Assessing Annual Actual Evapotranspiration Based on Climate, Topography and Soil in Natural and Agricultural Ecosystems
Abstract
1. Introduction
2. Materials and Methods
2.1. Derivation of Actual Evapotranspiration and Comparison with Previous Methods
2.2. Study Area and Data
- The database of Hijmans et al. [36] provides gridded data of mean monthly precipitation P and mean monthly temperature T for the period 1950–2000 (WorldClim version 1.2) at 30 arc-sec (~1 × 1 km) spatial resolution. Their mean annual values are given in Figure 1a,b, respectively, and their frequency histograms in Figure 2a,b, respectively.
- The database of Aschonitis et al. [37] (10.1594/PANGAEA.868808) provides gridded data of mean monthly reference evapotranspiration ETo (Equation (8)) of the period 1950–2000 at 30 arc-sec (~1 × 1 km) spatial resolution (Figure 1c) (this database is built using temperatures from the WorldClim version 1.2 database). Using the ETo (Figure 1c) and precipitation (Figure 1a) from the previous database, the irrigation map of the reference crop IR is built according to Equation (3) (Figure 1d). The frequency histograms of ETo and IR are given in Figure 2c,d, respectively.
- The European Soil Database (ESDB) provided by the European Commission Joint Research Centre [38,39] provides soil data (% sand, % silt, % clay, % gravel, % organic carbon) with spatial analysis (~1 × 1 km). These data are used to estimate the saturated hydraulic conductivity Ks according to the respective pedotransfer function (PTF) of Saxton and Rawls [40], taking into account the gravel and organic matter effect (Figure 1f). The frequency histogram of Ks is given in Figure 2f.
3. Results
4. Discussion
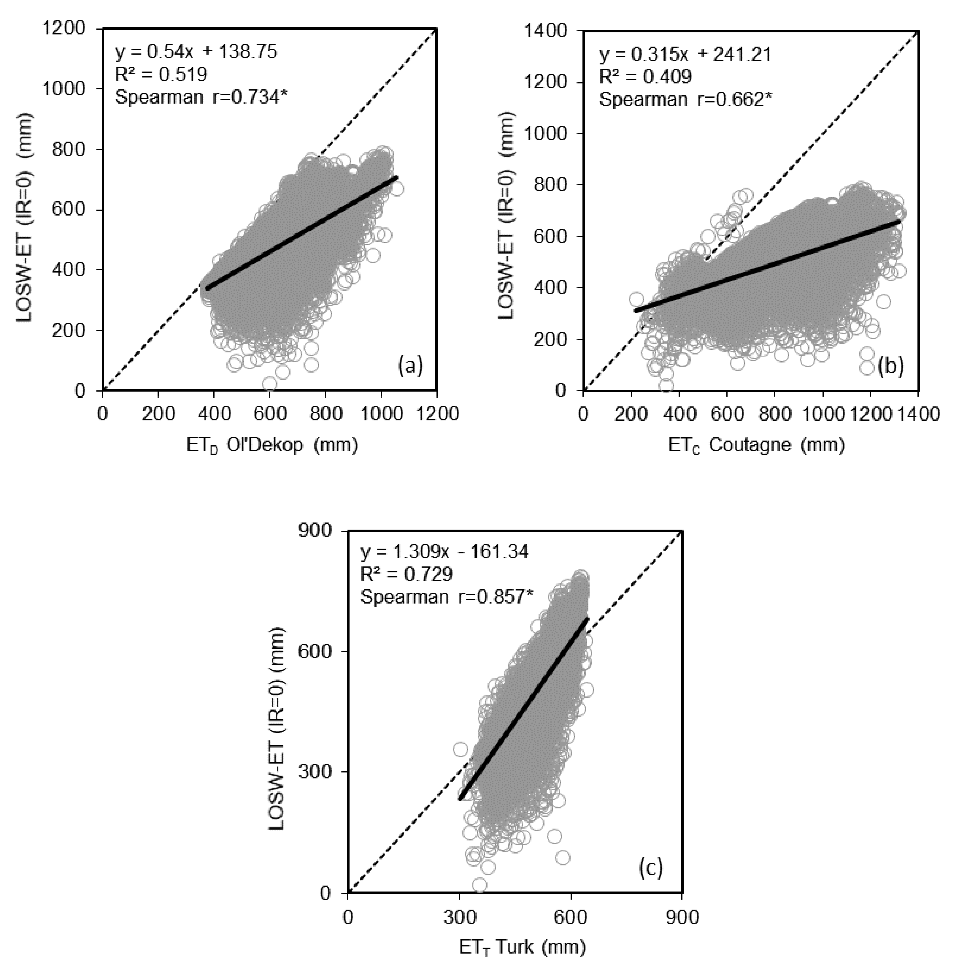
4.1. Differences between Actual Evapotranspiration Methods
- (a)
- The creators used calibration data from different regions with extreme hydroclimatological differences that led to coefficients describing different attributes of hydroclimatic conditions.
