Three Satellites Dynamic Switching Range Integrated Navigation and Positioning Algorithm with Clock Bias Cancellation and Altimeter Assistance
Abstract
1. Introduction
2. Algorithm Principle and Description
2.1. Principle of Elevation Measurement and Auxiliary Positioning Algorithm
2.1.1. Principle of Elevation Measurement
2.1.2. Altimeter-Assisted Positioning Algorithm
2.1.3. Acquiring of LEO Satellite Ephemeris and Calculating LEO Satellite Position
2.2. INS+ Three LEO Satellite (LEO3) Dynamic Switching Integrated Navigation and Positioning Algorithm with Clock Bias Cancellation and Altimeter Assistance
2.2.1. Overall Algorithm Block Diagram
2.2.2. INS+ LEO3 Dynamic Switching Range + Altimeter-Integrated Navigation Algorithm
2.2.3. INS + Two LEO Satellites Dynamic Switching Range Integrated Navigation Algorithm with LEO3 (LEO3-2) + Altimeter
2.3. Disturbance and Combination Model
2.3.1. LEO Orbit Perturbation Model
2.3.2. Combination and Environmental Disturbance Models
3. Experimental Results and Analysis
3.1. Experimental Parameter Settings
3.2. INS + LEO3 Dynamic Switching Range Integrated Navigation Algorithm + Unbiased Altimeter
3.3. INS+ Two LEO Satellites Dynamic Switching Range Integrated Navigation Algorithm under LEO3 (LEO3-2) + Unbiased Altimeter
4. Comparison of Navigation and Positioning Results under Different Altimeter Scenarios
5. Comparison with Other Algorithms
- (1)
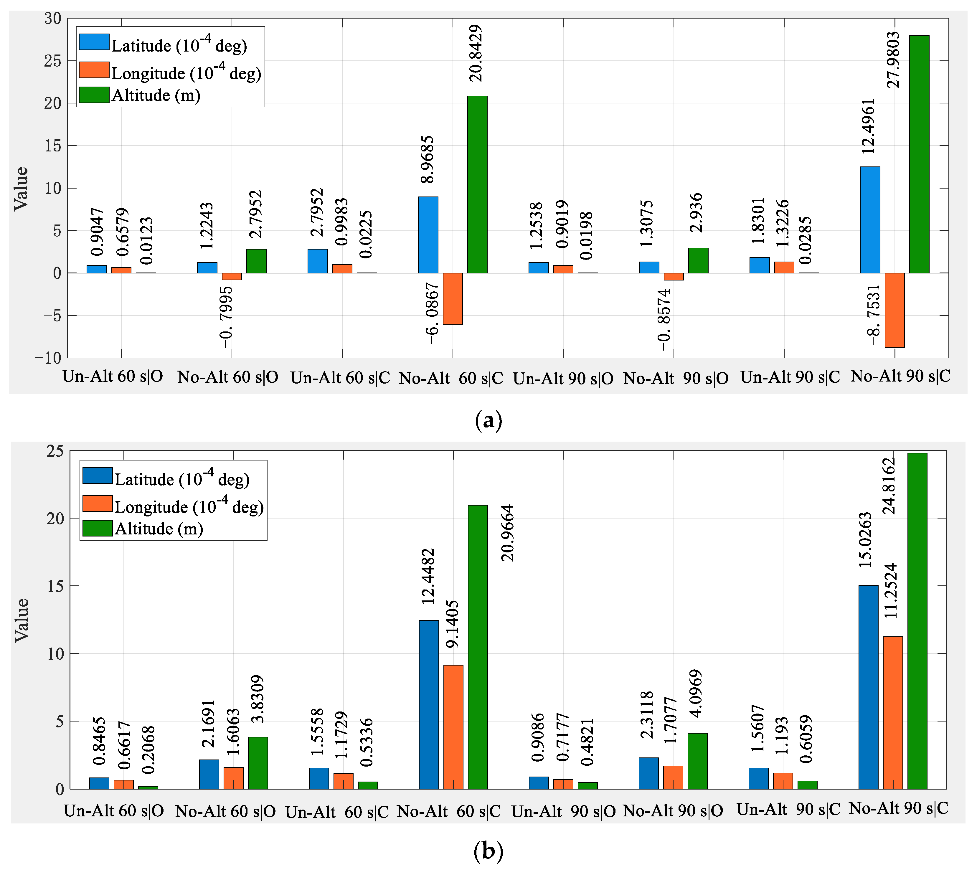
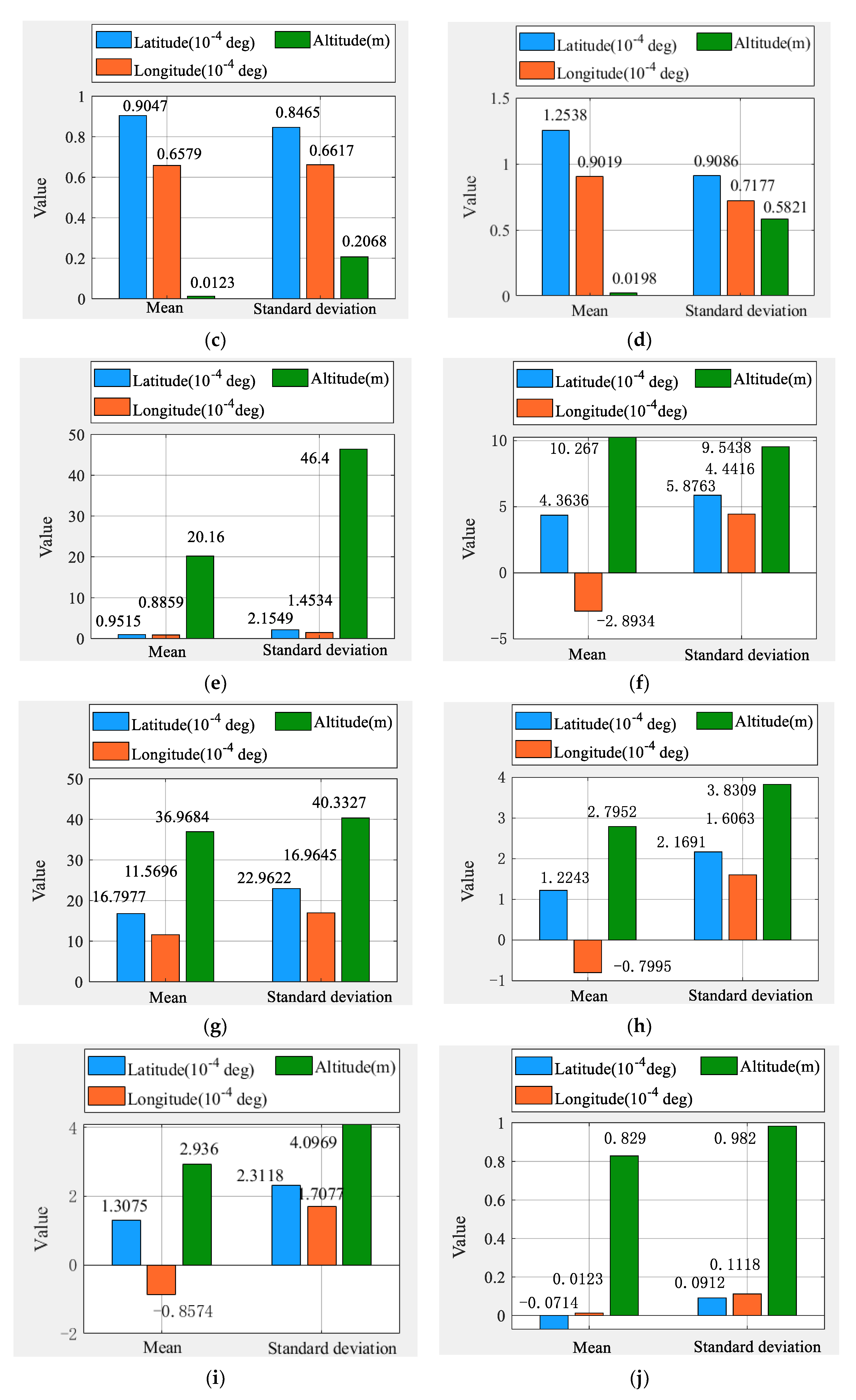
- Our algorithm was significantly better than the traditional MEO3+ altimeter-integrated navigation algorithm for various statistical indicators. This also confirmed that the navigation and positioning accuracy based on the LEO constellation was better than that of the MEO constellation under the same number of observation satellites.
