Liquid Nitrogen Flow Boiling Critical Heat Flux in Additively Manufactured Cooling Channels
Abstract
1. Introduction
2. Materials and Methods
2.1. High Heat Flux Test Facility (HHFTF)
2.2. Thermal Concentrator
2.3. Test Channels
2.4. Test Procedure
2.5. Data Analysis
2.6. Experimental Uncertainty
3. Results and Discussions
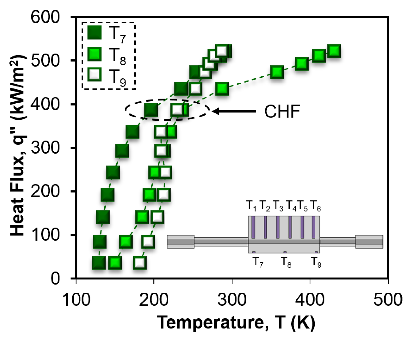
3.1. Repeatability
3.2. Effect of Mass Flux
3.3. Effect of Inlet Pressure and Subcooling
3.4. Effect of Channel Size
3.5. CHF Correlation
4. Conclusions
Author Contributions
Funding
Data Availability Statement
Conflicts of Interest
References
- Ganesan, V.; Patel, R.; Hartwig, J.; Mudawar, I. Universal Critical Heat Flux (CHF) Correlations for Cryogenic Flow Boiling in Uniformly Heated Tubes. Int. J. Heat Mass Transf. 2021, 166, 120678. [Google Scholar] [CrossRef]
- Gubaidullin, D.A.; Snigerev, B.A. Numerical Simulation of Heat Transfer During Boiling Flow of Cryogenic Fluid in Vertical Tube. Lobachevskii J. Math. 2020, 41, 1210–1215. [Google Scholar] [CrossRef]
- Kwon, D.W.; Sedwick, R.J. Cryogenic heat pipe for cooling high temperature superconductors. Cryogenics 2009, 49, 514–523. [Google Scholar] [CrossRef]
- Marcushamer, M.; King, D.L.; Ruano, N.S. Cryosurgery in the management of mucoceles in children. Pediatr. Dent. 1997, 19, 292–293. [Google Scholar]
- Yuan, K. Cryogenic Boiling and Two-Phase Chilldown Process Under Terrestrial and Microgravity Conditions. Ph.D. Thesis, University of Florida, Gainesville, FL, USA, 2006. [Google Scholar]
- Zhou, C.; Yu, N.; Wang, S.; Han, S.; Gong, H.; Cai, G.; Wang, J. The Influence of Thrust Chamber Structure Parameters on Regenerative Cooling Effect with Hydrogen Peroxide as Coolant in Liquid Rocket Engines. Aerospace 2023, 10, 65. [Google Scholar] [CrossRef]
- Ferraiuolo, M.; Leo, M.; Citarella, R. On the Adoption of Global/Local Approaches for the Thermomechanical Analysis and Design of Liquid Rocket Engines. Appl. Sci. 2020, 10, 7664. [Google Scholar] [CrossRef]
- Cho, W.K.; Seol, W.S.; Son, M.; Seo, M.K.; Koo, J. Development of preliminary design program for combustor of regenerative cooled liquid rocket engine. J. Therm. Sci. 2011, 20, 467–473. [Google Scholar] [CrossRef]
- Van Huff, N.E.; Fairchild, D.A. Liquid Rocket Engine Fluid-Cooled Combustion Chambers; NASA Lewis Research Center: Cleveland, OH, USA, 1972.
