Towards Practical Application of Verticillium isaacii Vt305 to Control Verticillium Wilt of Cauliflower: Exploring Complementary Biocontrol Strategies
Abstract
1. Introduction
2. Results
2.1. Production of V. isaacii Vt305 Microsclerotia
2.2. Efficacy of V. isaacii Vt305 in Greenhouse Conditions
2.3. Efficacy of V. isaacii Vt305 in Field Conditions
2.3.1. Application of Different Doses of V. isaacii Vt305 Microsclerotia at Three Locations in Three Different Cauliflower Cultivars
2.3.2. Application of V. isaacii Vt305 Microsclerotia with the PHYTO-DRIP® System
2.4. Effect of Potato and Green Manure Crops on Verticillium Soil Populations and Verticillium Wilt of Cauliflower
2.4.1. Colonization of Green Manure Crop Residues by V. isaacii, V. longisporum, and V. dahliae
2.4.2. Effect of Potato and Green Manure Crops on Soil Populations of Verticillium spp. and the Impact on Verticillium Wilt in Cauliflower
2.5. Combined Effect of Green Manure Crops and Treatment of the Cauliflower Seeds with V. isaacii Vt305 on Verticillium Wilt of Cauliflower
3. Discussion
4. Materials and Methods
4.1. Verticillium isaacii Isolate Vt305 and Inoculum Preparation
4.2. Efficacy of V. isaacii Vt305 in Greenhouse Conditions
4.3. Efficacy of V. isaacii Vt305 in Field Conditions
4.4. Colonization of Crop Residues by V. isaacii, V. longisporum and V. dahliae
4.5. Effect of Potato and Green Manure Crops on Soil Population of Verticillium and the Impact on Verticillium Wilt in Cauliflower in Field Conditions
4.6. Combined Effect of Green Manure Crops and Treatment of the Cauliflower Seeds with V. isaacii Vt305 on Verticillium Wilt of Cauliflower
4.7. Disease Assessment
4.8. DNA Extraction from Plant Tissues
4.9. Soil Sampling and Processing to Determine the Inoculum Density
4.10. Real-Time PCR Analysis
4.11. Statistical Analysis
Author Contributions
Funding
Acknowledgments
Conflicts of Interest
Appendix A