- (2)
- Our algorithm could, to a large extent, overcome the large positioning error caused by the alternate switching of three LEO satellites without altimeter assistance (including LEO3 and LEO3-2) when the switching time was long, and the 90 s switching time under LEO3 was the most evident. The mean and standard deviation of longitude were increased by 91.34 and 95.11%, the mean and standard deviation of latitude were increased by 90.94 and 94.86%, and the altitude indices were increased by 99.92 and 98.18%.
- (3)
- Although our algorithm was slightly inadequate in longitude and latitude indicators compared with some typical advanced fusion algorithms for 4 MEO satellites, this result was expected since these algorithms had sufficient visible satellites. When some advanced sensors were used for fusion, the accuracy would, naturally, be greatly improved. Our foothold was a low-cost navigation solution with a conservative selection of sensor model parameters. In addition, our switching time selection was relatively large; thus, the result was evident. However, our algorithm could be significantly better than the MEO4 star fusion algorithm in terms of high performance, and this was mainly due to the altimeter calibration method that we used.
- (4)
- Compared with the algorithm that did not adopt continuous real pseudo-range measurement values, the algorithm that did adopt these values had an advantage in each accuracy index. This was not difficult to understand because the use of continuous real pseudo-range measurement values could ensure the reliability and robustness of the entire system.
6. Conclusions
Author Contributions
Funding
Data Availability Statement
Conflicts of Interest
References
- Li, M.; Xu, T.; Ge, H.; Guan, M.; Yang, H.; Fang, Z.; Gao, F. LEO-Constellation-Augmented BDS Precise Orbit Determination Considering Spaceborne Observational Errors. Remote Sens. 2021, 13, 3189. [Google Scholar] [CrossRef]
- Smith, P. Commercial Space Transportation: Recent Trends and Projections for 2000–2010. In The Space Transportation Market: Evolution or Revolution? Space Studies; Rycroft, M., Ed.; Springer: Dordrecht, The Netherlands, 2000; p. 5. [Google Scholar] [CrossRef]
- Caceres, M. LEO mobiles: The next generation. Aerosp. Am. 2007, 45, 18–20. [Google Scholar]
- Reid, T.; Neish, A.M.; Walter, T.; Enge, P.K. Broadband LEO Constellations for Navigation. Navigation 2018, 65, 205–220. [Google Scholar] [CrossRef]
- Leyva-Mayorga, I.; Soret, B.; Röper, M.; Wübben, D.; Matthiesen, B.; Dekorsy, A.; Popovski, P. LEO Small-Satellite Constellations for 5G and Beyond-5G Communications. IEEE Access 2020, 8, 184955–184964. [Google Scholar] [CrossRef]
- Li, J.; Lu, H.; Xue, K.; Zhang, Y. Temporal Netgrid Model-Based Dynamic Routing in Large-Scale Small Satellite Networks. IEEE Trans. Veh. Technol. 2019, 68, 6009–6021. [Google Scholar] [CrossRef]
- Tai, J.; Lv, J.; Wu, X.; Song, T.; Zhang, Q.; Xiang, Y.; Sun, J. Topology optimization Design of LEO Satellite Network. In Proceedings of the 2019 Chinese Control Conference (CCC), Guangzhou, China, 27–30 July 2019; pp. 8154–8159. [Google Scholar]