- Sutton, G.P.; Biblarz, O. Rocket Propulsion Elements, 9th ed.; John Wiley & Sons Inc.: Hoboken, NJ, USA, 2017. [Google Scholar]
- Boysan, M.E.; Ulas, A.; Toker, K.A.; Seckin, B. Comparison of Different Aspect Ratio Cooling Channel Designs for a Liquid Propellant Rocket Engine. In Proceedings of the 2007 3rd International Conference on Recent Advances in Space Technologies, Istanbul, Turkey, 14–16 June 2007. [Google Scholar]
- Wang, T.-S.; Luong, V. Hot-gas-side and coolant-side heat transfer in liquid rocket engine combustors. J. Thermophys. Heat Transf. 1994, 8, 524–530. [Google Scholar] [CrossRef]
- Celata, G.P.; Mariani, A. Critical Heat Flux, Post Dry-Out and Their Augmentation; ENEA-RT-ERG-98-10; ENEA: Rome, Italy, 1999. [Google Scholar]
- Wadel, M. Comparison of high aspect ratio cooling channel designs for a rocket combustion chamber. In Proceedings of the 33rd Joint Propulsion Conference and Exhibit, Joint Propulsion Conferences, Seattle, WA, USA, 6–9 July 1997; American Institute of Aeronautics and Astronautics: Reston, VA, USA, 1998. [Google Scholar]
- Van Noord, J.L.; Center, N.G.R.; Meeting, J.P. A Heat Transfer Investigation of Liquid and Two-Phase Methane; National Aeronautics and Space Administration, Glenn Research Center: Cleveland, OH, USA, 2010.
- Huzel, D.K.; Huang, D.H. Design of Liquid Propellant Rocket Engines, 2nd ed.; Scientific and Technical Information Office, National Aeronautics and Space Administration: Washington, DC, USA, 1967.
- Pizzarelli, M. Modeling of Cooling Channel Flow in Liquid-Propellant Rocket Engines. Ph.D. Thesis, University of Rome, Rome, Italy, 2007. [Google Scholar]
- Denies, L. Regenerative Cooling Analysis of Oxygen/Methane Rocket Engines. Master’s Thesis, TU Delft, Mekelweg, The Netherlands, 2015. [Google Scholar]
- Waxenegger-Wilfing, G.; Dresia, K.; Deeken, J.C.; Oschwald, M. Heat Transfer Prediction for Methane in Regenerative Cooling Channels with Neural Networks. J. Thermophys. Heat Transf. 2020, 34, 347–357. [Google Scholar] [CrossRef]
- Song, J.; Liang, T.; Li, Q.; Cheng, P.; Zhang, D.; Cui, P.; Sun, J. Study on the heat transfer characteristics of regenerative cooling for LOX/LCH4 variable thrust rocket engine. Case Stud. Therm. Eng. 2021, 28, 101664. [Google Scholar] [CrossRef]
- Santhosh, T.; Kuzhiveli, B.T. Heat transfer aspects and analysis of regenerative cooling in semi-cryogenic thrust chamber with fixed and variable aspect ratio coolant channels. In Proceedings of the IOP Conference Series: Materials Science and Engineering, Kazimierz Dolny, Poland, 21–23 November 2019. [Google Scholar]
- Wadel, M.; Meyer, M. Validation of high aspect ratio cooling in a 89 kN (20,000 lbf) thrust combustion chamber. In Proceedings of the 32nd Joint Propulsion Conference and Exhibit, Lake Buena Vista, FL, USA, 1–3 July 1996; American Institute of Aeronautics and Astronautics: Reston, VA, USA, 1996. [Google Scholar]
- Carlile, J.; Quentmeyer, R. An experimental investigation of high-aspect-ratio cooling passages. In Proceedings of the 28th Joint Propulsion Conference and Exhibit, Nashville, TN, USA, 6–8 July 1992; American Institute of Aeronautics and Astronautics: Reston, VA, USA, 2012. [Google Scholar]
- Ellis, D. GRCop-84: A High-Temperature Copper Alloy for High-Heat-Flux Applications; NASA Glenn Research Center: Cleveland, OH, USA, 2005.