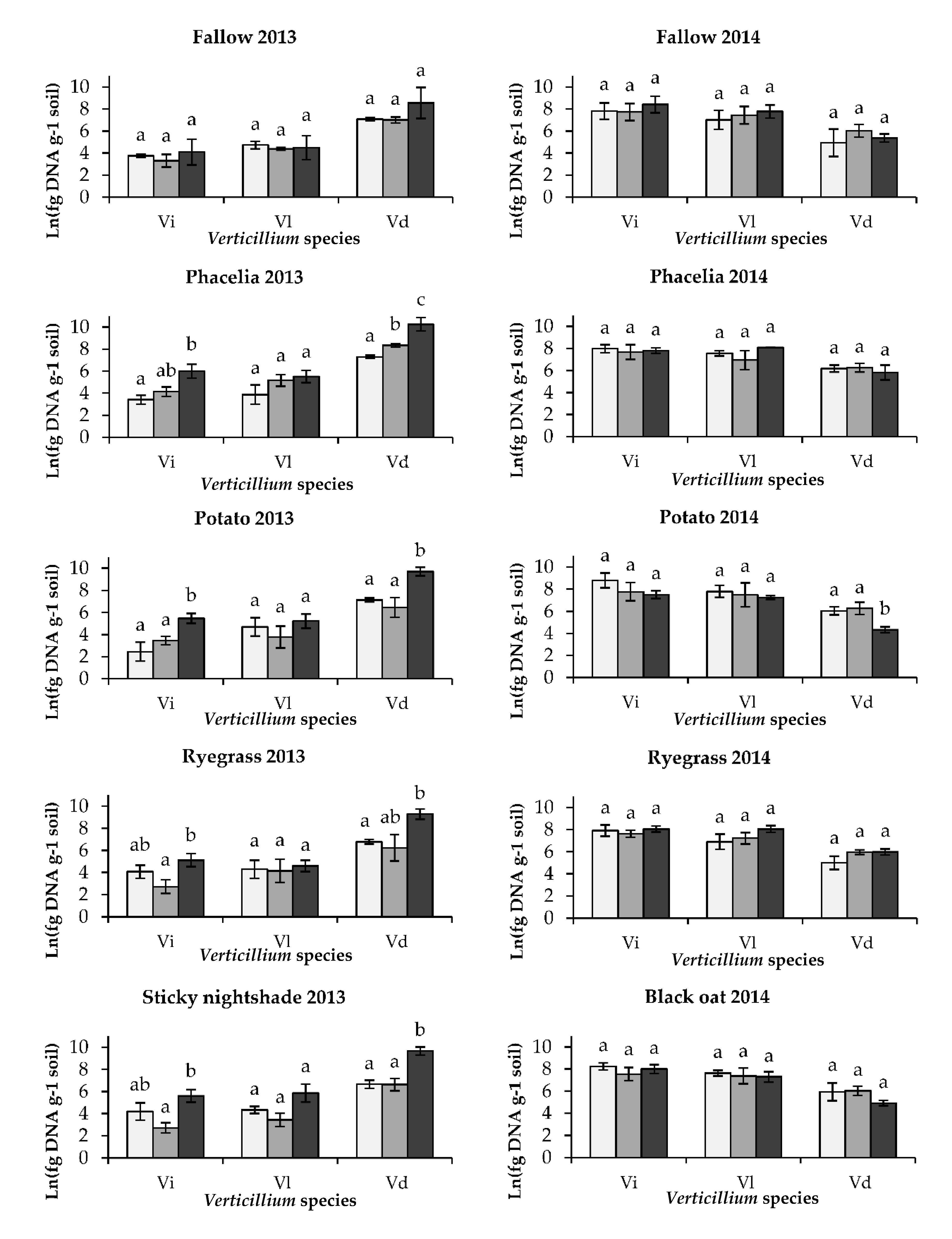
: sowing/planting of crop 1,
: incorporation of crop 1 and
: harvest of cauliflower) in a grower’s field located in Ardooie during the growing seasons of 2013 and 2014 in five cover crop systems. Values are the mean of 4 replicates and the vertical bars represent the standard error of the mean. Data were ln transformed before statistics. For each Verticillium species, bars with different letters indicate statistical differences according to Tukey tests (p < 0.05).
: sowing/planting of crop 1,
: incorporation of crop 1 and
: harvest of cauliflower) in a grower’s field located in Ardooie during the growing seasons of 2013 and 2014 in five cover crop systems. Values are the mean of 4 replicates and the vertical bars represent the standard error of the mean. Data were ln transformed before statistics. For each Verticillium species, bars with different letters indicate statistical differences according to Tukey tests (p < 0.05).
: sowing/planting of crop 1,
: incorporation of crop 1 and
: harvest of cauliflower) in a grower’s fields located in Puurs during the growing seasons of 2013 and 2014 in five cover crop systems. Values are the mean of 4 replicates and the vertical bars represent the standard error of the mean. Data were ln transformed before statistics. For each Verticillium species, bars with different letters indicate statistical differences according to Tukey tests (p < 0.05).
: sowing/planting of crop 1,
: incorporation of crop 1 and
: harvest of cauliflower) in a grower’s fields located in Puurs during the growing seasons of 2013 and 2014 in five cover crop systems. Values are the mean of 4 replicates and the vertical bars represent the standard error of the mean. Data were ln transformed before statistics. For each Verticillium species, bars with different letters indicate statistical differences according to Tukey tests (p < 0.05).
