Conceptual Design of Hybrid Aerial Vehicle for Venus Exploration
Abstract
1. Introduction
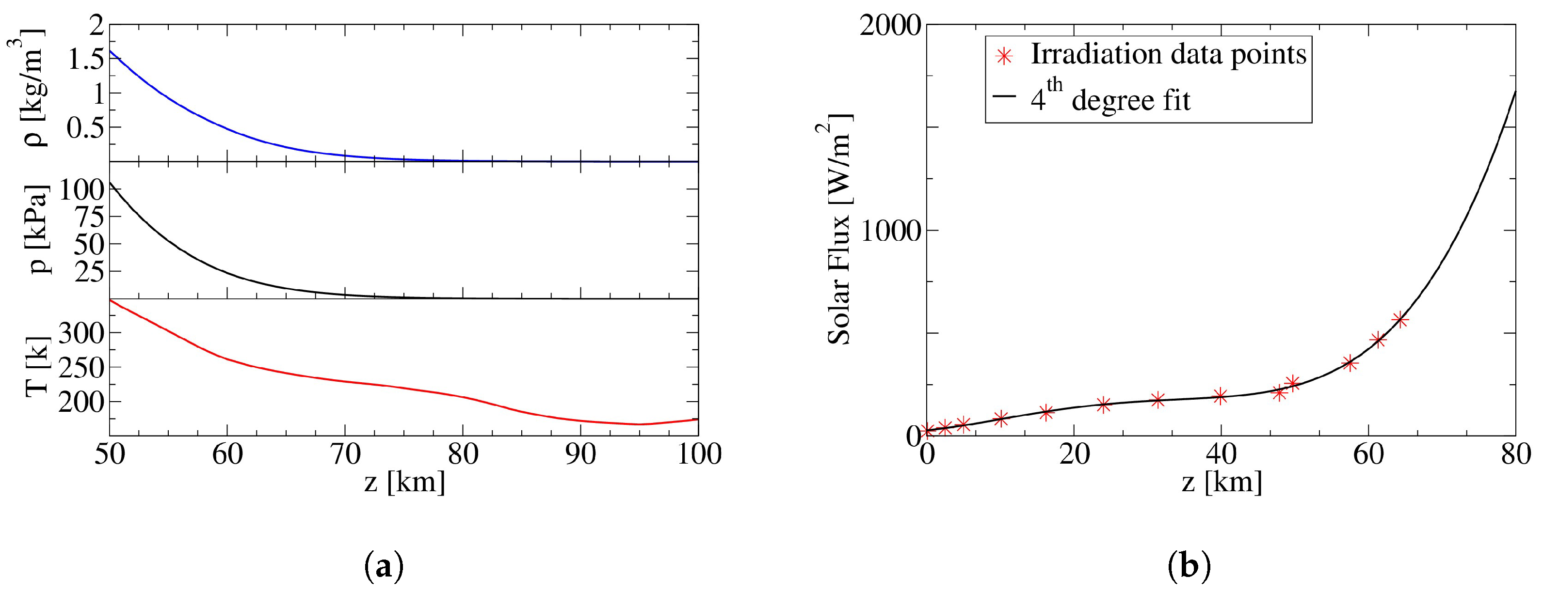
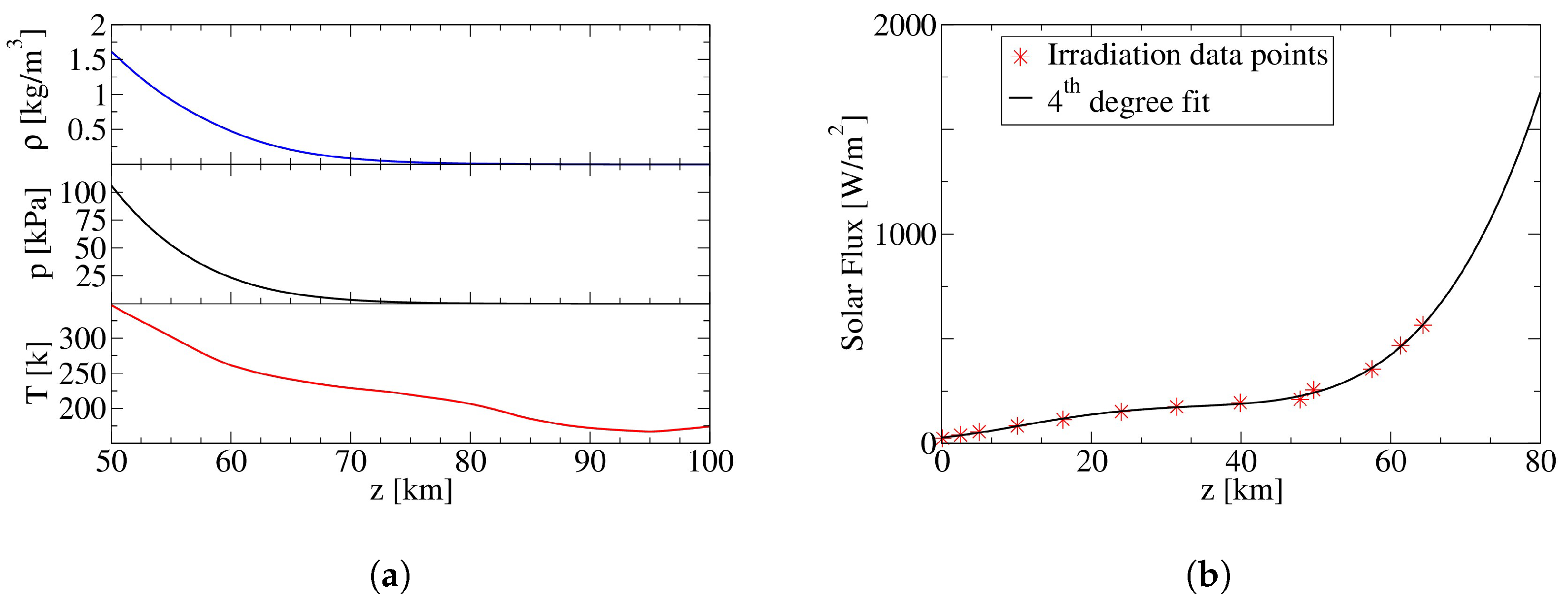
2. Mission Environment
3. Envisioned Operational Strategy
4. Vehicle Conceptualization
4.1. Vehicle Geometry
4.2. Skin Materials
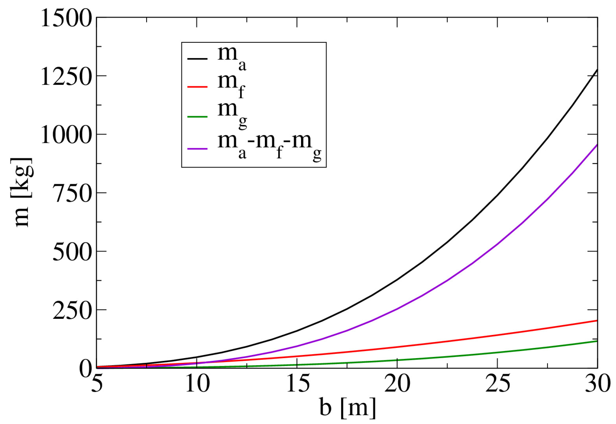
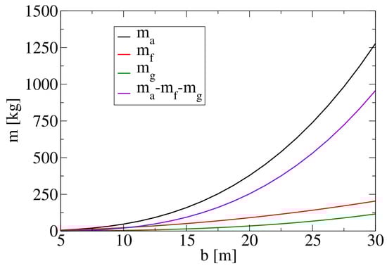
