Climate-Resilient F3 Progenies of Coffea arabica: Agronomic Traits and Antibiosis to Hypothenemus hampei
Abstract
1. Introduction
2. Results
2.1. Agronomic Variables
2.2. Antibiosis Assessment Under Controlled Conditions
2.3. Antibiosis Assessment Under Field Conditions
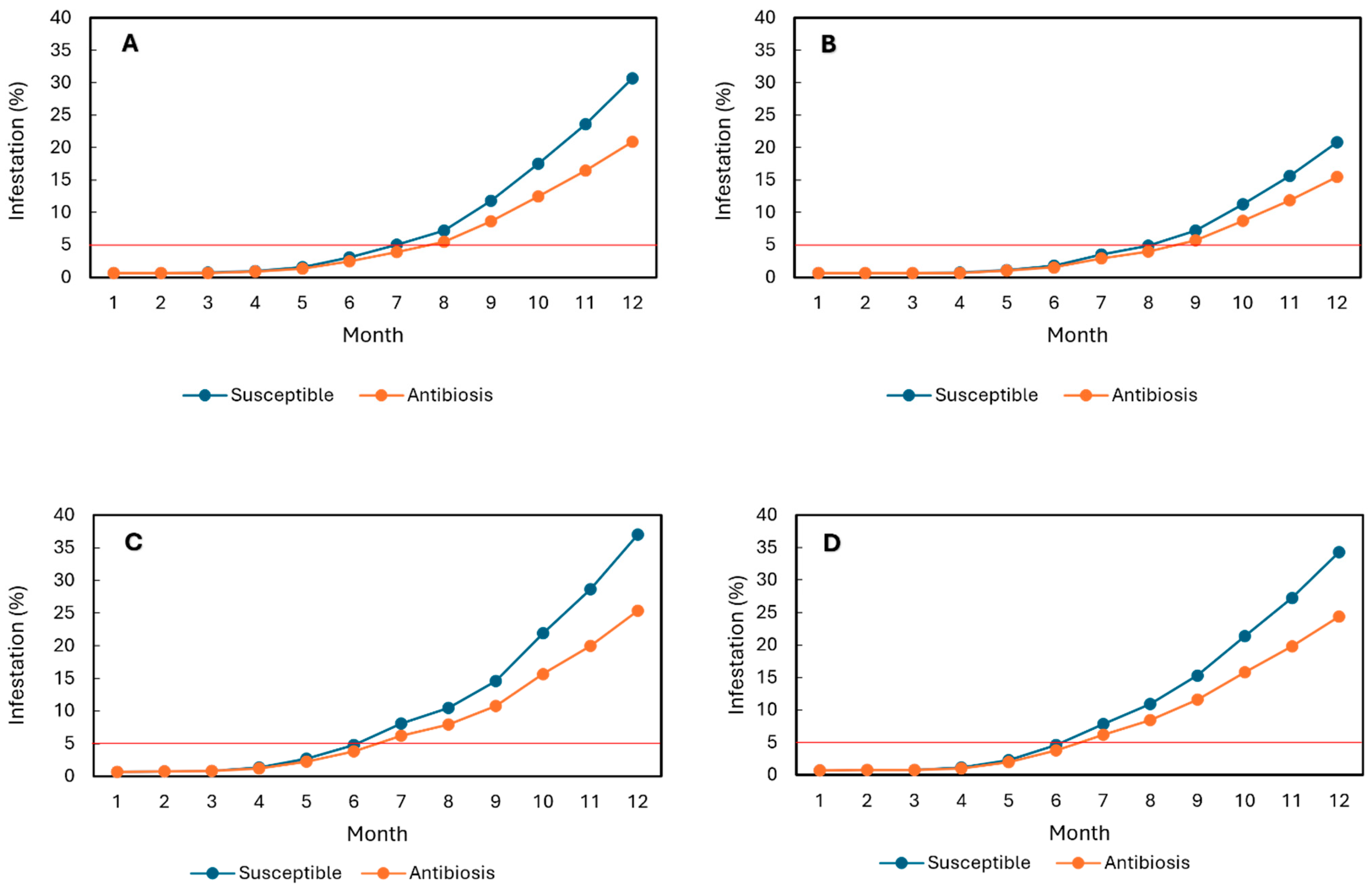
2.4. Impact of the Reduction in H. hampei Developmental Stages in F3 Progenies on the Population Dynamics of the Pest
3. Discussion
4. Materials and Methods
4.1. Experimental Conditions, Plant Material, and Experimental Design
4.2. Statistical Analysis
5. Conclusions
Author Contributions
Funding
Data Availability Statement
Acknowledgments
Conflicts of Interest
References
- World Flora Online (WFO). Coffea L. 2024. Available online: https://www.worldfloraonline.org/taxon/wfo-4000008851 (accessed on 29 October 2025).
- International Coffee Organization (ICO). Coffee Market Report; ICO: London, UK, 2025; Available online: https://www.ico.org/documents/cy2024-25/cmr-0125-e.pdf (accessed on 7 October 2025).
- Amrouk, E.M.; Palmeri, F.; Magrini, E. Global Coffee Market and Recent Price Developments. Available online: https://openknowledge.fao.org/handle/20.500.14283/cd4706en (accessed on 7 October 2025).
- Poncet, V.; Van Asten, P.; Millet, C.P.; Vaast, P.; Allinne, C. Which Diversification Trajectories Make Coffee Farming More Sustainable? Curr. Opin. Environ. Sust. 2024, 68, 101432. [Google Scholar] [CrossRef]
- International Coffee Organization (ICO). Coffee Development Report 2022–23; ICO: London, UK, 2024; Available online: https://www.ico.org/documents/cy2024-25/annual-review-2023-2024-e.pdf (accessed on 24 October 2025).