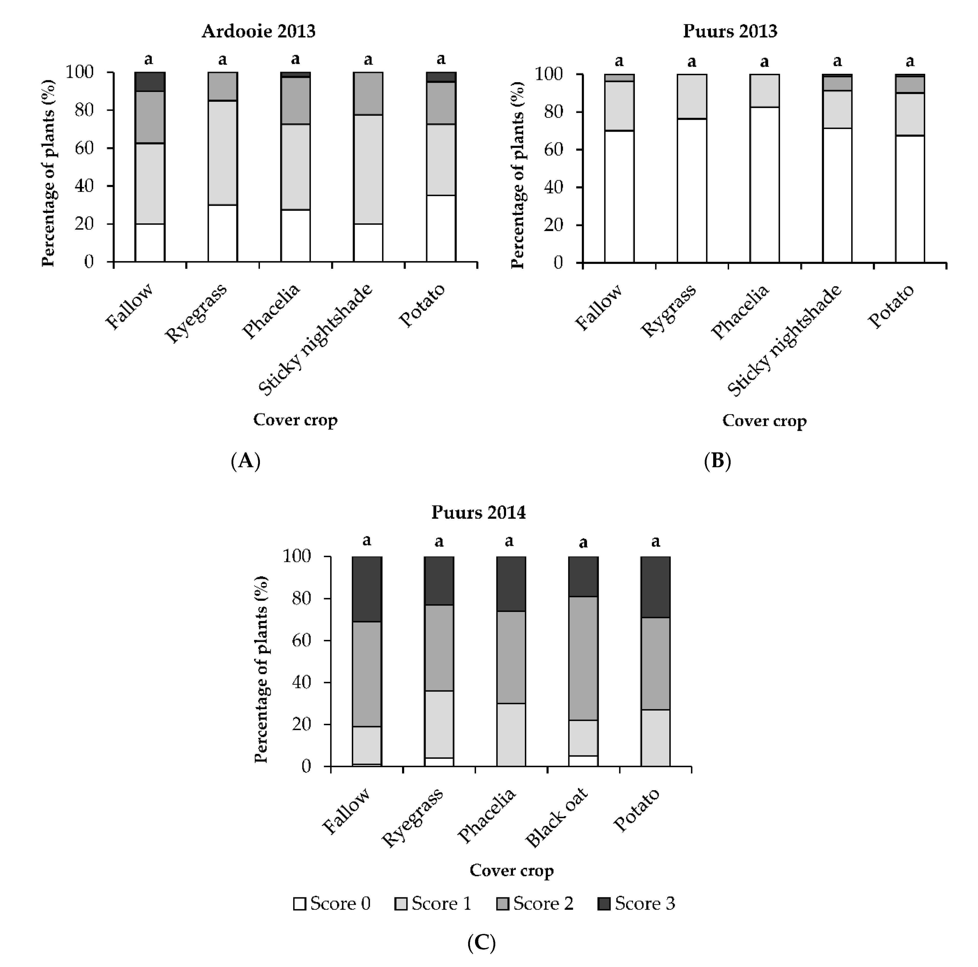
: sowing/planting of crop 1,
: incorporation of crop 1 and
: harvest of cauliflower) in a grower’s field located in Puurs during the growing season of 2015 in four cover crop systems and two treatment systems of the cauliflower seeds (left panel: no seed treatment; right panel: seed treatment with V. isaacii Vt305 microsclerotia indicated by ‘+Vt305’). Cauliflower seeds were treated with 0.5 mL of tap water (control plants) or 0.5 mL of a microsclerotia (MS) suspension of V. isaacii Vt305 resulting in 500 MS per seed. Values are the mean of 4 replicates and the vertical bars represent the standard error of the mean. Data were ln transformed before statistics. No statistical differences were detected for the different Verticillium species in the different growing systems using Tukey tests (p < 0.05).
: sowing/planting of crop 1,
: incorporation of crop 1 and
: harvest of cauliflower) in a grower’s field located in Puurs during the growing season of 2015 in four cover crop systems and two treatment systems of the cauliflower seeds (left panel: no seed treatment; right panel: seed treatment with V. isaacii Vt305 microsclerotia indicated by ‘+Vt305’). Cauliflower seeds were treated with 0.5 mL of tap water (control plants) or 0.5 mL of a microsclerotia (MS) suspension of V. isaacii Vt305 resulting in 500 MS per seed. Values are the mean of 4 replicates and the vertical bars represent the standard error of the mean. Data were ln transformed before statistics. No statistical differences were detected for the different Verticillium species in the different growing systems using Tukey tests (p < 0.05).