4.3. Vehicle Sizing
4.4. Navigation, Communication, and Science Payload
4.5. Solar Panel and Battery Sizing
5. Thermal and Trajectory Analysis
5.1. Trajectory Model
5.1.1. Vertical Force Balance
5.1.2. Volume Change
5.1.3. Heat Balance for Film
5.1.4. Convective Heat Transfer
5.1.5. Heat Balance for Lifting Gas
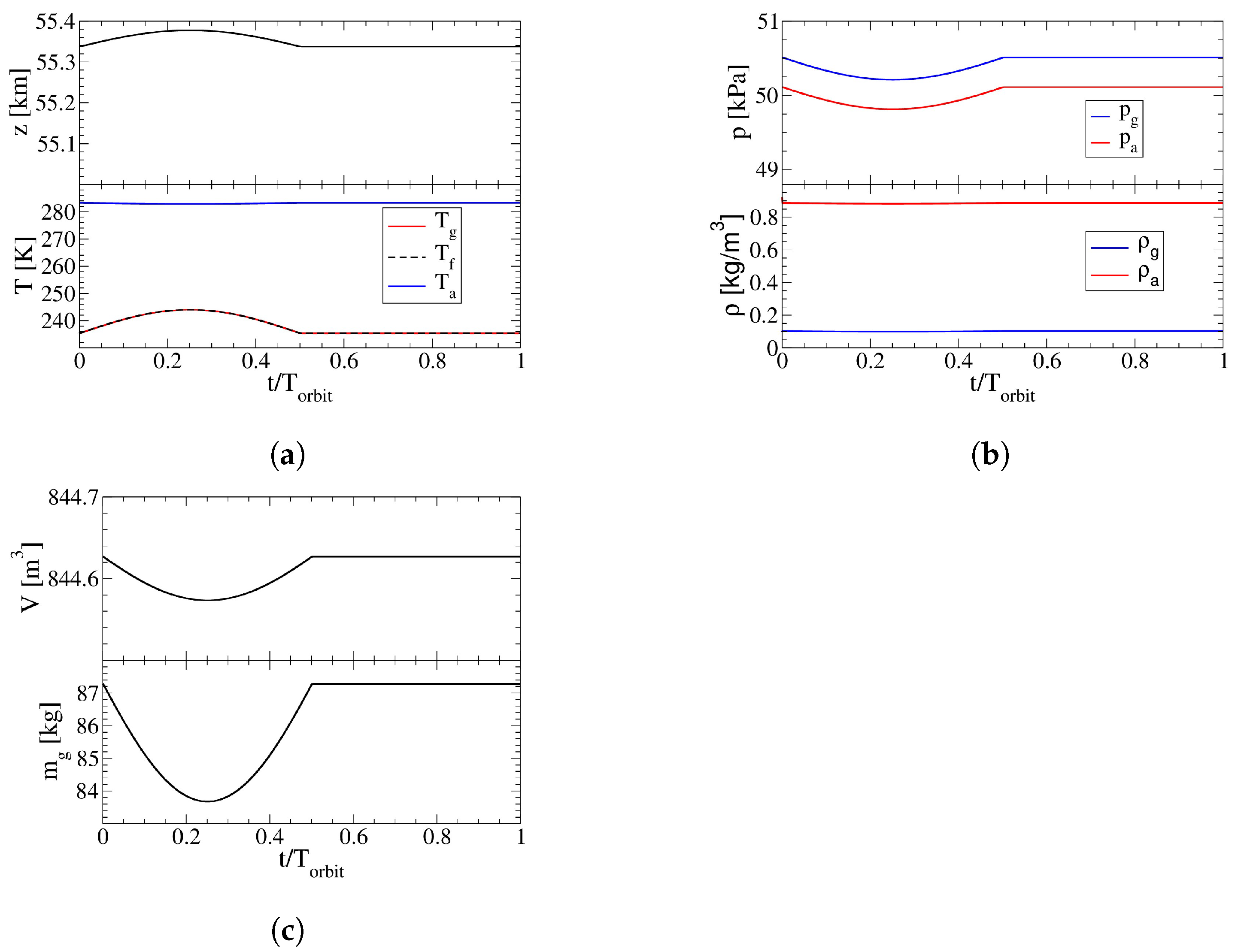
