Azadirachtin-Based Biopesticide Affects Fitness and Ovarian Development of the Natural Enemy Ceraeochrysa claveri (Neuroptera: Chrysopidae)
Abstract
1. Introduction
2. Results
2.1. Evaluation of Azamax™ Toxicity in Immature Insect Stages
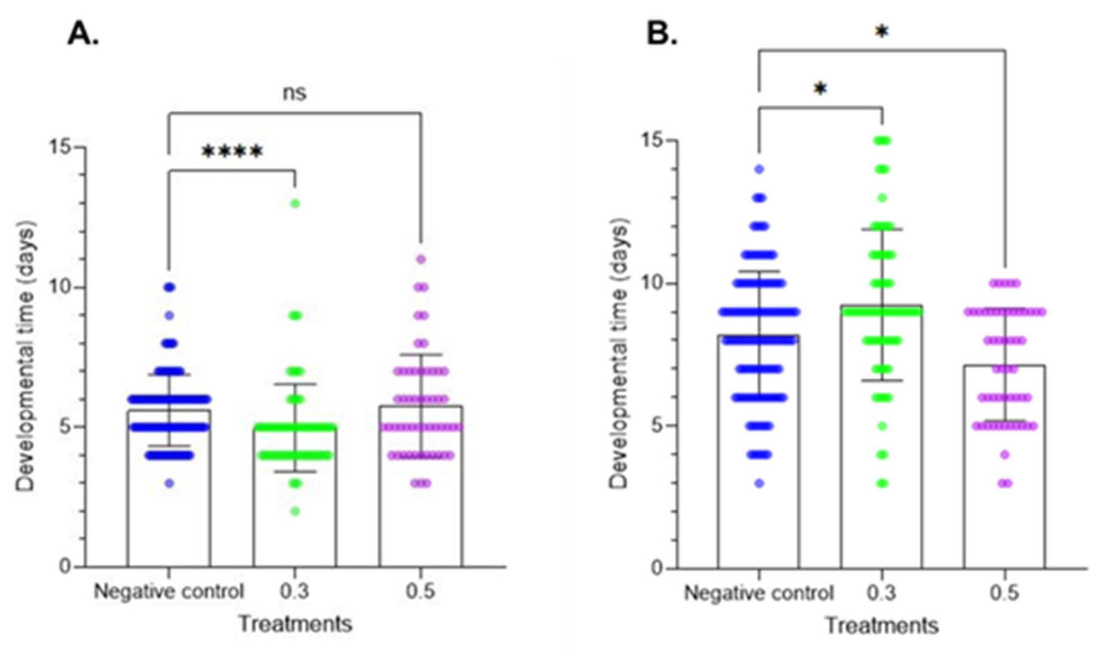
2.2. Effects on Developmental Time
2.2.1. Effects of Azamax™ on the External Morphology of Ovarioles
2.2.2. Effects of Azamax™ on Ovarian Follicle Organization
3. Discussion
4. Materials and Methods
4.1. Chemicals
4.2. Insect Maintenance
4.3. Bioassays
4.4. Toxicity Analysis
4.5. Development Time
4.6. Morphology of the Female Reproductive System
4.6.1. Transmission Electron Microscopy (TEM)
4.6.2. Scanning Electron Microscopy (SEM)
4.7. Statistical Analysis
5. Conclusions
Author Contributions
Funding
Data Availability Statement
Acknowledgments
Conflicts of Interest
References
- Pappas, M.; Broufas, G.; Koveos, D. Chrysopid Predators and their Role in Biological Control. J. Èntomol. 2011, 8, 301–326. [Google Scholar] [CrossRef]
- Albuquerque, G.S.; Tauber, C.A.; Tauber, M.J. Chrysoperla externa and Ceraeochrysa spp.: Potential for biological control in the New World tropics and subtropics. Lacewings Crop Environ. 2001, 7, 408–423. [Google Scholar] [CrossRef]
- Freitas, S.; Penny, N.D. The green lacewings (Neuroptera: Chrysopidae) of Brazilian agro-ecosystems. Proc. Calif. Acad. Sci. 2001, 52, 245–395. [Google Scholar]
- Scudeler, E.L.; Garcia, A.S.G.; Padovani, C.R.; dos Santos, D.C. Pest and natural enemy: How the fat bodies of both the southern armyworm Spodoptera eridania and the predator Ceraeochrysa claveri react to azadirachtin exposure. Protoplasma 2019, 256, 839–856. [Google Scholar] [CrossRef]
- Scudeler, E.L.; de Carvalho, S.F.; Garcia, A.S.G.; Santorum, M.; Padovani, C.R.; dos Santos, D.C. Midgut and fat body: Multisystemic action of pyriproxyfen on non-target organism Ceraeochrysa claveri (Neuroptera: Chrysopidae). Environ. Pollut. 2022, 293, 118580. [Google Scholar] [CrossRef]
- Santos, M.S.; Zanardi, O.Z.; Pauli, K.S.; Forim, M.R.; Yamamoto, P.T.; Vendramim, J.D. Toxicity of an azadirachtin-based biopesticide on Diaphorina citri Kuwayama (Hemiptera: Liviidae) and its ectoparasitoid Tamarixia radiata (Waterston) (Hymenoptera: Eulophidae). Crop. Prot. 2015, 74, 116–123. [Google Scholar] [CrossRef]
- Garzón, A.; Medina, P.; Amor, F.; Viñuela, E.; Budia, F. Toxicity and sublethal effects of six insecticides to last instar larvae and adults of the biocontrol agents Chrysoperla carnea (Stephens) (Neuroptera: Chrysopidae) and Adalia bipunctata (L.) (Coleoptera: Coccinellidae). Chemosphere 2015, 132, 87–93. [Google Scholar] [CrossRef]
- Campos, E.V.; Proença, P.L.; Oliveira, J.L.; Bakshi, M.; Abhilash, P.; Fraceto, L.F.; Campos, E.V.; Proença, P.L.; Oliveira, J.L.; Bakshi, M.; et al. Use of botanical insecticides for sustainable agriculture: Future perspectives. Ecol. Indic. 2018, 105, 483–495. [Google Scholar] [CrossRef]
