Heat Transfer and Flow Structure Characteristics of Regenerative Cooling in a Rectangular Channel Using Supercritical CO2
Abstract
1. Introduction
2. Model Description
2.1. Geometry Description and Grid Conditions
2.2. Solution Methods and Convergence Criterion
2.3. Boundary Conditions and Thermophysical Properties
2.4. Model Validation and Mesh Independence Study
3. Results and Discussions
3.1. Effect of Heat Flux Magnitude
3.2. Effect of Nonuniform Heat Flux Distributions
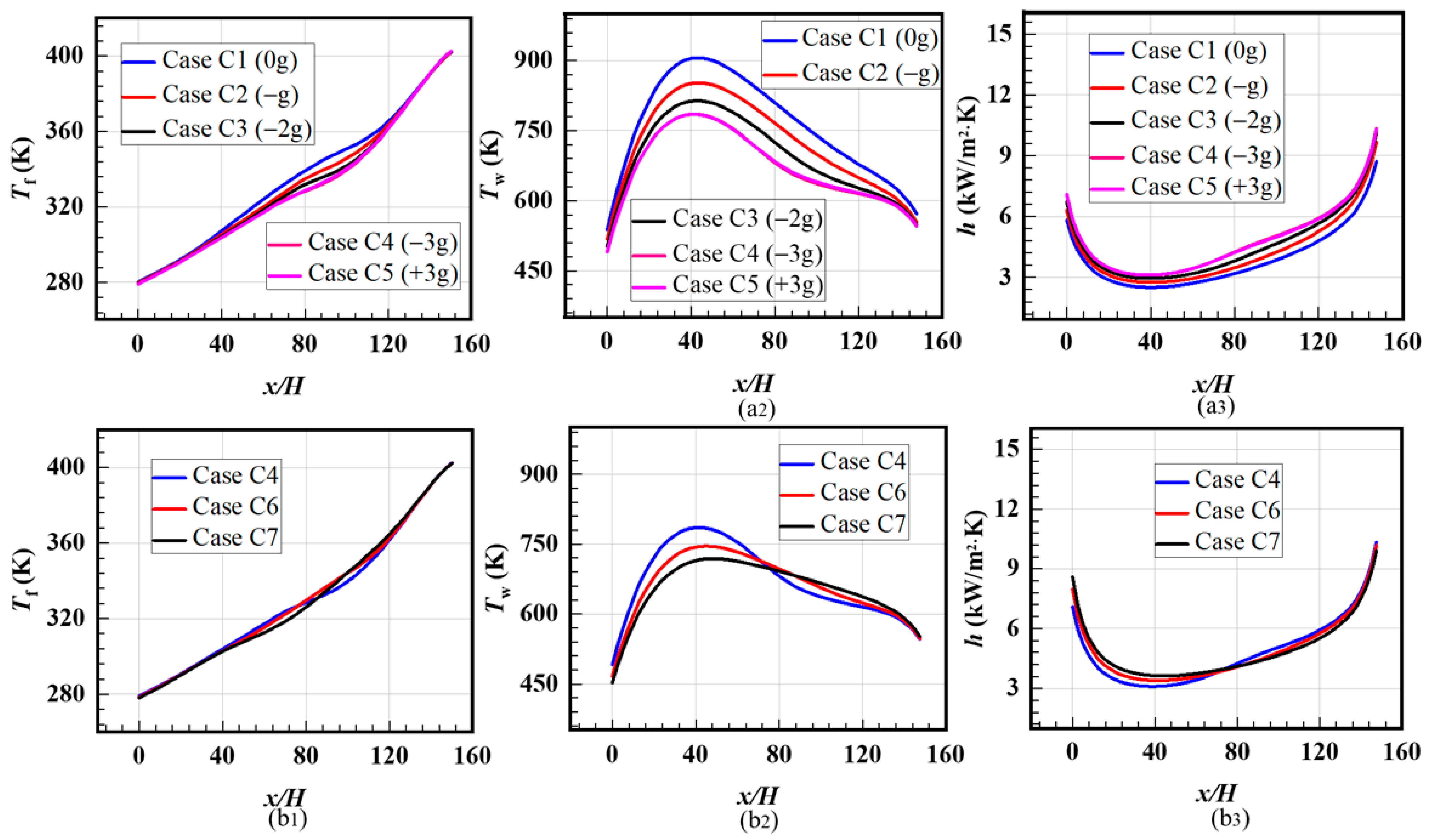
3.3. Effect of Acceleration and Buoyancy Effects
3.4. Effect of Flow Pattern
4. Conclusions
- (1)
- With the effect of sharply varied thermophysical properties of supercritical CO2, the wall temperature displays obvious fluctuations in the temperature variation range, especially regarding the core part of the fluid temperature close to the critical point. The phenomenon is more obvious in the case with a higher heat flux magnitude associated with the phenomenon of HTD in the downstream region of 80 < x/H < 120.
