Experimental Study on Reaction Kinetic Characteristics of RP-3 Fuel Vapor Catalyst
Abstract
:1. Introduction
2. Experimental Principle and System
2.1. Experimental Principle
2.2. Experimental System
- Chromatography setup: Turn on the N2 cylinder, H2 generator, and air generator in sequence. Set the chromatographic conditions and ignite after reaching the set requirements.
- Gas distribution: Turn on the N2, O2, and CO2 cylinders in sequence and adjust the mass flowmeter or needle valve to achieve the required experimental conditions, which is a total flow rate of 200 mL/min. Adjust the needle valve before the reactor to ensure consistent flow rates at the reactor inlet and outlet.
- Setting experimental conditions: Turn on the constant temperature water bath and set the temperature value according to the experimental conditions. Turn on the muffle furnace and preheater heating and set the temperature value according to the experimental conditions.
- Experiment and measurement: Start the experiment after completely replacing the gas in the fuel tank ullage and the pipeline. Turn on V1 and turn off V2, measure the FVC before the reaction, and repeat the measurement three times. Then, turn on V2 and turn off V1, measure the FVC at the outlet of the catalytic reactor, and repeat the measurement three times.
- Changing experimental conditions: Change the fuel temperature, reaction temperature, preheating temperature, and gas distribution concentration of each gas according to the experimental working conditions to be carried out, and repeat step 4.
- Experiment conclusion: Close the valves of the chromatography instrument, muffle furnace, preheater, constant-temperature water bath, and gas distribution cylinder when the experiment is completed.
2.3. Chromatographic Calibration
3. Results and Discussion
3.1. Relationship between RP-3 FVC and Temperature
3.2. The Effects of Key Parameters on Kinetic Characteristics
3.2.1. Effect of Reaction Temperature
3.2.2. Effect of OC
3.2.3. Effect of FVC
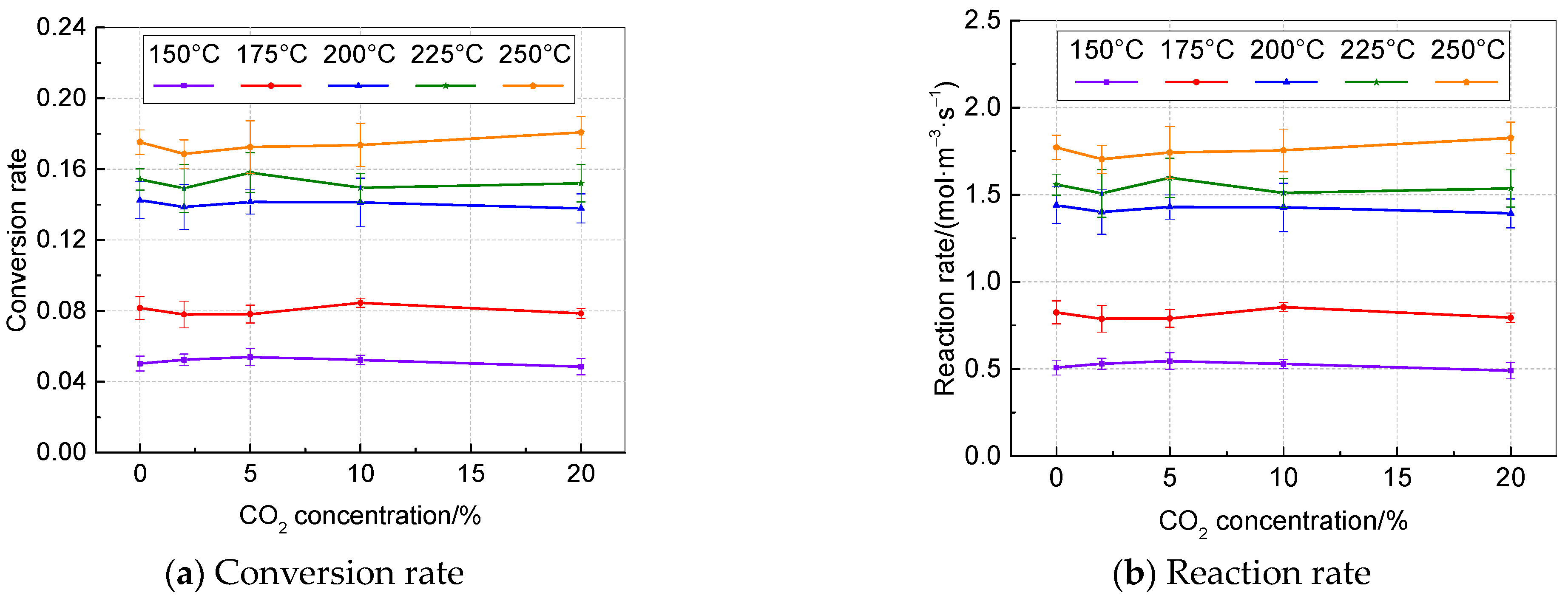
3.2.4. Effect of CO2 Concentration
3.3. Reaction Kinetic Equation
4. Conclusions
- The results of this study indicate that the FVC of RP-3 increases with temperature, although its value is much lower than the value calculated based on the saturated vapor pressure. At 40 °C, the difference is as much as 8.6 times. Thus, using the saturated vapor pressure for FVC calculation is not feasible. Moreover, the experimental data reveal that the relationship between the RP-3 FVC and fuel temperature can be expressed by the equation . These findings have practical implications for the accurate calculation of the FVC and the optimization of the design and operation of fuel systems.