- Wiktelius, S.; Chiverton, P.; Meguenni, H.; Bennaceur, M.; Ghezal, F.; Umeh, E.-D.; Egwuatu, R.; Minja, E.; Makusi, R.; Tukahirwa, E.; et al. Effects of insecticides on non-target organisms in African agroecosystems: A case for establishing regional testing programmes. Agric. Ecosyst. Environ. 1999, 75, 121–131. [Google Scholar] [CrossRef]
- Rogers, M.A.; Krischik, V.A.; Martin, L.A. Effect of soil application of imidacloprid on survival of adult green lacewing, Chrysoperla carnea (Neuroptera: Chrysopidae), used for biological control in greenhouse. Biol. Control. 2007, 42, 172–177. [Google Scholar] [CrossRef]
- Chaudhary, S.; Kanwar, R.K.; Sehgal, A.; Cahill, D.M.; Barrow, C.J.; Sehgal, R.; Kanwar, J.R. Progress on Azadirachta indica Based Biopesticides in Replacing Synthetic Toxic Pesticides. Front. Plant Sci. 2017, 8, 610. [Google Scholar] [CrossRef] [PubMed]
- Rimoldi, F.; Schneider, M.I.; Ronco, A.E. Short and Long-Term Effects of Endosulfan, Cypermethrin, Spinosad, and Methoxyfenozide on Adults of Chrysoperla externa (Neuroptera: Chrysopidae). J. Econ. Èntomol. 2012, 105, 1982–1987. [Google Scholar] [CrossRef] [PubMed]
- Charbonneau, C.; Côté, R.; Charpentier, G. Effects of azadirachtin and of simpler epoxy-alcohols on survival and behaviour of Galleria mellonella (Lepidoptera). J. Appl. Èntomol. 2007, 131, 447–452. [Google Scholar] [CrossRef]
- Grimalt, S.; Thompson, D.; Chartrand, D.; McFarlane, J.; Helson, B.; Lyons, B.; Meating, J.; Scarr, T. Foliar residue dynamics of azadirachtins following direct stem injection into white and green ash trees for control of emerald ash borer. Pest Manag. Sci. 2011, 67, 1277–1284. [Google Scholar] [CrossRef] [PubMed]
- Biondi, A.; Desneux, N.; Siscaro, G.; Zappalà, L. Using organic-certified rather than synthetic pesticides may not be safer for biological control agents: Selectivity and side effects of 14 pesticides on the predator Orius laevigatus. Chemosphere 2012, 87, 803–812. [Google Scholar] [CrossRef]
- Weathersbee, A.A., III; McKenzie, C.L. Effect of a neem biopesticide on repellency, mortality, oviposition, and development of Diaphorina citri (Homoptera: Psyllidae). Fla. Entomol. 2005, 88, 401–407. [Google Scholar] [CrossRef]
- Sánchez-Ramos, I.; Pascual, S.; Marcotegui, A.; Fernández, C.E.; González-Núñez, M. Laboratory evaluation of alternative control methods against the false tiger, Monosteira unicostata (Hemiptera: Tingidae). Pest Manag. Sci. 2013, 70, 454–461. [Google Scholar] [CrossRef]
- Abedi, Z.; Saber, M.; Gharekhani, G.; Mehrvar, A.; Kamita, S.G. Lethal and Sublethal Effects of Azadirachtin and Cypermethrin on Habrobracon hebetor (Hymenoptera: Braconidae). J. Econ. Èntomol. 2014, 107, 638–645. [Google Scholar] [CrossRef]
- Blaney, W.M.; Simmonds, M.S.J.; Ley, S.V.; Anderson, J.C.; Toogood, P.L. Antifeedant effects of azadirachtin and structurally related compounds on lepidopterous larvae. Èntomol. Exp. Appl. 1990, 55, 149–160. [Google Scholar] [CrossRef]
- Mordue, A.J.; Simmonds, M.S.; Ley, S.V.; Blaney, W.M.; Mordue, W.; Nasiruddin, M.; Nisbet, A.J. Actions of azadirachtin, a plant allelo-chemical, against insects. Pest. Sci. 1998, 54, 277–284. [Google Scholar] [CrossRef]