- Papa, A.; De Cola, T.; Vizarreta, P.; He, M.; Machuca, C.M.; Kellerer, W. Dynamic SDN Controller Placement in a LEO Constellation Satellite Network. In Proceedings of the 2018 IEEE Global Communications Conference (GLOBECOM), Abu Dhabi, United Arab Emirates, 9–13 December 2018; pp. 206–212. [Google Scholar]
- Reid, T. Orbital Diversity for Global Navigation Satellite Systems. Ph.D. Thesis, Stanford University, Stanford, CA, USA, 2017. [Google Scholar]
- Morales, J.J.; Khalife, J.; Cruz, U.S.; Kassas, Z.M. Orbit Modeling for Simultaneous Tracking and Navigation using LEO Satellite Signals. In Proceedings of the 32nd International Technical Meeting of the Satellite Division of The Institute of Navigation (ION GNSS+ 2019), Miami, FL, USA, 16–20 September 2019; pp. 2090–2099. [Google Scholar]
- Ye, L.; Yang, Y.; Jing, X.; Ma, J.; Deng, L.; Li, H. Single-Satellite Integrated Navigation Algorithm Based on Broadband LEO Constellation Communication Links. Remote Sens. 2021, 13, 703. [Google Scholar] [CrossRef]
- Ye, L.; Gao, N.; Yang, Y.; Li, X. A High-Precision and Low-Cost Broadband LEO 3-Satellite Alternate Switching Ranging/INS Integrated Navigation and Positioning Algorithm. Drones 2022, 6, 241. [Google Scholar] [CrossRef]
- Orabi, M.; Khalife, J.; Kassas, Z.M. Opportunistic Navigation with Doppler Measurements from Iridium Next and Orbcomm LEO Satellites. In Proceedings of the 2021 IEEE Aerospace Conference (50100), Virtual, 6–13 June 2021; pp. 1–9. [Google Scholar] [CrossRef]
- Khalife, J.; Neinavaie, M.; Kassas, Z.M. Blind Doppler Tracking from OFDM Signals Transmitted by Broadband LEO Satellites. In Proceedings of the 2021 IEEE 93rd Vehicular Technology Conference (VTC2021-Spring), Virtual, 25–28 April 2021; pp. 1–5. [Google Scholar] [CrossRef]
- Khalife, J.J.; Kassas, Z.M. Receiver Design for Doppler Positioning with LEO Satellites. In Proceedings of the ICASSP 2019–2019 IEEE International Conference on Acoustics, Speech and Signal Processing (ICASSP), Brighton, UK, 12–17 May 2019; pp. 5506–5510. [Google Scholar]
- Zhao, Y.; Cao, J.; Li, Y. An Improved Timing Synchronization Method for Eliminating Large Doppler Shift in LEO Satellite System. In Proceedings of the 2018 IEEE 18th International Conference on Communication Technology (ICCT), Chongqing, China, 8–11 October 2018; pp. 762–766. [Google Scholar]
- Yang, Z.; Shen, Y.; Shi, X.; Wang, Y. Joint Time Synchronization and Ranging Method Aided by Doppler Frequency Shift. In Proceedings of the 2022 IEEE 10th Joint International Information Technology and Artificial Intelligence Conference (ITAIC), Chongqing, China, 17–19 June 2022; pp. 1616–1621. [Google Scholar]
- Groves, P.D. Principles of GNSS, Inertial, and Multisensor Integrated Navigation Systems, 2nd ed.; Artech House: Fitchburg, MA, USA, 2012; 776p, ISBN 978-1-60807-005-3. [Google Scholar]
- Seddon, J.M.; Newman, S. The Basics of Aerodynamics; National Defense Industry Press: Arlington, Virginia, 2009; 307p, ISBN 978-7-118-06532-9. [Google Scholar]
- Hao, Z. Research Techniques of Instrument Based on Integrated Sensors. Ph.D. Thesis, Nanjing University of Aeronautics and Astronautics, Nanjing, China, 2010. [Google Scholar]
- Osder, S.S. Air-Data Systems, 2nd ed.; John Wiley & Sons: Hoboken, NJ, USA, 1997. [Google Scholar] [CrossRef]
- National Meteorological Center of China. Available online: http://www.nmc.cn (accessed on 1 March 2022).