References
- Koike, S.T.; Subbarao, K.V.; Davis, R.M.; Gordon, T.R.; Hubbard, J.C. Verticillium wilt of cauliflower in California. Plant Dis. 1994, 78, 1116–1121. [Google Scholar] [CrossRef]
- Debode, J.; Clewes, E.; De Backer, G.; Höfte, M. Lignin is involved in the reduction of Verticillium dahliae var. longisporum inoculum in soil by crop residue incorporation. Soil Biol. Biochem. 2005, 37, 301–309. [Google Scholar] [CrossRef]
- Debussche, B. Areaal openluchtgroenten gaat opnieuw de hoogte in. Proeftuinnieuws Jaargang 30 2020, 16, 46–47. [Google Scholar]
- Deketelaere, S.; Tyvaert, L.; Franca, S.C.; Höfte, M. Desirable traits of a good biocontrol agent against Verticillium wilt. Front. Microbiol. 2017, 8, 23. [Google Scholar] [CrossRef] [PubMed]
- Abuamsha, R.; Salman, M.; Ehlers, R.U. Differential resistance of oilseed rape cultivars (Brassica napus ssp oleifera) to Verticillium longisporum infection is affected by rhizosphere colonisation with antagonistic bacteria, Serratia plymuthica and Pseudomonas chlororaphis. Biocontrol 2011, 56, 101–112. [Google Scholar] [CrossRef]
- Berg, G.; Marten, P.; Ballin, G. Stenotrophomonas maltophilia in the rhizosphere of oilseed rape—Occurrence, characterization and interaction with phytopathogenic fungi. Microbiol. Res. 1996, 151, 19–27. [Google Scholar] [CrossRef]
- Danielsson, J.; Reva, O.; Meijer, J. Protection of oilseed rape (Brassica napus) toward fungal pathogens by strains of plant-associated Bacillus amyloliquefaciens. Microb. Ecol. 2007, 54, 134–140. [Google Scholar] [CrossRef]
- Müller, H.; Berg, G. Impact of formulation procedures on the effect of the biocontrol agent Serratia plymuthica HRO-C48 on Verticillium wilt in oilseed rape. Biocontrol 2008, 53, 905–916. [Google Scholar] [CrossRef]
- França, S.C.; Spiessens, K.; Pollet, S.; Debode, J.; De Rooster, L.; Callens, D.; Höfte, M. Population dynamics of Verticillium species in cauliflower fields: Influence of crop rotation, debris removal and ryegrass incorporation. Crop Prot. 2013, 54, 134–141. [Google Scholar] [CrossRef]
- Inderbitzin, P.; Bostock, R.M.; Davis, R.M.; Usami, T.; Platt, H.W.; Subbarao, K.V. Phylogenetics and taxonomy of the fungal vascular wilt pathogen Verticillium, with the descriptions of five new species. PLoS ONE 2011, 6, 22. [Google Scholar] [CrossRef]
- Tyvaert, L.; França, S.C.; Debode, J.; Höfte, M. The endophyte Verticillium Vt305 protects cauliflower against Verticillium wilt. J. Appl. Microbiol. 2014, 116, 1563–1571. [Google Scholar] [CrossRef] [PubMed]
- Davis, J.R.; Pavek, J.J.; Corsini, D.L. Potato genotypes, a tool for managing soilborne pathogens—A summary. In Managing Soil-Borne Pathogens: A Sound Rhizosphere to Improve Productivity in Intensive Horticultural Systems; Vanachter, A., Ed.; International Society Horticultural Science: Leuven, Belgium, 2004; Volume 1, pp. 93–100. [Google Scholar] [CrossRef]
- Cherr, C.M.; Scholberg, J.M.S.; McSorley, R. Green manure approaches to crop production: A synthesis. Agron. J. 2006, 98, 302–319. [Google Scholar] [CrossRef]
- Abadie, C.; Edel, V.; Alabouvette, C. Soil suppressiveness to Fusarium wilt: Influence of a cover-plant on density and diversity of Fusarium populations. Soil Biol. Biochem. 1998, 30, 643–649. [Google Scholar] [CrossRef]
- Bulluck, L.R.; Ristaino, J.B. Effect of synthetic and organic soil fertility amendments on southern blight, soil microbial communities, and yield of processing tomatoes. Phytopathology 2002, 92, 181–189. [Google Scholar] [CrossRef] [PubMed]