- Schmutterer, H.; Rembold, H. Effects on Viruses and Organisms: Sections 3.9. 1.3–3.9. 1.4. In The Neem Tree: Azadirachta indica A. Juss. and Other Meliaceous Plants; Neem Foundation: Mumbai, India, 1995; pp. 177–204. [Google Scholar]
- Morgan, E.D. Azadirachtin, a scientific gold mine. Bioorganic Med. Chem. 2009, 17, 4096–4105. [Google Scholar] [CrossRef] [PubMed]
- Oulhaci, C.M.; Denis, B.; Kilani-Morakchi, S.; Sandoz, J.; Kaiser, L.; Joly, D.; Aribi, N. Azadirachtin effects on mating success, gametic abnormalities and progeny survival in Drosophila melanogaster (Diptera). Pest Manag. Sci. 2018, 74, 174–180. [Google Scholar] [CrossRef] [PubMed]
- Lai, D.; Jin, X.; Wang, H.; Yuan, M.; Xu, H. Gene expression profile change and growth inhibition in Drosophila larvae treated with azadirachtin. J. Biotechnol. 2014, 185, 51–56. [Google Scholar] [CrossRef] [PubMed]
- Kilani-Morakchi, S.; Morakchi-Goudjil, H.; Sifi, K. Azadirachtin-based insecticide: Overview, risk assessments, and future directions. Front. Agron. 2021, 3, 676208. [Google Scholar] [CrossRef]
- Aribi, N.; Denis, B.; Kilani-Morakchi, S.; Joly, D. L’azadirachtine, un pesticide naturel aux effets multiples. Med. Sci. 2020, 36, 44–49. [Google Scholar] [CrossRef]
- Scudeler, E.L.; Garcia, A.S.G.; Padovani, C.R.; Santos, D.C. Action of neem oil (Azadirachta indica A. Juss) on cocoon spinning in Ceraeochrysa claveri (Neuroptera: Chrysopidae). Ecotoxicol. Environ. Saf. 2013, 97, 176–182. [Google Scholar] [CrossRef]
- Scudeler, E.L.; dos Santos, D.C. Effects of neem oil (Azadirachta indica A. Juss) on midgut cells of predatory larvae Ceraeochrysa claveri (Navás, 1911) (Neuroptera: Chrysopidae). Micron 2013, 44, 125–132. [Google Scholar] [CrossRef]
- Scudeler, E.L.; Padovani, C.R.; dos Santos, D.C. Effects of neem oil (Azadirachta indica A. Juss) on the replacement of the midgut epithelium in the lacewing Ceraeochrysa claveri during larval-pupal metamorphosis. Acta Histochem. 2014, 116, 771–780. [Google Scholar] [CrossRef]
- Scudeler, E.L.; Santos, D.C. Side effects of neem oil on the midgut endocrine cells of the green lacewing Ceraeochrysa claveri (navás) (Neuroptera: Chrysopidae). Neotropical Èntomol. 2014, 43, 154–160. [Google Scholar] [CrossRef]
- Scudeler, E.L.; Garcia, A.S.G.; Padovani, C.; Pinheiro, P.F.F.; Santos, D.C. Are the biopesticide neem oil and the predator Ceraeochrysa claveri (Navás, 1911) compatible? J. Entomol. Zool. Stud. 2016, 4, 340–346. [Google Scholar]
- Garcia, A.S.G.; Scudeler, E.L.; Pinheiro, P.F.F.; dos Santos, D.C. Can exposure to neem oil affect the spermatogenesis of predator Ceraeochrysa claveri? Protoplasma 2019, 256, 693–701. [Google Scholar] [CrossRef] [PubMed]
- Gastelbondo-Pastrana, B.I.; Fernandes, F.H.; Salvadori, D.M.F.; dos Santos, D.C. The comet assay in Ceraeochrysa claveri (Neuroptera: Chrysopidae): A suitable approach for detecting somatic and germ cell genotoxicity induced by agrochemicals. Chemosphere 2019, 235, 70–75. [Google Scholar] [CrossRef] [PubMed]
