncertainties with variable time delays and without relative velocity. IEEE Trans. Ind. Inform. 2019, 16, 1272–1280. [Google Scholar] [CrossRef]
- Qi, G.; Li, X.; Chen, Z. Problems of extended state observer and proposal of compensation function observer for unknown model and application in UAV. IEEE Trans. Syst. Man Cybern. Syst. 2022, 52, 2899–2910. [Google Scholar] [CrossRef]
- Lopez-Lora, A.; Sanchez-Cuevas, P.; Suárez, A.; Garofano-Soldado, A.; Ollero, A.; Heredia, G. MHYRO: Modular HYbrid RObot for contact inspection and maintenance in oil & gas plants. In Proceedings of the International Conference on Intelligent Robots and Systems, Las Vegas, NV, USA, 24 October 2020. [Google Scholar]
- Garimella, G.; Sheckells, M.; Kim, S.; Baraban, G.; Kobilarov, M. Improving the reliability of pick-and-place with aerial vehicles through fault-tolerant software and a custom magnetic end-effector. IEEE Robot. Autom. Lett. 2021, 6, 7501–7508. [Google Scholar] [CrossRef]
- Yigit, A.; Perozo, M.; Cuvillon, L.; Durand, S.; Gangloff, J. Novel omnidirectional aerial manipulator with elastic suspension: Dynamic control and experimental performance assessment. IEEE Robot. Autom. Lett. 2021, 6, 3612–3619. [Google Scholar] [CrossRef]
- Watson, R.; Kamel, M.; Zhang, D.; Dobie, G.; MacLeod, C.; Pierce, S.G.; Nieto, J. Dry coupled ultrasonic non-destructive evaluation using an over-actuated unmanned aerial vehicle. IEEE Trans. Autom. Sci. Eng. 2021, 19, 612–619. [Google Scholar] [CrossRef]
- Liu, C.; Zhang, G.; Xiong, A. Review of researches on aerial manipulator. Chin. High Technol. Lett. 2020, 30, 612–619. [Google Scholar]
- Sun, Y.; Jing, Z.; Dong, P.; Huang, J.; Chen, W.; Leung, H. A switchable unmanned aerial manipulator system for window-cleaning robot installation. IEEE Robot. Autom. Lett. 2021, 6, 3483–3490. [Google Scholar] [CrossRef]
- Yigit, A.; Perozo, M.; Cuvillon, L.; Durand, S.; Gangloff, J. Improving dynamics of an aerial manipulator with elastic suspension using nonlinear model predictive control. In Proceedings of the IEEE International Conference on Robotics and Automation, Xi’an, China, 30 May 2021. [Google Scholar]
- Meng, X.; He, Y.; Han, J. Survey on aerial manipulator: System, modeling, and control. Robotica 2020, 38, 1288–1317. [Google Scholar] [CrossRef]
- Ma, Z.; Sheng, X.; Dong, W. Robust Flight Control of an Aerial Manipulator. Mach. Des. Res. 2020, 36, 6–11. [Google Scholar]
- Ollero, A.; Tognon, M.; Suarez, A.; Lee, D.; Franchi, A. Past, present, and future of aerial robotic manipulators. IEEE Trans. Robot. 2021, 38, 626–645. [Google Scholar] [CrossRef]
- Meng, X. Modeling and Control of Aerial Manipulators in Contact Operation. Ph.D. Thesis, Shenyang Institute of Automation, Shenyang, China, 2019. [Google Scholar]
- Mo, R.; Cai, H.; Dai, S.L. Unit Quaternion Based Attitude Control of An Aerial Manipulator. In Proceedings of the International Federation of Automatic Control, Chengdu, China, 25 September 2019. [Google Scholar]
- Johansen, T.A.; Andersen, T.S.; Kristiansen, R. PD+ based trajectory tracking of the underactuated quadrotor platform using dual quaternions. In Proceedings of the American Control Conference, Philadelphia, PA, USA, 10 July 2019. [Google Scholar]