- Wiggins, B.E.; Kinkel, L.L. Green manures and crop sequences influence alfalfa root rot and pathogen inhibitory activity among soil-borne Streptomycetes. Plant Soil 2005, 268, 271–283. [Google Scholar] [CrossRef]
- Wiggins, B.E.; Kinkel, L.L. Green manures and crop sequences influence potato diseases and pathogen inhibitory activity of indigenous Streptomycetes. Phytopathology 2005, 95, 178–185. [Google Scholar] [CrossRef]
- Pegg, G.F.; Brady, B.L. Verticillium Wilts; CABI Publishing: Wallingford, UK, 2002. [Google Scholar]
- Timmermans, B.G.H.; Vos, J.; Stomph, T.J. The development, validation and application of a crop growth model to assess the potential of Solanum sisymbriifolium as a trap crop for potato cyst nematodes in Europe. Field Crop. Res. 2009, 111, 22–31. [Google Scholar] [CrossRef]
- Lima, E.A.; Mattos, J.K.; Moita, A.W.; Carneiro, R.G.; Carneiro, R.M.D.G. Host status of different crops for Meloidogyne ethiopica control. Trop. Plant Pathol. 2009, 34, 152–157. [Google Scholar] [CrossRef]
- Schnathorst, W.C.; Mathre, D.E. Cross-protection in cotton with strains of Verticillium albo-atrum. Phytopathology 1966, 56, 1204–1209. [Google Scholar]
- Zhu, H.-Q.; Feng, Z.-L.; Li, Z.-F.; Shi, Y.-Q.; Zhao, L.-H.; Yang, J.-R. Characterization of two fungal isolates from cotton and evaluation of their potential for biocontrol of Verticillium wilt of cotton. J. Phytopathol. 2013, 161, 70–77. [Google Scholar] [CrossRef]
- Davis, J.R.; Everson, D.O.; Sorensen, L.H.; Schneider, A.T. Associations of Verticillium Tricorpus with Soil Suppressiveness of Verticillium Wilt of Potato; American Phytopathological Society: St Paul, MN, USA, 2000; pp. 347–351. [Google Scholar]
- Robinson, N.; Platt, H.W.; Hale, L.R. Interactions of various Verticillium species in combination with V. albo-atrum on Verticillium wilt disease development in potato. Am. J. Potato Res. 2007, 84, 133–141. [Google Scholar] [CrossRef]
- Matta, A.; Garibaldi, A. Control of Verticillium wilt of tomato by preinoculation with avirulent fungi. Neth. J. Plant Pathol. 1977, 83, 457–462. [Google Scholar] [CrossRef]
- Shittu, H.O.; Castroverde, D.C.M.; Nazar, R.N.; Robb, J. Plant-endophyte interplay protects tomato against a virulent Verticillium. Planta 2009, 229, 415–426. [Google Scholar] [CrossRef]
- Qin, Q.M.; Vallad, G.E.; Subbarao, K.V. Characterization of Verticillium dahliae and V. tricorpus isolates from lettuce and artichoke. Plant Dis. 2008, 92, 69–77. [Google Scholar] [CrossRef] [PubMed]
- García, M.; Arriagada, C.; Garcia-Romera, I.; Ocampo, J.A. Are plant cell wall hydrolysing enzymes of saprobe fungi implicated in the biological control of the Verticillium dahliae pathogenesis? Crop Prot. 2011, 30, 85–87. [Google Scholar] [CrossRef]
- Wilhelm, S. Longevity of the Verticillium wilt fungus in the laboratory and field. Phytopathology 1955, 45, 180–181. [Google Scholar]
- Whipps, J.M.; McQuilken, M.P. Biological control agents in plant disease control. In Disease Control in Crops; Walters, D., Ed.; Wiley-Blackwell: Hoboken, NJ, USA, 2009; pp. 27–61. [Google Scholar] [CrossRef]
- Debode, J.; Declercq, B.; Höfte, M. Identification of cauliflower cultivars that differ in susceptibility to Verticillium longisporum using different inoculation methods. J. Phytopathol. 2005, 153, 257–263. [Google Scholar] [CrossRef][Green Version]