- MAPA—Ministério da Agricultura, Pecuária e Abastecimento. Gov.br. Available online: http://agrofit.agricultura.gov.br/primeira_pagina/extranet/AGROFIT.html (accessed on 9 April 2021).
- Bernardes, R.C.; Barbosa, W.F.; Martins, G.F.; Lima, M.A.P. The reduced-risk insecticide azadirachtin poses a toxicological hazard to stingless bee Partamona helleri (Friese, 1900) queens. Chemosphere 2018, 201, 550–556. [Google Scholar] [CrossRef]
- Zhang, J.; Sun, T.; Sun, Z.; Li, H.; Qi, X.; Zhong, G.; Yi, X. Azadirachtin acting as a hazardous compound to induce multiple detrimental effects in Drosophila melanogaster. J. Hazard. Mater. 2018, 359, 338–347. [Google Scholar] [CrossRef] [PubMed]
- Garbiec, A.; Kubrakiewicz, J. Differentiation of follicular cells in polytrophic ovaries of Neuroptera (Insecta: Holometabola). Arthropod Struct. Dev. 2012, 41, 165–176. [Google Scholar] [CrossRef]
- Cruickshank, W. The ultrastructure and functions of the ovariole sheath and tunica propria in the flour moth. J. Insect Physiol. 1973, 19, 577–592. [Google Scholar] [CrossRef]
- Mordue (Luntz), A.J.; Nisbet, A.J. Azadirachtin from the neem tree Azadirachta indica: Its action against insects. Soc. Entomol. Bras. 2000, 29, 615–632. [Google Scholar] [CrossRef]
- Mordue (Luntz), A.J.; Morgan, E.D.; Nisbet, A.J. Azadirachtin, a Natural Product in Insect Control. In Insect Control: Biological and Synthetic Agents; Gilbert, L.I., Gill, S.S., Eds.; Academic Press: San Diego, CA, USA, 2005; pp. 118–135. [Google Scholar]
- Min-Li, Z.; Shin-Foon, C. The effects of azadirachtin on the ecdysteroid titre in the larvae of Ostrinia furnacalis Guenée. J. Appl. Èntomol. 1987, 103, 355–359. [Google Scholar] [CrossRef]
- Feder, D.; Valle, D.; Rembold, H.; Garcia, E.S. Azadirachtin-Induced Sterilization in Mature Females of Rhodnius prolixus. Z. Fur Naturforschung Sect. C-A J. Biosci. 1988, 43, 908–913. [Google Scholar] [CrossRef]
- Bezzar-Bendjazia, R.; Kilani-Morakchi, S.; Aribi, N. Larval exposure to azadirachtin affects fitness and oviposition site preference of Drosophila melanogaster. Pestic. Biochem. Physiol. 2016, 133, 85–90. [Google Scholar] [CrossRef]
- Medina, P.; Smagghe, G.; Budia, F.; Tirry, L.; Viñuela, E. Toxicity and absorption of azadirachtin, diflubenzuron, pyriproxyfen, and tebufenozide after topical application in predatory larvae of Chrysoperla carnea (Neuroptera: Chrysopidae). Environ. Èntomol. 2003, 32, 196–203. [Google Scholar] [CrossRef]
- Medina, P.; Budia, F.; Tirry, L.; Smagghe, G.; Viñuela, E. Compatibility of spinosad, tebufenozide and azadirachtin with eggs and pupae of the predator Chrysoperla carnea (Stephens) under laboratory conditions. Biocontrol Sci. Technol. 2001, 11, 597–610. [Google Scholar] [CrossRef]
- Ureña, E.; Manjón, C.; Franch-Marro, X.; Martín, D. Transcription factor E93 specifies adult metamorphosis in hemimetabolous and holometabolous insects. Proc. Natl. Acad. Sci. USA 2014, 111, 7024–7029. [Google Scholar] [CrossRef] [PubMed]