- (2)
- The cases with the linear decreased heat flux distributions enlarge the “weakened” region, which has benefits for heat transfer in the region of 70 < x/H < 90. HTC increases with the increased heat flux in the considered range of 0.75 MW/m2 to 2.25 MW/m2. Compared with channels loaded with increased heat flux, the maximum temperature increases for the cases loaded with decreased heat flux.
- (3)
- The average temperatures of the fluid and solid both decreased during the period of the fluid approaching the critical point with increased accelerations. Larger HTC distributions were obtained via the case with the larger acceleration, regardless of the acceleration direction. Transverse accelerations can reduce the wall temperature in the upstream region and increase the corresponding HTCs.
- (4)
- Compared with the case of adjacent channels arranged in the same direction, the wall temperature distribution becomes more uniform for the case arranged with reversed flow directions. It is indicated that heat conduction inside solid materials is more dominant in determining the wall temperature compared with convective heat transfer from the fluid, due to the excellent thermal conductivity of the steel. The maximum temperature decreased by 18.37% and the uniformity of the wall temperature field improved by 83.21%.
Author Contributions
Funding
Data Availability Statement
Conflicts of Interest
Nomenclature
| Latin characters | |
| a | acceleration (m/s2) |
| Cp | fluid thermal capacity (J/kg·K) |
| d | diameter of the tube (m) |
| g | gravity (m/s2) |
| h | heat transfer coefficient (W/m2·K) |
| H | height of the channel (m) |
| k | turbulent kinetic energy (m2/s2) |
| P | pressure (Pa) |
| q | heat flux (W/m2) |
| T | temperature (K) |
| x | streamwise direction |
| y | spanwise direction |
| z | normal direction |
| Greek symbols | |
| β | thermal expansion coefficient (W/m·K) |
| λ | thermal conductivity (W/m·K) |
| μ | fluid dynamic viscosity (Pa·s) |
| ρ | fluid density (kg/m3) |
| ω | specific energy dissipation rate (s−1) |
| Subscripts | |
| f | fluid |
| s | solid |
| Abbreviations | |
| HTC | heat transfer coefficient |
| HTD | heat transfer deterioration |
| Re | Reynolds number |
References
- Ehsan, M.M.; Guan, Z.; Klimenko, A.Y. A comprehensive review on heat transfer and pressure drop characteristics and correlations with supercritical CO2 under heating and cooling applications. Renew. Sustain. Energy Rev. 2018, 92, 658–675. [Google Scholar] [CrossRef]
- Cabeza, L.F.; de Gracia, A.; Fernández, A.I.; Farid, M.M. Supercritical CO2 as heat transfer fluid: A review. Appl. Therm. Eng. 2017, 125, 799–810. [Google Scholar] [CrossRef]
- Liu, G.; Huang, Y.; Wang, J.; Liu, R. A review on the thermal-hydraulic performance and optimization of printed circuit heat exchangers for supercritical CO2 in advanced nuclear power systems. Renew. Sustain. Energy Rev. 2020, 133, 110290. [Google Scholar] [CrossRef]