- Ye, L.; Yang, Y.; Jing, X.; Li, H.; Yang, H.; Xia, Y. Altimeter + INS/Giant LEO Constellation Dual-Satellite Integrated Navigation and Positioning Algorithm Based on Similar Ellipsoid Model and UKF. Remote Sens. 2021, 13, 4099. [Google Scholar] [CrossRef]
- Grewal, M.S.; Andrews, A.P.; Bartone, C.G. Global Navigation Satellite Systems, Inertial Navigation, and Integration, 4th ed.; John Wiley & Sons: Hoboken, NJ, USA, 2020; 608p, ISBN 978-1-119-54783-9. [Google Scholar]
- Ye, L.; Yang, Y.; Ma, J.; Deng, L.; Li, H. A Distributed Formation Joint Network Navigation and Positioning Algorithm. Mathematics 2022, 10, 1627. [Google Scholar] [CrossRef]
- Ye, L.; Yang, Y.; Ma, J.; Deng, L.; Li, H. Research on an LEO Constellation Multi-Aircraft Collaborative Navigation Algorithm Based on a Dual-Way Asynchronous Precision Communication-Time Service Measurement System (DWAPC-TSM). Sensors 2022, 22, 3213. [Google Scholar] [CrossRef]
- Chen, J.; Huang, J.; An, X. Satellite Navigation Positioning and Anti-Jamming Technology; Publishing House of Electronics Industry: Beijing, China, 2016; 245p, ISBN 978-7-121-29150-0. [Google Scholar]
- Groves, P.D. Principles of GNSS, Inertial, and Multisensor Integrated Navigation Systems; Artech House: Fitchburg, MA, USA, 2008; 503p, ISBN 978-1-58053-255-6. [Google Scholar]
- Tusat, E.; Ozyuksel, F. Comparison of GPS satellite coordinates computed from broadcast and IGS final ephemerides. Int. J. Eng. Geosci. 2018, 3, 12–19. [Google Scholar] [CrossRef]
- Zhang, M.; Zhang, J. A Fast Satellite Selection Algorithm: Beyond Four Satellites. IEEE J. Sel. Top. Signal Process. 2009, 3, 740–747. [Google Scholar] [CrossRef]
- Ye, L.; Yang, Y.; Jing, X.; Li, H.; Yang, H.; Xia, Y. Dual-Satellite Alternate Switching Ranging/INS Integrated Navigation Algorithm for Broadband LEO Constellation Independent of Altimeter and Continuous Observation. Remote Sens. 2021, 13, 3312. [Google Scholar] [CrossRef]
- Rong, W.; Zhi, X.; Li, Q.; Jianye, L. Analysis and Research of Micro Satellite Orbit Perturbation Based on the Perturbative Orbit Model. Aerosp. Control 2007, 25, 66–70. [Google Scholar]
- Tapley, B.D.; Watkins, M.M.; Ries, J.C.; Davis, G.W.; Eanes, R.J.; Poole, S.R.; Rim, H.J.; Schutz, B.E.; Shum, C.K.; Nerem, R.S.; et al. The Joint Gravity Model 3. J. Geophys. Res. Atmos. 1996, 1012, 28029–28050. [Google Scholar] [CrossRef]
- Groves, P.; Jiang, Z. Height Aiding, C/N0 Weighting and Consistency Checking for GNSS NLOS and Multipath Mitigation in Urban Areas. J. Navig. 2013, 66, 653–669. [Google Scholar] [CrossRef]
- Roy, S.; Mehrnoush, M. A New Poisson Process-Based Model for LOS/NLOS Discrimination in Clutter Modeling. IEEE Trans. Antennas Propag. 2019, 67, 7538–7549. [Google Scholar] [CrossRef]
- Groves, P.D. GNSS Solutions: Multipath vs. NLOS signals. How Does Non-Line-of-Sight Reception Differ From Multipath Interference. Inside GNSS Mag. 2013, 8, 40–42. [Google Scholar]
- Ye, L.; Fan, Z.; Zhang, H.; Liu, Y.; Wu, W.; Hu, Y. Analysis of GNSS Signal Code Tracking Accuracy under Gauss Interference. Comput. Sci. 2020, 47, 245–251. [Google Scholar]
- Lvyang, Y.E. Simulation Generate and Performance Analyse on BDS-3 B1C Signal. Master’s Thesis, University of Chinese Academy of Sciences, Beijing, China, 2019. [Google Scholar]
- Ma, J.; Yang, Y.; Li, H.; Li, J. FH-BOC: Generalized low-ambiguity anti-interference spread spectrum modulation based on frequency-hopping binary offset carrier. GPS Solut. 2020, 24, 70. [Google Scholar] [CrossRef]
- Ma, J.; Yang, Y. A Generalized Anti-Interference Low-Ambiguity Dual-Frequency Multiplexing Modulation Based on the Frequency-Hopping Technique. IEEE Access 2020, 8, 95288–95300. [Google Scholar] [CrossRef]
- Portillo, I.D.; Cameron, B.G.; Crawley, E.F. A technical comparison of three low earth orbit satellite constellation systems to provide global broadband. Acta Astronaut. 2019, 159, 123–135. [Google Scholar] [CrossRef]
- Le May, S.; Gehly, S.; Carter, B.A.; Flegel, S. Space debris collision probability analysis for proposed global broadband constellations. Acta Astronaut. 2018, 151, 445–455. [Google Scholar] [CrossRef]
- Groves, P.D. Principles of GNSS, inertial, and multisensor integrated navigation systems. Ind. Robot 2013, 67, 191–192. [Google Scholar]
- Suzuki, T.; Matsuo, K.; Amano, Y. Rotating GNSS Antennas: Simultaneous LOS and NLOS Multipath Mitigation. GPS Solut. 2020, 24, 86. [Google Scholar] [CrossRef]
- Wikipedia. 1996 Charkhi Dadri Mid-Air Collision. Available online: https://en.jinzhao.wiki/wiki/1996_Charkhi_Dadri_mid-air_collision (accessed on 1 March 2023).
