Abstract
The loads of a model tilt-proprotor with a gimbaled hub were measured in the wind tunnel of CHRDI, operating at 90°, 80°, 70°, 60°, and 45° inclination angles to represent the rotor loads of helicopter and transient flight modes. The flap, lead-lag moments, and pitch rod forces were measured. A comprehensive model was established with both linear inflow and free-wake non-linear inflow models. It is shown that there is a better correlation of alternating flap bending moments between test data and linear inflow model predicted values for the helicopter mode and a good correlation between measured data and free-wake predicted values for transition modes. The static moments are well captured by all inflow models at high thrust coefficients, while they fail to reflect the flap bending direction of the blade root at low thrust coefficients. Neither of the inflow models captured higher harmonics of the blade flap bending moments. The measured 2/rev harmonics of the lag bending moments lie between the linear inflow model and the free wake model predicted values. The current model with no dynamic stall model failed to capture the oscillating loads of the pitch rod.
1. Introduction
Since the proposal of the eVTOL concept, varieties of light weight electric-driven aircraft have been designed and manufactured, which can take-off vertically and fly as a fixed wing aircraft with high efficiency. Some of the eVTOLs are designed with tilt-rotors, with the rotors acting as a lifting surface in take-off and hover stages and as a propeller in cruise flight. Joby’s accident in March 2022 while attempting to extend the flight envelope exposed the risk of rigid rotors at a high advance ratio in the airplane mode. The success of tilt-rotor aircraft with gimbaled rotors provides a safer possibility for the eVTOLs, since gimbaled rotors have a flap degree of freedom in high speed flight, where all blades flap together to balance the flow condition azimuthally, hence alleviating the flap bending moment of the blades.
The tiltrotor structural load during a transition flight is of great importance, yet the literature scarcely mentions the difference between simulation-predicted load and test data. Loads correlation data of such semi-rigid gimbaled rotor can be found in Ref. [1], where a proprotor in 3.81 m radius was tested with measurement of bending moments and pitch link loads. However, the blade structural parameters are not published and recent advanced modeling could be thereon applied to further understand the discrepancy between the modeling and test data. Johnson established a comprehensive model with CAMRAD II for the NASA Tilt-Rotor Aero-acoustic Model (TRAM), which has a radius of 1.45 m, and compared the test data and calculated data for hover, cruise, and helicopter mode operations [2], while the transition mode was not covered. Ref. [3] compared measured load data and a 3D structural dynamic solver, but the research was limited to the helicopter edgewise flight. Recently, Ref. [4] compared the predicted loads and measured loads of a full-scale proprotor (TTR/699 proprotor) with a radius of 7.925 m. The operation conditions include 30°, 45°, 60°, 75°, and 90° yaw angles, which cover typical conversion operation conditions yet limited to an advance ratio of 0.2 and a thrust coefficient of 0.08.
The development of rotor analysis methods has evolved significantly from the 1960s to the 2020s, with each decade marking notable progress in modeling fidelity and predictive accuracy. In the 1960s, rotorcraft analysis primarily relied on simplified blade-element and momentum theories with minimal dynamic modeling. Instrumented tests on early rotors like the CH-34 and UH-1A highlighted these models’ inability to capture high-harmonic vibratory loads (Ref. [5]). The 1970s introduced more systematic comparisons of theoretical predictions, such as those reported by Ormiston (Ref. [6]) and at the 1973 AGARD meeting, yet models still relied heavily on lifting-line aerodynamics with limited accuracy (Ref. [5]). In the 1980s, work mostly refined finite-blade-element momentum (BEM) and free-wake models, focusing on understanding dominant harmonic loads and relying on semi-empirical corrections. A major review by Bousman and Mantay (Ref. [7]) in the 1980s outlined persistent challenges—dynamic stall, blade-tip compressibility, and structural modeling—and called for more integrated CFD (short for computational fluid dynamics) and structural dynamics (CSD) approaches (Ref. [8]). In the 1990s, workshops like Hansford and Vorwald’s (1998) Lynx rotor comparison showed substantial variation across state-of-the-art codes, reinforcing the need for improved aeroelastic integration (Ref. [8]). The 2000s marked a turning point with the rise of CFD/CSD coupling, while comprehensive analysis tools have been consistently validated and employed (Ref. [9]). Potsdam et al.’s UH-60A study showed significantly improved prediction of dynamic stall and negative lift effects (Refs. [10,11]). By the 2010s, high-fidelity CFD/CSD methods were validated against wind tunnel and flight data, enabling prediction of complex unsteady loads with reduced empirical dependence (e.g., Ref. [12] Massey et al., 2013; Ref. [13] Ortun et al., 2017). This evolution underscores the critical role of capturing unsteady flow and structural interactions for accurate rotor load prediction. Upon entering the 2020s, data-driven neural network methods have also begun to be applied to rotor blade load prediction (Refs. [14,15]).
Blade load predictions for high-speed rotorcraft also demand the precise structural dynamics of the rotor and blades. Early studies in the 1970s by Johnson(Refs. [16,17]) developed analytical models that included flap, lag, and torsion dynamics coupled with wing flexibility, highlighting the importance of elastic couplings in predicting modal behavior and flight stability. In the 1990s, Acree and Tischler (Ref. [18]) used flight-testing to extract aeroelastic modes of the XV-15, validating that accurate modeling required full blade flexibility and flap-lag-torsion coupling. The 2000s saw detailed aeroelastic modeling of the V-22 rotor using CAMRAD II, showing that blade sweep, hub configuration, and control-system stiffness significantly influence mode damping (Ref. [19]). Recent work by Saruk W. et al. (Ref. [3]) developed a CAD-based 3D CSD model for NASA TRAM. However, Yeo et al. assessed the structural dynamics with the 3D CSD model and 1D beam model, and concluded that the first six lowest frequency modes show little difference for a slender blade (Ref. [20]). As a result, the 1D beam structural modal with cross-sectional properties is still widely for comprehensive analyses.
Comprehensive analyses based on lower-order aerodynamics models (BEM, Free-wake model, dynamic stall, etc.) coupled with beam structural models offer rapid robust load predictions with minimal computational cost, making them ideal for early-stage rotor design, parametric studies, and engineering practices. In contrast, CFD/CSD coupling algorithms provide high-fidelity resolution of aerodynamic–structural interactions under complex maneuvering but demand extensive meshing, solver time, and expert setup (Refs. [21,22,23,24]). Emerging deep-learning methods deliver near–real-time predictions and adapt to diverse data but hinge on large datasets, suffer from limited interpretability, and risk over fitting (Refs. [14,15]). Therefore, for practical engineering applications, the comprehensive method with BEM-based aerodynamics model a beam structural model remains the most pragmatic and versatile choice.
In order to understand a spectrum of load correlations between test data and simulation, the China Helicopter Research and Development institute (CHRDI) conducted a wind tunnel experiment of a 3-bladed gimbaled rotor. Loads were measured with strain gauges on two blades, and a comprehensive analysis method is applied for several cases. The paper is organized as follows: in Section 2, the experiment setup is introduced. In Section 3, the comprehensive analysis tool and the settings are described. In Section 4, the detailed comparisons of the simulation results and experiment measurement are presented and discussed in detail, covering blade mode and frequency, blade loads in aspects of 1/2 peak-to-peak value, static bending moment, FFT harmonics, and pitch link load. The results of rigid blade motion coupling between RCAC and CFD for an iN45 case is also presented in this section. In Section 5, conclusions are drawn with a future work outlook.
2. Experiment Setup
The experiment was conducted in an open-ended wind tunnel in CHRDI in Jingdezhen City. The wind tunnel has a dimension of 5 m × 5 m outlet, and the wind speed can reach up to 73 m/s. The center of the test section flow field is measured for flow velocity varying from 10 m/s to 60 m/s, before the whole apparatus moved in, to have turbulence intensity less than 2%, temperature stability less than 0.6 °C, dynamic pressure stability is less than 0.37%, and local flow angularity less than 0.2°. As is shown in Figure 1, the model prop-rotor is placed at the center of the open-end area and a balance is mounted at the bottom of the supporting structure to measure the forces and moments in three directions of a Cartesian coordinate. The model prop-rotor has a radius of 1.1 m, with a blade tip Mach number equaling 0.67 and mean chord based Reynolds number of 2.4 million.
Figure 1.
Schematic of the wind tunnel test rig.