- Lecompte, S.; Ntavou, E.; Tchanche, B.; Kosmadakis, G.; Pillai, A.; Manolakos, D.; De Paepe, M. Review of Experimental Research on Supercritical and Transcritical Thermodynamic Cycles Designed for Heat Recovery Application. Appl. Sci. 2019, 9, 2571. [Google Scholar] [CrossRef]
- Xie, J.; Liu, D.; Yan, H.; Xie, G.; Boetcher, S.K. A review of heat transfer deterioration of supercritical carbon dioxide flowing in vertical tubes: Heat transfer behaviors, identification methods, critical heat fluxes, and heat transfer correlations. Int. J. Heat Mass Transf. 2020, 149, 119233. [Google Scholar] [CrossRef]
- Xu, W.; Li, M.; Li, Y.; Zhao, J. A comprehensive review of the effect of lubricant on the flow characteristics of supercritical CO2 during cooling. Int. J. Refrig. 2022, 133, 145–156. [Google Scholar] [CrossRef]
- Fan, Y.; Tang, G.; Li, X.; Yang, D. General and unique issues at multiple scales for supercritical carbon dioxide power system: A review on recent advances. Energy Convers. Manag. 2022, 268, 115993. [Google Scholar] [CrossRef]
- Yan, C.; Xu, J.; Wang, S.; Liu, G. Numerical study of convective heat transfer to supercritical CO2 in vertical heated tubes. Int. Commun. Heat Mass Transf. 2022, 137, 106242. [Google Scholar] [CrossRef]
- Khalesi, J.; Sarunac, N.; Razzaghpanah, Z. Supercritical CO2 conjugate heat transfer and flow analysis in a rectangular microchannel subject to uniformly heated substrate wall. Therm. Sci. Eng. Prog. 2020, 19, 100596. [Google Scholar] [CrossRef]
- Pandey, S.; Laurien, E.; Chu, X. A modified convective heat transfer model for heated pipe flow of supercritical carbon dioxide. Int. J. Therm. Sci. 2017, 117, 227–238. [Google Scholar] [CrossRef]
- Zhang, Q.; Li, H.; Liu, J.; Lei, X.; Wu, C. Numerical investigation of different heat transfer behaviors of supercritical CO2 in a large vertical tube. Int. J. Heat Mass Transf. 2020, 147, 118944. [Google Scholar] [CrossRef]
- Li, W.; Yu, Z.; Wang, Y.; Li, Y. Heat transfer of supercritical carbon dioxide in a tube-in-tube heat exchanger—A CFD study. J. Supercrit. Fluids 2022, 181, 105493. [Google Scholar] [CrossRef]
- Ye, K.; Zhang, Y.; Yang, L.; Zhao, Y.; Li, N.; Xie, C. Modeling convective heat transfer of supercritical carbon dioxide using an artificial neural network. Appl. Therm. Eng. 2018, 150, 686–695. [Google Scholar] [CrossRef]
- Liu, Z.; He, Y.; Li, Y.; Qu, Z.; Tao, W. Heat transfer characteristics of supercritical CO2 flow in metal foam tubes. J. Supercrit. Fluids 2015, 101, 36–47. [Google Scholar] [CrossRef]
- Wang, J.; Guan, Z.; Gurgenci, H.; Hooman, K.; Veeraragavan, A.; Kang, X. Computational investigations of heat transfer to supercritical CO2 in a high horizontal tube. Energy Convers. Manag. 2018, 157, 536–548. [Google Scholar] [CrossRef]
- Zhang, G.; Hu, P.; Chen, L.; Liu, M. Experimental and simulation investigation on heat transfer characteristics of in-tube supercritical CO2 cooling flow. Appl. Therm. Eng. 2018, 143, 1101–1113. [Google Scholar] [CrossRef]