- Burchell, B. AAIB Final Report on BA 777 Crash. Overhaul Maint. 2010, 16, 23–24. [Google Scholar]
- Miltner, M.; Duan, P.P.; Haag, M. Modeling and utilization of synthetic data for improved automation and human-machine interface continuity. In Proceedings of the 2014 IEEE/AIAA 33rd Digital Avionics Systems Conference (DASC), Colorado Springs, CO, USA, 5–9 October 2014; pp. 2D4–1–2D4–14. [Google Scholar] [CrossRef]
- Meng, H.B.; Chen, X.Y. Design of MCU-based Baro-altimeter. Mod. Electron. Tech. 2011, 34, 192–194+197. [Google Scholar]
- Nomura, M.; Tanaka, T.; Yonekawa, M. GPS positioning method under condition of only three acquired satellites. In Proceedings of the 2008 SICE Annual Conference, Chofu, Japan, 20–23 August 2008; pp. 3487–3490. [Google Scholar] [CrossRef]
- Chiang, K.W.; Tsai, G.J.; Chu, H.J.; El-Sheimy, N. Performance Enhancement of INS/GNSS/Refreshed-SLAM Inte-gration for Acceptable Lane-Level Navigation Accuracy. IEEE Trans. Veh. Technol. 2020, 69, 2463–2476. [Google Scholar] [CrossRef]
- Hossein, N.; Jafar, K. Design and experimental evaluation of indirect centralized and direct decentralized integration scheme for low-cost INS/GNSS system. GPS Solut. 2018, 22, 65. [Google Scholar]

















| −2~0 | 301.15~288.15 | −6.5 |
| 0~11,000 | 288.15~216.65 | −6.5 |
| 11,000~20,000 | 216.65 | 0 |
| 20,000~32,000 | 216.65~218.15 | 0.001 |
| Parameter | Description | Type |
|---|---|---|
| a | Elliptical orbit semi-long axis | Kepler |
| e | Elliptical orbit eccentricity | Kepler |
| Inclination of satellite orbit | Kepler | |
| Mean anomaly at reference time | Kepler | |
| Ascending node right ascension | Kepler | |
| Argument of perigee | Kepler | |
| Correction term for average angular velocity | Perturbation | |
| Ascending node right ascension change rate | Perturbation | |
| Orbital inclination change rate | Perturbation | |
| , | Harmonic correction term for angular distance of ascending intersection point | Perturbation |
| , | Harmonic correction term of LEO satellite’s geocentric meridian | Perturbation |
| , | Harmonic correction term for orbital inclination | Perturbation |
| Orbital Parameter Type | Value |
|---|---|
| Orbital height (km) | 1150 |
| Orbital radius (km) | 7521 |
| (min) | 120 |
| Number of orbital surfaces | 32 |
| Number of satellites per orbital plane | 50 |
| Orbital inclination (deg) | 53 |
| Total number of satellites | 1600 |
| (km) | 478.1518787694562 |
| (deg) | 0 |
| (km) | 32 |
| M (circle) | 14 |
| k (km/min) | 0.3320 |
| Parameter Type | Value |
|---|---|
| Initial position error (m) | (0 -E, 0 -N, 0 -U) |
| Initial velocity error (m/s) | (0 -E, 0 -N, 0 -U) |
| Initial attitude error (deg) | (0 -E, 0 -N, 0 -U) |
| Initial position | (50.425 deg -N, −3.5958 deg -E, 10,000 m -H) |
| Initial velocity (m/s) | 200 m/s |
| Initial attitude (deg) | 0 deg -roll, 0 deg -pitch, 90 deg -yaw |
| Flight time (s) | 418 |
| Sampling period (s) | 0.01 |
| Climb height (m) | 500 |
| Number of turns (45 deg) | 2 (Once in the opposite direction) |
| Parameter Type | Accelerometer | Gyroscope | |