The blockage ratio varies with the nacelle angle as it decreases from 90° (helicopter mode) to 45° (transition mode). The blockage ratios for the nacelle angles 90°, 80°, 70°, 60°, and 45° are around 2%, 5.2%, 8.3%, 11.4%, and 15%, respectively. The velocity of the flow field is accordingly modified based on the measured value upstream of the flow inlet. Namely,
where U0 is the measured velocity upstream of the flow inlet, kwt is the wind tunnel correction factor, and σmodel is the blockage ratio of the rotor, nacelle, and supporting parts. The advance ratios are based on the modified free stream velocity.
The definition of the azimuth angle is 0 at the downstream direction, and increases along the rotation direction as is shown in Figure 2. A top signal is planned to be recorded every time a reference blade passes the azimuth angle 0; however, data post-processing showed chaotic signals and hence no azimuth information is available. The blade shape is also shown in Figure 2, which has an inner linear twist of −50°/R and outboard linear twist of −18°/R. The blade has a parabolic shape and the chord varies linearly from 0.24 R to 0.9 R. NACA64528 airfoil is positioned at 0.24 R, a CHRDI designed 12% thickness airfoil is positioned between 0.5 R to 0.8 R and 9% thickness airfoil positioned outboard of 0.8 R, with smooth shape transitions in-between. The rotor has a solidity ratio σ (, the ratio of the blade area to the rotor disk area.) of 0.107.
Figure 2.
Top view of the rotor disk and the blade geometry.
The structural load data acquisition was accomplished through lag/flap tension sensors mounted under two blade surfaces (underneath the skin of the blades) at the radial locations 0.21 R, 0.375 R, 0.475 R, and 0.7 R, through a torsional tension sensor at the radial locations 0.22 R and 0.67 R. The sensors were first calibrated to be able to decouple the flap and lag moments. The signals were transmitted through wires underneath the skin to the root of the blades. A Donghua® test device was mounted on the rotor hub and recorded the data of the rotational parts. A balance at the support bracket was mounted and calibrated to record the aerodynamic forces, moments, and torque of the rotor. The sampling frequency of the rotational parts are 1 kHz while the balance’s sampling frequency varied with the rotational speed, with 64 points recorded per revolution.
The model proprotor works at a constant rotational speed counter-clockwise throughout the helicopter and conversion test points. The rotational speed is determined by the tip Mach number and the air density at the operating day. All testing points were finished at the same day to minimize the influence brought up by humidity and temperature. The test rig frequencies were first identified so as to avoid possible resonance. At the operating rotational speed, no resonance or large magnitude of vibration occurred. No vibration absorbers were mounted on either the prop-rotor head or the test rig.
The current operating conditions are listed in Table 1, where “Heli” is used to represent the helicopter mode while “Conv” is used to represent the conversion mode. The Case Index is a 3-digit number, each digit representing the nacelle angle, advance ratio, and thrust coefficient. Here, the advance ratio is the fraction of wind speed to the rotor tip speed, as follows:
and the thrust coefficient follows the equation
Table 1.
Operating conditions of the model tilt-proprotor in the CHRDI wind tunnel.
The pure hub and supporting parts were first measured with the advance ratio equivalent wind speed, and the longitudinal and lateral moments measured by the balance were recorded. Then, in all the operating conditions, the rotor was trimmed to have minimum pitch and roll moments at the rotor hub or those equivalent to the previously recorded pitch and roll moments with only hub and supporting parts. The trim process is automatic once the target thrust, pitch, and roll moments are set manually according to the previous hub moments measurement. The tolerance of the force and moments can be adjusted to have a high efficient trim procedure and acceptable repeatability. Different to the TTR test, the proprotor mast tilts up- and downward instead of a using yaw angle to represent the shaft angle, since the proprotor gravity also contributes to the loads. All the data presented here are non-dimensional, Refs. [5,10], with moments being non-dimensionlized with the Equation (1) and forces with Equation (2).
3. Methodology
The comprehensive analysis was conducted with the rotorcraft comprehensive analysis code RCAC Release 1.0, a code jointly developed by CHRDI and Nanjing University of Aeronautics and Astronautics. The credibility of the code is validated through wind tunnel experiments for traditional helicopter main rotors, and the results of the RCAC correlate well with CAMRAD II.
3.1. Structrual Model-Elastic Beam Elements
The rotor blade is modeled following nonlinear beam theory as finite elements in RCAC, where each blade segment is treated as a flexible beam element. In this method, the deformation of the beam element is expressed using shape functions and generalized coordinates (or displacements). The extension displacement field out-of-plane bending displacement , in-plane bending displacement , and torsional displacement at any point along the beam is approximated as a linear combination of spatially dependent shape functions and time-dependent generalized displacements , as follows:
The dynamics are derived from Hamilton’s principle (Ref. [25]), leading to a set of coupled second-order differential equations.
where , , and are the element mass, damping, and stiffness matrices, each of them composed of extension, bending, and torsional components. The external load vector is typically evaluated using Gaussian quadrature (including aerodynamic, inertial, and control loads), as follows:
where is the shape function matrix, is the distributed load, s are the Gaussian points, and are the corresponding weights. With such a method, large deformations of rotor blades are decomposed to moderate deformations of beam elements. Nonlinear strain–displacement relations are used to account for geometric coupling between bending, torsion, and axial deformation (Ref. [26]). Coupling between deformations, such as bending-torsion or extension-bending, is modeled via the stiffness matrix , where off-diagonal terms reflect interactions, derived from cross-sectional properties.
To form a complete beam, elements are integrated by assembling their mass and stiffness matrices into global matrices, with local degrees of freedom mapped to global ones, ensuring continuity at shared nodes. Boundary conditions are applied by constraining specific degrees of freedom (e.g., setting at a fixed end) or modifying global matrices, using penalty methods for enforcement. This approach effectively captures complex elastic behavior and deformation coupling in a discretized yet integrated beam model.
3.2. Aerodynamic Modeling-Lower Order Models
The aerodynamic forces are modeled with the blade element momentum (BEM) method with the modified inflow model for forward flight conditions. A rotor blade is divided into several aerodynamic panels, with each panel acting as an independent aerodynamic element. The unsteady aerodynamic arising from either the translation or the pitching of the element is modeled with a state space equation (Ref. [27]),
where is a state variable and α is the effective angle of attack of the airfoil. , , and represent the lag effect of pressure and boundary layer to the airfoil motion and are constructed with widely validated empirical factors.
Once the aerodynamic forces on the panels are obtained, following the momentum theory, the relationship between the induced flow ratio () and the advance ratio () allow an iterative algorithm solving for the rotor thrust, as follows:
and
where is the circulation of the section, is the global inflow ratio with representing the rotor’s perpendicular component of advance ratio at an airfoil section, and is the tip loss function for actuators with finite number of blades (Ref. [28]).
In forward flight, the linear inflow model simplifies inflow distribution, with the White and Blake model providing a detailed description of inflow across the rotor disk. This model accounts for asymmetry between advancing and retreating blades, capturing lift variations. The inflow ratio is expressed as
where is the mean inflow, is the radial location of an airfoil section, is the azimuthal angle, and , are empirical constants adjusting for longitudinal and lateral inflow gradients. This approach enhances accuracy over basic linear inflow assumptions (Ref. [29]).
For non-linear inflow model, the free wake method simulates the evolution of blade tip vortexes or vortex sheets shed by aerodynamic panels, which in turn influence the rotor inflow distribution. The algorithms use single vortex models or multi-trailed vortex models to represent vortices shed from the blade. The tangential velocity within the vortex core follows the Scully model, representing a distributed core model. The growth of the vortex core radius follows the Leishman–Bagai model, with the core radius growing as
and
where is the initial radius, is time, is the kinetic viscosity and is an exponential constant controlling diffusion.
Wake shape evolution computed iteratively using Ref. [30].
3.3. Aero-Elastic Coupling Scheme
The blade response is solved with tight coupling between the aerodynamic elements and the elastic beam elements. The algorithm follows a frequency–domain iterative scheme, where aerodynamic loads and structural deformation influence each other. The algorithm adopts the harmonic solution method, assuming a periodic response of the blades. During the solution procedure, the following apply:
- (a)
- Structural Solver (Elastic Beam Element): Given the initial blade deformation and motion, the structural solver computes the positions, velocities, and accelerations of each blade section using the equations of motion:with representing generalised displacements;
- (b)
- Kinematic Mapping: The structural deformation is mapped to the blade surface to define the airfoil orientation, velocity, and effective angle of attack at each spanwise station;
- (c)
- Aerodynamic Solver (Aerodynamic Element): Using either the linear inflow model or non-linear models, the aerodynamic solver computes sectional airloads based on blade motion and induced inflow;
- (d)
- Wake Update and Induced Velocity: The wake geometry is convected forward, and the induced velocities are updated using a wake model;
- (e)
- Coupling Loop: The aerodynamic loads are passed back to the structural solver to compute new deformations. This loop continues until convergence of the response is achieved.