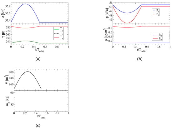
5.2. Results
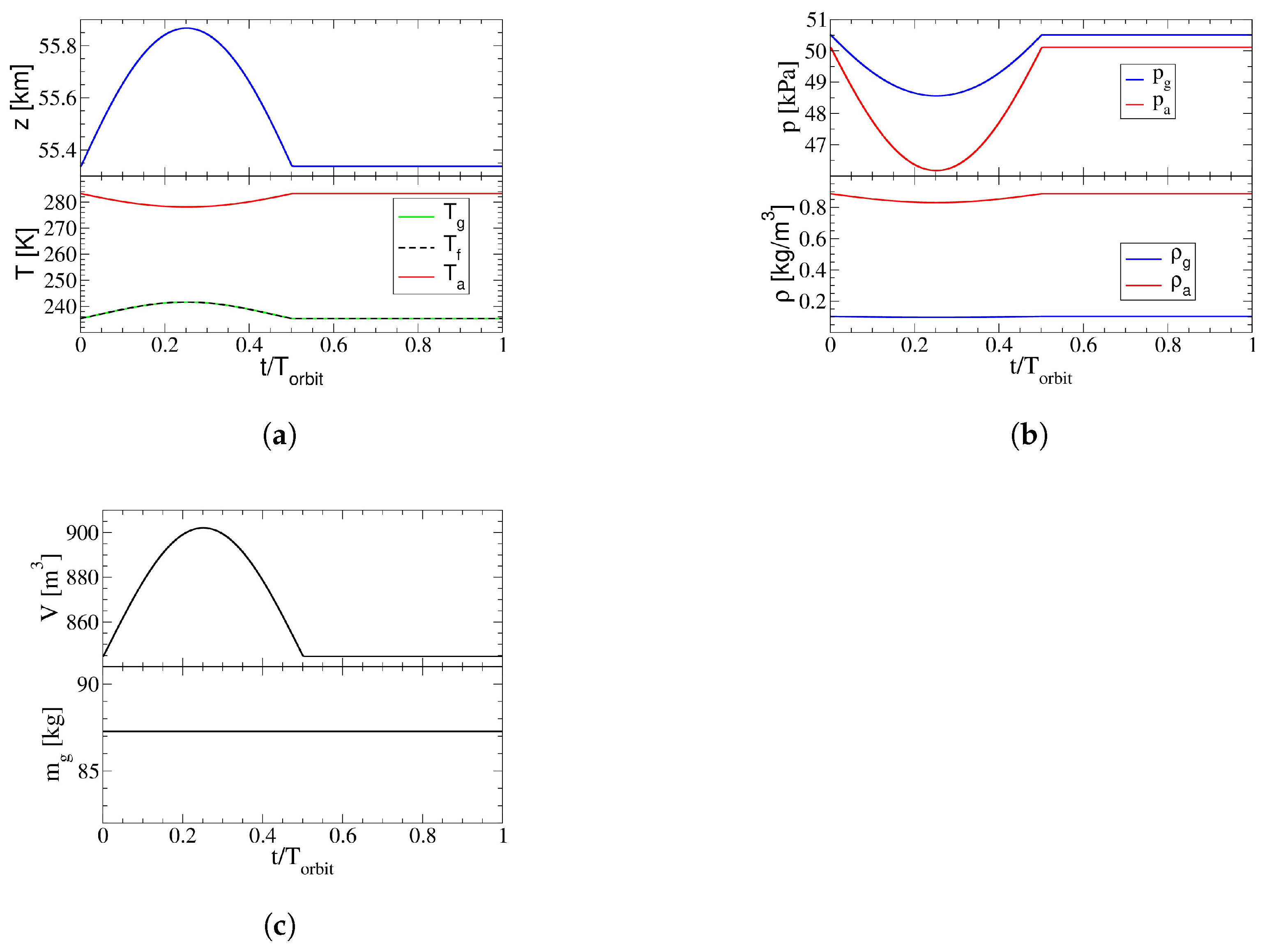
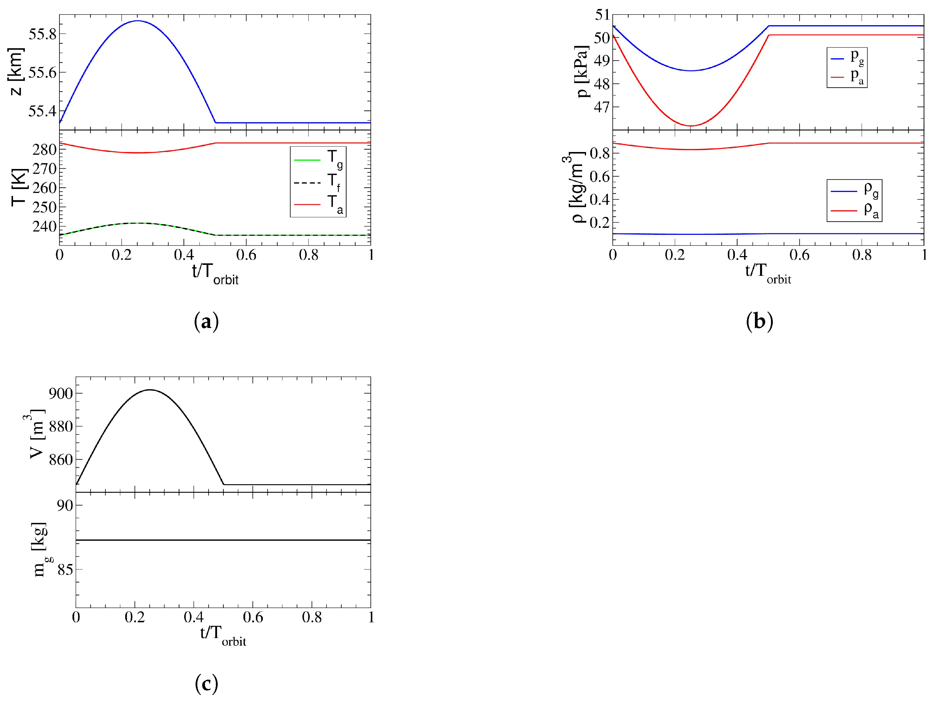
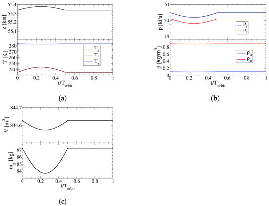
5.2.1. Case 1: Variable Mass
5.2.2. Case 2: Fixed Mass
6. Skin Stress Analysis
7. Aerodynamic Analysis
7.1. Two-Dimensional Airfoil Section
7.2. Three-Dimensional Vehicle
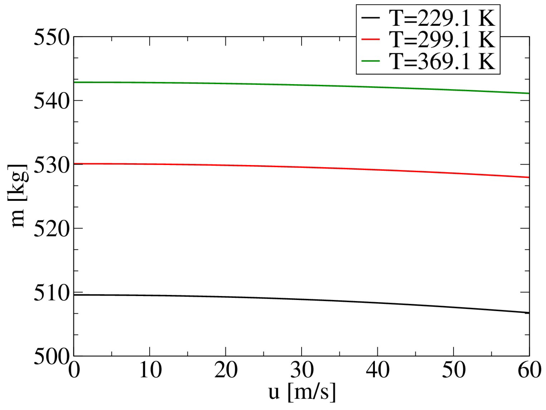