- (b)
- Many of the methods were extremely old, and the accuracy and representativity of the data used for calibration were completely different when they were developed compared to the respective data provided nowadays. For example, the method of Oldekop is more than a century old, while most of the important methods, including Coutagne and Turk, are more than 50 years old.
- (c)
- The user may not apply the methods in the same way proposed by the creators. For example, the user may estimate the potential/reference evapotranspiration using a different method from the one used by the developer. For example, old methods had available data only for rainfall and temperature. Thus, potential evapotranspiration was mainly estimated using a temperature-based formula, e.g., the Thornthwaite method [41]. Nowadays, there is a vast amount of methods for estimating potential/reference evapotranspiration with limited or full data requirements depending on the data availability. This may be convenient but can also lead to differences not only between actual ET methods but also to differences between the results of the same actual ET method due to the use of a different ETo method.
4.2. Inclusion or Noninclusion of Irrigation in Actual Evapotranspiration Methods
4.3. Possible Solutions for Validation
5. Conclusions
Author Contributions
Funding
Data Availability Statement
Conflicts of Interest
References
- Xu, C.-Y.; Singh, V.P. Evaluation of three complementary relationship evapotranspiration models by water balance approach to estimate actual regional evapotranspiration in different climatic regions. J. Hydrol. 2005, 308, 105–121. [Google Scholar] [CrossRef]
- Yao, J.; Mao, W.; Yang, Q.; Xu, X.; Liu, Z. Annual actual evapotranspiration in inland river catchments of China based on the Budyko framework. Stoch. Environ. Res. Risk Assess. 2017, 31, 1409–1421. [Google Scholar] [CrossRef]
- Gao, G.; Chen, D.; Xu, C.-Y.; Simelton, E. Trend of estimated actual evapotranspiration over China during 1960–2002. J. Geophys. Res. 2007, 112, D11120. [Google Scholar] [CrossRef]
- Xu, C.-Y.; Chen, D. Comparison of seven models for estimation of evapotranspiration and groundwater recharge using lysimeter measurement data in Germany. Hydrol. Processes 2005, 19, 3717–3734. [Google Scholar] [CrossRef]
- Rana, G.; Katerji, N. Measurement and estimation of actual evapotranspiration in the field under Mediterranean climate: A review. Eur. J. Agron. 2000, 13, 125–153. [Google Scholar] [CrossRef]
- Jung, C.-G.; Lee, D.-R.; Moon, J.-W. Comparison of the Penman-Monteith method and regional calibration of the Hargreaves equation for actual evapotranspiration using SWAT-simulated results in the Seolma-cheon basin, South Korea. Hydrol. Sci. J. 2016, 61, 793–800. [Google Scholar] [CrossRef][Green Version]
- Mentzafou, A.; Varlas, G.; Dimitriou, E.; Papadopoulos, A.; Pytharoulis, I.; Katsafados, P. Modeling the effects of anthropogenic land cover changes to the main hydrometeorological factors in a regional watershed, central Greece. Climate 2019, 7, 129. [Google Scholar] [CrossRef]
- Thornthwaite, C.W.; Mather, J.R. The water balance. Publ. Climatol. 1955, 8, 1–104. [Google Scholar]