- Brinkerhoff, L.A. The influence of temperature, aeration, and soil microflora on microsclerotial development of Verticillium albo-atrum in abscised cotton leaves. Phytopathology 1969, 59, 805–808. [Google Scholar]
- Davis, J.R.; Huisman, O.C.; Everson, D.O.; Nolte, P.; Sorenson, L.H.; Schneider, A.T. The suppression of Verticillium wilt of potato using corn as a green manure crop. Am. J. Potato Res. 2010, 87, 195–208. [Google Scholar] [CrossRef]
- Mol, L.; Scholte, K. Effect of haulm treatments on the formation of microsclerotia of Verticillium dahliae Kleb on potato. Potato Res. 1995, 38, 151–157. [Google Scholar] [CrossRef]
- Davis, J.R.; Huisman, O.C.; Westermann, D.T.; Hafez, S.L.; Everson, D.O.; Sorensen, L.H.; Schneider, A.T. Effects of green manures on Verticillium wilt of potato. Phytopathology 1996, 86, 444–453. [Google Scholar] [CrossRef]
- Ochiai, N.; Powelson, M.L.; Dick, R.P.; Crowe, F.J. Effects of green manure type and amendment rate on Verticillium wilt severity and yield of Russet Burbank potato. Plant Dis. 2007, 91, 400–406. [Google Scholar] [CrossRef] [PubMed]
- England, L.S.; Holmes, S.B.; Trevors, J.T. Persistence of viruses and DNA in soil. World J. Microbiol. Biotechnol. 1998, 14, 163–169. [Google Scholar] [CrossRef]
- Lievens, B.; Brouwer, M.; Vanachter, A.; Lévesque, C.A.; Cammue, B.P.A.; Thomma, B.P.H.J. Quantitative assessment of phytopathogenic fungi in various substrates using a DNA macroarray. Environ. Microbiol. 2005, 7, 1698–1710. [Google Scholar] [CrossRef]
- Schena, L.; Ippolito, A. Rapid and sensitive detection of Rosellinia necatrix in roots and soils by real time Scorpion-PCR. J. Plant Pathol. 2003, 85, 15–25. [Google Scholar]
- Davis, J.R.; Huisman, O.C.; Everson, D.O.; Schneider, A.T. Verticillium wilt of potato: A model of key factors related to disease severity and tuber yield in southeastern Idaho. Am. J. Potato Res. 2001, 78, 291–300. [Google Scholar] [CrossRef]
- Gurung, S.; Short, D.P.G.; Hu, X.P.; Sandoya, G.V.; Hayes, R.J.; Koike, S.T.; Subbarao, K.V. Host range of Verticillium isaacii and Verticillium klebahnii from artichoke, spinach, and lettuce. Plant Dis. 2015, 99, 933–938. [Google Scholar] [CrossRef]
- Powell, M.; Gundersen, B.; Miles, C.; Coats, K.; Inglis, D.A. First report of Verticillium wilt on lettuce (Lactuca sativa) in Washington caused by Verticillium tricorpus. Plant Dis. 2013, 97, 996–997. [Google Scholar] [CrossRef]
- Wheeler, D.L.; Johnson, D.A. Verticillium isaacii is a pathogen and endophyte of potato and sunflower in the Columbia Basin of Washington. Plant Dis. 2019, 103, 3150–3153. [Google Scholar] [CrossRef]
- López-Escudero, F.J.; Mwanza, C.; Blanco-López, M.A. Production of homogeneous and viable Verticillium dahliae microsclerotia effective for Verticillium wilt studies. Biotechnology 2006, 5, 421–428. [Google Scholar] [CrossRef]
- Debode, J.; Van Poucke, K.; França, S.C.; Maes, M.; Höfte, M.; Heungens, K. Detection of multiple Verticillium species in soil using density flotation and real-time Polymerase Chain Reaction. Plant Dis. 2011, 95, 1571–1580. [Google Scholar] [CrossRef] [PubMed]
- Banno, S.; Saito, H.; Sakai, H.; Urushibara, T.; Ikeda, K.; Kabe, T.; Kemmochi, I.; Fujimura, M. Quantitative nested real-time PCR detection of Verticillium longisporum and V. dahliae in the soil of cabbage fields. J. Gen. Plant Pathol. 2011, 77, 282–291. [Google Scholar] [CrossRef]