3.4. Settings for the Model Rotor
The rotor is modeled with 3 flexible blades and a gimbaled hub. The blade is modeled as described in previous paragraphs, where the 3-dimensional finite element analysis equivalent beam structural parameters are used for the hub arms to reflect the bearings effects well. The blade sections are analyzed section-wise using VABS (Ref. [31]) according to the carbon fiber layouts. The blade is treated as isotropic with an elastic axis, with modified stiffness matrix as described in a previous paragraph accounting for the deformation coupling effect. The airfoil tables for the blade are calculated with 2-dimensional RANS analysis without modification. The blade is modeled with elastic beam elements and 40 elastic blade modes are used without modal truncation.
The linear inflow model, free-wake method with multi-trailer wake, and single tip vortex model are utilized here. Ref. [4] suggests using the multi-trailer wake model for the states with a nacelle angle greater than 75° (iN75) and a single tip vortex model for nacelle angles 45° and 60°. In addition, the analysis was performed for an ideal, constant gimbal, and identical blades. The rotor thrust, rotor hub pitch and roll moments are the targets in trim calculations. The free-wake settings followed Johnson’s suggestion and with a few modifications, detailed information of the free-wake settings can be found in Appendix A, Table A1.
3.5. Computational Fluid Dynamics Settings
Siemens CFD software Star-CCM+ (version 13.04.011-R8, Ref. [32]) was utilized for the simulation, in which the chimera mesh technique can be applied and intensification of background mesh can be easily conducted. The rotor for CFD sumulation is modeled with blades and without hub and the rest supporting parts. The mesh for CFD is composed of 4 major parts, three body-fitted meshes around the blades, and one background mesh extending to 10 rotor radius (10 R) to the upstream and 20 radius (20 R) downstream. The first layer of the blade body-fitted meshes satisfies y + < 1 to capture the boundary characteristics, and the background mesh is refined in the area about 1 R upstream and 5 R downstream where the rotor wake convects to avoid numerical dissipation. The total number of cell grids for the simulation is about 180 million. The k-ω SST turbulence model is adopted. Besides the overset boundary conditions, other boundary conditions include non-slip at wall surfaces and pressure far field with mach number and flow direction for the background mesh boundary.
There is no deformation of the rotor blades, and only rigid kinematics are kept for the blades, namely cyclic pitching and flapping. The body-fitted body rotates, then flaps, and then pitches with the blade around certain axes. The flow field momentum residuals in 3 directions, continuity residual, and the rotor thrust are monitored. In total, 240 steps in every rotation are employed for the unsteady solution, with 50 inner iterations for each step, allowing the residuals to drop 2~3 orders of magnitude. And the simulation is believed to reach a steady state after 5 revolutions and when the 1/2 peak–peak value of the mean thrust over the rotation period is less than 5% of the thrust.
4. Results and Discussion
4.1. Structural Dynamics: Modeling vs. Experiment
The experiment with the increasing rotational speed process was conducted to identify the natural frequencies of the rotor. The rotor collective angle was set to 0 degrees, and the rotational speed was increased from 0 to the standard rotational speed. The calculated modal frequencies are plotted in Figure 2, where identified natural frequencies are scattered with filled markers as well.
A gimbaled rotor has a characteristic that assembles both articulated and rigid rotors. Like teetering rotors, as described in Ref. [9], 3 k + 1 and 3 k + 2(k = 0, 1, 2…) harmonics of the flap moment result in tilting of the hub, causing the blade to act like a central articulated rotor, while the other harmonics of bending moments from one blade are reacted against other blades at the hub, resulting in a net bending load at the root with no tilt, causing the blade to act like a hingeless rotor. As a result, the modes of the rotor are identified according to the fact as to whether they represent articulated-like behaviors or hingeless-like behaviors, with the former referred to as retreating and advancing modes and the latter referred to as collective modes. Only the retreating and collective modes are plotted in Figure 3. The main purpose of this paper is to compare the calculated and the measured loads of a gimbaled rotor in transition flight conditions; hence, the details of the identification process will not be discussed in this paper. However, the compliance of the identified points with the calculations indicates a well-defined structural model of the rotor.
Figure 3.
Predicted and identified (filled markers) natural frequencies of blade modes.
4.2. Blade Load Comparison
The blade load data measurement instruments lack phase information and hence the comparison of the time domain curves may lead to inappropriate conclusions. In order to represent the characteristics of the structural loads, the 1/2 peak–peak values, the static values, and the fast Fourier transferred harmonic information were chosen to compare with the numerical simulation results. Again, the values were non-dimensionalized using Equations (1) and (2) due to confidential regulations.
The repeatability of the data can be measured by the relative standard difference , which is defined for data measured for times as
where is the mean value of the nth measurement. For case index 720, we measured three times, and the RSDs of all the alternating moments are shown in Table 2, which indicate that the flap moments are of relatively good quality, while the lead-lag moments are sensitive to the hub moments. This is because the trim procedure cannot repeat perfectly, with hub moments varying within the tolerance of the trim setting.
Table 2.
RSD values for the alternating structural moments.
We define the difference between the predicted data and the measured data as
And a blade-to-blade variation as
Here, a positive represents overestimation and a negative represents underestimation. By choosing to represent the difference, one can easily deduce the maximum difference between the simulation result and the actual blade loads.
4.2.1. Half Peak–Peak Values (Alternating Loads)
As is shown in Figure 4, the helicopter mode with a nacelle angle equals 90 and 80 degrees, the measured alternating flap moments inboard (0.21 R) and outboard (0.7 R) are not well predicted by a linear inflow model, free wake single tip vortex model, or free wake multi-trailed vortex model.
Figure 4.
Comparison of measured and simulated alternating bending moments with different aerodynamic models for helicopter mode. (a) Case 903 blade flap moments; (b) Case 903 blade lead-lag moments; (c) Case 802 blade flap moments; (d) Case 803 blade flap moments; (e) Case 803 blade flap moments; (f) Case 803 blade lead-lag moments; (g) Case 813 blade flap moments; (h) Case 813 lead-lag moments.
The measured lead-lag moments throughout the radial locations are larger than the simulated results by either inflow model, except the case with a higher advance ratio and lower CT/σ. The White–Blake inflow model–predicted lead-lag moments are generally smaller than the measured value, with values of certain cases at certain areas coinciding with the measured values. While there is a deficit in the Free Wake SV model predicted lag moments, there is no big difference between the multi-trailed model and SV Free Wake models in terms of lag moments’ prediction.
The detailed difference between the model predicted moments and the measured ones, as well as the blade-to-blade variation, is summarized in Table 3. Case 802 (Figure 4d) and case 812 (Figure 4h) show that as μ increases, the linear inflow model predicted flap moments at 0.21 R changes from deficit to excess, and difference increases at other locations; the predicted lag moments show a similar trend, with the values becoming closer to the measured ones. The free wake model predicted that flap moments’ difference decreases while lead-lag moments’ difference increases. They do not change much as the advance ratio increases or nacelle angle decreases. Case 903 (Figure 4b) and case 803 (Figure 4f) show almost the same change in the linear inflow predicted difference as the nacelle angle decreases for both flap and lead-lag moments. The free wake model predicted that both flap and lag moments do not change much.
Table 3.
Model predicted vs. measured structural loads: difference and blade-to-blade variation, iN90-iN80.
These two comparisons have a common characteristic: there is an increase in the overall inflow ratio. Since the linear inflow model (White–Blake model) uses empirical coefficients from helicopters, the rotor blades of which have a relatively smaller negative twist compared to proprotors’, those empirical values should consequently be adjusted to fit a certain rotor. Even with Coleman–Feingold Inflow model, which includes the overall inflow ratio into the distribution function, the alternating structural moments remain the same magnitude.
As for the free wake model, two comparisons show that it is more sensitive to the advance ratio rather than the nacelle angle. However, finding a set of empirical coefficients for the modeling of the vortical structures can be tedious work.