- Davis, A.P.; Govaerts, R.; Bridson, D.M.; Stoffelen, P. An Annotated Taxonomic Conspectus of the Genus Coffea (Rubiaceae). Bot. J. Linn. Soc. 2006, 152, 465–512. [Google Scholar] [CrossRef]
- Alègre, C. Climates et Caféiers d’Arabie. Agron. Trop. 1959, 14, 23–58. [Google Scholar]
- Federación Nacional de Cafeteros de Colombia. Informe del Gerente General 2024; FNC: Bogota, Colombia, 2024. [Google Scholar] [CrossRef]
- DaMatta, F.M.; Avila, R.T.; Cardoso, A.A.; Martins, S.C.V.; Ramalho, J.C. Physiological and Agronomic Performance of the Coffee Crop in the Context of Climate Change and Global Warming: A Review. J. Agric. Food Chem. 2018, 66, 5264–5274. [Google Scholar] [CrossRef]
- Martins, J.I.; Rodrigues, A.P.; Marques, I.; Leitão, A.E.; Pais, I.P.; Semedo, J.N.; Partelli, F.L.; Rakočević, M.; Lidon, F.C.; Ribeiro-Barros, A.I.; et al. Ecophysiological Responses of Coffee Plants to Heat and Drought, Intrinsic Resilience and the Mitigation Effects of Elevated Air [CO2] in a Context of Climate Changes. In Advances in Botanical Research; Elsevier: Amsterdam, The Netherlands, 2025; Volume 114, pp. 63–95. ISBN 978-0-443-22294-8. [Google Scholar]
- Ovalle-Rivera, O.; Läderach, P.; Bunn, C.; Obersteiner, M.; Schroth, G. Projected Shifts in Coffea arabica Suitability among Major Global Producing Regions Due to Climate Change. PLoS ONE 2015, 10, e0124155. [Google Scholar] [CrossRef]
- Magrach, A.; Ghazoul, J. Climate and Pest-Driven Geographic Shifts in Global Coffee Production: Implications for Forest Cover, Biodiversity and Carbon Storage. PLoS ONE 2015, 10, e0133071. [Google Scholar] [CrossRef]
- Moat, J.; Williams, J.; Baena, S.; Wilkinson, T.; Gole, T.W.; Challa, Z.K.; Demissew, S.; Davis, A.P. Resilience Potential of the Ethiopian Coffee Sector under Climate Change. Nat. Plants 2017, 3, 17081. [Google Scholar] [CrossRef]
- Grüter, R.; Trachsel, T.; Laube, P.; Jaisli, I. Expected Global Suitability of Coffee, Cashew and Avocado Due to Climate Change. PLoS ONE 2022, 17, e0261976. [Google Scholar] [CrossRef]
- Ferreira, M.L.; Von Dos Santos Veloso, R.; De Oliveira, G.S.; Queiroz, R.B.; Araújo, F.H.V.; De Andrade, A.M.; Da Silva, R.S. Effects of the Climate Change Scenario on Coffea Canephora Production in Brazil Using Modeling Tools. Trop. Ecol. 2024, 65, 559–571. [Google Scholar] [CrossRef]
- Lorençone, J.A.; De Oliveira Aparecido, L.E.; Lorençone, P.A.; Torsoni, G.B.; De Lima, R.F.; Da Silva Cabral De Moraes, J.R.; De Souza Rolim, G. Agricultural Zoning of Coffea arabica in Brazil for Current and Future Climate Scenarios: Implications for the Coffee Industry. Environ. Dev. Sustain. 2023, 27, 4143–4166. [Google Scholar] [CrossRef]
- Tavares, P.D.S.; Giarolla, A.; Chou, S.C.; Silva, A.J.D.P.; Lyra, A.D.A. Climate Change Impact on the Potential Yield of Arabica Coffee in Southeast Brazil. Reg. Environ. Change 2018, 18, 873–883. [Google Scholar] [CrossRef]
- Dias, C.G.; Martins, F.B.; Martins, M.A. Climate Risks and Vulnerabilities of the Arabica Coffee in Brazil under Current and Future Climates Considering New CMIP6 Models. Sci. Total Environ. 2024, 907, 167753. [Google Scholar] [CrossRef]
- Jaramillo, J.; Chabi-Olaye, A.; Kamonjo, C.; Jaramillo, A.; Vega, F.E.; Poehling, H.-M.; Borgemeister, C. Thermal Tolerance of the Coffee Berry Borer Hypothenemus hampei: Predictions of Climate Change Impact on a Tropical Insect Pest. PLoS ONE 2009, 4, e6487. [Google Scholar] [CrossRef] [PubMed]
- Jaramillo, J.; Muchugu, E.; Vega, F.E.; Davis, A.; Borgemeister, C.; Chabi-Olaye, A. Some Like It Hot: The Influence and Implications of Climate Change on Coffee Berry Borer (Hypothenemus hampei) and Coffee Production in East Africa. PLoS ONE 2011, 6, e24528. [Google Scholar] [CrossRef] [PubMed]
- Molina, D. Revisión Sobre La Broca Del Café, Hypothenemus hampei (Coleoptera: Curculionidae: Scolytinae) Con Énfasis En La Resistencia Mediante Antibiosis y Antixenosis. Rev. Colomb. Entomol. 2022, 48, 11172. [Google Scholar] [CrossRef]