- Gradl, P.R.; Protz, C.S.; Cooper, K.; Ellis, D.; Evans, L.J.; Garcia, C. GRCop-42 Development and Hot-fire Testing Using Additive Manufacturing Powder Bed Fusion for Channel-cooled Combustion Chambers. In Proceedings of the AIAA Propulsion and Energy 2019 Forum, Indianapolis, IN, USA, 19–22 August 2019; American Institute of Aeronautics and Astronautics: Reston, VA, USA, 2019. [Google Scholar]
- Ortega, D.; Amador, A.; Silva, A.; Choudhuri, A.R.; Rahman, M.M. Effect of Pressure on Liquid Nitrogen Flow Boiling in Additively Manufactured Rocket Engine Cooling Channels. In Proceedings of the AIAA SciTech Forum, National Harbor, MD, USA, 23–27 January 2023; American Institute of Aeronautics and Astronautics: Reston, VA, USA, 2023. [Google Scholar]
- Ortega, D.J.; Amador, A.; Choudhuri, A.R.; Rahman, M.M. Experimental Characterization of Critical Heat Flux and Minimum Film Boiling Heat Flux for Additively Manufactured Cooling Channels for Liquid Nitrogen Saturated Flow Boiling. In Proceedings of the ASME International Mechanical Engineering Congress, and Exposition, Columbus, OH, USA, 30 October–3 November 2022. [Google Scholar]
- Hernandez, L.; Palacios, R.; Ortega, D.; Adams, J.; Bugarin, L.I.; Rahman, M.D.M.; Choudhuri, A.R. The Effect of Surface Roughness on LCH4 Boiling Heat Transfer Performance of Conventionally and Additively Manufactured Rocket Engine Regenerative Cooling Channels. In Proceedings of the AIAA Propulsion and Energy 2019 Forum, Indianapolis, IN, USA, 19–22 August 2019; American Institute of Aeronautics and Astronautics: Reston, VA, USA, 2019. [Google Scholar]
- Moffat, R.J. Describing the uncertainties in experimental results. Exp. Therm. Fluid Sci. 1988, 1, 3–17. [Google Scholar] [CrossRef]
- Rahman, M.M.; Ölçeroğlu, E.; McCarthy, M. Scalable Nanomanufacturing of Virus-templated Coatings for Enhanced Boiling. Adv. Mater. Interfaces 2014, 1, 1300107. [Google Scholar] [CrossRef]
- Liu, X.; Chen, X.; Zhang, Q.; Wang, S.; Hou, Y.; Chen, L. Investigation on CHF of saturated liquid nitrogen flow boiling in a horizontal small channel. Appl. Therm. Eng. 2017, 125, 1025–1036. [Google Scholar] [CrossRef]
- Ribatski, G.; Wojtan, L.; Thome, J.R. An analysis of experimental data and prediction methods for two-phase frictional pressure drop and flow boiling heat transfer in micro-scale channels. Exp. Therm. Fluid Sci. 2006, 31, 1–19. [Google Scholar] [CrossRef]
- Agostini, B.; Thome, J.R.; Fabbri, M.; Michel, B.; Calmi, D.; Kloter, U. High heat flux flow boiling in silicon multi-microchannels—Part I: Heat transfer characteristics of refrigerant R236fa. Int. J. Heat Mass Transf. 2008, 51, 5400–5414. [Google Scholar] [CrossRef]
- Wang, Y.; Sefiane, K. Effects of heat flux, vapour quality, channel hydraulic diameter on flow boiling heat transfer in variable aspect ratio micro-channels using transparent heating. Int. J. Heat Mass Transf. 2012, 55, 2235–2243. [Google Scholar] [CrossRef]
- Lim, T.W.; Kim, J.H. An experimental investigation of heat transfer in forced convective boiling of R134a, R123 and R134a/R123 in a horizontal tube. KSME Int. J. 2004, 18, 513–525. [Google Scholar] [CrossRef]