- KMI. Available online: https://www.meteo.be/nl/klimaat/klimatologisch-overzicht/2011-2015 (accessed on 20 July 2020).



| Cultivar | % Plants | % Plants | % Plants | % Plants | Disease | Marketable | |
|---|---|---|---|---|---|---|---|
| Score 0 | Score 1 | Score 2 | Score 3 | Index (%) 1 | Curds (%) | ||
| Ardooie | |||||||
| Control | Clapton | 4.4 ± 2.2 a 2 | 22.2 ± 2.2 a | 48.9 ± 4.4 a | 24.5 ± 2.2 a | 64.4 ± 2.2 a | 75.5 ± 2.2 a |
| 300 MS | Clapton | 17.8 ± 8.0 b | 37.8 ± 4.5 ab | 33.3 ± 11.5 a | 11.1 ± 4.4 ab | 45.9 ± 7.4 b | 88.9 ± 4.4 b |
| 500 MS | Clapton | 11.1 ± 2.2 ab | 42.2 ± 5.9 b | 46.7 ± 7.7 a | 0.0 ± 0.0 c | 45.2 ± 3.2 b | 100.0 ± 0.0 c |
| 1000 MS | Clapton | 13.3 ± 3.8 ab | 48.9 ± 8.9 b | 35.6 ± 4.4 a | 2.2 ± 2.2 bc | 42.2 ± 2.2 b | 97.8 ± 2.2 c |
| Bornem | |||||||
| Control | Korlanu | 48.0 ± 10.6 a | 45.0 ± 8.5 a | 7.0 ± 2.5 a | 0.0 ± 0.0 a | 19.7 ± 4.3 a | 100.0 ± 0.0 a |
| 300 MS | Korlanu | 50.0 ± 10.4 a | 45.0 ± 5.7 a | 5.0 ± 5.0 ab | 0.0 ± 0.0 a | 18.3 ± 5.1 a | 100.0 ± 0.0 a |
| 500 MS | Korlanu | 72.0 ± 6.9 b | 27.0 ± 6.0 b | 1.0 ± 1.0 b | 0.0 ± 0.0 a | 9.7 ± 2.6 a | 100.0 ± 0.0 a |
| 1000 MS | Korlanu | 57.0 ± 27.0 a | 40.0 ± 12.0 ab | 3.0 ± 1.9 ab | 0.0 ± 0.0 a | 15.3 ± 5.0 a | 100.0 ± 0.0 a |
| Oppuurs | |||||||
| Control | Korlanu | 10.7 ± 6.3 ab | 39.3 ± 8.1 a | 36.9 ± 7.1 a | 13.1 ± 4.9 a | 50.8 ± 3.7 a | 86.9 ± 4.9 a |
| 500 MS | Korlanu | 9.6 ± 5.1 a | 57.1 ± 3.9 b | 21.4 ± 5.0 b | 11.9 ± 7.1 a | 45.2 ± 6.0 ab | 88.1 ± 7.1 a |
| Control | Clarina | 15.5 ± 9.0 ab | 48.8 ± 3.0 ab | 35.7 ± 10.4 a | 0.0 ± 0.0 b | 40.1 ± 6.4 b | 100.0 ± 0.0 b |
| 500 MS | Clarina | 21.4 ± 12.4 b | 60.7 ± 7.6 b | 15.5 ± 4.1 b | 2.4 ± 1.4 b | 32.9 ± 6.2 c | 97.6 ± 1.4 b |
| Seed | Seed | % Plants | % Plants | % Plants | % Plants | Disease | Marketable |
|---|---|---|---|---|---|---|---|
| Treatment | Coating | Score 0 | Score 1 | Score 2 | Score 3 | Index (%) 1 | Curds (%) |
| Water | No coating | 0.0 a 2 | 0.0 a | 90.0 a | 10.0 a | 70.0 a | 90.0 a |
| Water | Coating 1 | 0.0 a | 20.0 ab | 60.0 a | 20.0 a | 66.7 a | 80.0 a |
| Water | Coating 2 | 0.0 a | 0.0 a | 90.0 a | 10.0 a | 70.0 a | 90.0 a |
| Vt305 | No coating | 20.0 a | 70.0 c | 10.0 b | 0.0 a | 30.0 b | 100.0 a |
| Vt305 | Coating 1 | 10.0 a | 90.0 c | 0.0 b | 0.0 a | 30.0 b | 100.0 a |
| Vt305 | Coating 2 | 30.0 a | 60.0 bc | 10.0 b | 0.0 a | 26.7 b | 100.0 a |
| Crop Residue | V. isaacii DNA (fg DNA mg−1 Plant Tissue) | V. longisporum DNA (fg DNA mg−1 Plant Tissue) | V. dahliae DNA (fg DNA mg−1 Plant Tissue) |
|---|---|---|---|
| Phacelia | 673 | - | 1304 |
| Ryegrass | 75,644 | - | 1531 |
| Sticky nightshade | 7405 | - | 102,809 |
| Black oat | 106 | 80 | 944 |
| Trial 1 | Trial 2 | Trial 3 | Trial 4 | |
|---|---|---|---|---|
| Location | Ardooie | Bornem | Oppuurs | Ardooie |
| Geographic coordinates field | 50.95799, 3.18380 | 51.09646, 4.29868 | 51.06842, 4.24148 | 50.95799, 3.18380 |
| Year | 2014 | 2014 | 2015 | 2013 |
| Soil type | Sandy loam | Sandy loam | Sandy loam | Sandy loam |
| Soil pH-KCl | 5.7 | 6.5 | 6.8 | 5.7 |
| Soil % Corg | 0.9 | 1.6 | 1.8 | 0.9 |
| Vl soil inoculum (fg DNA g−1 soil) | 1941 | 358 | 1749 | 231 |
| Vi soil inoculum (fg DNA g−1 soil) | 268 | 127 | 290 | 232 |
| Inoculation method Vt305 | Drip (pipette): seed | Drip (pipette): seed | Drip (pipette): seed | PHYTO-DRIP®: seed |