- Baker, P.S. Some Aspects of the Behavior of the Coffee Berry Borer in Relation to Its Control in Southern Mexico. Folia Entomol. Mex. 1984, 61, 9–24. [Google Scholar]
- Le Pelley, R.H. Collembola and Coleoptera. In Pests of Coffee; Le Pelley, R.H., Ed.; Longmans: Harlow, UK, 1968; pp. 99–178. [Google Scholar]
- Montoya, E.C. Caracterización de La Infestación de Café Por La Broca y Efecto Del Daño En La Calidad de La Bebida. Rev. Cenicafé 1999, 50, 245–258. [Google Scholar]
- Alves Da Silva, S.; Fonseca Alvarenga Pereira, R.G.; De Azevedo Lira, N.; Micotti Da Glória, E.; Chalfoun, S.M.; Batista, L.R. Fungi Associated to Beans Infested with Coffee Berry Borer and the Risk of Ochratoxin A. Food Control 2020, 113, 107204. [Google Scholar] [CrossRef]
- Puerta, G.I. Buenas Prácticas Para La Prevención de Los Defectos de La Calidad Del Café: Fermento, Reposado, Fenólico y Mohoso. Avan. Tec. Cenicafé 2015, 461, 1–12. [Google Scholar]
- Silva, S.A.; Pereira, R.G.F.A.; Chalfoun, S.M.; Teixeira, A.R. Physical and Chemical Attributes of Beans Damaged by the Coffee Berry Borer at Different Levels of Infestation. Bragantia 2024, 83, e20230251. [Google Scholar] [CrossRef]
- Bergamin, J. Contribuição Para o Conhecimento Da Biologia Da Broca Do Café Hypothenemus hampei (Ferrari, 1867) (Coleoptera: Ipidae). Arq. Inst. Biol. 1943, 14, 31–72. [Google Scholar]
- Romero, J.V.; Cortina, H.A. Fecundidad y Ciclo de Vida de Hypothenemus hampei Coleoptera: Curculionidae: Scolytinae En Introducciones Silvestres de Café. Rev. Cenicafé 2004, 55, 221–231. [Google Scholar]
- Ruiz-Cárdenas, R.; Baker, P. Life Table of Hypothenemus hampei (Ferrari) in Relation to Coffee Berry Phenology under Colombian Field Conditions. Sci. Agric. 2010, 67, 658–668. [Google Scholar] [CrossRef]
- Benavides, P.; Gongora, C.; Bustillo, A. IPM Program to Control Coffee Berry Borer Hypothenemus hampei, with Emphasis on Highly Pathogenic Mixed Strains of Beauveria Bassiana, to Overcome Insecticide Resistance in Colombia. In Insecticides—Advances in Integrated Pest Management; Perveen, F., Ed.; InTech: Rijeka, Croatia, 2012; ISBN 978-953-307-780-2. [Google Scholar]
- Thirumalai, K.; DiNezio, P.N.; Partin, J.W.; Liu, D.; Costa, K.; Jacobel, A. Future Increase in Extreme El Niño Supported by Past Glacial Changes. Nature 2024, 634, 374–380. [Google Scholar] [CrossRef]
- Jaramillo-Robledo, Á.; Arcila-Pulgarín, J. Variabilidad climática en la zona cafetera colombiana asociada al evento de El Niño y su efecto en la caficultura. Avan. Tec. Cenicafé 2009, 390, 1–8. [Google Scholar]
- Hamilton, L.J.; Hollingsworth, R.G.; Sabado-Halpern, M.; Manoukis, N.C.; Follett, P.A.; Johnson, M.A. Coffee Berry Borer (Hypothenemus hampei) (Coleoptera: Curculionidae) Development across an Elevational Gradient on Hawai‘i Island: Applying Laboratory Degree-Day Predictions to Natural Field Populations. PLoS ONE 2019, 14, e0218321. [Google Scholar] [CrossRef] [PubMed]
- Constantino, L.M.; Gil, Z.N.; Montoya, E.C.; Benavides, P. Coffee Berry Borer (Hypothenemus hampei) Emergence from Ground Fruits Across Varying Altitudes and Climate Cycles, and the Effect on Coffee Tree Infestation. Neotrop. Entomol. 2021, 50, 374–387. [Google Scholar] [CrossRef] [PubMed]
- Painter, R.H. Insect Resistance in Crop Plants. Soil Sci. 1951, 72, 481. [Google Scholar] [CrossRef]
- Kogan, M.; Ortman, E.F. Antixenosis-A New Term Proposed to Define Painter’s “Nonpreference” Modality of Resistance. Bull. Entomol. Soc. Am. 1978, 24, 175–176. [Google Scholar] [CrossRef]
- Karjagi, C.G.; Sekhar, J.C.; Lakshmi, S.P.; Suby, S.B.; Kaur, J.; Mallikarjuna, M.G.; Kumar, P. Breeding for Resistance to Insect Pests in Maize. In Breeding Insect Resistant Crops for Sustainable Agriculture; Arora, R., Sandhu, S., Eds.; Springer: Singapore, 2017; pp. 201–229. ISBN 978-981-10-6055-7. [Google Scholar]
- Danso Ofori, A.; Su, W.; Zheng, T.; Datsomor, O.; Titriku, J.K.; Xiang, X.; Kandhro, A.G.; Ahmed, M.I.; Mawuli, E.W.; Awuah, R.T.; et al. Jasmonic Acid (JA) Signaling Pathway in Rice Defense Against Chilo Suppressalis Infestation. Rice 2025, 18, 7. [Google Scholar] [CrossRef]