- The critical parameters that affect the catalytic reaction characteristics have been investigated. It was found that increasing the FVC, OC, and reaction temperature is beneficial to the catalytic reaction. Furthermore, it was determined that CO2 does not have a significant impact on the catalyst performance.
- The derived kinetic reaction equation for the catalyst developed for the RP-3 aviation fuel oxygen-consuming inerting system can be summarized as . This equation provides a fundamental basis for simulating the catalytic reactor and the inerting system.
Author Contributions
Funding
Institutional Review Board Statement
Informed Consent Statement
Data Availability Statement
Conflicts of Interest
Abbreviations
| FVC | Fuel Vapor Concentration |
| OC | Oxygen Concentration |
| FAA | Federal Aviation Administration |
| CAAC | Civil Aviation Administration of China |
| HFM-OBIGGS | Hollow Fiber Membrane On-Board Inert Gas Generation System |
| GOBIGGS | Green On-Board Inert Gas Generation System |
| MCPD | Methylcyclopentadiene Dimer |
| FID | Flame Ion Detector |
References
- Smith, D.E. Fuel tank Inerting Systems for Civil Aircraft. Master’s. Thesis, College of Engineering, Colorado State University, Fort Collins, CO, USA, 2014. [Google Scholar]
- Anderson, J.; Scholz, D. Oil Fumes, Flight Safety, and the NTSB. Aerospace 2021, 12, 389. [Google Scholar] [CrossRef]
- Dadia, D. Modeling Wing Tank Flammability. Ph.D. Thesis, The State University of New Jersey, New Brunswick, NJ, USA, 2009. [Google Scholar]
- Summer, S.M. Limiting oxygen concentration required to inert jet fuel vapors existing at reduced fuel tank pressures. J. Rheumatol. 2003, 1, 148–149. [Google Scholar]
- Tian, W.; Wang, L.N.; Han, Z.Q.; Chu, Y.L.; Wang, X.; Xia, Q. Effects of Combustion Parameters on Emissions of Diesel, Diesel/n-Butanol, and Diesel/n-Butanol/2-Ethylhexyl Nitrate Fuels at Different Intake-Oxygen Concentrations in a Diesel Engine. J. Energy. Eng. 2020, 1, 04020081-1. [Google Scholar] [CrossRef]
- Liang, H.; Liu, C.; Chen, K.; Kong, J.; Han, Q.; Zhao, T. Controller fatigue state detection based on ES-DFNN. Aerospace 2021, 12, 383. [Google Scholar] [CrossRef]
- Reynolds, T.L.; Bailey, D.; Lewinski, D. On-Board Inert Gas Generation System/on-Board Oxygen Gas Generation System (OBIGGS/OBOGGS) Study Part1: Aircraft System Requirement; US Department of Transportation, Federal Aviation Administration, Office of Aviation Research: Washington, DC, USA, 2001. [Google Scholar]
- Peng, X.T.; Feng, S.Y.; Li, C.Y.; Chen, C.; Liu, W.H. Effect of fuel type on the performance of an aircraft fuel tank oxygen-consuming inerting system. Chin. J. Aeronaut. 2020, 3, 82–93. [Google Scholar] [CrossRef]
- Cavage, W.M. The Cost of Implementing Ground-Based Fuel Tank Inerting in the Commercial Fleet; DOT/FAA/AR-00/19 Report. Available online: https://www.researchgate.net/publication/235029132_The_Cost_of_Implementing_Ground-_Based_Fuel_Tank_Inerting_in_the_Commercial_Fleet (accessed on 14 October 2022).