- Asaduzzaman, M.; Shim, J.-K.; Lee, S.; Lee, K.-Y. Azadirachtin ingestion is lethal and inhibits expression of ferritin and thioredoxin peroxidase genes of the sweetpotato whitefly Bemisia tabaci. J. Asia-Pac. Èntomol. 2016, 19, 1–4. [Google Scholar] [CrossRef]
- Barbosa, W.F.; De Meyer, L.; Guedes, R.N.C.; Smagghe, G. Lethal and sublethal effects of azadirachtin on the bumblebee Bombus terrestris (Hymenoptera: Apidae). Ecotoxicology 2015, 24, 130–142. [Google Scholar] [CrossRef]
- Ghazawi, N.A.; El-Shranoubi, E.D.; El-Shazly, M.M.; Rahman, K.M.A. Effects of azadirachtin on mortality rate and reproductive system of the grasshopper Heteracris littoralis Ramb. (Orthoptera: Acrididae). J. Orthoptera Res. 2007, 16, 57–65. [Google Scholar] [CrossRef]
- Kraiss, H.; Cullen, E.M. Insect growth regulator effects of azadirachtin and neem oil on survivorship, development and fecundity of Aphis glycines (Homoptera: Aphididae) and its predator, Harmonia axyridis (Coleoptera: Coccinellidae). Pest Manag. Sci. 2008, 64, 660–668. [Google Scholar] [CrossRef]
- Qiao, J.; Zou, X.; Lai, D.; Yan, Y.; Wang, Q.; Li, W.; Deng, S.; Xu, H.; Gu, H. Azadirachtin blocks the calcium channel and modulates the cholinergic miniature synaptic current in the central nervous system of Drosophila. Pest Manag. Sci. 2014, 70, 1041–1047. [Google Scholar] [CrossRef]
- Medina, P.; Budia, F.; Del Estal, P.; Viñuela, E. Influence of azadirachtin, a botanical insecticide, on Chrysoperla carnea (Stephens) reproduction: Toxicity and ultrastructural approach. J. Econ. Èntomol. 2004, 97, 43–50. [Google Scholar] [CrossRef]
- Silva, C.T.D.S.; Wanderley-Teixeira, V.; da Cunha, F.M.; de Oliveira, J.V.; Dutra, K.D.A.; Navarro, D.M.D.A.F.; Teixeira, Á.A. Biochemical parameters of Spodoptera frugiperda (J.E. Smith) treated with citronella oil (Cymbopogon winterianus Jowitt ex Bor) and its influence on reproduction. Acta Histochem. 2016, 118, 347–352. [Google Scholar] [CrossRef]
- Giorgi, F.; Yin, C.; Stoffolano, J.G., Jr. Structural aspects of ovarian sheaths in Phormia regina (Meigen) (Diptera, Calliphoridae). Bolletino Zool. 1990, 57, 11–19. [Google Scholar] [CrossRef]
- Schmutterer, H. Properties and Potential of Natural Pesticides from the neem tree, Azadirachta Indica. Annu. Rev. Èntomol. 1990, 35, 271–297. [Google Scholar] [CrossRef] [PubMed]
- Tanzubil, P.B.; McCaffery, A.R. Effects of Azadirachtin on reproduction in the African armyworm (Spodoptera exempta). Èntomol. Exp. et Appl. 1990, 57, 115–121. [Google Scholar] [CrossRef]
- Boulahbel, B.; Aribi, N.; Kilani-Morakchi, S.; Soltani, N. Insecticidal activity of azadirachtin on Drosophila melanogaster and recovery of Normal Status by Exogenous 20-Hydroxyecdysone. Afr. Èntomol. 2015, 23, 224–233. [Google Scholar] [CrossRef]
- Anuradha, A.; Annadurai, R.S.; Shashidhara, L. Actin cytoskeleton as a putative target of the neem limonoid Azadirachtin A. Insect Biochem. Mol. Biol. 2007, 37, 627–634. [Google Scholar] [CrossRef] [PubMed]
- Paramasivam, M.; Selvi, C. Laboratory bioassay methods to assess the insecticide toxicity against insect pests—A review. J. Entomol. Zool. Stud. 2017, 5, 1441–1445. [Google Scholar]