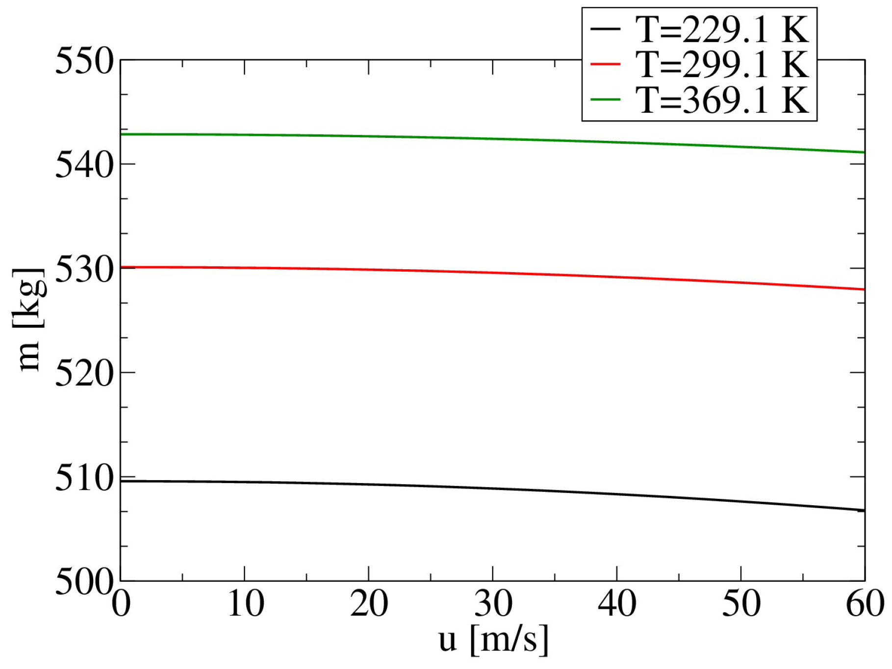
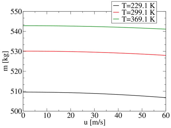
7.3. Powered Flight Analysis
7.3.1. Case 1: Straight and Level Neutrally Buoyant Flight at Constant Altitude
7.3.2. Case 2: Altitude and Airspeed for Flight with Aerodynamic Lift
8. Future Analysis
9. Conclusions
Author Contributions
Funding
Data Availability Statement
Conflicts of Interest
References
- Zasova, L.; Moroz, V.; Linkin, V.; Khatuntsev, I.; Maiorov, B. Structure of the Venusian atmosphere from surface up to 100 km. Cosm. Res. 2006, 44, 364–383. [Google Scholar] [CrossRef]
- Venus Exploration Analysis Group. Venus Technology Plan. 2014. Available online: https://www.lpi.usra.edu/vexag/documents/reports/Venus-Technology-Plan-140617.pdf (accessed on 16 April 2023).