| Inoculum concentration Vt305 | 300, 500 and 1000 MS/plant | 300, 500 and 1000 MS/plant | 500 MS/plant | 360 MS/plant |
| Cauliflower cultivar | Clapton | Korlanu | Korlanu Clarina | Clapton 1 |
| Cauliflower planting | 05/08 | 25/07 | 22/05 | 31/07 |
| Cauliflower harvest | 20/10 | 06/10 | 27/07 | 06/11 |
| Trial 1 | Trial 2 | Trial 3 | Trial 4 | Trial 5 | |
|---|---|---|---|---|---|
| Location | Puurs | Ardooie | Puurs | Ardooie | Puurs |
| Geographic coordinates field | 51.06851, 4.25162 | 50.95799, 3.18380 | 51.06753, 4.25180 | 50.95799, 3.18380 | 51.06851, 4.25162 |
| Year | 2013 | 2013 | 2014 | 2014 | 2015 |
| Soil type | Sandy loam | Sandy loam | Sandy loam | Sandy loam | Sandy loam |
| Soil pH-KCl | 6.9 | 5.7 | 7.3 | 5.7 | 6.9 |
| Soil % Corg | 1.9 | 0.9 | 2.2 | 0.9 | 1.9 |
| Green manures 1/potato 2 | Ryegrass Phacelia Sticky nightshade Potato | Ryegrass Phacelia Sticky nightshade Potato | Ryegrass Phacelia Black oat Potato | Ryegrass Phacelia Black oat Potato | Ryegrass Phacelia Black oat |
| Sowing green manures/planting potato | 18/04 | 16/04 | 11/03 | 17/04 | 18/03 |
| Incorporation green manures/potato | 16/07 | 28/07 | 11/06 | 14/07 | 02/06 |
| Cauliflower planting 3,4 | 30/07 | 30/07 | 07/07 | 05/08 | 17/06 |
| Cauliflower harvest | 04/11 | 23/10 | 01/10 | 03/11 | 14/09 |
| Target Organism | Gene Target | Primer | Sequence (5′ to 3′) | Reference |
|---|---|---|---|---|
| V. isaacii | rDNA ITS | VtF4 | CCGGTGTTGGGGATCTACT | [45] |
| VtR2 | GTAGGGGGTTTAGAGGCTG | [45] | ||
| V. longisporum | 18S intron rDNA | VlspF1 | AGCCTGAGTCACGAGAGATATGGG | [46] |
| VlspR4 | CAAACCACGCCACTGCATTCTCGT | [46] | ||
| V. dahliae | rDNA ITS | VdF1 | CCGCCGGTCCATCAGTCTCTCTG | [46] |
| VdR1 | GGGACTCCGATGCGAGCTGTAAC | [46] |
Publisher’s Note: MDPI stays neutral with regard to jurisdictional claims in published maps and institutional affiliations. |
© 2020 by the authors. Licensee MDPI, Basel, Switzerland. This article is an open access article distributed under the terms and conditions of the Creative Commons Attribution (CC BY) license (http://creativecommons.org/licenses/by/4.0/).
Share and Cite
Deketelaere, S.; Spiessens, K.; Pollet, S.; Tyvaert, L.; Rooster, L.D.; Callens, D.; França, S.C.; Höfte, M. Towards Practical Application of Verticillium isaacii Vt305 to Control Verticillium Wilt of Cauliflower: Exploring Complementary Biocontrol Strategies. Plants 2020, 9, 1469. https://doi.org/10.3390/plants9111469
Deketelaere S, Spiessens K, Pollet S, Tyvaert L, Rooster LD, Callens D, França SC, Höfte M. Towards Practical Application of Verticillium isaacii Vt305 to Control Verticillium Wilt of Cauliflower: Exploring Complementary Biocontrol Strategies. Plants. 2020; 9(11):1469. https://doi.org/10.3390/plants9111469
Chicago/Turabian StyleDeketelaere, Silke, Katrijn Spiessens, Sabien Pollet, Lien Tyvaert, Luc De Rooster, Danny Callens, Soraya C. França, and Monica Höfte. 2020. "Towards Practical Application of Verticillium isaacii Vt305 to Control Verticillium Wilt of Cauliflower: Exploring Complementary Biocontrol Strategies" Plants 9, no. 11: 1469. https://doi.org/10.3390/plants9111469
APA StyleDeketelaere, S., Spiessens, K., Pollet, S., Tyvaert, L., Rooster, L. D., Callens, D., França, S. C., & Höfte, M. (2020). Towards Practical Application of Verticillium isaacii Vt305 to Control Verticillium Wilt of Cauliflower: Exploring Complementary Biocontrol Strategies. Plants, 9(11), 1469. https://doi.org/10.3390/plants9111469