When the nacelle angle is set to 70 degrees, as is shown in Figure 5, for a small advance ratio (μ = 0.17), the measured alternating flap moments agree with the results of the free wake multi-trailed vortex inflow model. As the thrust coefficient increases to 0.087, the simulated alternating flap moment inboard is slightly smaller than the measured value.
Figure 5.
Comparison of measured and simulated alternating bending moments with different inflow models for transition mode, nacelle angle 70°, and advance ratio 0.17. (a) Case 710 blade flap moments; (b) Case 710 blade lead-lag moments; (c) Case 711 blade flap moments; (d) Case 711 blade lead-lag moments; (e) Case 713 blade flap moments; (f) Case 713 lead-lag moments.
The linear inflow model predicts higher 1/2 p-p values of flap moments. The single tip vortex free wake model and the multi-trailed vortex free wake model yield similar results with little difference outboard. This difference vanishes as the lift coefficient increases. It is noticeable that with a multi-trailed vortex-free wake model, a trim task may take up to 9 h. The measured alternating lead-lag moments lie between the values predicted by the linear inflow model and the free wake model; as the thrust coefficient increases, the free wake model results become closer to the measured data.
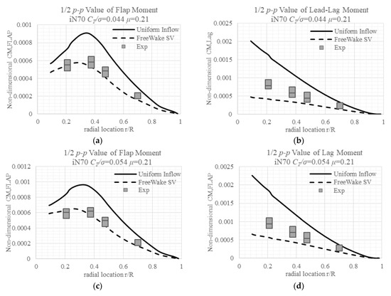
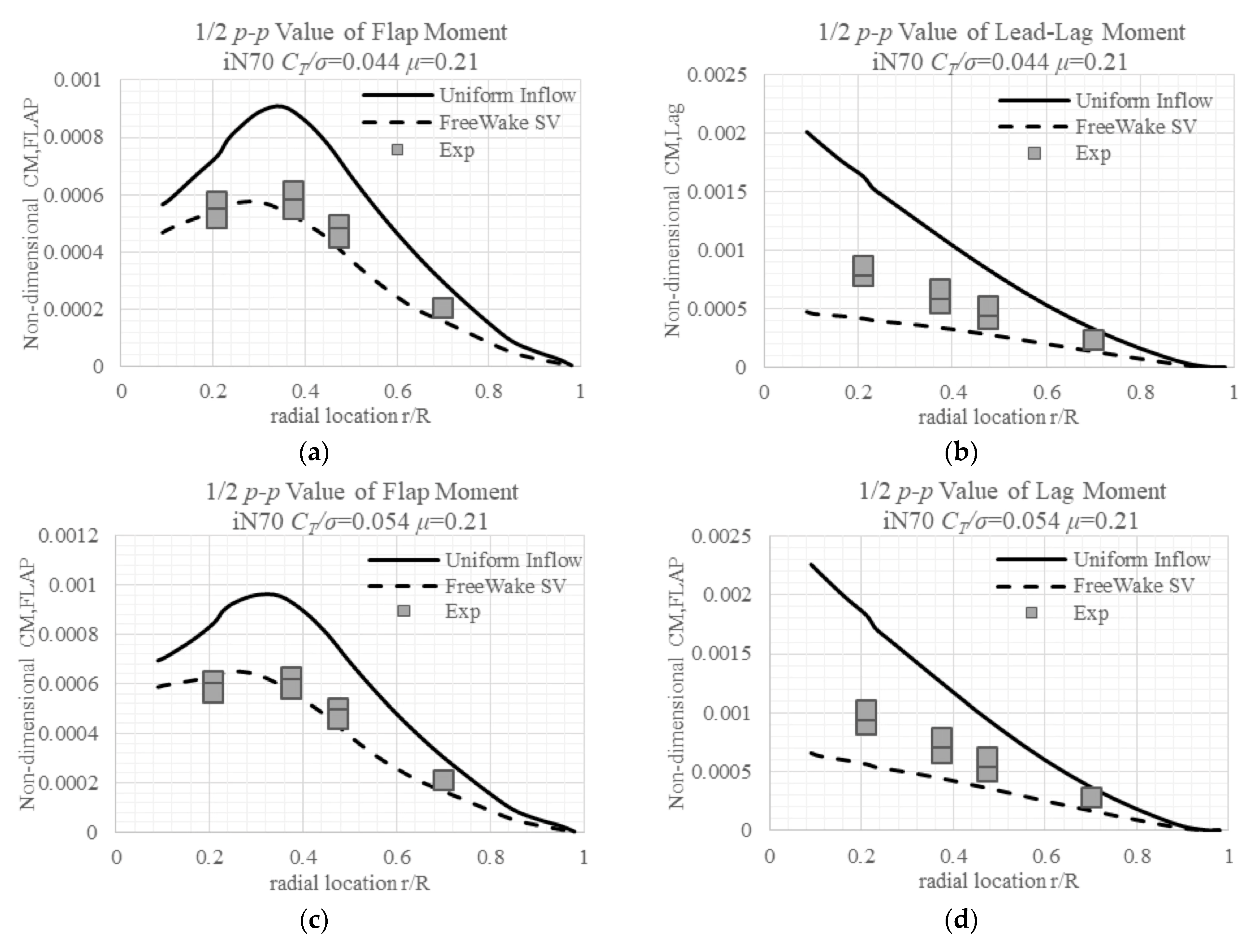
For a higher advance ratio (μ = 0.21), as is shown in Figure 6, the measured 1/2 p-p value of blade flap moment is slightly larger than the value predicted by the free wake model but much smaller than the value predicted by the linear inflow model. The lag moments lie between the results of the linear inflow model and the free wake model. For the case k where the advance ratio is high and the thrust coefficient is small, the measured alternating flap moment position is between the results of linear inflow and the free wake model, while the inboard magnitude coincides with the uniform form inflow model. The alternating lag moment of this case shows a similar trend to other cases, lying between the results of two different models.

Figure 6.
Comparison of measured and simulated alternating bending moments with different inflow models for transition mode, nacelle angle 70°, and advance ratio 0.21~0.25. (a) Case 720 blade flap moments; (b) Case 720 blade lead-lag moments; (c) Case 721 blade flap moments; (d) Case 721 blade lead-lag moments; (e) Case 722 blade flap moments; (f) Case 722 blade lead-lag moments; (g) Case 740 blade flap moments; (h) Case 740 blade lead-lag moments.
The predicted and measured differences of blade flap and lead-lag moments for cases with nacelle incidence 70° are summarized in Table 4 and Table 5. Comparing cases 710, 711, and 713, the linear inflow model predicted that the flap moments’ difference does not change until the thrust coefficient increases to a certain level; this level also determines whether the inboard static flap moments direction can be predicted correctly, as is shown in Section 4.2.2. The lead-lag moments’ difference does not show drastic changes. The trends of linear inflow flap do not hold for a different advance ratio, comparing 720, 721, and 722, and the flap merely remains at the same level, around +50%, and the lead-lag show close values near +100%. This means the linear inflow predicted flap is sensitive to the advance ratio μ, and lead-lag is a weak function of CT/σ but a strong function of the advance ratio. This can also be seen from cases 710, 720, and 740, and the lead-lag at 0.21 R increases from +62% to +137%.
Table 4.
Model predicted vs. measured structural loads: difference and blade-to-blade variation iN70-1.
Table 5.
Model predicted vs. measured structural loads: difference and blade-to-blade variation iN70-2.
As CT/σ increases, the free wake SV model predicted flap remains the same level, while the lead-lag increases first and is then dropped with the increase in CT/σ.
In Figure 7, when the tilt angle decreases to 60°, the free wake model predicted that both the alternating flap moment and the lead-lag moment align well with that measured in the wind tunnel. The single tip vortex and multi-trailed vortex free wake models result in slightly different curves of flap moment, with the single tip vortex model resulting in larger alternating flap moments. In Figure 8, the correlation remains the same as the nacelle angle decreases to 45°, and the alternating flap moments predicted by the free wake model coincide with the measured data from the model rotor. The measured alternating lead-lag moments lie in between the results of linear inflow and free wake model but closer to the latter.

Figure 7.
Comparison of alternating bending moments with different inflow models for transition mode, nacelle angle 60°, and advance ratio 0.18~0.22. (a) Case 610 blade flap moments; (b) Case 610 blade lead-lag moments; (c) Case 612 blade flap moments; (d) Case 612 blade lead-lag moments; (e) Case 630 blade flap moments; (f) Case 630 blade lead-lag moments; (g) Case 632 blade flap moments; (h) Case 632 blade lead-lag moments.