- Legates, D.R.; Mather, J.R. An evaluation of the average annual global water balance. Geogr. Rev. 1992, 82, 253–267. [Google Scholar] [CrossRef]
- Bracht-Flyr, B.; Istanbulluoglu, E.; Fritz, S. A hydro-climatological lake classification model and its evaluation using global data. J. Hydrol. 2013, 486, 376–383. [Google Scholar] [CrossRef]
- Demertzi, K.; Papadimos, D.; Aschonitis, V.; Papamichail, D. A simplistic approach for assessing hydroclimatic vulnerability of lakes and reservoirs with regulated superficial outflow. Hydrology 2019, 6, 61. [Google Scholar] [CrossRef]
- Oldekop, E.M. On Evaporation from the Surface of River Basins; Univ. of Tartu: Tartu, Estonia, 1911; p. 209. [Google Scholar]
- Coutagne, A. Quelques considérations sur le pouvoir évaporant de l’atmosphère, le déficit d’écoulement effectif et le déficit d’écoulement maximum. La Houille Blanche 1954, 360–374. [Google Scholar] [CrossRef]
- Turk, L. Estimation of irrigation water requirements, potential evapotranspiration: A simple climatic formula evolved up to date. Ann. Agron. 1961, 131, 13–49. [Google Scholar]
- Bouchet, R.J. Evapotranspiration réelle et potentielle, signification climatique. Int. Assoc. Hydrol. Sci. 1963, 62, 134–142. [Google Scholar]
- Gao, J.; Qiao, M.; Qiu, X.; Zeng, Y.; Hua, H.; Ye, X.; Adamu, M. Estimation of Actual Evapotranspiration Distribution in the Huaihe River Upstream Basin Based on the Generalized Complementary Principle. Adv. Meteorol. 2018, 2018, 2158168. [Google Scholar] [CrossRef]
- Budyko, M.I. The Heat Balance of the Earth’s Surface; US Department of Commerce: Washington, DC, USA, 1958. [Google Scholar]
- Budyko, M.I. The effect of solar radiation variations on the climate of the earth. Tellus Ser. A—Dyn. Meteorol. Oceanogr. 1969, 21, 611–619. [Google Scholar] [CrossRef]
- Budyko, M.I. Climate and Life; Academic Press: San Diego, CA, USA, 1974. [Google Scholar]
- Andréassian, V.; Mander, Ü.; Pae, T. The Budyko hypothesis before Budyko: The hydrological legacy of Evald Oldekop. J. Hydrol. 2016, 535, 386–391. [Google Scholar] [CrossRef]
- Gao, X.; Sun, M.; Zhao, Q.; Wu, P.; Zhao, X.; Pan, W.; Wang, Y. Actual ET modelling based on the Budyko framework and the sustainability of vegetation water use in the loess plateau. Sci. Tot. Environ. 2017, 579, 1550–1559. [Google Scholar] [CrossRef]
- Fu, B.P. On the calculation of the evaporation from land surface. Sci. Atmos. Sin. 1981, 5, 23–31. [Google Scholar]
- Milly, P.C.D. Climate, soil water storage, and the average water balance. Water Resour. Res. 1994, 30, 2143–2156. [Google Scholar] [CrossRef]
- Zhang, L.; Dawes, W.R.; Walker, G.R. Response of mean annual evapotranspiration to vegetation changes at catchment scale. Water Resour. Res. 2001, 37, 701–708. [Google Scholar] [CrossRef]
- Zhang, L.; Hickel, K.; Dawes, W.R.; Chiew, F.H.S.; Western, A.W.; Briggs, P.R. A rational function approach for estimating mean annual evapotranspiration. Water Resour. Res. 2004, 40, W02502. [Google Scholar] [CrossRef]
- Potter, N.J.; Zhang, L.; Milly, P.C.D.; Mcmahon, T.A.; Jakeman, A.J. The effects of rainfall seasonality and soil moisture capacity on mean annual water balance for Australian catchments. Water Resour. Res. 2005, 41, 697–705. [Google Scholar] [CrossRef]