- Izraelevitz, J.S.; Hall, J.L. Minimum-Mass Limits for Streamlined Venus Atmospheric Probes. J. Spacecr. Rocket. 2020, 57, 683–691. [Google Scholar] [CrossRef]
- Venus Exploration Analysis Group. Goals, Objectives, and Investigations for Venus Exploration. 2014. Available online: https://www.lpi.usra.edu/vexag/documents/reports/GOI-140625.pdf (accessed on 16 April 2023).
- Gilmore, M.; Beauchamp, P.; Lynch, R.; Amato, M. Venus Flagship Mission Planetary Decadal Study Final Report. 2020. Available online: https://science.nasa.gov/science-red/s3fs-public/atoms/files/Venus%20Flagship%20Mission.pdf (accessed on 16 April 2023).
- Hall, J.L.; Pauken, M.; Schutte, A.; Krishnamoorthy, S.; Aiazzi, C.; Izraelevitz, J.; Lachenmeier, T.; Turner, C. Prototype Development of a Variable Altitude Venus Aerobot. In Proceedings of the AIAA Aviation 2021 Forum, Virtual Event, 2–6 August 2021; AIAA Paper 2021–2696. AIAA: Reston, VA, USA, 2021. [Google Scholar]
- Carlson, L.A.; Horn, W.J. New thermal and trajectory model for high-altitude balloons. J. Aircr. 1983, 20, 500–507. [Google Scholar] [CrossRef]
- Agrawal, R.; Buchanan, W.P.; Arora, A.; Girija, A.P.; De Jong, M.; Seager, S.; Petkowski, J.J.; Saikia, S.J.; Carr, C.E.; Grinspoon, D.H.; et al. Mission architecture to characterize habitability of venus cloud layers via an aerial platform. Aerospace 2022, 9, 359. [Google Scholar] [CrossRef]
- Landis, G.; Colozza, A.; LaMarre, C. Atmospheric Flight on Venus. In Proceedings of the 40th AIAA Aerospace Sciences Meeting & Exhibit, Reno, NV, USA, 14–17 January 2002; AIAA Paper 2002–819. AIAA: Reston, VA, USA, 2002. [Google Scholar]
- Landis, G.A.; LaMarre, C.; Colozza, A. Venus atmospheric exploration by solar aircraft. Acta Astronaut. 2005, 56, 750–755. [Google Scholar] [CrossRef]
- Landis, G.A.; Colozza, A.J. Evaluation of Long Duration Flight on Venus; NASA/TM-2006-214452; NASA Glenn Research Center: Cleveland, OH, USA, 2006.
- Xiongfeng, Z.; Zheng, G.; Zhongxi, H. Sun-seeking eternal flight solar-powered airplane for Venus exploration. J. Aerosp. Eng. 2015, 28. [Google Scholar] [CrossRef]
- Herkenhoff, B.; Fisher, J.; Hassanalian, M. Performance Analysis of Solar Fixed-wing Drones on Venus. In Proceedings of the 18th Meeting of the Venus Exploration Analysis Group (VEXAG), Virtual Event, 16–17 November 2020. [Google Scholar]
- Acosta, G.A.; Grow, D.; Hassanalian, M. Design and Analysis of a High Pressure and High Temperature Fixed Wing Space Drone for Venus Exploration. In Proceedings of the AIAA Aviation 2019 Forum; Dallas, TX, USA, 17–21 June 2019, AIAA Paper 2019–3465; AIAA: Reston, VA, USA, 2019. [Google Scholar]
- David, L. A Venus Aircraft Could Be in NASA’s Plans. 2018. Available online: https://www.space.com/41033-venus-atmosphere-aircraft-nasa-contract.html (accessed on 29 June 2018).