Figure 8.
Comparison of alternating bending moments with different inflow models for transition mode, nacelle angle 45°, advance ratio 0.27, and thrust coefficient 0.0144~0.0267. (a) Case 410 blade flap moments; (b) Case 410 blade lead-lag moments; (c) Case 411 blade flap moments; (d) Case 411 blade lead-lag moments.
As summarized in Table 6, at a nacelle angle of 60°, the linear inflow predicted flap and lead–lag moments’ differences follow a similar pattern, i.e., both the flap and lead-lag drops as CT/σ increases and remains the same as μ increases. The free wake SV model predicted flap and lead-lag moments’ difference show a reversed trend, i.e., the flap drops as CT/σ increases, while lead-lag remains the same; the flap increases with μ, while lead-lag remains the same. The free wake Multi-trailed model predicted that the flap and lead-lag moments’ difference is slightly different, i.e., the lead-lag drops as CT/σ increases.
Table 6.
Model predicted vs. measured structural loads: difference and blade-to-blade variation iN60.
As summarized in Table 7, at a nacelle angle of 45°, the linear inflow predicted flap and lead-lag moments’ differences are slightly different: with increasing CT/σ, flap and lead-lag increase. And the free wake SV model predicted moments all increase with CT/σ (the absolute lead-lag decreases but considering the signs, it is increasing).
Table 7.
Model predicted vs. measured structural loads: difference and blade-to-blade variation iN45.
For engineering purposes, in order not to overestimate the loads so as to minimize the structural strength and mass, as well as better estimate the life span of the dynamic parts, it is essential to understand the relationship between model-predicted loads and real loads. The whole picture of the model predicted moments’ difference is presented in Table 8 with arrows, with upward arrows meaning a positive correlation and downward arrows meaning a negative correlation, and a poly-line meaning non-linear relationships.
Table 8.
Overall trend of the model predicted moments’ difference Δ as a function of the thrust coefficient or advance ratio.
The measured structure bending moments from two blades show clear discrepancies, while modeling assumes homogeneous blades for the rotor. Current investigation implies that for helicopter mode and nacelle angles 80° and 90°, linear inflow can better predict alternating flap bending moments, and precautions must be paid to the inboard part since the analysis is likely to over-predict the deformation at the blade root. For conversion modes, the free wake models yield better predictions of blade alternating flap bending moments, but due to blades’ nonconformity, the alternating flap moments at large thrust coefficients deviate from the model-predicted curve. Proper correction factors may be needed for these cases. The predicted alternating lag moments for helicopter modes (nacelle angle 80° and 90°) are less than the measured data, while the measured data of the conversion modes (nacelle angle between 45° and 70°) lie in between the linear inflow model and free wake models, closer to the latter. Proper correction factors or adjustment of the free wake parameters may be needed for a more precise estimation of the loads.
4.2.2. Static Bending Moments
The static bending moments reflect the distribution of the air loads on the blade. Since all the cases with different inflow models are trimmed to the same state and the thrusts are the same, if the distribution of the lift and drag of wing sections is the same, then the static bending moments and at least the flap bending moments should be similar to each other. Figure 9, Figure 10, Figure 11, Figure 12 and Figure 13 show the overlapped curves of different inflow models, which confirms that these inflow models assume identical distribution of the air-loads. And for most of the cases where CT/σ is larger than 0.075, the predicted bending moments agree well with the measured data.
Figure 9.
Comparison of measured and simulated static bending moments with different aerodynamic models for helicopter mode. (a) Case 903 blade flap moments; (b) Case 903 blade lead-lag moments; (c) Case 802 blade flap moments; (d) Case 803 blade flap moments; (e) Case 803 blade flap moments; (f) Case 803 blade lead-lag moments; (g) Case 813 blade flap moments; (h) Case 813 lead-lag moments.
Figure 10.
Comparison of measured and simulated static bending moments with different inflow models for the transition mode, nacelle angle 70°, and advance ratio 0.17. (a) Case 710 blade flap moments; (b) Case 710 blade lead-lag moments; (c) Case 711 blade flap moments; (d) Case 711 blade lead-lag moments; (e) Case 713 blade flap moments; (f) Case 713 lead-lag moments.
Figure 11.
Comparison of measured and simulated static bending moments with different inflow models for the transition mode, nacelle angle 70°, and advance ratio 0.21~0.25. (a) Case 720 blade flap moments; (b) Case 720 blade lead-lag moments; (c) Case 721 blade flap moments; (d) Case 721 blade lead-lag moments; (e) Case 722 blade flap moments; (f) Case 722 blade lead-lag moments; (g) Case 740 blade flap moments; (h) Case 740 blade lead-lag moments.
Figure 12.
Comparison of static bending moments with different inflow models for the transition mode, nacelle angle 60°, and advance ratio 0.18~0.22. (a) Case 610 blade flap moments; (b) Case 610 blade lead-lag moments; (c) Case 612 blade flap moments; (d) Case 612 blade lead-lag moments; (e) Case 630 blade flap moments; (f) Case 630 blade lead-lag moments; (g) Case 632 blade flap moments; (h) Case 632 blade lead-lag moments.
Figure 13.
Comparison of static bending moments with different inflow models for transition mode, nacelle angle 45°, advance ratio 0.27, and thrust coefficient 0.0144~0.0267. (a) Case 410 blade flap moments; (b) Case 410 blade lead-lag moments; (c) Case 411 blade flap moments; (d) Case 411 blade lead-lag moments.
However, for small thrust coefficients, the simulated flap bending moments at the root, which is the net effect of centrifugal force and lift force on the blade, show positive values and a downward bending direction, yet the measured data are mostly negative and in an upward bending direction. This contradiction implies that either the real lift force is concentrated more outwardly than that predicted by RCAC, i.e., a larger lift contributed bending moment, or the deflection of the blade is less than predicted, i.e., a smaller centrifugal force contributed bending moment.
The static lead-lag moments along the blade radial station are stable, with the largest lag moments at 0.21 R located around −0.006. The predicted static lag moment agrees well with the measured data, except for the data at 0.21 R location. Parametric analysis show that the rotor arms’ bending stiffness has a great influence on the inboard static lag moments, implying that the deflection predicted by the current model is greater than the reality, resulting in an excess of unloading by the centrifugal force.
4.2.3. FFT Harmonic Information
In Figure 14, Figure 15, Figure 16, Figure 17 and Figure 18, we present the harmonics of the bending moments inboard (0.21 R), which are more of concern, since they show the loads transferred to the rotor hub. The 2/rev and 4/rev of flap/lag moments integrate to the 3/rev shaft bending moments. In order to better predict the loads on the rotor hub, the harmonic amplitude is also important in the semi-rigid rotor system.
Figure 14.
Comparison of measured and simulated bending moments’ harmonics with different aerodynamic models for helicopter mode. (a) Case 903 blade flap moments’ harmonics; (b) Case 903 blade lead-lag moments’ harmonics; (c) Case 802 blade flap moments’ harmonics; (d) Case 803 blade flap moments’ harmonics; (e) Case 803 blade flap moments’ harmonics; (f) Case 803 blade lead-lag moments’ harmonics; (g) Case 813 blade flap moments’ harmonics; (h) Case 813 lead-lag moments’ harmonics.
Figure 15.
Comparison of measured and simulated bending moments’ harmonics with different inflow models for the transition mode, nacelle angle 70°, and advance ratio 0.17. (a) Case 710 blade flap moments’ harmonics; (b) Case 710 blade lead-lag moments’ harmonics; (c) Case 711 blade flap moments’ harmonics; (d) Case 711 blade lead-lag moments’ harmonics; (e) Case 713 blade flap moments’ harmonics; (f) Case 713 lead-lag moments’ harmonics.
Figure 16.
Comparison of measured and simulated bending moments’ harmonics with different inflow models for the transition mode, nacelle angle 70°, and advance ratio 0.23~0.25. (a) Case 720 blade flap moments’ harmonics; (b) Case 720 blade lead-lag moments’ harmonics; (c) Case 721 blade flap moments’ harmonics; (d) Case 721 blade lead-lag moments’ harmonics; (e) Case 722 blade flap moments’ harmonics; (f) Case 722 blade lead-lag moments’ harmonics; (g) Case 740 blade flap moments’ harmonics; (h) Case 740 blade lead-lag moments’ harmonics.