- Sun, F.B.; Yang, D.W.; Liu, Z.Y. Study on coupled water-energy balance in Yellow River basin based on Bodyko hypothesis. J. Hydraul. Eng. 2007, 38, 409–416. [Google Scholar]
- Wang, T.; Istanbulluoglu, E.; Lenters, J.; Scott, D. On the role of groundwater and soil texture in the regional water balance: An investigation of the Nebraska Sand Hills, USA. Water Resour. Res. 2009, 45, W10413. [Google Scholar] [CrossRef]
- Aschonitis, V.G.; Mastrocicco, M.; Colombani, N.; Salemi, E.; Kazakis, N.; Voudouris, K.; Castaldelli, G. Assessment of the intrinsic vulnerability of agricultural land to water and nitrogen losses via deterministic approach and regression analysis. Water Air Soil Poll. 2012, 223, 1605–1614. [Google Scholar] [CrossRef]
- Aschonitis, V.G.; Salemi, E.; Colombani, N.; Castaldelli, G.; Mastrocicco, M. Formulation of indices to describe intrinsic nitrogen transformation rates for the implementation of best management practices in agricultural lands. Water Air Soil Poll. 2013, 224, 1489. [Google Scholar] [CrossRef]
- Allen, R.G.; Pereira, L.S.; Raes, D.; Smith, M. Crop Evapotranspiration: Guidelines for Computing Crop Water Requirements; Irrigation and Drainage Paper 56; Food and Agriculture Organization of the United Nations: Rome, Italy, 1998. [Google Scholar]
- Allen, R.G.; Walter, I.A.; Elliott, R.; Howell, T.; Itenfisu, D.; Jensen, M. The ASCE Standardized Reference Evapotranspiration Equation; Final Report (ASCE-EWRI); Allen, R.G., Walter, I.A., Elliott, R., Howell, T., Itenfisu, D., Jensen, M., Eds.; Environmental and Water Resources Institute, Task Committee on Standardization of Reference Evapotranspiration of the Environmental and Water Resources Institute: Reston, VA, USA, 2005. [Google Scholar]
- Knisel, W.G.; Davis, F.M. GLEAMS, Groundwater Loading Effects from Agricultural Management Systems V3.0; Publ. No. SEWRL-WGK/FMD-050199; U.S.D.A.: Tifton, GA, USA, 2000. [Google Scholar]
- USDA–NRCS. National Engineering Handbook; Hydrologic Soil Groups, (210–VI–NEH); NRCS: Washington, DC, USA, 2007; Chapter 7. [Google Scholar]
- Getter, K.L.; Rowe, D.B.; Andresen, J.A. Quantifying the effect of slope on extensive green roof stormwater retention. Ecol. Eng. 2007, 31, 225–231. [Google Scholar] [CrossRef]
- Hijmans, R.J.; Cameron, S.E.; Parra, J.L.; Jones, P.G.; Jarvis, Α. Very high resolution interpolated climate surfaces for global land areas. Int. J. Climatol. 2005, 25, 1965–1978. [Google Scholar] [CrossRef]
- Aschonitis, V.G.; Papamichail, D.; Demertzi, K.; Colombani, N.; Mastrocicco, M.; Ghirardini, A.; Castaldelli, G.; Fano, E.-A. High-resolution global grids of revised Priestley-Taylor and Hargreaves-Samani coefficients for assessing ASCE-standardized reference crop evapotranspiration and solar radiation. Earth Syst. Sci. Data 2017, 9, 615–638. [Google Scholar] [CrossRef]
- Hiederer, R. Mapping Soil Properties for Europe—Spatial Representation of Soil Database Attributes; EUR26082EN Scientific and Technical Research Series; Publications Office of the European Union: Luxembourg, 2013; p. 47. ISSN 1831-9424. [Google Scholar]