- Dalmau, R.; Prats, X.; Baxley, B. Sensitivity-based non-linear model predictive control for aircraft descent operations subject to time constraints. Aerospace 2021, 12, 377. [Google Scholar] [CrossRef]
- Gupta, A. The Boeing Company, Assignee. Fuel Vapor Removal Methods and Systems for Flammability Reduction. United States Patent US 20,130,255,493, 3 October 2013. [Google Scholar]
- Gupta, A. Method and system for making a fuel-tank inert without an inert gas. SAE Int. J. Aerosp. 2009, 1, 75–82. [Google Scholar] [CrossRef]
- Walker, S.; Jung, W.; Robertson, S. Demonstration of a novel catalyst based green on board inert gas generation system (GOBIGGS) for fuel tank inerting. In Proceedings of the American Helicopter Society 69th Annual Forum, Phoenix, AZ, USA, 10 January 2013. [Google Scholar]
- Parker Aerospace. Catalytic Inerting Technology: Next Generation Fuel Tank Inerting Solution. Available online: https://mms.businesswire.com/media/20160711005076/en/533772/1/PHYRE_brochure.pdf (accessed on 11 July 2016).
- Wainright, R.B.; Perlmutter, A. Generation of Inerting Gases for Aircraft Fuel Tanks by Catalytic Combustion Techniques; Air Force Aero Propulsion Laboratory: Wright-Patterson AFB, OH, USA, 1969; Rep. No. AFAPLTR-69-68. [Google Scholar]
- Stuart, R.; Wesley, J.; Donald, K. Development of Green on-Board Inert Gas Generation System (GOB-IGGSTM). Available online: https://www.fire.tc.faa.gov/2007conference/files/Fuel_Tank_Safety/ThursPM/LimayeGOBIGGS/LimayeGOBIGGS-Abs.pdf (accessed on 14 October 2022).