Figure 17.
Comparison of measured and simulated bending moments’ harmonics with different inflow models for the transition mode, nacelle angle 60°, and advance ratio 0.18~0.22. (a) Case 610 blade flap moments’ harmonics; (b) Case 610 blade lead-lag moments’ harmonics; (c) Case 612 blade flap moments’ harmonics; (d) Case 612 blade lead-lag moments’ harmonics; (e) Case 630 blade flap moments’ harmonics; (f) Case 630 blade lead-lag moments’ harmonics; (g) Case 632 blade flap moments’ harmonics; (h) Case 632 blade lead-lag moments’ harmonics.
Figure 18.
Comparison of measured and simulated bending moments’ harmonics with different inflow models for the transition mode, nacelle angle 45°, advance ratio 0.26, and CT/σ = 0.0144~0.0266. (a) Case 410 blade flap moments’ harmonics; (b) Case 410 blade lead-lag moments’ harmonics’ harmonics; (c) Case 411 blade flap moments’ harmonics; (d) Case 411 blade lead-lag moments’ harmonics.
As seen in Figure 14, for helicopter modes, the major discrepancies of the harmonics of the flap bending moments between the measured values and the predicted values come from 1/rev and 3/rev amplitude. The 1/rev harmonics comes mainly from the cyclic control, while the 3/rev harmonics comes from three blades. Uniform in-flow model results in a near 0 amplitude of 3/rev harmonics, while free wake models captures and predics a lower value of 3/rev harmonics. The magnitude of the measured 3/rev harmonics is 3.78 times of the free wake model (single tip vortex)-predicted value.
As is shown in Section 4.2.1, the measured lead-lag bending moments are closer to the linear inflow model predicted values, yet this model cannot capture harmonics higher than three and hence the predicted values are still smaller than the measured ones. The major discrepancy of the measured lead-lag bending moment harmonics and the linear inflow model predicted ones is the 4/rev value in the first two cases.
In transition modes, as is already discussed in a previous section, the free wake models have predictions closer to the measured data, while the linear inflow model is relatively larger. We see from Figure 15, Figure 16, Figure 17 and Figure 18 that for flap bending moments, either linear inflow model or free wake models predict higher 1/rev harmonics than the measured value, yet higher harmonics (mainly 5/rev) are underestimated. The measured lead-lag bending moments are larger than the free wake model’s result yet smaller than the linear inflow model’s result, and hence the 1/2 peak–peak value of bending moments lies in between the linear inflow model and free wake model predicted value.
The flap bending moments include a 5/rev harmonic component, which seems to arise from a coupled flap-pitch mode. Higher harmonics are always triggered by complex flow structures, like dynamic stall vortex on the blade, which are unable to be captured by the blade-element theory-based lower-order aerodynamic model. CFD–CSD coupling maybe needed for the higher harmonics of the loads.
4.2.4. Pitch Link Load
The pitch motion is modeled in detail with a swash-plate mechanism established in RCAC, with control system stiffness estimated by finite element simulation in ANSYS®. However, the dynamic stall vortex model was not implemented due to numerical instability, together with the free wake model. We believe that even with the dynamic stall model integrated into these cases, the pitch link loads cannot be predicted closer to the measured data either. The blade element theory does not include the span-wise transfer of circulation, which is the main source of the aerodynamic pitch moment (Ref. [33]).
Figure 19, Figure 20, Figure 21, Figure 22 and Figure 23 show the measured and simulated pitch link load. The static values of the pitch link force is over-estimated by all inflow models in helicopter mode and in transition mode with nacelle angle equal to 70° but agree well with measured data for other cases in transition mode. The alternating loads or 1/2 peak–peak values are only 16~23% of the measured data. For the helicopter mode, the higher harmonics are not captured by the inflow models. It is interesting to notice that the largest pitch link alternating load, among all the cases shown, is not any of the cases in helicopter mode but of the transition mode, with a nacelle angle of 70° and CT/σ = 0.077, with the advance ratio of 0.22. Generally, for a fixed nacelle angle, the alternating pitch link force increases with the thrust coefficient and advance ratio. As the nacelle angle approaches 45°, the alternating value increases, mainly due to a higher advance ratio.
Figure 19.
Comparison of measured and simulated pitch link force (static and alternating loads, and harmonics) with different inflow models for helicopter mode. (a) Case 903 pitch link force; (b) Case 802 pitch link force; (c) Case 803 pitch link force; (d) Case 812 pitch link force.
Figure 20.
Comparison of measured and simulated pitch link force (including harmonics) with different inflow models for the transition mode, nacelle angle 70°, and advance ratio 0.18. (a) Case 710 pitch link force; (b) Case 711 pitch link force; (c) Case 713 pitch link forces.
Figure 21.
Comparison of measured and simulated pitch link force (including harmonics) with different inflow models for the transition mode, nacelle angle 70°, and advance ratio 0.23~0.25. (a) Case 720 pitch link force; (b) Case 721 pitch link force; (c) Case 722 pitch link force; (d) Case 740 pitch link force.

Figure 22.
Comparison of measured and simulated pitch link force (including harmonics) with different inflow models for the transition mode, nacelle angle 60°, and advance ratio 0.18~0.22. (a) Case 610 pitch link force; (b) Case 612 pitch link force; (c) Case 630 pitch link force; (d) Case 632 pitch link force.
Figure 23.
Comparison of measured and simulated pitch link force (including harmonics) with different inflow models for the transition mode, nacelle angle 45°, and advance ratio 0.27. (a) Case 410 pitch link force; (b) Case 411 pitch link force.
Likewise, the higher harmonics of the moments and the higher harmonics of the pitch link forces usually come from the pitch moment of the blade, which is triggered by complex flow structures, which are unable to be captured by lower-order aerodynamic models. On the other hand, the control system mechanics including the pitch link bearings on the swashplate cannot be fully simulated by the current model.
4.3. Sectional Aerodynamic Coefficients by RCAC and CFD
In Figure 24, we present the contour of sectional CmM2 predicted by RCAC and CFD. In CFD, we assumed rigid blade motion, with only pitch motion and flap motion, and no deflection of the blade is considered. The contour levels of the sectional coefficients are kept the same in order to show the difference therein. The blank area of the rotor disk means a higher magnitude of CmM2 in that region, either larger than the upper limit or smaller than the lower limit of the color bar. The solid line is the contour of 0 value of CmM2. The major differences include the following:
Figure 24.
Comparison of CmM2 predicted by (a) the RCAC Linear inflow model and (b) CFD with a rigid blade assumption for case iN45, μ = 0.27, CT/σ = 0.0266.
- The area of negative (nose-down) pitch moment is different, as is shown by the 0 contour line;
- The maximum and minimum values of the pitch moment predicted by CFD is larger than the RCAC value;
- There is obvious divergence of CmM2 at the rotor tip for ψ = 45°~170°, which indicates a large vortical structure near the tips.
These differences in the prediction of CmM2 imply that the solution of aero-elastic coupled motion should defer from the reality. The oscillation of pitch link load therefore cannot be predicted well. CFD and CSD coupling analysis may be needed for better predicting the pitch link load. And elastic deformation of the blade in CFD may be needed for better prediction of alternating loads of flap and lag bending moments.
As is mentioned in the previous section, the static bending moment at the blade root for lower thrust coefficients have different signs to that of the measured data; this can be due to a larger deflection of the blade hence smaller centrifugal force contributed bending moments or a more outboard concentrated normal force distribution, which results in a larger upward flap bending moment. In Figure 25, the sectional normal force CnM2 by RCAC and CFD is compared. Again, the color bar is kept the same for the two cases. It is obvious that in the CFD case, the inboard CnM2 is smaller than that predicted by RCAC and the force at tip regions is larger. This can lead to the larger bending of the blade, which further reduces the downward bending moment contributed by the centrifugal force. To better predict the static bending moments for lower thrust coefficients, CFD–CSD coupling may be needed to reflect the mentioned phenomenon.
Figure 25.
Comparison of CnM2 predicted by (a) the RCAC Linear inflow model and (b) CFD with a rigid blade assumption for case iN45, μ = 0.27, CT/σ = 0.0266.