- Xu, W.; Li, Y.; Wang, Y.; Li, M.; Zhao, J.; Li, M.; Tian, H. Experimental investigations on cooling heat transfer of CO2-lubricant mixtures in horizontal tubes at supercritical pressure: A review. Int. J. Refrig. 2022, 139, 168–179. [Google Scholar] [CrossRef]
- Yuan, N.; Bi, D.; Zhai, Y.; Jin, Y.; Li, Z.; Wang, H. Flow and heat transfer performance of supercritical pressure carbon dioxide in pipes with discrete double inclined ribs. Int. J. Heat Mass Transf. 2020, 149, 119175. [Google Scholar] [CrossRef]
- Dong, X.; Zhang, C.; Wu, Y.; Lu, Y.; Ma, C. Thermodynamic Analysis and Optimization Design of a Molten Salt–Supercritical CO2 Heat Exchanger. Energies 2022, 15, 7398. [Google Scholar] [CrossRef]
- Wang, X.; Xu, W.; Xu, B.; Xiong, C.; Guo, S.; Chen, Z. Theoretical and numerical analysis of conjugate heat transfer for supercritical CO2 flowing in printed circuit heat exchanger. J. Supercrit. Fluids 2022, 189, 105717. [Google Scholar] [CrossRef]
- Chu, W.; Li, X.; Ma, T.; Chen, Y.; Wang, Q. Experimental investigation on SCO2-water heat transfer characteristics in a printed circuit heat exchanger with straight channels. Int. J. Heat Mass Transf. 2017, 113, 184–194. [Google Scholar] [CrossRef]
- Sarkar, J. Improving thermal performance of micro-channel electronic heat sink using supercritical CO2 as coolant. Therm. Sci. 2019, 23, 243–253. [Google Scholar] [CrossRef]
- Awais, A.A.; Saeed, M.; Kim, M.H. Performance enhancement in minichannel heat sinks using supercritical carbon dioxide (sCO2) as a coolant. Int. J. Heat Mass Transf. 2021, 177, 121539. [Google Scholar] [CrossRef]
- Cheng, K.; Zhou, J.; Zhang, H.; Huai, X.; Guo, J. Experimental investigation of thermal-hydraulic characteristics of a printed circuit heat exchanger used as a pre-cooler for the supercritical CO2 Brayton cycle. Appl. Therm. Eng. 2020, 171, 115116. [Google Scholar] [CrossRef]
- Reznicek, E.P.; Hinze, J.F.; Nellis, G.F.; Anderson, M.H.; Braun, R.J. Simulation of the supercritical CO2 recompression Brayton power cycle with a high-temperature regenerator. Energy Convers. Manag. 2021, 229, 113678. [Google Scholar] [CrossRef]
- Muto, Y.; Ksto, Y. Optimal Cycle Scheme of Direct Cycle Supercritical CO2 Gas Turbine for Nuclear Power Generation Systems. J. Power Energy Syst. 2008, 2, 1060–1073. [Google Scholar] [CrossRef]
- Jiang, J.; Zhang, R.; Le, J.; Liu, W.; Yang, Y.; Zhang, L.; Zhao, G. Regeneratively cooled scramjet heat transfer calculation and comparison with experimental data. Proc. Inst. Mech. Eng. Part G J. Aerosp. Eng. 2014, 228, 1227–1234. [Google Scholar] [CrossRef]
- Lee, S.H.; Lee, J.; Kim, D.; Kim, S.; Yang, I. Heat transfer characteristics of kerosene phase change based on fuel flow rates in the regenerative cooling heat exchanger of scramjet engines. J. Mech. Sci. Technol. 2021, 35, 2733–2741. [Google Scholar] [CrossRef]
- He, N.; Liu, C.; Pan, Y.; Liu, J. Progress of Coupled Heat Transfer Mechanisms of Regenerative Cooling System in a Scramjet. Energies 2023, 16, 1025. [Google Scholar] [CrossRef]