- Bullock, M.; Elston, J.; Stachura, M.; Lebonnois, S. Long Duration In Situ Science in Venus’ Clouds Enabled by Dynamic Soaring. In Proceedings of the 18th Meeting of the Venus Exploration Analysis Group (VEXAG), Virtual Event, 16–17 November 2020. [Google Scholar]
- Young, L.A.; Aiken, E.W.; Derby, M.; Johnson, J.; Navarrete, J.; Klem, J.; Demblewski, R.; Andrews, J.; Torres, R. Engineering Studies into Vertical Lift Planetary Aerial Vehicles. In Proceedings of the American Helicopter Society International Meeting on Advanced Rotorcraft Technology and Life Saving Activities, Montreal, QC, Canada, 11–13 June 2002. [Google Scholar]
- Agis, F. Venus Inflatable Airplane Concept. 2015. Available online: https://wordlesstech.com/venus-inflatable-airplane-concept/ (accessed on 14 May 2015).
- Breuer, J.; Ockels, W.; Luchsinger, R. An Inflatable Wing Using the Principle of Tensairity. In Proceedings of the 48th AIAA/ASME/ASCE/AHS/ASC Structures, Structural Dynamics, and Materials Conference, Honolulu, HI, USA, 23–26 April 2007; AIAA Paper 2007–2117. AIAA: Reston, VA, USA, 2019. [Google Scholar]
- Flying Stingray, Handouts 4/11/03 English, Prospective Concepts Company. Available online: https://www.prospective-concepts.ch/ (accessed on 9 March 2023).
- Festo Air Ray. A Remote-Controlled Hybrid Construction with Flapping-Wing Mechanism. Festo Company. Available online: https://www.festo.com/us/en/e/about-festo/research-and-development/bionic-learning-network/highlights-from-2006-to-2009/air-ray-id_33851/ (accessed on 9 March 2023).
- Tomasko, M.; Doose, L.; Smith, P.H.; Odell, A. Measurments of the Flux of sunlight in the atmosphere of Venus. J. Geophys. Res. 1980, 85, 8167–8186. [Google Scholar] [CrossRef]
- Moroz, V. Stellar magnitude and albedo data of Venus. In Venus; The University of Arizona Press: Tucson, AZ, USA, 1983; pp. 27–35. [Google Scholar]
- Titov, D.V.; Bullock, M.A.; Crisp, D.; Renno, N.O.; Taylor, F.W.; Zasova, L.V. Radiation in the Atmosphere of Venus. Explor. Venus Terr. Planet 2007, 176, 121. [Google Scholar] [CrossRef]
- NASA. Venus Fact Sheet. 2021. Available online: https://nssdc.gsfc.nasa.gov/planetary/factsheet/venusfact.html (accessed on 20 April 2022).
- NASA. Earth Fact Sheet. 2021. Available online: https://nssdc.gsfc.nasa.gov/planetary/factsheet/earthfact.html (accessed on 2 November 2022).
- Gilmore, D. (Ed.) Spacecraft Thermal Control Handbook; AIAA: Reston, VA, USA, 2002; Volume 1, Chapter 2. [Google Scholar] [CrossRef]
- Colozza, A.; Landis, G. Solar Powered Flight on Venus; NASA/CR-2004-213052; NASA Glenn Research Center: Cleveland, OH, USA, 2004.
- Lee, G.; Polidan, R.S.; Ross, F. Venus Atmospheric Maneuverable Platform (VAMP)—A Low Cost Venus Exploration Concept. In Proceedings of the American Geophysical Union, Fall Meeting 2015, San Francisco, CA, USA, 14–18 December 2015. [Google Scholar]
- Luchsinger, R.H.; Pedretti, M.; Reinhard, A. Pressure induced stability: From pneumatic structures to Tensairity. J. Bionic Eng. 2004, 1, 141–148. [Google Scholar] [CrossRef]
- Van Nuenen, P. FEP Datasheet and FEP Properties. 2019. Available online: https://fep-film.com/fep-datasheet-fep-properties/ (accessed on 2 November 2022).
- DuPont. DuPont™ Kapton® PST. Available online: https://www.dupont.com/content/dam/dupont/amer/us/en/ei-transformation/public/documents/en/EI-10150-Kapton-PST-Data-Sheet.pdf (accessed on 2 November 2022).
- Matweb. Chemours 100 FEP Fluorinated Ethylene Propylene. Available online: https://www.matweb.com/search/datasheet_print.aspx?matguid=3dbaaa8dbb114c57996acd6738a7efc1&n=1 (accessed on 2 November 2022).