- Zhang, L.-J.; Liu, Y.; Ma, Y.-S.; Wang, Y.-L.; Wang, X.-Y.; Ma, Y.; Xie, L.-L. Insect Resistance Responses of Ten Aster Varieties to Damage by Tephritis Angustipennis in the Three Rivers Source Region of China. Sci. Rep. 2025, 15, 6962. [Google Scholar] [CrossRef]
- Smith, C.M. Conventional Breeding of Insect-Resistant Crop Plants: Still the Best Way to Feed the World Population. Curr. Opin. Insect Sci. 2021, 45, 7–13. [Google Scholar] [CrossRef]
- Molina, D.; Moncada-Botero, M.-P.; Cortina-Guerrero, H.A.; Benavides, P. Searching for a Coffee Variety with Antibiosis Effect to Hypothenemus hampei Ferrari (Coleoptera: Curculionidae). Euphytica 2022, 218, 97. [Google Scholar] [CrossRef]
- Romero, J.V.; Bustamante, L.J.; Cortina, H.A.; Moncada, M.D.P. Evaluación por resistencia a Hypothenemus hampei Ferrari en poblaciones derivadas de cruces entre Caturra e introducciones etíopes. Rev. Cenicafé 2012, 2, 31–49. [Google Scholar]
- Da Silva, R.S.; Soares, J.R.S.; Barbosa Dos Santos, I.; Pimentel, M.F.; Farias, E.D.S.; Martins, J.C.; Zambolim, L.; Picanço, M.C. Evaluation of the Resistance of Coffea canephora to Oligonychus ilicis (Acari: Tetranychidae) and the Preimaginal Conditioning Effect on Resistance Using a Biological Life Table. Int. J. Pest Manag. 2019, 65, 10–15. [Google Scholar] [CrossRef]
- Costa, D.C.M.; Souza, B.H.S.; Carvalho, C.H.S.; Guerreiro Filho, O. Characterization and Levels of Resistance in Coffea arabica × Coffea racemosa Hybrids to Leucoptera coffeella. J. Pest. Sci. 2025, 98, 1075–1084. [Google Scholar] [CrossRef]
- Cardenas, M.R.; Bustillo, A.E. La Broca Del Café En Colombia. In Proceedings of the I Reunión Intercontinental sobre Broca del Café, Tapachula, México, 17–22 November 1991; pp. 42–44. [Google Scholar]
- Romero, J.V.; Cortina-G., H.A. Tablas de Vida de Hypothenemus hampei (Coleoptera: Curculionidae: Scolytinae) Sobre Tres Introducciones de Café. Rev. Colomb. Entomol. 2007, 33, 10–16. [Google Scholar] [CrossRef]
- Montagnon, C.; Bouharmont, P. Multivariate Analysis of Phenotypic Diversity of Coffea arabica. Genet. Resour. Crop Evol. 1996, 43, 221–227. [Google Scholar] [CrossRef]
- Anthony, F.; Bertrand, B.; Quiros, O.; Wilches, A.; Lashermes, P.; Berthaud, J.; Charrier, A. Genetic Diversity of Wild Coffee (Coffea arabica L.) Using Molecular Markers. Euphytica 2001, 118, 53–65. [Google Scholar] [CrossRef]
- Meyer, F.G. Notes on Wild Coffea arabica from Southwestern Ethiopia, with Some Historical Considerations. Econ. Bot. 1965, 19, 136–151. [Google Scholar] [CrossRef]
- Eskes, A.B. Incomplete Resistance to Coffee Leaf Rust (Hemileia vastatrix). Ph.D. Thesis, Landbouwhogeschool Wageningen, Wageningen, The Netherlands, 1983. [Google Scholar]
- Anzueto, F.; Bertrand, B.; Sarah, J.L.; Eskes, A.B.; Decazy, B. Resistance to Meloidogyne Incognita in Ethiopian Coffea arabica Accessions. Euphytica 2001, 118, 1–8. [Google Scholar] [CrossRef]
- Molina, D.; Medina Rivera, R. Identifying Coffea Genotypes Tolerant to Water Deficit. Coffee Sci. 2022, 17, 1–11. [Google Scholar] [CrossRef]
- Whitehead, S.R.; Turcotte, M.M.; Poveda, K. Domestication Impacts on Plant–Herbivore Interactions: A Meta-Analysis. Phil. Trans. R. Soc. B 2017, 372, 20160034. [Google Scholar] [CrossRef]
- Eskes, A.B.; Toma-Braghini, M. Métodos de Evaluación de La Resistencia Contra La Roya Del Cafeto (Hemileia vastatrix Berk. et Br.). Boletín Fitosanit. FAO 1981, 29, 56–66. [Google Scholar]
- Azrag, A.G.A.; Babin, R. Integrating Temperature-Dependent Development and Reproduction Models for Predicting Population Growth of the Coffee Berry Borer, Hypothenemus hampei Ferrari. Bull. Entomol. Res. 2023, 113, 79–85. [Google Scholar] [CrossRef] [PubMed]
- Molina, D.; Patiño, L.; Quintero, M.; Cortes, J.; Bastos, S. Effects of the Aspartic Protease Inhibitor from Lupinus bogotensis Seeds on the Growth and Development of Hypothenemus hampei: An Inhibitor Showing High Homology with Storage Proteins. Phytochemistry 2014, 98, 69–77. [Google Scholar] [CrossRef] [PubMed]