- Scudeler, E.L.; Barroso, G.; Daquila, B.V.; de Carvalho, S.F.; Conte, H.; dos Santos, D.C. Pyriproxyfen exposure compromises cocoon spinning and damages the Malpighian tubules of the nontarget predator Ceraeochrysa claveri (Neuroptera: Chrysopidae). Environ. Pollut. 2024, 363, 125255. [Google Scholar] [CrossRef]
- Santorum, M.; Costa, R.M.; dos Reis, G.H.; dos Santos, D.C. Novaluron impairs the silk gland and productive performance of silkworm Bombyx mori (Lepidoptera: Bombycidae) larvae. Chemosphere 2020, 239, 124697. [Google Scholar] [CrossRef]






| Treatment | First Instar * | Second Instar * | Third Instar * |
|---|---|---|---|
| Control | 2.0 a | 5.4 a | 6.8 a |
| Azamax™ (%) | |||
| 0.3 | 6.7 a | 13.1 a | 22.3 b |
| 0.5 | 6.0 a | 12.4 a | 21.5 b |
| Treatment | Pupation a (%) * | Lifecycle Time b (Days) ** | Adult Emergence c (%) * | Cumulative Mortality d (%)* |
|---|---|---|---|---|
| Control | 92.0 a | 27.7 ± 0.2 a | 92.0 a | 8.0 a |
| Azamax™ (%) | ||||
| 0.3 | 54.7 b | 28.5 ± 0.3 a | 51.3 b | 48.7 b |
| 0.5 | 40.0 c | 27.1 ± 0.3 a | 35.3 c | 64.7 c |
Disclaimer/Publisher’s Note: The statements, opinions and data contained in all publications are solely those of the individual author(s) and contributor(s) and not of MDPI and/or the editor(s). MDPI and/or the editor(s) disclaim responsibility for any injury to people or property resulting from any ideas, methods, instructions or products referred to in the content. |
© 2025 by the authors. Licensee MDPI, Basel, Switzerland. This article is an open access article distributed under the terms and conditions of the Creative Commons Attribution (CC BY) license (https://creativecommons.org/licenses/by/4.0/).
Share and Cite
Gastelbondo-Pastrana, B.; Santorum, M.; Scudeler, E.L.; Fernandes, F.H.; Alvis, E.M.; Chams-Chams, L.; dos Santos, D.C. Azadirachtin-Based Biopesticide Affects Fitness and Ovarian Development of the Natural Enemy Ceraeochrysa claveri (Neuroptera: Chrysopidae). Plants 2025, 14, 416. https://doi.org/10.3390/plants14030416
Gastelbondo-Pastrana B, Santorum M, Scudeler EL, Fernandes FH, Alvis EM, Chams-Chams L, dos Santos DC. Azadirachtin-Based Biopesticide Affects Fitness and Ovarian Development of the Natural Enemy Ceraeochrysa claveri (Neuroptera: Chrysopidae). Plants. 2025; 14(3):416. https://doi.org/10.3390/plants14030416
Chicago/Turabian StyleGastelbondo-Pastrana, Bertha, Marilucia Santorum, Elton Luiz Scudeler, Fábio Henrique Fernandes, Erasmo Manuel Alvis, Linda Chams-Chams, and Daniela Carvalho dos Santos. 2025. "Azadirachtin-Based Biopesticide Affects Fitness and Ovarian Development of the Natural Enemy Ceraeochrysa claveri (Neuroptera: Chrysopidae)" Plants 14, no. 3: 416. https://doi.org/10.3390/plants14030416
APA StyleGastelbondo-Pastrana, B., Santorum, M., Scudeler, E. L., Fernandes, F. H., Alvis, E. M., Chams-Chams, L., & dos Santos, D. C. (2025). Azadirachtin-Based Biopesticide Affects Fitness and Ovarian Development of the Natural Enemy Ceraeochrysa claveri (Neuroptera: Chrysopidae). Plants, 14(3), 416. https://doi.org/10.3390/plants14030416