- Mimmo, N.; Macchelli, A.; Naldi, R.; Marconi, L. Robust motion control of aerial manipulators. Annu. Rev. Control 2020, 49, 230–238. [Google Scholar] [CrossRef]
- Caccavale, F.; Giglio, G.; Muscio, G.; Pierri, F. Adaptive control for UAVs equipped with a robotic arm. In Proceedings of the International Federation of Automatic Control, Cape Town, South Africa, 24 August 2014. [Google Scholar]
- Ruggiero, F.; Trujillo, M.A.; Cano, R.; Ascorbe, H.; Viguria, A.; Perez, C.; Lippiello, V.; Ollero, A.; Siciliano, B. A multilayer control for multirotor UAVs equipped with a servo robot arm. In Proceedings of the IEEE International Conference on Robotics and Automation, Seattle, WA, USA, 26 May 2015. [Google Scholar]
- Kim, M.; Kondak, K.; Ott, C. A stabilizing controller for regulation of uav with manipulator. IEEE Robot. Autom. Lett. 2018, 3, 1719–1726. [Google Scholar] [CrossRef]
- Lee, H.; Kim, H.J. Estimation, control, and planning for autonomous aerial transportation. IEEE Trans. Ind. Electron. 2016, 64, 3369–3379. [Google Scholar] [CrossRef]
- Kim, S.; Choi, S.; Kim, H.; Shin, J.; Shim, H.; Kim, H.J. Robust control of an equipment-added multirotor using disturbance observer. IEEE Trans. Control Syst. Technol. 2017, 26, 1524–1531. [Google Scholar] [CrossRef]
- Brunner, M.; Rizzi, G.; Studiger, M.; Siegwart, R.; Tognon, M. A planning-and-control framework for aerial manipulation of articulated objects. IEEE Robot. Autom. Lett. 2022, 7, 10689–10696. [Google Scholar] [CrossRef]
- Miao, Z.; Zhong, H.; Lin, J.; Wang, Y.; Chen, Y.; Fierro, R. Vision-based formation control of mobile robots with FOV constraints and unknown feature depth. IEEE Trans. Control Syst. Technol. 2020, 29, 2231–2238. [Google Scholar] [CrossRef]
- Chang, Z.; Luo, Y.; Shao, Y.; Chu, H.; Wu, B.; Huang, M.; Rao, Y. Fuzzy sliding mode control for rotorcraft aerial manipulator with extended state observer. In Proceedings of the 2020 Chinese Automation Congress (CAC), Shanghai, China, 6–8 November 2020; pp. 1710–1714. [Google Scholar]
- Li, Z.; Xiu, B.; Li, Z.; Yu, X.; Rodríguez-Andina, J.J. Nonlinear characteristic model-based discrete-time sliding mode control for the hovering flight of an aerial manipulator. IEEE Trans. Ind. Electron. 2025; early access. [Google Scholar] [CrossRef]
- Chen, Y.; Liang, J.; Wu, Y.; Miao, Z.; Zhang, H.; Wang, Y. Adaptive sliding-mode disturbance observer-based finite-time control for unmanned aerial manipulator with prescribed performance. IEEE Trans. Cybern. 2023, 53, 3263–3276. [Google Scholar] [CrossRef]
- D’Angelo, S.; Selvaggio, M.; Lippiello, V.; Ruggiero, F. Semi-autonomous unmanned aerial manipulator teleoperation for push-and-slide inspection using parallel force/vision control. Robot. Auton. Syst. 2025, 186, 104912. [Google Scholar] [CrossRef]
- Yu, S.; Guo, Y.; Wang, Z.; Hao, Z. Rapid robust trajectory tracking control for oscillatory-base manipulators via enhanced terminal sliding mode and scleronomic Lagrangian mechanics-informed neural networks. Appl. Ocean Res. 2025, 162, 104705. [Google Scholar] [CrossRef]