|---|---|---|---|
| Quantization noise (m/s2) | 2 × 10−4 | 2 × 10−4 | |
| Cross-coupling error (ppm) | 100~1000 | 100~1000 | |
| Scale factor (ppm) | 100~1000 | 100~1000 | |
| Initial accelerometer bias uncertainty per instrument | 2.94 × 10−4 | 4.84 × 10−9 | |
| Initial attitude uncertainty per axis | Attitude (rad) | 0.01 | 0.01 |
| Velocity(m/s) | 0.01 | 0.01 | |
| Location (m) | 1 | 1 | |
| Parameter Type | Value |
|---|---|
| Satellite elevation (deg) | 10 |
| Same orbit experimental satellite | LEO#1:PRN = 209; LEO#2:PRN = 221; LEO#3:PRN = 245 |
| Continuous ranging satellite | LEO#1:PRN = 209 |
| 5 s, 10 cs, 30 s, 60 s, 90 s | |
| Altimeter fixed deviation | No deviation, fixed deviation ± 5 m, fixed deviation ± 10 m |
| Error Index | Algorithm | Mean | STD |
|---|---|---|---|
| Longitude (deg) | Un-Alt 60 s | 1.0160 × 10−4 | 1.0866 × 10−4 |
| Un-Alt 90 s | 1.4541 × 10−4 | 1.1232 × 10−4 | |
| No-Alt 60 s | 4.3636 × 10−4 | 5.8763 × 10−4 | |
| No-Alt 90 s | 16.8797 × 10−4 | 22.9622 × 10−4 | |
| Latitude (deg) | Un-Alt 60 s | 0.7383 × 10−4 | 0.8270 × 10−4 |
| Un-Alt 90 s | 1.0480 × 10−4 | 0.8713 × 10−4 | |
| No-Alt 60 s | −2.8934 × 10−4 | 4.4416 × 10−4 | |
| No-Alt 90 s | −11.5696 × 10−4 | 16.9645 × 10−4 | |
| Altitude (m) | Un-Alt 60 s | 0.0206 | 0.2657 |
| Un-Alt 90 s | 0.0268 | 0.5734 | |
| No-Alt 60 s | 10.2670 | 9.5438 | |
| No-Alt 90 s | 36.9684 | 40.3327 |
Disclaimer/Publisher’s Note: The statements, opinions and data contained in all publications are solely those of the individual author(s) and contributor(s) and not of MDPI and/or the editor(s). MDPI and/or the editor(s) disclaim responsibility for any injury to people or property resulting from any ideas, methods, instructions or products referred to in the content. |
© 2023 by the authors. Licensee MDPI, Basel, Switzerland. This article is an open access article distributed under the terms and conditions of the Creative Commons Attribution (CC BY) license (https://creativecommons.org/licenses/by/4.0/).
Share and Cite
Ye, L.; Gao, N.; Yang, Y.; Deng, L.; Li, H. Three Satellites Dynamic Switching Range Integrated Navigation and Positioning Algorithm with Clock Bias Cancellation and Altimeter Assistance. Aerospace 2023, 10, 411. https://doi.org/10.3390/aerospace10050411
Ye L, Gao N, Yang Y, Deng L, Li H. Three Satellites Dynamic Switching Range Integrated Navigation and Positioning Algorithm with Clock Bias Cancellation and Altimeter Assistance. Aerospace. 2023; 10(5):411. https://doi.org/10.3390/aerospace10050411
Chicago/Turabian StyleYe, Lvyang, Ning Gao, Yikang Yang, Lingyu Deng, and Hengnian Li. 2023. "Three Satellites Dynamic Switching Range Integrated Navigation and Positioning Algorithm with Clock Bias Cancellation and Altimeter Assistance" Aerospace 10, no. 5: 411. https://doi.org/10.3390/aerospace10050411
APA StyleYe, L., Gao, N., Yang, Y., Deng, L., & Li, H. (2023). Three Satellites Dynamic Switching Range Integrated Navigation and Positioning Algorithm with Clock Bias Cancellation and Altimeter Assistance. Aerospace, 10(5), 411. https://doi.org/10.3390/aerospace10050411

