A Novel Curve-and-Surface Fitting-Based Extrapolation Method for Sub-Idle Component Characteristics of Aeroengines
Abstract
1. Introduction
- (1)
- Proportional Coefficient Method
- (2)
- Stage Stacking Method
- (3)
- Zero-Speed Line Interpolation Method
- (4)
- Backbone Feature Method
- (5)
- β Extrapolation Method
- (1)
- Insufficient utilization of available data. For example: the Proportional Coefficient Method only uses one or two component characteristic lines above idle.
- (2)
- Dependence on specific prior conditions, without which implementation is impossible. For instance: the Stage-Stacking Method relies on detailed compressor design parameters, which are often inaccessible to general researchers; the Zero-Speed Line Interpolation Method requires accurate zero-speed component characteristics, obtainable only through locked-rotor tests or CFD simulations; the Backbone Feature Method needs enthalpy change characteristics above idle, which are usually not included in general component maps [32].
- (3)
- Difficulty in reflecting special operating conditions of components. For example, unmodified Proportional Coefficient Method fails to capture compressor stirring/turbine modes or turbine stirring/compressor modes in its extrapolated results; the Backbone Feature Method cannot directly extrapolate component characteristics to zero speed, the Stage-Stacking Method is applicable only to compressors, not turbines.
- (1)
- Considering the continuous and smooth nature of aero-engine component characteristics, we creatively perform curve and surface fitting on above-idle performance data. The sub-idle characteristics are then extrapolated from these fitting results. This approach not only ensures full utilization of limited above-idle data but also makes the extrapolation process straightforward to implement.
- (2)
- When above-idle corrected specific enthalpy change data are unavailable, we define a Specific Enthalpy Change Coefficient (SECC) that is approximately proportional to corrected specific enthalpy change and can be calculated from isentropic efficiency and pressure/expansion ratios. By transforming the extrapolation of isentropic efficiency into SECC extrapolation, we overcome the discontinuity limitation while maintaining method applicability, ultimately achieving comprehensive representation of unique operating modes in the extrapolation results.
- (3)
- We apply constraints during the fitting process, including strict physical constraints to ensure result validity, as well as component-specific constraints designed according to characteristic behavior. These constraints guarantee both the smoothness of extrapolated results and the flexibility of the extrapolation method.
2. Methodology
2.1. General Expression of Aircraft Engine Component Characteristics
- (1)
- Bench testing was conducted at ambient conditions (approximately 30 °C, 101,325 Pa) to acquire test data at 10 steady-state operating points from idle to maximum thrust.
- (2)
- Using optimization algorithms, we calculated the working parameters of both the compressor and turbine at each steady-state point, including corrected mass flow, pressure ratio/expansion ratio, isentropic efficiency and inlet total temperature (only for turbine).
- (3)
- Based on the engine configuration (featuring a single-stage centrifugal compressor and single-stage axial-flow turbine), we selected corresponding generic characteristics from the GasTurb software database. These generic characteristics were then adjusted according to the calculated results to ensure the component-level mathematical model outputs matched the test data with acceptable agreement.
2.2. Analysis of the Operating Modes of Aeroengine Compressors and Turbines
- (1)
- Compressor Mode
- (2)
- Turbine Mode
- (3)
- Stirring Mode
- (1)
- Turbine Mode
- (2)
- Compressor Mode
- (3)
- Stirring Mode
2.3. Extrapolation Method for Component Characteristics Below Idle Based on Curve and Surface Fitting
2.3.1. Compressor Component Characteristics Extrapolation Method
- The maximum pressure ratio must be constrained to unity (PR ≤ 1), as no compression occurs under static conditions.
- For airflow to pass through the rotor, the minimum pressure ratio should be bounded within (0, 1), ensuring the outlet total pressure remains lower than the inlet value.
- (1)
- With a pressure ratio of 1, airflow cannot pass through the rotor, requiring the minimum corrected mass flow rate to be constrained to zero.
- (2)
- With pressure ratios below 1, airflow can traverse the rotor, necessitating the maximum corrected mass flow rate to exceed zero.