- Kumar, S.; Dwivedy, S. Neuro compensated sliding mode control with nonlinear surfaces for pipe crack sealing manipulator. Robot. Auton. Syst. 2025, 190, 104997. [Google Scholar] [CrossRef]
- Dou, B.; Yue, X. Disturbance observer-based fractional-order sliding mode control for free-floating space manipulator with disturbance. Aerosp. Sci. Technol. 2025, 132, 108061. [Google Scholar] [CrossRef]











| Parameter | Value | Unit | Parameter | Value | Unit |
|---|---|---|---|---|---|
| m | 1.500 | kg | 0.1300 | m | |
| 0.180 | kg | 0.0031 | |||
| 0.050 | kg | 0.0027 | |||
| d | 0.275 | m | 0.0024 | ||
| c | 0.073 | m | 0.0024 | ||
| b | 0.032 | m | 0.0459 |
| Index | ISMC | SMC | PID | Unit |
|---|---|---|---|---|
| Max position tracking error | 0.01 | 0.03 | 0.18 | m |
| Max joint angular tracking error | 0.01 | 0.03 | 0.10 | rad |
| Settling time to +2% band | 1.00 | 5.00 | 7.00 | s |
| Overshoot | 1.00 | 3.00 | 14.00 | % |
| Steady-state position error | 0.00 | 0.00 | 0.00 | m |
| Steady-state joint angular error | 0.00 | 0.00 | 0.00 | rad |
| Index | ISMC | SMC | PID | Unit |
|---|---|---|---|---|
| Max position tracking error | 0.01 | 0.03 | 0.32 | m |
| Max joint angular tracking error | 0.01 | 0.03 | 0.15 | rad |
| Settling time to +2% band | 1.00 | 5.00 | 7.00 | s |
| Overshoot | 1.00 | 3.00 | 23.50 | % |
| Steady-state position error | 0.01 | 0.05 | 0.12 | m |
| Steady-state joint angular error | 0.01 | 0.03 | 0.05 | rad |
Disclaimer/Publisher’s Note: The statements, opinions and data contained in all publications are solely those of the individual author(s) and contributor(s) and not of MDPI and/or the editor(s). MDPI and/or the editor(s) disclaim responsibility for any injury to people or property resulting from any ideas, methods, instructions or products referred to in the content. |
© 2025 by the authors. Licensee MDPI, Basel, Switzerland. This article is an open access article distributed under the terms and conditions of the Creative Commons Attribution (CC BY) license (https://creativecommons.org/licenses/by/4.0/).
Share and Cite
Zhao, S.; Wang, C.; Gutierrez–Giles, A.; Zhang, F.; Zhang, W. Integral Sliding Mode Control-Based Anti-Disturbance Controller for Unmanned Aerial Manipulators. Aerospace 2025, 12, 764. https://doi.org/10.3390/aerospace12090764
Zhao S, Wang C, Gutierrez–Giles A, Zhang F, Zhang W. Integral Sliding Mode Control-Based Anti-Disturbance Controller for Unmanned Aerial Manipulators. Aerospace. 2025; 12(9):764. https://doi.org/10.3390/aerospace12090764
Chicago/Turabian StyleZhao, Suping, Chenghang Wang, Alejandro Gutierrez–Giles, Feng Zhang, and Wenhao Zhang. 2025. "Integral Sliding Mode Control-Based Anti-Disturbance Controller for Unmanned Aerial Manipulators" Aerospace 12, no. 9: 764. https://doi.org/10.3390/aerospace12090764
APA StyleZhao, S., Wang, C., Gutierrez–Giles, A., Zhang, F., & Zhang, W. (2025). Integral Sliding Mode Control-Based Anti-Disturbance Controller for Unmanned Aerial Manipulators. Aerospace, 12(9), 764. https://doi.org/10.3390/aerospace12090764