- Hiederer, R. Mapping Soil Typologies—Spatial Decision Support Applied to European Soil Database; EUR25932EN Scientific and Technical Research Series; Publications Office of the European Union: Luxembourg, 2013; p. 147. ISSN 1831-9424. [Google Scholar]
- Saxton, K.E.; Rawls, W.J. Soil water estimates by texture and organic matter for hydrologic solutions. Soil Sci. Soc. Am. J. 2006, 70, 1569–1578. [Google Scholar] [CrossRef]
- Thornthwaite, C. An Approach toward a Rational Classification of Climate. Geograph. Rev. 1948, 38, 55–94. [Google Scholar] [CrossRef]
- Demertzi, K.; Papamichail, D.; Aschonitis, V.; Miliaresis, G. Spatial and seasonal patterns of precipitation in Greece: The terrain segmentation approach. Global Nest J. 2014, 16, 988–997. [Google Scholar] [CrossRef]
- Aschonitis, V.; Miliaresis, G.; Demertzi, K.; Papamichail, D. Terrain Segmentation of Greece Using the Spatial and Seasonal Variation of Reference Crop Evapotranspiration. Adv. Meteorol. 2016, 3092671. [Google Scholar] [CrossRef]
- Demertzi, K.; Papamichail, D.; Aschonitis, V.; Miliaresis, G. Hydroclimatic analysis of Greece using multi-parametric clustering of monthly precipitation and reference crop evapotranspiration. Europ. Water 2016, 55, 141–155. [Google Scholar]
- Savé, R.; de Herralde, F.; Aranda, X.; Pla, E.; Pascual, D.; Funes, I.; Biel, C. Potential changes in irrigation requirements and phenology of maize, apple trees and alfalfa under global change conditions in Fluvià watershed during XXIst century: Results from a modeling approximation to watershed-level water balance. Agr. Water Manag. 2012, 114, 78–87. [Google Scholar] [CrossRef]









Publisher’s Note: MDPI stays neutral with regard to jurisdictional claims in published maps and institutional affiliations. |
© 2021 by the authors. Licensee MDPI, Basel, Switzerland. This article is an open access article distributed under the terms and conditions of the Creative Commons Attribution (CC BY) license (http://creativecommons.org/licenses/by/4.0/).
Share and Cite
Demertzi, K.; Pisinaras, V.; Lekakis, E.; Tziritis, E.; Babakos, K.; Aschonitis, V. Assessing Annual Actual Evapotranspiration Based on Climate, Topography and Soil in Natural and Agricultural Ecosystems. Climate 2021, 9, 20. https://doi.org/10.3390/cli9020020
Demertzi K, Pisinaras V, Lekakis E, Tziritis E, Babakos K, Aschonitis V. Assessing Annual Actual Evapotranspiration Based on Climate, Topography and Soil in Natural and Agricultural Ecosystems. Climate. 2021; 9(2):20. https://doi.org/10.3390/cli9020020
Chicago/Turabian StyleDemertzi, Kleoniki, Vassilios Pisinaras, Emanuel Lekakis, Evangelos Tziritis, Konstantinos Babakos, and Vassilis Aschonitis. 2021. "Assessing Annual Actual Evapotranspiration Based on Climate, Topography and Soil in Natural and Agricultural Ecosystems" Climate 9, no. 2: 20. https://doi.org/10.3390/cli9020020
APA StyleDemertzi, K., Pisinaras, V., Lekakis, E., Tziritis, E., Babakos, K., & Aschonitis, V. (2021). Assessing Annual Actual Evapotranspiration Based on Climate, Topography and Soil in Natural and Agricultural Ecosystems. Climate, 9(2), 20. https://doi.org/10.3390/cli9020020