4.4. Error Sources
The trim procedure uses the hub-only moments as target values for trim, while the rotor down-wash can also affect the measured aerodynamic moments. Especially when the rotor disk tilts forward, the downwash accelerates the flow around the nacelle and supporting parts, yielding a larger axial force, which then adds up to the pitch moment. This means, for a given condition, that if the thrust coefficient is large, the real pitch moment at the hub is nose-down, instead of 0. However, this effect is small, since the smaller the nacelle angle, the higher the advance ratio and the thrust coefficient small, hence the downwash will not have a great influence on the rotor trim condition.
The vibration of the supporting system also introduces loads into the blade, especially the hub and transmission elasticity, which is not modeled currently. Vibration sensors during the test showed small amplitudes, which should not have a great influence on the blade loads.
5. Conclusions
A wind tunnel experiment of a tilt-proprotor carried out in CHRDI is introduced and the measured blade loads and control loads are compared with the predicted loads by a comprehensive analysis model established in RCAC. The Fan plot of the blade model is plotted and the structural modes are compared with the identified ones through an ascending rpm experiment.
The model to predict the blade and pitch loads uses the linear inflow model, non-linear free-wake with single tip vortex model, and non-linear free-wake with a multi-trailed vortex sheet model. Current findings include
In helicopter mode, the following applies:
- The predicted alternating flap and lag moments at the blade root by the free wake model are smaller than the predictions by the linear inflow model. The measured values are, in most cases, greater than the predicted ones. There is no big difference for the outboard alternating loads of the blade predicted by the single tip vortex model and the multi-trailed vortex sheet model;
- The predicted static flap and lag moments by the free wake model is similar to that by the linear inflow model. The measured blade root (0.21 R) moments are greater than the predicted ones. There is almost no difference among the three models used in this investigation;
- The free wake models can fairly well predict the 1/rev harmonics of flap bending moments, yet they failed to capture 3/rev harmonics. Meanwhile, the linear inflow model better predicts the 1/rev harmonics of lag bending moments. All models failed to capture the 4/rev harmonics of the lag moments;
- The measured alternating loads of the pitch link is 4~6 times larger than the predicted value. All the inflow models predict a descent amount of 1/rev harmonics, and neither model captures the higher harmonics.
For transition mode:
- 5.
- Similar to the helicopter mode, the predicted alternating flap and lag moments at the blade root by the free wake model are smaller than by the linear inflow model. But the measured alternating flap bending moments lie closer to the free-wake model predicted values. The measured alternating lead-lag bending moments lie between the linear inflow and the free wake model predicted values;
- 6.
- The predicted static flap and lag moments by the free wake model are similar to those by the linear inflow model. The measured blade root (0.21 R) moments are greater than the predicted ones. There is almost no difference for the three models used in this investigation. Attention must be paid for small thrust coefficients, with CT/σ < 0.075, and the predicted blade root static flap bending moments can have negative moment direction compared to the measured data. This is due to an inaccurate prediction of normal force distribution on the rotor disc, which may be improved by the CFD–CSD coupling process in later research;
- 7.
- The linear inflow model predicts larger 1/rev harmonics of flap bending moments than the free wake models; the latter correlated well with the measured data, yet failed to capture higher harmonics (5/rev). The measured 2/rev harmonics of lag bending moments are between the linear inflow and free wake model predicted values but are closer to the latter;
- 8.
- The measured alternating loads of the pitch link are 2~4 times larger than the predicted value. All the inflow models predict a descent amount of 1/rev harmonics, and neither model captures the higher harmonics. The alternating loads are affected by the thrust coefficients and the advance ratio; the former factor has a fairly larger influence than the latter;
- 9.
- The CFD simulation can acquire more detailed aerodynamic features for the transition mode; the sectional moment coefficients and the normal force coefficients helped to cast light on the mechanism behind the inaccurate prediction of the pitch link load and the static flap bending moments at low thrust coefficients. This implies that for more accurate prediction of the pitch link loads, CFD–CSD-coupled simulation is needed;
- 10.
- Both linear inflow and free-wake models fail to capture higher harmonics (3/rev, 4/rev, etc.) of flap and lag moments.
It should be noticed that the model’s inaccuracy in structural properties also contributes to the discrepancy between the solution and reality, especially the nonhomogeneous properties of the blades due to manufacturing. The model assumes perfectly homogeneous blades, and this simplification reduces the model’s ability to match test data. More efforts should be put into the mathematical description of these non-homogeneities and the resultant loads of the rotor in future work.
Author Contributions
Conceptualization, Y.R. and W.Z.; methodology, Y.R. and W.W.; validation, W.W. and W.Z.; formal analysis, Y.R. and W.W.; investigation, Y.R. and W.W.; writing—original draft preparation, Y.R.; writing—review and editing, Y.R. and W.W.; supervision, W.Z.; project administration, W.Z. All authors have read and agreed to the published version of the manuscript.
Funding
This research received no external funding.
Data Availability Statement
Due to confidential regulations of CHRDI, the original data are not available.
Acknowledgments
The experiment was supported mainly by my colleagues in the experiment department, Kaicheng Li, Cong Guo, Dezheng Li. They organized and provided data acquisition support. The blade structural properties were provided by my colleagues in the rotor department, Xingkai Tang, and Daxing Wei. The experiment and post-analysis were supported by all the leaders of CHRDI. Without their support, this paper could not be finished. We appreciate all the people who contributed to and supported the experiment.
Conflicts of Interest
The authors declare no conflicts of interest.
Abbreviations and Nomenclature
The following abbreviations and nomenclature are used in this manuscript:
| BEM | Blade Element Momentum theory. |
| CAMRAD | Comprehensive Analytical Model of Rotorcraft Aerodynamics and Dynamics. |
| CFD | Computational fluid dynamics. |
| CSD | Computational structural dynamics |
| eVTOLs | Electrical vertical take-off and landing vehicles |
| FFT | Fast Fourier Transform. |
| RCAC | Rotorcraft comprehensive analysis code |
| TRAM | Tilt-Rotor Aero-acoustic Model. |
| TTR | Tilt-Rotor Test Rig. |
| Pr | Pitch rod |
| CΓ | Circulation coefficient, Γ/ΩcR |
| CM,FLAP | blade flap bending moment coefficient, positive for the blade tip bending downward |
| CM,LAG | blade lead-lag bending moment coefficient, positive for a blade bending toward leading-edge |
| CPR | pitch rod force, positive for compression |
| CT/σ | rotor thrust coefficient, T/ρπΩ2R4 |
| c | blade chord, m. |
| Δ | Differences between predicted loads and measured ones. |
| ϵ | Blade to blade load difference |
| Γ | Circulation, m2/s. |
| κx,κy | Empirical constants adjusting for longitudinal and lateral inflow gradients. |
| λ | Inflow ratio, ratio of velocity perpendicular to the rotor disk over rotor tip speed. |
| ν | Kinetic viscosity. |
| n/rev | per revolution, n times basic frequency. |
| R | rotor radius, m |
| RSD | relative standard difference. |
| r/R | Non-dimensional blade radial station |
| Sb | Blade surface aera |
| T | thrust, N |
| U∞,V∞ | free stream velocity, m/s |
| Vtip | rotor tip speed, m/s |
| Ω | rotor rotating speed, rad/s |
| ρ | air density, kg/m3 |
| σ | rotor solidity ratio, NbSb/πR2 |
| μ | advance ratio |
| N,Nb | blade number |
Appendix A
The free wake loop of the RCAC is similar to CAMRAD II, the convergence of which is not checked, but the steps for the iteration of the wake loop are set in advance. The iteration steps for the calculation of wake geometry are also predetermined instead of introducing convergence criteria and checks during the simulation, which lowers the efficiency.
Table A1.
Free wake settings for simulation.
Table A1.