- Liu, J.; Xu, M.; Ma, K.; Liu, C.; Xi, W. Heat transfer and flow structures of supercritical n-decane in a regenerative cooling channel loaded with non-uniform heat flux. Front. Energy Res. 2022, 126, 16648714. [Google Scholar] [CrossRef]
- Zhang, J.; Zhou, Q.; Zhao, X.; Jiang, Y.; Fan, W. Numerical Investigation on the Heat Transfer of n-Decane in a Horizontal Channel with Axially Nonuniform Heat Flux under Supercritical Pressure. Aerospace 2022, 9, 326. [Google Scholar] [CrossRef]
- Zhang, T.; Jing, T.; Qin, F.; Sun, X.; Li, W.; He, G. Topology optimization of regenerative cooling channel in non-uniform thermal environment of hypersonic engine. Appl. Therm. Eng. 2023, 219, 119384. [Google Scholar] [CrossRef]
- Zhang, C.; Gao, H.; Zhao, J.; Zhou, J.; Wen, D. Cooling performance optimization of supercritical hydrocarbon fuel via bi-directional flow pattern. Appl. Therm. Eng. 2022, 212, 118563. [Google Scholar] [CrossRef]
- Yu, J.; Huang, L.; Sun, S.; Yu, J.; Li, Y. Flow and heat transfer of RP-3 aviation kerosene in horizontal tube at supercritical pressure under altered gravity levels. Appl. Therm. Eng. 2022, 207, 118162. [Google Scholar] [CrossRef]
- Jia, D.; Wang, N.; Pan, Y.; Liu, C.; Wang, S.; Yang, K.; Liu, J. Flow and Heat Transfer Characteristics of Supercritical N-Decane in Adjacent Cooling Channels with Opposite Flow Directions. Energies 2021, 14, 1071. [Google Scholar] [CrossRef]
- Wen, J.; Gu, X.; Liu, Y.; Wang, S.; Li, Y. Effect of surface tension, gravity and turbulence on condensation patterns of R1234ze(E) in horizontal mini/macro-channels. Int. J. Heat Mass Transf. 2018, 125, 153–170. [Google Scholar] [CrossRef]
- Tian, K.; Yang, P.; Tang, Z.; Wang, J.; Zeng, M.; Wang, Q. Effect of pyrolytic reaction of supercritical aviation kerosene RP-3 on heat and mass transfer in the near-wall region. Appl. Therm. Eng. 2021, 197, 117401. [Google Scholar] [CrossRef]
- Sun, F.; Li, Y.; Sunden, B.; Xie, G. The transport and thermodynamic characteristics of thermally oscillating phenomena in a buoyancy-driven supercritical fuel flow. Int. J. Therm. Sci. 2021, 159, 106550. [Google Scholar] [CrossRef]
- Gou, J.; Yan, Z.; Hu, J.; Gao, G.; Gong, C. The heat dissipation, transport and reuse management for hypersonic vehicles based on regenerative cooling and thermoelectric conversion. Aerosp. Sci. Technol. 2021, 108, 106373. [Google Scholar] [CrossRef]
- Zhu, Y.; Peng, W.; Xu, R.; Jiang, P. Review on active thermal protection and its heat transfer for airbreathing hypersonic vehicles. Chin. J. Aeronaut. 2018, 31, 1929–1953. [Google Scholar] [CrossRef]
- Zhang, S.; Li, X.; Zuo, J.; Qin, J.; Cheng, K.; Feng, Y.; Bao, W. Research progress on active thermal protection for hypersonic vehicles. Prog. Aerosp. Sci. 2020, 119, 100646. [Google Scholar] [CrossRef]
- Harvey, A.; Bell, I.; Huber, M.; Laesecke, A.; Lemmon, E.; Meyer, C.; Muzny, C.; Perkins, R. Thermophysical Properties of Carbon Dioxide and CO2-Rich Mixtures, Report to US Department of Energy. 2016. Available online: https://tsapps.nist.gov/publication/get_pdf.cfm?pub_id=919336 (accessed on 8 May 2023).