- Zhang, B.C.; Li, Q.; Wang, Y.; Zhang, J.Q.; Song, J.; Zhuang, F.C. Experimental investigation of nitrogen flow boiling heat transfer in a single mini channel. J. Zhejiang Univ. Sci. A 2020, 21, 147–166. [Google Scholar] [CrossRef]
- Balasubramanian, K.; Lee, P.S.; Jin, L.W.; Chou, S.K.; Teo, C.J.; Gao, S. Experimental investigations of flow boiling heat transfer and pressure drop in straight and expanding microchannels—A comparative study. Int. J. Therm. Sci. 2011, 50, 2413–2421. [Google Scholar] [CrossRef]
- Bertsch, S.S.; Groll, E.A.; Garimella, S.V. Refrigerant flow boiling heat transfer in parallel microchannels as a function of local vapor quality. Int. J. Heat Mass Transf. 2008, 51, 4775–4787. [Google Scholar] [CrossRef]
- Može, M. Effect of boiling-induced aging on pool boiling heat transfer performance of untreated and laser-textured copper surfaces. Appl. Therm. Eng. 2020, 181, 116025. [Google Scholar] [CrossRef]
- Ramakrishnan, L.R.; Jayaramu, P.; Gedupudi, S.; Das, S. Experimental investigation of the influence of boiling-induced ageing on high heat flux flow boiling in a copper microchannel. Int. J. Heat Mass Transf. 2021, 181, 121862. [Google Scholar]
- Agostini, B.; Revellin, R.; Thome, J.R.; Fabbri, M.; Michel, B.; Calmi, D.; Kloter, U. High heat flux flow boiling in silicon multi-microchannels—Part III: Saturated critical heat flux of R236fa and two-phase pressure drops. Int. J. Heat Mass Transf. 2008, 51, 5426–5442. [Google Scholar] [CrossRef]
- Roday, A.P.; Borca-Tasçiuc, T.; Jensen, M.K. The Critical Heat Flux Condition with Water in a Uniformly Heated Microtube. J. Heat Transf. 2008, 130, 012901. [Google Scholar] [CrossRef]
- Ong, C.L.; Thome, J.R. Macro-to-microchannel transition in two-phase flow: Part 2—Flow boiling heat transfer and critical heat flux. Exp. Therm. Fluid Sci. 2011, 35, 873–886. [Google Scholar] [CrossRef]
- Qi, S.L.; Zhang, P.; Wang, R.Z.; Xu, L.X. Flow boiling of liquid nitrogen in micro-tubes: Part II—Heat transfer characteristics and critical heat flux. Int. J. Heat Mass Transf. 2007, 50, 5017–5030. [Google Scholar] [CrossRef]
- Callizo, C.M. Flow Boiling Heat Transfer in Single Vertical Channels of Small Diameter. Ph.D. Thesis, Royal Institute of Technology, Stockholm, Sweden, 2010. [Google Scholar]
- Wu, Y.W.; Su, G.H.; Qiu, S.Z.; Hu, B.X. Experimental study on critical heat flux in bilaterally heated narrow annuli. Int. J. Multiph. Flow. 2009, 35, 977–986. [Google Scholar] [CrossRef]
- Donniacuo, A.; Charnay, R.; Mastrullo, R.; Mauro, A.W.; Revellin, R. Film thickness measurements for annular flow in minichannels: Description of the optical technique and experimental results. Exp. Therm. Fluid Sci. 2015, 69, 73–85. [Google Scholar] [CrossRef]
- Charnay, R.; Revellin, R.; Bonjour, J. Flow boiling characteristics of R-245fa in a minichannel at medium saturation temperatures. Exp. Therm. Fluid Sci. 2014, 59, 184–194. [Google Scholar] [CrossRef]