- Pandey, P.K.; Singh, D.; Singh, R.; Sinha, M.K.; Singh, S.; Jamal, F. Cassia Fistula Seed’s Trypsin Inhibitor(s) as Antibiosis Agent in Helicoverpa Armigera Pest Management. Biocatal. Agric. Biotechnol. 2016, 6, 202–208. [Google Scholar] [CrossRef]
- Li, X.; Shi, Y.; Lin, X.; Li, Z.; Xiao, J.; Yang, X. Effects of Wild, Local, and Cultivated Tobacco Varieties on the Performance of Spodoptera Litura and Its Parasitoid Meteorus pulchricornis. Pest Manag. Sci. 2023, 79, 2390–2396. [Google Scholar] [CrossRef] [PubMed]
- Lima, A.F.; De Rezende Abrahão, J.C.; Andrade, V.T.; Bauti, V.M.; Dos Santos, C.S.; De Oliveira, A.C.B.; Pereira, A.A.; De Oliveira, A.L.; De Oliveira, I.P.; Carvalho, G.R.; et al. Egg-Induced Resistance and Morphological Mechanisms in Coffea arabica × Coffea racemosa Progenies Affecting Leucoptera coffeella. Euphytica 2025, 221, 107. [Google Scholar] [CrossRef]
- Moreno Ruiz, G.; Castillo Zapata, J. La Variedad Colombia; Una Variedad de Café Con Resistencia a La Roya/Hemileia vastatrix/Berk y Br. Bol. Téc. Cenicafé. 1984, 9, 1–26. [Google Scholar] [CrossRef]
- Alvarado-Alvarado, G.; Posada-Suárez, H.E.; Cortina, H.A. Castillo: Nueva Variedad de Café Con Resistencia a La Roya. Avan. Tec. Cenicafé 2005, 337, 1–8. [Google Scholar] [CrossRef]
- Cortina, H.A.; Acuña Zornosa, J.R.; Moncada, M.d.P.; Herrera, J.C.; Molina, D. Variedades de Café: Desarrollo de Variedades. In Manual del Cafetero Colombiano: Investigación y Tecnología para la Sostenibilidad de la Caficultura; Federación Nacional de Cafeteros de Colombia, Ed.; Cenicafé: Chinchiná, Colombia, 2013; Volume 1, pp. 169–202. [Google Scholar]
- Berny Mier Y Teran, J.C.; Pruvot-Woehl, S.; Maina, C.; Barrera, S.; Gimase, J.M.; Banda, B.; Meza, A.; Kachiguma, N.A.; Gichuru, E.K.; Alvarado, J.; et al. Global Coffea arabica Variety Trials Reveal Genotype-by-Environment Interactions in Resistance to Coffee Leaf Rust (Hemileia vastatrix). Front. Plant Sci. 2025, 16, 1583595. [Google Scholar] [CrossRef]
- Salazar, M.R.; Arcila, A.; Riaño, N.; Bustillo, A.E. Crecimiento y Desarrollo Del Fruto de Café y Su Relación Con La Broca. Avan. Tec. Cenicafé 1993, 194, 1–4. [Google Scholar]
- Saldarriaga, G. Evaluación de Prácticas Culturales En El Control de La Broca Del Café Hypothenemus hampei (Ferrari 1867) (Coleoptera: Scolytidae). Bachelor’s Thesis, Universidad Nacional de Colombia, Bogota, Colombia, 1994. [Google Scholar]
- Duque, H.; Baker, P.S. Devouring Profit the Socio-Economics of Coffee Berry Borer IPM; Cenicafé: Chinchiná, Colombia, 2003; ISBN 978-958-97218-4-1. [Google Scholar]
- Jaramillo-Robledo, A. El Clima de la Caficultura en Colombia; Cenicafé: Chinchiná, Colombia, 2018; ISBN 978-958-8490-21-2. [Google Scholar]
- Ruiz, R. Efecto de La Fenología Del Fruto Del Café Sobre Los Parámetros de La Tabla de Vida de La Broca Del Café Hypothenemus hampei (Ferrari). Universidad de Caldas, Caldas, Colombia, 1996. [Google Scholar]
- Arcila, J.; Jaramillo, A. Relación Entre La Humedad Del Suelo, La Floración y El Desarrollo Del Fruto Del Cafeto. Avan. Tec. Cenicafé 2003, 311, 1–8. [Google Scholar]
- Arcila, J.; Jaramillo, A.; Baldion, J.V.; Bustillo, A.E. La Floración Del Cafeto y Su Relación Con El Control de La Broca. Avan. Tec. Cenicafé 1993, 193, 1–6. [Google Scholar]
- Whittaker, L.; Gonzalez-Moreno, P.; Lowry, A.; Velez, L.J.; Aristizabal, V.; Aristizabal, L.F.P.; Edgington, S.; Murphy, S. The effect of an altitudinal gradient on the abundance and phenology of the coffee berry borer (Hypothenemus hampei) (Ferrari) (Coleoptera: Scolytidae) in the Colombia Andes. Int. J. Pest Mang. 2024, 70, 1–12. [Google Scholar] [CrossRef]
- Ángel, C.C.A.; Marín-Ramírez, G.A.; Maldonado, C.E. Genome Sequence of Hemileia vastatrix Berk. and Br. (Race I), the Causal Agent of Coffee Leaf Rust, Isolate from Risaralda, Colombia. Microbiol. Resour. Announc. 2023, 12, e00444-23. [Google Scholar] [CrossRef] [PubMed]