- Li, Z.; Jiang, P.; Zhao, C.; Zhang, Y. Experimental investigation of convection heat transfer of CO2 at supercritical pressures in a vertical circular tube. Exp. Therm. Fluid Sci. 2010, 34, 1162–1171. [Google Scholar] [CrossRef]
















| Study Variables | Case Name | Heat Flux Function/ Correlation (MW/m2) | Channel Form and Flow Pattern | Acceleration Value (m/s2) |
|---|---|---|---|---|
| Uniform heat flux distribution | A1 | Uniform, q = 1.5 | Single | az = −9.81 |
| A2 | Uniform, q = 3 | Single | az = −9.81 | |
| A3 | Uniform, q = 6 | Single | az = −9.81 | |
| Nonuniform heat flux distribution | B1 | Increased, q = 0.75 + 3.75x Increased, q = 1 + 2.5x Increased, q = 1.25 + 1.25x Decreased, q = 2.25 − 3.75x Decreased, q = 2 − 2.5x Decreased, q = 1.75 − 1.25x | Single | az = −9.81 |
| B2 | ||||
| B3 | ||||
| B4 | ||||
| B5 | ||||
| B6 | ||||
| Acceleration and buoyancy effects | C1 | Uniform, q = 1.5 | Single | az = 0 |
| C2 | az = −9.81 | |||
| C3 | az = −19.62 | |||
| C4 | az = −29.43 | |||
| C5 | az = 29.43 | |||
| C6 C7 | ax = 14.715, az = 25.487 (30°) ax = 25.487, az = −14.715 (60°) | |||
| Flow pattern | D1 | Uniform, q = 1.5 | Adjacent, same direction | az = −9.81 |
| D2 | Adjacent, reversed direction |
| Temperature Type | Case Name | Maximum Temperature (K) | Average Temperature (K) | Distribution Standard Deviation (K) |
|---|---|---|---|---|
| Bulk fluid temperature | Case D1 | 411 | 335 | 36 |
| Case D2 | 411 (0) | 328 (−2.09%) | 39 (+8.33%) | |
| Average wall temperature | Case D1 | 1192 | 971 | 137 |
| Case D2 | 973 (−18.37%) | 946 (−2.57%) | 23 (−83.21%) |
Disclaimer/Publisher’s Note: The statements, opinions and data contained in all publications are solely those of the individual author(s) and contributor(s) and not of MDPI and/or the editor(s). MDPI and/or the editor(s) disclaim responsibility for any injury to people or property resulting from any ideas, methods, instructions or products referred to in the content. |
© 2023 by the authors. Licensee MDPI, Basel, Switzerland. This article is an open access article distributed under the terms and conditions of the Creative Commons Attribution (CC BY) license (https://creativecommons.org/licenses/by/4.0/).
Share and Cite
Liu, J.; Xu, M.; Liu, P.; Xi, W. Heat Transfer and Flow Structure Characteristics of Regenerative Cooling in a Rectangular Channel Using Supercritical CO2. Aerospace 2023, 10, 564. https://doi.org/10.3390/aerospace10060564
Liu J, Xu M, Liu P, Xi W. Heat Transfer and Flow Structure Characteristics of Regenerative Cooling in a Rectangular Channel Using Supercritical CO2. Aerospace. 2023; 10(6):564. https://doi.org/10.3390/aerospace10060564
Chicago/Turabian StyleLiu, Jian, Mengyao Xu, Pengchao Liu, and Wenxiong Xi. 2023. "Heat Transfer and Flow Structure Characteristics of Regenerative Cooling in a Rectangular Channel Using Supercritical CO2" Aerospace 10, no. 6: 564. https://doi.org/10.3390/aerospace10060564
APA StyleLiu, J., Xu, M., Liu, P., & Xi, W. (2023). Heat Transfer and Flow Structure Characteristics of Regenerative Cooling in a Rectangular Channel Using Supercritical CO2. Aerospace, 10(6), 564. https://doi.org/10.3390/aerospace10060564