- Charnay, R.; Revellin, R.; Bonjour, J. Flow boiling heat transfer in minichannels at high saturation temperatures: Part I—Experimental investigation and analysis of the heat transfer mechanisms. Int. J. Heat Mass Transf. 2015, 87, 636–652. [Google Scholar] [CrossRef]
- Celata, G.P.; Cumo, M.; Mariani, A. Burnout in highly subcooled water flow boiling in small diameter tubes. Int. J. Heat Mass Transf. 1993, 36, 1269–1285. [Google Scholar] [CrossRef]
- Vandervort, C.L.; Bergles, A.E.; Jensen, M.K. An experimental study of critical heat flux in very high heat flux subcooled boiling. Int. J. Heat Mass Transf. 1994, 37, 161–173. [Google Scholar] [CrossRef]
- Inasaka, F.; Nariai, H. Critical heat flux of subcooled flow boiling for water in uniformly heated straight tubes. Fusion Eng. Des. 1992, 19, 329–337. [Google Scholar] [CrossRef]
- Bao, Z.Y.; Fletcher, D.F.; Haynes, B.S. Flow boiling heat transfer of Freon R11 and HCFC123 in narrow passages. Int. J. Heat Mass Transf. 2000, 43, 3347–3358. [Google Scholar] [CrossRef]
- Kandlikar, S.G.; Grande, W.J. Evolution of Microchannel Flow Passages—Thermohydraulic Performance and Fabrication Technology. Heat Transf. Eng. 2003, 24, 3–17. [Google Scholar] [CrossRef]
- Lin, S.; Kew, P.A.; Cornwell, K. Flow Boiling of Refrigerant R141B in Small Tubes. Chem. Eng. Res. Des. 2001, 79, 417–424. [Google Scholar] [CrossRef]
- Tran, T.N.; Wambsganss, M.W.; France, D.M. Small circular- and rectangular-channel boiling with two refrigerants. Int. J. Multiph. Flow 1996, 22, 485–498. [Google Scholar] [CrossRef]
- Lin, S.; Kew, P.A.; Cornwell, K. Two-phase heat transfer to a refrigerant in a 1 mm diameter tube. Int. J. Refrig. 2001, 24, 51–56. [Google Scholar] [CrossRef]
- Saitoh, S.; Daiguji, H.; Hihara, E. Effect of tube diameter on boiling heat transfer of R-134a in horizontal small-diameter tubes. Int. J. Heat Mass Transf. 2005, 48, 4973–4984. [Google Scholar] [CrossRef]
- Celata, G.P.; Cumo, M.; Mariani, A. Geometrical effects on the subcooled flow boiling critical heat flux. Rev. Générale Therm. 1997, 36, 807–814. [Google Scholar] [CrossRef]
- Katto, Y.; Kurata, C. Critical heat flux of saturated convective boiling on uniformly heated plates in a parallel flow. Int. J. Multiph. Flow 1980, 6, 575–582. [Google Scholar] [CrossRef]
- Katto, Y.; Ohno, H. An improved version of the generalized correlation of critical heat flux for the forced convective boiling in uniformly heated vertical tubes. Int. J. Heat Mass Transf. 1984, 27, 1641–1648. [Google Scholar] [CrossRef]
- Katto, Y.; Yokoya, S. Critical heat flux of forced convective boiling in uniformly heated vertical tubes with special reference to very large length-to-diameter ratios. Int. J. Heat Mass Transf. 1987, 30, 2261–2269. [Google Scholar]
- Shah, M.M. Improved general correlation for critical heat flux during upflow in uniformly heated vertical tubes. Int. J. Heat Fluid Flow 1987, 8, 326–335. [Google Scholar] [CrossRef]
- Mudawar, I.; Maddox, D.E. Enhancement of Critical Heat Flux from High Power Microelectronic Heat Sources in a Flow Channel. J. Electron. Packag. 1990, 112, 241–248. [Google Scholar] [CrossRef]