2.3.2. Turbine Component Characteristics Extrapolation Method
- (1)
- The minimum expansion ratio should be constrained to unity.
- (2)
- The maximum expansion ratio must exceed unity.
- (1)
- The minimum corrected mass flow rate should be constrained to zero.
- (2)
- The maximum corrected mass flow rate must remain positive.
3. Results and Simulation Verification
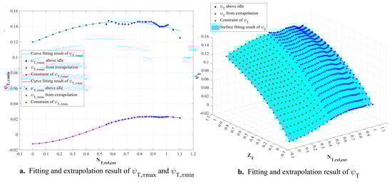
3.1. Component Characteristic Extrapolation Results and Discussion
3.2. Preparation Before Simulation Validation
- (1)
- Starter Motor-Driven Acceleration Phase
- (2)
- Starter Motor and Turbine-Driven Acceleration Phase
- (3)
- Turbine-Driven Acceleration Phase
3.3. Simulation Results and Discussion
- At the start of the process, the starter motor torque rapidly rises to its maximum value, and the rotor begins to accelerate.
- The ignition fuel valve opens between 6 and 7 s, causing a slight increase in fuel flow at that time.
- Both the ignition and main fuel valve openings occur between 8 and 11 s. During ignition, the turbine outlet total temperature rises quickly, enhancing turbine power output. The compressor, driven by the turbine, increases its capacity to compress the air, causing the compressor outlet total pressure to rise quickly. The temperature and pressure rise rate then significantly slows down until the main fuel valve opens, and fuel flow increases linearly, leading to rapid increases in temperature and pressure, with the rotor continuing to accelerate.
- The starter motor disengages between 11 and 13 s, with rotor speed and thrust continuing to increase after slight fluctuations.
- The start process ends between 14 and 16 s when the control algorithm switches from open-loop control to closed-loop control for above-idle operations. Rotor speed fluctuates under different inlet conditions, which is due to the fact that the closed-loop control for above-idle operations is based on a PI controller, and the control parameters were tuned under standard atmospheric conditions with Altitude 0m. The further the inlet conditions deviate from these reference conditions, the worse the control performance.
4. Conclusions
- (1)
- The proposed method successfully achieves extrapolation using only limited above-idle data (corrected mass flow, pressure/expansion ratios, and isentropic efficiency), whereas conventional methods fail due to either insufficient data (Stage-Stacking Method, Zero-Speed Interpolation Method, Backbone Method) or reliance on proprietary software (β-Extrapolation). Even applicable methods (Proportional Coefficient Method) underutilize available data, highlighting this method’s superior applicability.
- (2)
- (3)
- When applied to the engine’s component-level model (Section 3.3), the extrapolated data enabled successful ground-start simulations under varying inlet conditions, confirming their validity and practicality.
5. Patents
Author Contributions
Funding
Data Availability Statement
Acknowledgments
Conflicts of Interest
Abbreviations
| PCHPI | Piecewise Cubic Hermite Polynomial Interpolation |
| SECC | Specific Enthalpy Change Coefficient |
| TPS | Thin-Plate Spline |
Nomenclature
| Symbols | Definitions |
| adaption factor | |
| curve | |
| specific heat capacity at constant pressure | |
| enthalpy | |
| enthalpy change | |
| specific enthalpy | |
| specific enthalpy change | |
| mass flow rate | |
| rotating speed of aeroengine spool | |
| pressure | |
| surface | |
| temperature | |
| compressor pressure ratio coefficient | |
| turbine expansion ratio coefficient | |
| An intermediate parameter for component characteristics (utilized in GasTurb) | |
| specific heat ratio | |
| efficiency | |
| compressor pressure ratio | |
| turbine expansion ratio | |
| specific enthalpy change coefficient | |
| Subscripts | Definitions |