- Montoya, E.C.; Benavides Machado, P.; Arcila-Pulgarin, J.; Jaramillo-Robledo, A.; Quiroga, F. Modelo de Simulación Para El Comportamiento de La Infestación Por Broca En El Cultivo de Café. Bol. Téc. Cenicafé. 2022, 47, 1–47. [Google Scholar] [CrossRef]


| F3 Progenies | N | Height | Production | Rust Percentile | ||
|---|---|---|---|---|---|---|
| Mean | EE | Mean | EE | |||
| (CX.2710 × CCC.534)-#21 | 30 | 154.3 | 2.5 | 10.7 * | 0.8 | 73 |
| (CX.2710 × CCC.534)-#42 | 30 | 177.5 ** | 6.1 | 9.5 | 0.4 | 77 |
| (CX.2710 × CCC.534)-#46 | 30 | 156.5 | 6.6 | 8.6 | 0.4 | 87 |
| (CX.2710 × CCC.534)-#53 | 29 | 154.3 | 5.0 | 8.7 | 0.4 | 97 |
| (CX.2710 × CCC.534)-#57 | 30 | 135.0 * | 3.4 | 6.3 | 0.5 | 93 |
| (CX.2710 × CCC.534)-#70 | 29 | 138.9 * | 7.5 | 7.6 | 0.5 | 93 |
| (CX.2710 × CCC.534)-#106 | 28 | 123.6 * | 5.4 | 8.5 | 1.2 | 93 |
| (CX.2178 × CCC.470)-#263 | 27 | 131.6 * | 5.6 | 7.2 | 2.3 | 70 |
| (CX.2848 × CCC.477)-#363 | 30 | 158.4 | 6.4 | 10.6 * | 0.6 | 87 |
| (CX.2848 × CCC.477)-#371 | 30 | 163.8 | 4.6 | 11.3 * | 1.0 | 70 |
| (CX.2391 × CCC.477)-#452 | 30 | 144.7 | 3.9 | 10.3 | 0.4 | 73 |
| (CX.2391 × CCC.477)-#489 | 30 | 161.8 | 5.8 | 10.9 * | 1.4 | 87 |
| (CU.1812 × CCC.534)-#698 | 29 | 154.8 | 6.6 | 8.2 | 0.4 | 70 |
| (CU.1812 × CCC.534)-#699 | 29 | 167.1 | 2.9 | 11.1 * | 0.5 | 77 |
| (CX.2391 × CCC.477)-#534 | 30 | 202.3 ** | 2.8 | 10.8 * | 0.5 | 70 |
| (CX.2710 × CCC.534)-#15 | 30 | 164.3 | 4.7 | 11.3 * | 0.2 | 43 |
| (CX.2710 × CCC.534)-#52 | 26 | 129.6 * | 4.9 | 8.6 | 2.0 | 67 |
| (CX.2710 × CCC.534)-#128 | 29 | 147.9 | 6.3 | 9.8 | 0.6 | 67 |
| (CX.2178 × CCC.470)-#177 | 28 | 165.7 | 6.6 | 8.5 | 1.0 | 53 |
| (CX.2178 × CCC.470)-#164 | 25 | 140.4 * | 8.1 | 6.9 | 0.6 | 67 |
| (CX.2178 × CCC.470)-#199 | 26 | 130.0 * | 3.3 | 8.8 | 1.0 | 57 |
| (CX.2178 × CCC.470)-#220 | 30 | 119.7 * | 3.5 | 9.5 | 1.4 | 65 |
| (CX.2178 × CCC.470)-#253 | 30 | 117.2 * | 4.4 | 5.9 | 0.6 | 33 |
| (CX.2178 × CCC.470)-#261 | 27 | 125.8 * | 6.4 | 6.8 | 1.5 | 50 |
| (CX.2178 × CCC.470)-#292 | 28 | 140.8 * | 6.1 | 7.6 | 1.3 | 33 |
| (CX.2178 × CCC.470)-#297 | 28 | 147.1 | 6.6 | 9.9 | 1.× | 17 |
| (CX.2848 × CCC.477)-#304 | 30 | 140.9 * | 3.8 | 11.4 * | 1 × 9 | 3 |
| (CX.2848 × CCC.477)-#311 | 30 | 164.5 | 5.1 | 11.5 * | 0.× | 10 |
| (CX.2848 × CCC.477)-#313 | 29 | 153.5 | 6.5 | 8.2 | 0.× | 37 |
| (CX.2848 × CCC.477)-#324 | 29 | 162.3 | 2.2 | 12.3 * | 0.× | 10 |
| (CX.2848 × CCC.477)-#340 | 29 | 137.9 * | 3.9 | 7.9 | 0.× | 40 |
| (CX.2848 × CCC.477)-#354 | 30 | 149.2 | 5.4 | 9.3 | 0.× | 17 |
| (CX.2848 × CCC.477)-#373 | 29 | 173.3 | 6.3 | 13.0 * | 0.× | 30 |
| (CX.2848 × CCC.477)-#391 | 30 | 145.5 | 3.5 | 11.9 * | 0 × 5 | 7 |
| (CX.2848 × CCC.477)-#406 | 30 | 171.1 | 4.3 | 12.2 * | 0.× | 33 |
| (CX.2848 × CCC.477)-#416 | 20 | 175.4 | 5.2 | 11.4 * | 0.4 | 45 |
| Caturra | 30 | 162.9 | 2.6 | 6.7 | 0.6 | 0 |
| Cenicafé 1 | 29 | 160.9 | 3.1 | 8.0 | 0.7 | 30 |
| CX.2178 | 30 | 169.7 | 2.6 | 10.6 | 0.6 | 23 |
| CX.2391 | 30 | 161.3 | 3.1 | 7.4 | 0.2 | 57 |
| CX.2710 | 30 | 165.7 | 3.4 | 7.5 | 0.2 | 80 |
| CX.2848 | 30 | 176.2 | 3.6 | 6.0 | 0.7 | 3 |
| F3 Progeny | Number Coffee Beans | H. hampei Stages | (%) Reduction H. hampei Stages | ||
|---|---|---|---|---|---|
| Mean | SE | ||||
| (CX2391 × CCC477)-#489 | 106 | 12.4 | B 1 | 0.4 | 22.9 |
| (CX2848 × CCC477)-#363 | 59 | 13.1 | B 1 | 0.7 | 18.5 |
| Susceptible control | 57 | 16.1 | A | 0.7 | |
| (CX2710 × CCC534)-#57 | 97 | 16.2 | B 1 | 0.6 | 18.4 |
| (CX2848 × CCC477)-#363 | 103 | 14.9 | B 1 | 0.5 | 24.9 |
| Susceptible control | 52 | 19.9 | A | 0.9 | |
| (CU1812 × CCC534)-#699 | 60 | 17.1 | B 1 | 0.7 | 23.3 |
| (CX2178 × CCC470)-#263 | 56 | 18.1 | B 1 | 1.1 | 19.1 |
| (CX2710 × CCC534)-#106 | 58 | 17.2 | B 1 | 0.9 | 23.0 |
| Susceptible control | 50 | 22.3 | A | 1.2 | |
| (CU1812 × CCC534)-#698 | 49 | 13.2 | B 1 | 0.7 | 21.9 |
| (CX2178 × CCC470)-#263 | 29 | 13.8 | B 1 | 1.0 | 18.1 |
| Susceptible control | 45 | 16.9 | A | 0.8 | |
| (CX2178 × CCC470)-#263 | 120 | 17.4 | B 1 | 0.7 | 21.4 |
| (CX2710 × CCC534)-#53 | 56 | 17.4 | B 1 | 1.1 | 21.1 |
| Susceptible control | 56 | 22.1 | A | 1.5 | |
| (CU1812 × CCC534)-#699 | 59 | 17.6 | B 1 | 0.9 | 22.2 |