- Hall, D.; Mudawar, I. Critical heat flux (CHF) for water flow in tubes—II: Subcooled CHF correlations. Int. J. Heat Mass Transf. 2000, 43, 2605–2640. [Google Scholar] [CrossRef]
- Darr, S.R.; Hartwig, J.W.; Dong, J.; Wang, H.; Majumdar, A.K.; LeClair, A.C.; Chung, J.N. Two-Phase Pipe Quenching Correlations for Liquid Nitrogen and Liquid Hydrogen. J. Heat Transf. 2019, 141, 042901. [Google Scholar] [CrossRef]
- Zivi, S.M. Estimation of Steady-State Steam Void-Fraction by Means of the Principle of Minimum Entropy Production. J. Heat Transf. 1964, 86, 247–251. [Google Scholar] [CrossRef]
- Chen, B.-L.; Yang, T.-F.; Sajjad, U.; Ali, H.M.; Yan, W.-M. Deep learning-based assessment of saturated flow boiling heat transfer and two-phase pressure drop for evaporating flow. Eng. Anal. Bound. Elem. 2023, 151, 519–537. [Google Scholar] [CrossRef]
- Sajjad, U.; Hussain, I.; Raza, W.; Sultan, M.; Alarifi, I.M.; Wang, C.-C. On the Critical Heat Flux Assessment of Micro- and Nanoscale Roughened Surfaces. Nanomaterials 2022, 12, 3256. [Google Scholar] [CrossRef]












| Channel | Width, w | Height, h | Length | Hydraulic Diameter, Dh |
|---|---|---|---|---|
| GR-Cop42 | 1.8 mm | 1.8 mm | 5 cm | 1.8 mm |
| GR-Cop42 | 2.3 mm | 2.3 mm | 5 cm | 2.3 mm |
| GR-Cop42 | 1.8 mm | 4.1 mm | 5 cm | 2.5 mm |
| Parameter | Relative Uncertainty |
|---|---|
| (°C) | ±1% |
| (mm) | ±2.08% |
| (Mpa) | ±0.25% |
| (cm3/s) | ±1.23% |
| (K) | ±1.44% |
| (kW/m2) | ±2.52% |
| (kW/m2K) | ±2.9% |
Disclaimer/Publisher’s Note: The statements, opinions and data contained in all publications are solely those of the individual author(s) and contributor(s) and not of MDPI and/or the editor(s). MDPI and/or the editor(s) disclaim responsibility for any injury to people or property resulting from any ideas, methods, instructions or products referred to in the content. |
© 2023 by the authors. Licensee MDPI, Basel, Switzerland. This article is an open access article distributed under the terms and conditions of the Creative Commons Attribution (CC BY) license (https://creativecommons.org/licenses/by/4.0/).
Share and Cite
Ortega, D.; Amador, A.; Ahmad, M.; Choudhuri, A.; Rahman, M.M. Liquid Nitrogen Flow Boiling Critical Heat Flux in Additively Manufactured Cooling Channels. Aerospace 2023, 10, 499. https://doi.org/10.3390/aerospace10060499
Ortega D, Amador A, Ahmad M, Choudhuri A, Rahman MM. Liquid Nitrogen Flow Boiling Critical Heat Flux in Additively Manufactured Cooling Channels. Aerospace. 2023; 10(6):499. https://doi.org/10.3390/aerospace10060499
Chicago/Turabian StyleOrtega, Debra, Alejandro Amador, Mohiuddin Ahmad, Ahsan Choudhuri, and Md Mahamudur Rahman. 2023. "Liquid Nitrogen Flow Boiling Critical Heat Flux in Additively Manufactured Cooling Channels" Aerospace 10, no. 6: 499. https://doi.org/10.3390/aerospace10060499
APA StyleOrtega, D., Amador, A., Ahmad, M., Choudhuri, A., & Rahman, M. M. (2023). Liquid Nitrogen Flow Boiling Critical Heat Flux in Additively Manufactured Cooling Channels. Aerospace, 10(6), 499. https://doi.org/10.3390/aerospace10060499