| compressor | |
| : corrected mass flow rate) | |
| design point parameters | |
| component inlet parameters | |
| : isentropic efficiency) | |
| maximum parameter value at a specific relative corrected speed | |
| : mechanical speed) | |
| minimum parameter value at a specific relative corrected speed | |
| parameters after correction | |
| parameters before correction | |
| component outlet parameters | |
| : relative corrected speed) | |
| sea-level static parameters under standard atmospheric conditions | |
| turbine | |
| : total temperature) | |
| Superscripts | Definitions |
| approximate value of parameters | |
| average value of parameters |
References
- Jones, G.; Pilidis, P.; Curnock, B. Extrapolation of Compressor Characteristics to the Low-Speed Region for Sub-Idle Performance Modelling. In Proceedings of the ASME Turbo Expo 2002: Power for Land, Sea, and Air, Amsterdam, The Netherlands, 3–6 June 2002; Volume 2: Turbo Expo 2002, Parts A and B, pp. 861–867. [Google Scholar]
- Kurzke, J. How to Create a Performance Model of a Gas Turbine from a Limited Amount of Information. In Proceedings of the ASME Turbo Expo 2005: Power for Land, Sea, and Air, Reno, NV, USA, 6–9 June 2005; Volume 1: Turbo Expo 2005, pp. 145–153. [Google Scholar]
- Shi, Y. A Research on Full States Performance Model for Civil High Bypass Turbofan Engine. Ph.D. Thesis, Northwestern Polytechnical University, Xi’an, China, 2017. [Google Scholar]
- Agrawal, R.K.; Yunis, M.A. A generalized mathematical model to estimate gas turbine starting characteristics. J. Eng. Power 1982, 104, 194–201. [Google Scholar] [CrossRef]
- Sexton, W.R. A Method to Control Turbofan Engine Starting by Varying Compressor Surge Valve Bleed. Master’s Thesis, Virginia Polytechnic Institute and State University, Blacksburg, VA, USA, 2001. [Google Scholar]
- Gaudet, S.R.; Gauthier, J.E.D. A Simple Sub-Idle Component Map Extrapolation Method. In Proceedings of the ASME Turbo Expo 2007: Power for Land, Sea, and Air, Montreal, QC, Canada, 14–17 May 2007; Volume 1: Turbo Expo 2007, pp. 29–37. [Google Scholar]
- Zhou, W.X. Research on Object-Oriented Modeling and Simulation for Aeroengine and Control System. Ph.D. Thesis, Nanjing University of Aeronautics and Astronautics, Nanjing, China, 2006. [Google Scholar]
- Rao, G.; Su, S.M.; Zhai, X.B. Method of compressor characteristic extension combining exponent extrapolation method with support vector machine. J. Aerosp. Power 2017, 32, 749–755. [Google Scholar] [CrossRef]
- Hao, W.; Wang, Z.X.; Zhang, X.B.; Zhou, L.; Wang, J.K. Ground starting modeling and control law design method of variable cycle engine. J. Aerosp. Power 2022, 37, 152–164. [Google Scholar] [CrossRef]
- Hao, W.; Wang, Z.X.; Zhang, X.B.; Zhou, L.; Wang, W.L. Modeling and simulation study of variable cycle engine windmill starting. J. Propuls. Technol. 2022, 43, 44–54. [Google Scholar] [CrossRef]
- NASA. Aerodynamic Design of Axial Flow Compressors. Available online: https://ntrs.nasa.gov/api/citations/19650013744/downloads/19650013744.pdf (accessed on 30 November 2024).
- De-You, Y. Modelling the Axial-Flow Compressors for Calculating Starting of Turbojet Engines. In Proceedings of the ASME 1985 Beijing International Gas Turbine Symposium and Exposition, Beijing, China, 1–7 September 1985; Volume 1: Aircraft Engine; Turbomachinery, p. V001T02A038. [Google Scholar]
- Ju, X.X.; Zhang, H.B.; Chen, H.Y. A research on start-up modeling for turbo shaft engines. J. Propuls. Technol. 2017, 38, 1386–1394. [Google Scholar] [CrossRef]
- Steinke, R.J. A Computer Code for Predicting Multistage Axial-Flow Compressor Performance by a Meanline Stage-Stacking Method. 2020. Available online: https://ntrs.nasa.gov/api/citations/19820017374/downloads/19820017374.pdf (accessed on 30 November 2024).