| (CX2391 × CCC477)-#489 | 60 | 18.5 | B 1 | 0.7 | 18.7 |
| Susceptible control | 50 | 22.7 | A | 1.5 | |
| (CX2710 × CCC534)-#106 | 60 | 15.4 | B 1 | 0.7 | 24.1 |
| (CX2848 × CCC477)-#363 | 45 | 16.6 | B 1 | 1.0 | 18.5 |
| Susceptible control | 49 | 20.3 | A | 1.2 | |
| (CX2391 × CCC477)-#452 | 57 | 18.7 | B 1 | 0.7 | 19.2 |
| (CX2710 × CCC534)-#106 | 109 | 18.4 | B 1 | 0.6 | 20.7 |
| (CX2848 × CCC477)-#371 | 47 | 18.9 | B 1 | 0.9 | 18.3 |
| Susceptible control | 50 | 23.2 | A | 1.2 | |
| (CU1812 × CCC534)-#699 | 51 | 18.0 | B 1 | 0.9 | 19.4 |
| (CX2178 × CCC470)-#263 | 39 | 17.6 | B 1 | 1.1 | 21.1 |
| (CX2710 × CCC534)-#21 | 47 | 18.3 | B 1 | 1.0 | 18.1 |
| Susceptible control | 47 | 22.3 | A | 1.1 | |
| (CX2710 × CCC534)-#53 | 88 | 18.0 | B 1 | 0.7 | 21.8 |
| (CX2848 × CCC477)-#363 | 39 | 17.1 | B 1 | 1.2 | 25.8 |
| Susceptible control | 57 | 23.0 | A | 1.1 | |
| (CX2710 × CCC534)-#106 | 53 | 21.4 | B 1 | 1.2 | 18.3 |
| (CX2710 × CCC534)-#70 | 51 | 21.1 | B 1 | 1.2 | 19.6 |
| (CX2848 × CCC477)-#371 | 50 | 21.5 | B 1 | 1.0 | 18.0 |
| Susceptible control | 53 | 26.2 | A | 1.1 | |
| (CX2178 × CCC470)-#263 | 44 | 23.5 | B 1 | 1.2 | 18.9 |
| (CX2710 × CCC534)-#106 | 57 | 22.2 | B 1 | 1.1 | 23.5 |
| Susceptible control | 55 | 29.0 | A | 1.3 | |
| (CX2710 × CCC534)-#70 | 49 | 11.8 | B 2 | 0.6 | 21.5 |
| Susceptible control | 51 | 15.1 | A | 0.8 | |
| (CX2710 × CCC534)-#21 | 54 | 15.9 | B 2 | 0.7 | 18.3 |
| Susceptible control | 59 | 19.5 | A | 0.9 | |
| (CX2391 × CCC477)-#452 | 48 | 15.2 | B 2 | 0.7 | 22.3 |
| Susceptible control | 49 | 19.6 | A | 1.0 | |
| (CU1812 × CCC534)-#698 | 52 | 18.9 | B 2 | 1.0 | 18.2 |
| Susceptible control | 51 | 23.1 | A | 1.2 | |
| (CX2710 × CCC534)-#21 | 62 | 17.7 | B 2 | 0.9 | 20.9 |
| Susceptible control | 52 | 22.4 | A | 1.1 | |
| (CX2391 × CCC477)-#489 | 66 | 18.2 | B 2 | 0.7 | 18.5 |
| Susceptible control | 50 | 22.3 | A | 1.2 | |
| (CX2710 × CCC534)-#46 | 57 | 17.8 | B 2 | 0.7 | 18.7 |
| Susceptible control | 64 | 22.0 | A | 0.9 | |
| (CX2178 × CCC470)-#263 | 53 | 13.0 | B 2 | 0.6 | 19.0 |
| Susceptible control | 50 | 16.1 | A | 1.0 | |
| Group F3 Progenies | 2190 | 17.2 | 0.1 | 19.2 | |
| Susceptible control | 1047 | 21.2 | 0.3 | ||
| Progeny | Number Coffee Beans | H. hampei Stages | (%) Reduction H. hampei Stages | ||
|---|---|---|---|---|---|
| Mean | SE | ||||
| (CU1812 × CCC534)-#698 | 79 | 11.2 | ED 1 | 0.5 | 41.2 |
| (CX2178 × CCC470)-#263 | 219 | 12.8 | CB 1 | 0.3 | 32.9 |
| (CX2391 × CCC477)-#489 | 89 | 10.3 | E 1 | 0.4 | 45.6 |
| (CX2710 × CCC534)-#21 | 101 | 14.2 | B 1 | 0.6 | 25.3 |
| (CX2848 × CCC477)-#363 | 75 | 12.5 | DC 1 | 0.5 | 34.0 |
| Susceptible control | 43 | 19.0 | A | 0.6 | |
| (CU1812 × CCC534)-#699 | 15 | 3.4 | B 1 | 1.0 | 69.8 |
| (CX2710 × CCC534)-#106 | 24 | 5.2 | B 1 | 0.9 | 53.8 |
| Susceptible control | 41 | 11.3 | A | 0.9 | |
| (CX2178 × CCC470)-#263 | 114 | 11.0 | B 1 | 0.5 | 37.1 |
| (CX2710 × CCC534)-#106 | 28 | 9.1 | B 1 | 0.6 | 47.9 |
| (CX2848 × CCC477)-#371 | 23 | 9.8 | B 1 | 1.0 | 44.0 |
| Susceptible control | 38 | 17.6 | A | 1.1 | |
| (CU1812 × CCC534)-#698 | 58 | 18.1 | B 1 | 1.2 | 27.1 |
| (CX2178 × CCC470)-#263 | 16 | 15.8 | B 1 | 1.0 | 36.5 |
| (CX2391 × CCC477)-#452 | 59 | 18.8 | B 1 | 1.1 | 24.1 |
| (CX2391 × CCC477) #489 | 71 | 9.2 | B 1 | 0.7 | 63.1 |
| (CX2710 × CCC534)-#53 | 121 | 18.6 | B 1 | 0.7 | 25.1 |
| Susceptible control | 71 | 24.8 | A | 1.6 | |
| (CX2710 × CCC534)-#57 | 28 | 9.1 | B 1 | 0,8 | 56.9 |
| (CX2848 × CCC477)-#363 | 129 | 10.3 | B 1 | 0.6 | 51.0 |
| Susceptible control | 75 | 21.0 | A | 1.1 | |
| (CX2710 × CCC534)-#106 | 49 | 8.0 | B 1 | 0.6 | 46.7 |
| (CX2848 × CCC477)-#363 | 65 | 6.4 | B 1 | 0.3 | 57.7 |
| Susceptible control | 51 | 15.1 | A | 1.3 | |
| (CX2391 × CCC477)-#489 | 47 | 7.0 | B 1 | 0.5 | 52.4 |
| (CX2710 × CCC534) #70 | 27 | 8.0 | B 1 | 0.6 | 45.6 |
| (CX2848 × CCC477) #371 | 20 | 7.8 | B 1 | 0.4 | 47.3 |
| Susceptible control | 36 | 14.7 | A | 1.2 | |
| (CU1812 × CCC534) #699 | 42 | 14.3 | B 1 | 1.1 | 35.1 |
| (CX2391 × CCC477)-#452 | 46 | 13.9 | B 1 | 1.0 | 37.1 |