Free wake settings for simulation.
| SETTINGS | Meanings | Value |
|---|---|---|
| RDW | revolutions of wake are used for induced velocity off the wing. | 4 |
| RFW | revolutions of wake are used for induced velocity on the wing | 8 |
| CORE_Tip | Fraction of the tip vortex core radius compared to the mean chord of the blade | 0.5 |
| opVCD | Vorticity distribution type of the tip and root vortex | Scully Type |
| opVCG | Vortex core growth model | Leishman–Bagai |
| FVCG | Modification factor of the time constant for vortex core growth | 10,000 |
| MFWG | The extent of wake distortion (in revolutions) to be calculated | 4 |
| MBWG | The revolutions of wake below point where velocity is calculated | 4 |
| ITERWG | Iterations for the calculation of the wake geometry distortion | 4 |
| RLXWG | Relaxation factor for wake geometry calculation | 0.5 |
References
- Bell Helicopter Company. Advancement of Proprotor Technology. Task II—Wind-Tunnel Test Results; NASA CR-114363, Bell Report 300-099-004; Bell Helicopter Company: Fort Worth, TX, USA, 1971. [Google Scholar]
- Johnson, W. Calculation of Tiltrotor Aeroacoustic Model, Performance, Airloads, and Structural Loads. In Proceedings of the American Helicopter Society Aeromechanics Specialists’ Meeting, Atlanta, GA, USA, 13–15 November 2000. [Google Scholar]
- Staruk, W.; Datta, A. Fundamental understanding, prediction, and validation of tiltrotor dynamic loads in transition flight using RANS/FEA. In Proceedings of the 58th AIAA/ASCE-AHS-ASC Structures, Structural Dynamics, and Materials Conference, Grapevine, TX, USA, 9–13 January 2017. [Google Scholar]
- Bousman, W.G. A Review of the Development and Application of Helicopter Rotor Blade Airload and Structural Load Prediction Methods; NASA TP-2014-218271; NASA Ames Research Center: Mountain View, CA, USA, 2014. [Google Scholar]
- Bousman, W.G.; Maier, T.H. An Investigation of Helicopter Rotor Blade Flap Vibratory Loads. In Proceedings of the 48th Annual Forum of the American Helicopter Society, Washington, DC, USA, 3–5 June 1992. [Google Scholar]
- Ormiston, R.A. Comparison of Several Methods for Predicting Loads on a Hypothetical Helicopter Rotor. J. Am. Helicopter Soc. 1974, 19, 2–13. [Google Scholar] [CrossRef]
- Bousman, W.G.; Mantay, W.R. A Review of Research in Rotor Loads. In Proceedings of the NASA/Army Rotorcraft Technology Conference, Washington, DC, USA, 1 February 1988; Available online: https://ntrs.nasa.gov/citations/19880007246 (accessed on 15 May 2025).
- Hansford, M.; Vorwald, M. Comparison of Predicted and Measured Vibratory Rotor Loads for the Lynx Helicopter. J. Am. Helicopter Soc. 1998, 43, 318–327. [Google Scholar]
- Ho, J.C.; Yeo, H. Assessment of Comprehensive Analysis Predictions of Helicopter Rotor Blade Loads in Forward Flight. J. Fluids Struct. 2017, 68, 194–223. [Google Scholar] [CrossRef]
- Potsdam, M.; Yeo, H.; Johnson, W. Rotor Airloads Prediction Using Loose Aerodynamic/Structural Coupling. J. Aircr. 2006, 43, 732–742. [Google Scholar] [CrossRef]
- Datta, A.; Baeder, J.D.; Yeo, H.; Potsdam, M. Review of Rotor Loads Prediction with the Emergence of Rotorcraft CFD. In Proceedings of the European Rotorcraft Forum, Hamburg, Germany, 13–15 September 2005. [Google Scholar]
- Massey, J.B.; Peters, D.A.; Snyder, M.H. Coupled CFD/CSD Analysis of a Hingeless Rotor in Hover and Forward Flight. AIAA J. 2013, 51, 2373–2385. [Google Scholar]
- Ortun, A.; Costes, M.; Hassan, A.A. Rotor Loads Prediction on the ONERA 7A Rotor Using Loose Fluid/Structure Coupling. J. Am. Helicopter Soc. 2017, 62, 1–13. [Google Scholar] [CrossRef]
- Graziani, A.; Prederi, D.; Trezzini, A.A.; Favale, M.; Masarati, P. Prediction of Helicopter Rotor Loads and Fatigue Damage Evaluation with Neural Networks. Neural Comput. Appl. 2024, 36, 15–27. [Google Scholar] [CrossRef]
- Ballarin, P.; Sala, G.; Macchi, M.; Roda, I.; Baldi, A.; Airoldi, A. Application of Artificial Neural Networks to a Model of a Helicopter Rotor Blade for Damage Identification in Realistic Load Conditions. Sensors 2024, 24, 5411. [Google Scholar] [CrossRef] [PubMed]
- Johnson, W. Dynamics of Tilting Proprotor Aircraft in Cruise Flight; NASA TM D-7677; NASA: Washington, DC, USA, 1974. [Google Scholar]
- Johnson, W. Analytical Modeling Requirements for Tilting Proprotor Aircraft Dynamics; NASA TN D-8013; NASA: Washington, DC, USA, 1975. [Google Scholar]
- Acree, C.W.; Tischler, M.B. Identification of XV-15 Aeroelastic Modes Using Frequency-Domain Methods; NASA: Washington, DC, USA, 1993. [Google Scholar]
- NASA. HART-II Acoustic Predictions Using a Coupled CFD/CSD Method; NASA/CR-2009-22380; NASA: Washington, DC, USA, 2009. [Google Scholar]
- Yeo, H.; Truong, K.V.; Ormiston, R.A. Comparison of One-Dimensional and Three-Dimensional Structural Dynamics Modeling of Advanced Geometry Blades. J. Aircr. 2014, 51, 226–235. [Google Scholar] [CrossRef]
- Qin, X.; Li, Y.; Guo, W. A Coupling VWM/CFD/CSD Method for Rotor Airload Prediction. Chin. J. Aeronaut. 2016, 29, 123–134. [Google Scholar]
- Johnson, W. CAMRAD II, Comprehensive Analytical Model of Rotorcraft Aerodynamics and Dynamics; Johnson Aeronautics: Palo Alto, CA, USA, 1992. [Google Scholar]
- Johnson, W. A General Free Wake Geometry Calculation for Wings and Rotors. In Proceedings of the 51st Annual Forum of the American Helicopter Society, Fort Worth, TX, USA, 9–11 May 1995. [Google Scholar]
- Wissink, A.M.; Potsdam, M.; Sankaran, V.; Sitaraman, J.; Mavriplis, D. A Dual-Mesh Unstructured Adaptive Cartesian Computational Fluid Dynamics Approach for Hover Prediction. J. Am. Helicopter Soc. 2016, 61, 1–19. [Google Scholar] [CrossRef]
- Hodges, D.H. Nonlinear Composite Beam Theory; American Institute of Aeronautics and Astronautics: Reston, VA, USA, 2006. [Google Scholar]
- Bauchau, O.A.; Craig, J.I. Structural Analysis: With Applications to Aerospace Structures; Springer: Dordrecht, The Netherlands, 2009. [Google Scholar]
- Leishman, J.G. Principles of Helicopter Aerodynamics; Cambridge University Press: Cambridge, UK, 2016. [Google Scholar]
- Johnson, W. Helicopter Theory; Dover Publications: Mineola, NY, USA, 1980. [Google Scholar]
- White, T.; Blake, B.B. Improved Method of Predicting Helicopter Control Response and Gust Sensitivity. In Proceedings of the Annual National Forum of the American Helicopter Society, Wahsington, DC, USA, 21–23 May 1979. [Google Scholar]
- Scully, M.P. Computation of Helicopter Rotor Wake Geometry and its Influence on Rotor Harmonic Airloads. Ph.D. Thesis, Massachusetts Institute of Technology, Cambridge, MA, USA, 1975. [Google Scholar]
- Cesnik, C.E.S.; Hodges, D.H. VABS: A New Concept for Composite Rotor Blade Cross-Sectional Modeling. In Proceedings of the American Helicopter Society Forum, Fort Worth, TX, USA, 9–11 May 1995. [Google Scholar]
- Siemens Digital Industries Software. STAR-CCM+ (Version 13.04.011-R8). Siemens PLM Software. 2025. Available online: https://www.plm.automation.siemens.com/global/en/products/simcenter/STAR-CCM.html (accessed on 15 May 2025).
- Ruan, Y.; Hajek, M. Numerical investigation of a dynamic stall on a single rotating blade. Aerospace 2021, 8, 90. [Google Scholar] [CrossRef]
Disclaimer/Publisher’s Note: The statements, opinions and data contained in all publications are solely those of the individual author(s) and contributor(s) and not of MDPI and/or the editor(s). MDPI and/or the editor(s) disclaim responsibility for any injury to people or property resulting from any ideas, methods, instructions or products referred to in the content. |
© 2025 by the authors. Licensee MDPI, Basel, Switzerland. This article is an open access article distributed under the terms and conditions of the Creative Commons Attribution (CC BY) license (https://creativecommons.org/licenses/by/4.0/).