- Zachos, P.K.; Aslanidou, I.; Pachidis, V.; Singh, R. A Sub-Idle Compressor Characteristic Generation Method With Enhanced Physical Background. J. Eng. Gas Turbines Power 2011, 133, 081702. [Google Scholar] [CrossRef]
- Zachos, P.K. Gas Turbine Sub-Idle Performance Modelling: Altitude Relight and Windmilling. Ph.D. Thesis, Cranfield University, Cranfield, UK, 2010. [Google Scholar]
- Zheng, J.; Chang, J.; Ma, J.; Yu, D. Modeling and Analysis of Windmilling Operation during Mode Transition of a Turbine-Based-Combined Cycle Engine. Aerosp. Sci. Technol. 2021, 109, 106423. [Google Scholar] [CrossRef]
- Ferrer-Vidal, L.E.; Iglesias-Pérez, A.; Pachidis, V. Characterization of Axial Compressor Performance at Locked Rotor and Torque-Free Windmill Conditions. Aerosp. Sci. Technol. 2020, 101, 105846. [Google Scholar] [CrossRef]
- NASA. Extended Parametric Representaion of Compressor Fans and Turbines Volume I—CMGEN User’s Manual. Available online: https://ntrs.nasa.gov/api/citations/19860014465/downloads/19860014465.pdf (accessed on 30 November 2024).
- NASA. Extended Parametric Representaion of Compressor Fans and Turbines Volume II—PART User’s Manual. Available online: https://ntrs.nasa.gov/api/citations/19860014466/downloads/19860014466.pdf (accessed on 30 November 2024).
- NASA. Extended Parametric Representaion of Compressor Fans and Turbines Volume III—MODFAN User’s Manual. Available online: https://ntrs.nasa.gov/api/citations/19860014467/downloads/19860014467.pdf (accessed on 30 November 2024).
- Shi, Y.; Tu, Q.Y.; Yan, H.M.; Jiang, P.; Cai, Y.H. A full states performance model for aeroengine. J. Aerosp. Power 2017, 32, 373–381. [Google Scholar] [CrossRef]
- Wang, J.M.; Guo, Y.Q.; Yu, H.F. Extension method of engine low speed characteristics based on backbone features. J. Beijing Univ. Aeronaut. Astronaut. 2023, 49, 2351–2360. [Google Scholar] [CrossRef]
- Fang, J.; Zhang, T.; Cen, Z.; Tsoutsanis, E. Multi-Electric Aero Engine Control and Hardware-in-the-Loop Verification with Starter Generator Coordination. Aerospace 2024, 11, 271. [Google Scholar] [CrossRef]
- Kurzke, J. SmoothC9: Preparing Compressor Maps for Gas Turbine Performance Modeling. User’s Manual. Available online: https://www.gasturb.com (accessed on 30 November 2024).
- Kurzke, J. SmoothT9: Preparing Turbine Maps for Gas Turbine Performance Modeling. User’s Manual. Available online: https://www.gasturb.com (accessed on 30 November 2024).
- Kurzke, J. Correlations Hidden in Compressor Maps. In Proceedings of the ASME 2011 Turbo Expo: Turbine Technical Conference and Exposition, Vancouver, BC, Canada, 6–10 June 2011; Volume 1: Aircraft Engine; Ceramics; Coal, Biomass and Alternative Fuels; Wind Turbine Technology, pp. 161–170. [Google Scholar]
- Kurzke, J. Generating Compressor Maps to Simulate Starting and Windmilling; International Society for Air Breathing Engines: Indianapolis, IN, USA, 2019; p. 2499. [Google Scholar]
- Joachim, K. Turbine Map Extension—Theoretical Considerations and Practical Advice. J. Glob. Power Propuls. Soc. 2020, 4, 176–189. [Google Scholar] [CrossRef]
- Joachim, K. Starting and Windmilling Simulations Using Compressor and Turbine Maps. J. Glob. Power Propuls. Soc. 2023, 7, 58–70. [Google Scholar] [CrossRef]
- Kurzke, J. An enhanced compressor map extension method suited for spool speeds down to 1%. J. Glob. Power Propuls. Soc. 2024, 8, 215–226. [Google Scholar] [CrossRef]
- Kurzke, J. GasTurb14: A Program to Calculate Design and Off-Design Performance of Gas Turbines. User’s Manual. Available online: https://www.gasturb.com (accessed on 30 November 2024).