| (CX2710 × CCC534)-#106 | 65 | 12.7 | CB 1 | 0.6 | 42.5 |
| (CX2710 × CCC534)-#21 | 65 | 10.7 | C 1 | 0.5 | 51.7 |
| (CX2710 × CCC534)-#46 | 54 | 14.7 | B 1 | 1.0 | 33.5 |
| (CX2710 × CCC534)-#57 | 61 | 13.8 | B 1 | 0.7 | 37.6 |
| Susceptible control | 66 | 22.1 | A | 0.6 | |
| (CX2710 × CCC534)-#53 | 26 | 12.8 | B 2 | 1.1 | 28.4 |
| TESTIGO | 62 | 17.8 | A | 1.1 | |
| (CX2710 × CCC534)-#70 | 25 | 11.6 | B 2 | 0.9 | 30.0 |
| Susceptible control | 56 | 16.6 | A | 0.6 | |
| (CX2710 × CCC534)-#106 | 25 | 8.0 | B 2 | 0.4 | 55.0 |
| Susceptible control | 53 | 17.8 | A | 0.9 | |
| Group F3 progenies | 1866 | 12.1 | 0.1 | 35.2 | |
| Susceptible control | 592 | 18.6 | 0.4 | ||
| F3 Progeny | Agronomic Variables | Antibiosis Controlled Conditions | Antibiosis Field Conditions | ||||||||
|---|---|---|---|---|---|---|---|---|---|---|---|
| Height | Production | # Stages/Bean | # Stages/Fruit | ||||||||
| Mean | SE | Mean | SE | H. vastatrix Incidence | Mean | SE | (%) Reduction H. hampei Stages | Mean | SE | (%) Reduction H. hampei Stages | |
| (CX.2710 × CCC.534)-#53 | 154.3 | 9.8 | 8.7 | 0.4 | 97 | 17.8 | 0.6 | 21.4 | 17.6 | 0.6 | 26.8 |
| (CX.2710 × CCC.534)-#57 | 135.0 | 6.7 | 6.3 | 0.5 | 93 | 16.2 | 0.6 | 18.4 | 12.3 | 0.6 | 47.2 |
| (CX.2710 × CCC.534)-#70 | 138.9 | 14.7 | 7.6 | 0.5 | 93 | 16.5 | 0.8 | 20.6 | 9.8 | 0.6 | 37.8 |
| (CX.2710 × CCC.534)-#106 | 123.6 | 10.6 | 8.5 | 1.2 | 93 | 18.8 | 0.4 | 21.9 | 9.4 | 0.4 | 49.2 |
| (CX.2710× CCC.534)-#46 | 156.5 | 12.9 | 8.6 | 0.4 | 87 | 17.8 | 0.7 | 18.7 | 14.7 | 1.0 | 33.5 |
| (CX.2848 × CCC.477)-#363 | 158.4 | 12.6 | 10.6 | 0.6 | 87 | 15.1 | 0.4 | 21.9 | 10.0 | 0.3 | 47.6 |
| (CX.2391 × CCC.477)-#489 | 161.8 | 11.4 | 10.9 | 1.4 | 87 | 15.6 | 0.4 | 20.0 | 9.2 | 0.3 | 53.7 |
| (CU.1812 × CCC.534)-#699 | 167.1 | 5.6 | 11.1 | 0.5 | 77 | 17.6 | 0.5 | 21.6 | 11.4 | 1.0 | 52.5 |
| (CX.2710 × CCC.534)-#21 | 154.3 | 4.9 | 10.7 | 0.8 | 73 | 17.3 | 0.5 | 19.1 | 12.8 | 0.4 | 38.5 |
| (CX.2391 × CCC.477)-#452 | 144.7 | 7.6 | 10.3 | 0.4 | 73 | 17.1 | 0,5 | 20.7 | 16.7 | 0.8 | 30.6 |
| (CX.2178 × CCC.470)-#263 | 131.6 | 10.9 | 7.2 | 2.3 | 70 | 17.3 | 0,4 | 19.6 | 12.3 | 0.3 | 35.3 |
| (CX.2848 × CCC.477)-#371 | 163.8 | 9.1 | 11.3 | 1.0 | 70 | 20.2 | 0.7 | 18.1 | 8.9 | 0.6 | 45.6 |
| (CU.1812 × CCC.534)-#698 | 154.8 | 12.9 | 8.2 | 0.4 | 70 | 16.1 | 0.7 | 20.1 | 14.1 | 0.6 | 34.1 |
Disclaimer/Publisher’s Note: The statements, opinions and data contained in all publications are solely those of the individual author(s) and contributor(s) and not of MDPI and/or the editor(s). MDPI and/or the editor(s) disclaim responsibility for any injury to people or property resulting from any ideas, methods, instructions or products referred to in the content. |
© 2025 by the authors. Licensee MDPI, Basel, Switzerland. This article is an open access article distributed under the terms and conditions of the Creative Commons Attribution (CC BY) license (https://creativecommons.org/licenses/by/4.0/).
Share and Cite
Molina, D.; Flórez-Ramos, C.P.; Montoya, E.C.; Medina, R.; Benavides, P. Climate-Resilient F3 Progenies of Coffea arabica: Agronomic Traits and Antibiosis to Hypothenemus hampei. Plants 2025, 14, 3744. https://doi.org/10.3390/plants14243744
Molina D, Flórez-Ramos CP, Montoya EC, Medina R, Benavides P. Climate-Resilient F3 Progenies of Coffea arabica: Agronomic Traits and Antibiosis to Hypothenemus hampei. Plants. 2025; 14(24):3744. https://doi.org/10.3390/plants14243744
Chicago/Turabian StyleMolina, Diana, Claudia Patricia Flórez-Ramos, Esther Cecilia Montoya, Rubén Medina, and Pablo Benavides. 2025. "Climate-Resilient F3 Progenies of Coffea arabica: Agronomic Traits and Antibiosis to Hypothenemus hampei" Plants 14, no. 24: 3744. https://doi.org/10.3390/plants14243744
APA StyleMolina, D., Flórez-Ramos, C. P., Montoya, E. C., Medina, R., & Benavides, P. (2025). Climate-Resilient F3 Progenies of Coffea arabica: Agronomic Traits and Antibiosis to Hypothenemus hampei. Plants, 14(24), 3744. https://doi.org/10.3390/plants14243744