- Peng, X.T.; Wang, H.M.; Huang, L.; Peng, H.; Wang, Y.Y.; Feng, S.Y. Experimental study on RP-3 aviation fuel tank using oxygen-consuming inerting technology. J. Aerosp. Eng. 2022, 1, 06021008. [Google Scholar] [CrossRef]
- Zimmerman, S.P.; Keneshea, T.J. Handbook of Aviation Fuel Properties; Coordinating Research Council: Alpharetta, GA, USA, 1983; CRC Rep. No. 635. [Google Scholar]
- Mze-Ahmed, A.; Hadj-Ali, K.; Devar, P.; Dagaut, P. Kinetics of oxidation of a reformulated jet fuel (1-hexanol/jet a-1) in a jet-stirred reactor: Experimental and modeling study. Combust. Sci. Technol. 2012, 79, 1039–1050. [Google Scholar] [CrossRef]
- Zheng, D.; Yu, W.; Zhong, B. RP-3 aviation kerosene surrogate fuel and the chemical reaction kinetic model. Acta Phys.-Chim. Sin. 2015, 4, 636–642. [Google Scholar]
- Peng, X.; Wang, H.; Huang, L.; Liu, G.; Wang, C.; Feng, S. Performance of an oxygen-consuming inerting system for an aircraft fuel tank with RP-3 aviation fuel in flight. Aerosp. Sci. Technol. 2022, 123, 107446. [Google Scholar] [CrossRef]
- Choi, J.; Chung, J. Preparation and characteristics of novel cobalt oxide catalysts for hydrogen generation from metal borohydride solution. J. Energy. Eng. 2016, 142, 04015026–1. [Google Scholar] [CrossRef]
- Peng, X.; Wu, Z.; Deng, J.; Liu, Y.; Xie, S.; Guo, G.; Dai, H. Catalytic performance enhancement by alloying Pd with Pt on ordered mesoporous manganese oxide for methane combustion. Chin. J. Catal. 2017, 38, 92–105. [Google Scholar]
- Chen, C.; Wang, X.; Zhang, J.; Bian, C.; Pan, S.; Chen, F.; Meng, X.; Zheng, X.; Gao, X.; Xiao, F.S. Superior performance in catalytic combustion of toluene over mesoporous ZSM-5 zeolite supported platinum catalyst. Catal. Today 2015, 258, 190–195. [Google Scholar] [CrossRef]
- Liu, S.; Wu, X.; Weng, D.; Li, M.; Ran, R. Roles of acid sites on Pt/H-ZSM5 catalyst in catalytic oxidation of diesel soot. ACS Catal. 2015, 5, 909–919. [Google Scholar] [CrossRef]
- Zhao, W.; Dai, Y.; Cheng, X. All-silicon zeolite supported pt nanoparticles for green on-board inert gas generation system. Combust. Sci. Technol. 2020, 193, 2009–2022. [Google Scholar] [CrossRef]
- Feng, S.Y.; Li, C.Y.; Shao, L. Analysis on ground-based inerting performance of a fuel tank green on-board inert gas generation system. J. Aerosp. Power 2017, 32, 268–274. [Google Scholar]
- Shao, L. Theoretical and Experimental Study of Oxygen Consumed Inerting Technology for Aircraft Fuel Tank. Ph.D. Thesis, Nanjing University of Aeronautics and Astronautics, Nanjing, China, 2018. [Google Scholar]
- Perego, C.; Peratello, S. Experimental methods in catalytic kinetics. Catal. Today 1999, 52, 133–145. [Google Scholar] [CrossRef]
- Bakhtiari, M.; Zahid, M.A.; Ibrahim, H.; Khan, A.; Sengupta, P.; Idem, R. Oxygenated hydrocarbons steam reforming over Ni/CeZrGdO2 catalyst: Kinetics and reactor modeling. Chem. Eng. Sci. 2015, 138, 363–374. [Google Scholar] [CrossRef]
- Hao, M.; Yang, B.; Wang, H.; Guan, Y.; Qi, S.; Lv, Y. Kinetic study of the catalytic hydrogenation of the methylcyclopentadiene dimer over Pd/C catalyst. React. Kinet. Mech. Catal. 2015, 115, 311–319. [Google Scholar] [CrossRef]
- Todorova, S.; Naydenov, A.; Kolev, H.; Ivanov, G.; Ganguly, A.; Mondal, S.; Saha, S.; Ganguli, A.K. Reaction kinetics and mechanism of complete methane oxidation on Pd/Mn2O3 catalyst. React. Kinet. Mech. Catal. 2018, 123, 585–605. [Google Scholar] [CrossRef]
- Sun, S. Physical Chemistry: Part Two; Xiamen University Press: Xiamen, China, 2008; pp. 150–196. [Google Scholar]
- Guo, K.; Tang, X.; Zhou, X. Chemical Reaction Engineering; Chemical Industry Press: Beijing, China, 2008; pp. 84–131. [Google Scholar]
- ASTM D7833-20; Standard Test Method for Determination of Hydrocarbons and Non-Hydrocarbon Gases in Gaseous Mixtures by Gas Chro-matography. Publications & Standards: Cincinnati, OH, USA, 2020. Available online: https://www.astm.org/d7833-20.html (accessed on 26 June 2020).