- Kurzke, J. How to Get Component Maps for Aircraft Gas Turbine Performance Calculations. In Proceedings of the ASME 1996 International Gas Turbine and Aeroengine Congress and Exhibition, Birmingham, UK, 10–13 June 1996; Volume 5: Manufacturing Materials and Metallurgy; Ceramics; Structures and Dynamics; Controls, Diagnostics and Instrumentation; Education; General, p. V005T16A001. [Google Scholar]
- Braig, W.; Schulte, H.; Riegler, C. Comparative Analysis of the Windmilling Performance of Turbojet and Turbofan Engines. J. Propuls. Power 1999, 15, 326–333. [Google Scholar] [CrossRef]
- Binder, N.; Courty-Audren, S.-K.; Duplaa, S.; Dufour, G.; Carbonneau, X. Theoretical analysis of the aerodynamics of low-speed fans in free and load-controlled windmilling operation. J. Turbomach. 2015, 137, 101001. [Google Scholar] [CrossRef]
- NASA. Toolbox for the Modeling and Analysis of Thermodynamic Systems (T-MATS) User’s Guide. Available online: https://ntrs.nasa.gov/api/citations/20140012486/downloads/20140012486.pdf (accessed on 1 June 2025).












| Mass Flow Rate (kg/s) | Compressor Pressure Ratio | Turbine Inlet Total Temperature (K) | Turbine Outlet Total Temperature (K) | Shaft Speed (rpm) | Thrust (N) |
|---|---|---|---|---|---|
| 0.692 | 3.39 | 1333.04 | 1165.49 | 97,070 | 351.71 |
Disclaimer/Publisher’s Note: The statements, opinions and data contained in all publications are solely those of the individual author(s) and contributor(s) and not of MDPI and/or the editor(s). MDPI and/or the editor(s) disclaim responsibility for any injury to people or property resulting from any ideas, methods, instructions or products referred to in the content. |
© 2025 by the authors. Licensee MDPI, Basel, Switzerland. This article is an open access article distributed under the terms and conditions of the Creative Commons Attribution (CC BY) license (https://creativecommons.org/licenses/by/4.0/).
Share and Cite
Cui, Y.; Zhang, T.; Cen, Z.; Al-Younes, Y.; Tsoutsanis, E. A Novel Curve-and-Surface Fitting-Based Extrapolation Method for Sub-Idle Component Characteristics of Aeroengines. Aerospace 2025, 12, 538. https://doi.org/10.3390/aerospace12060538
Cui Y, Zhang T, Cen Z, Al-Younes Y, Tsoutsanis E. A Novel Curve-and-Surface Fitting-Based Extrapolation Method for Sub-Idle Component Characteristics of Aeroengines. Aerospace. 2025; 12(6):538. https://doi.org/10.3390/aerospace12060538
Chicago/Turabian StyleCui, Yibo, Tianhong Zhang, Zhaohui Cen, Younes Al-Younes, and Elias Tsoutsanis. 2025. "A Novel Curve-and-Surface Fitting-Based Extrapolation Method for Sub-Idle Component Characteristics of Aeroengines" Aerospace 12, no. 6: 538. https://doi.org/10.3390/aerospace12060538
APA StyleCui, Y., Zhang, T., Cen, Z., Al-Younes, Y., & Tsoutsanis, E. (2025). A Novel Curve-and-Surface Fitting-Based Extrapolation Method for Sub-Idle Component Characteristics of Aeroengines. Aerospace, 12(6), 538. https://doi.org/10.3390/aerospace12060538