- Matweb. DuPont™ Kapton® 500VN Polyimide Film, 125 Micron Thickness. Available online: https://www.matweb.com/search/datasheet_print.aspx?matguid=338573ad1bdf4586aa17fab95f3a57d7 (accessed on 2 November 2022).
- Parker Hannifin Corporation. MicroStrain Sensing Product Datasheet: 3DM-GX5-GNSS/INS. Available online: https://www.microstrain.com/inertial-sensors/3dm-gx5-45 (accessed on 2 November 2022).
- Innovative Sensor Technology IST AG. Application Note RTD Platinum Sensor. Available online: https://www.farnell.com/datasheets/2340312.pdf (accessed on 2 November 2022).
- Emerson Automation Solutions. Paine Miniature-Satellite Series Pressure Transmitter. Available online: https://www.emerson.com/documents/automation/product-data-sheet-212-miniature-space-satellite-pressure-transmitter-paine-en-80396.pdf (accessed on 2 November 2022).
- Pagliaro, M.; Ciriminna, R.; Palmisano, G. Flexible solar cells. ChemSusChem Chem. Sustain. Energy Mater. 2008, 1, 880–891. [Google Scholar] [CrossRef]
- Brennen, C.E. A Review of Added Mass and Fluid Inertial Forces; Department of the Navy: Port Hueneme, CA, USA, 1982. Available online: https://resolver.caltech.edu/CaltechAUTHORS:BREncel82 (accessed on 15 April 2023).
- Holman, J. Heat Transfer, 10th ed.; McGraw Hill: New York, NY, USA, 2010; pp. 346–347. [Google Scholar]
- White, F.M. Viscous Fluid Flow; McGraw-Hill: New York, NY, USA, 2006. [Google Scholar]
- Churchill, S.W.; Chu, H.H. Correlating equations for laminar and turbulent free convection from a vertical plate. Int. J. Heat Mass Transf. 1975, 18, 1323–1329. [Google Scholar] [CrossRef]
- Corke, T.C. Design of Aircraft; Prentice Hall: Hoboken, NJ, USA, 2003; pp. 75–76. [Google Scholar]



















| Temperature, T | 299 K |
| Pressure, p | 50.1 kPa |
| Density, | 0.887 kg/m |
| Solar irradiation, I | 318 W/m |
| Surface density, [31,32] | 196 g/m |
| Absorption coefficient, [6] | 0.09 |
| Emission coefficient, [6] | 0.48 |
| Specific heat, [33,34] | 1047 J/(kg K) |
| Zero lift angle of attack, | −1.906 |
| Drag coefficient at zero lift, | 0.00684 |
| Lift coefficient at = 10 degrees, | 0.362 |
| Drag coefficient at = 10 degrees, | 0.0277 |
| Lift coefficient slope, | 0.0399 |
| Moment coefficient slope, | −0.0129 |
Disclaimer/Publisher’s Note: The statements, opinions and data contained in all publications are solely those of the individual author(s) and contributor(s) and not of MDPI and/or the editor(s). MDPI and/or the editor(s) disclaim responsibility for any injury to people or property resulting from any ideas, methods, instructions or products referred to in the content. |
© 2023 by the authors. Licensee MDPI, Basel, Switzerland. This article is an open access article distributed under the terms and conditions of the Creative Commons Attribution (CC BY) license (https://creativecommons.org/licenses/by/4.0/).
Share and Cite
Rosales, J.; Miller, A.; Nunez, E.; Gross, A.; Chanover, N. Conceptual Design of Hybrid Aerial Vehicle for Venus Exploration. Aerospace 2023, 10, 534. https://doi.org/10.3390/aerospace10060534
Rosales J, Miller A, Nunez E, Gross A, Chanover N. Conceptual Design of Hybrid Aerial Vehicle for Venus Exploration. Aerospace. 2023; 10(6):534. https://doi.org/10.3390/aerospace10060534
Chicago/Turabian StyleRosales, Jesus, Addison Miller, Edgar Nunez, Andreas Gross, and Nancy Chanover. 2023. "Conceptual Design of Hybrid Aerial Vehicle for Venus Exploration" Aerospace 10, no. 6: 534. https://doi.org/10.3390/aerospace10060534
APA StyleRosales, J., Miller, A., Nunez, E., Gross, A., & Chanover, N. (2023). Conceptual Design of Hybrid Aerial Vehicle for Venus Exploration. Aerospace, 10(6), 534. https://doi.org/10.3390/aerospace10060534