- Liu, J. China Jet Fuel; China Petrochemical Press: Beijing, China, 1991; pp. 52–103. [Google Scholar]











| Fuel Type | Alkane | Cycloalkane | Aromatic Hydrocarbon | Olefin | Others |
|---|---|---|---|---|---|
| RP-3 | 53% | 37.7% | 4.6% | 2% | 2.7% |
| Jet-A | 39.1% | 23.2% | 37.4% | 0 | 0.3% |
| Equipment | Manufacturer | Location | Model | Range | Precision |
|---|---|---|---|---|---|
| Mass flowmeter | SEVENSTAR Inc. | Beijing, China | CS200 | 0–2 L/min | ±1.0% |
| Water bath | FDL Inc. | Shanghai, China | DC-8030 | −40–100 °C | ±0.1 °C |
| Temperature sensor | SHENPENG Inc. | Shanghai, China | WRNK-191 | 0–800 °C | ±0.1 °C |
| Gas–liquid separator | JGPC Inc. | Xinxiang, China | AFR2000 | —— | —— |
| Temperature controller | WK Inc. | Shenzhen, China | KHDN11C0 | Full range | —— |
| Hydrogen generator | HONGYI Inc. | Beijing, China | HYH-300B | —— | —— |
| Air generator | HONGYI Inc. | Beijing, China | HY-3A 3L | —— | —— |
| Gas chromatograph | FULI Inc. | Taizhou, China | GC9790plus | —— | —— |
| Data logger | HIOKI Inc. | Kagoshima, Japan | LR8432 | —— | —— |
| Sequence Number | OC/% | FVC/% | Reaction Temperature/°C | CO2 Concentration/% |
|---|---|---|---|---|
| 1 | 2 | 0.32138 | 150 | 0 |
| 2 | 5 | 0.67884 | 175 | 2 |
| 3 | 10 | 1.28735 | 200 | 5 |
| 4 | 20 | 2.23992 | 225 | 10 |
| 5 | 50 | 3.89684 | 250 | 20 |
| 6 | 80 | — | — | — |
Disclaimer/Publisher’s Note: The statements, opinions and data contained in all publications are solely those of the individual author(s) and contributor(s) and not of MDPI and/or the editor(s). MDPI and/or the editor(s) disclaim responsibility for any injury to people or property resulting from any ideas, methods, instructions or products referred to in the content. |
© 2023 by the authors. Licensee MDPI, Basel, Switzerland. This article is an open access article distributed under the terms and conditions of the Creative Commons Attribution (CC BY) license (https://creativecommons.org/licenses/by/4.0/).
Share and Cite
Peng, X.; Fan, D.; Hu, X.; Feng, S.; Peng, H.; Wang, C. Experimental Study on Reaction Kinetic Characteristics of RP-3 Fuel Vapor Catalyst. Aerospace 2023, 10, 410. https://doi.org/10.3390/aerospace10050410
Peng X, Fan D, Hu X, Feng S, Peng H, Wang C. Experimental Study on Reaction Kinetic Characteristics of RP-3 Fuel Vapor Catalyst. Aerospace. 2023; 10(5):410. https://doi.org/10.3390/aerospace10050410
Chicago/Turabian StylePeng, Xiaotian, Donghao Fan, Xuecheng Hu, Shiyu Feng, Hao Peng, and Chenchen Wang. 2023. "Experimental Study on Reaction Kinetic Characteristics of RP-3 Fuel Vapor Catalyst" Aerospace 10, no. 5: 410. https://doi.org/10.3390/aerospace10050410
APA StylePeng, X., Fan, D., Hu, X., Feng, S., Peng, H., & Wang, C. (2023). Experimental Study on Reaction Kinetic Characteristics of RP-3 Fuel Vapor Catalyst. Aerospace, 10(5), 410. https://doi.org/10.3390/aerospace10050410

