Growth Promotion and Secondary Metabolites of Vegetables by Spraying Soil with Psidium guajava, Aloe vera, Allium sativum and Medicago sativa Extracts at Various Stages of Growth
Abstract
1. Introduction
2. Results
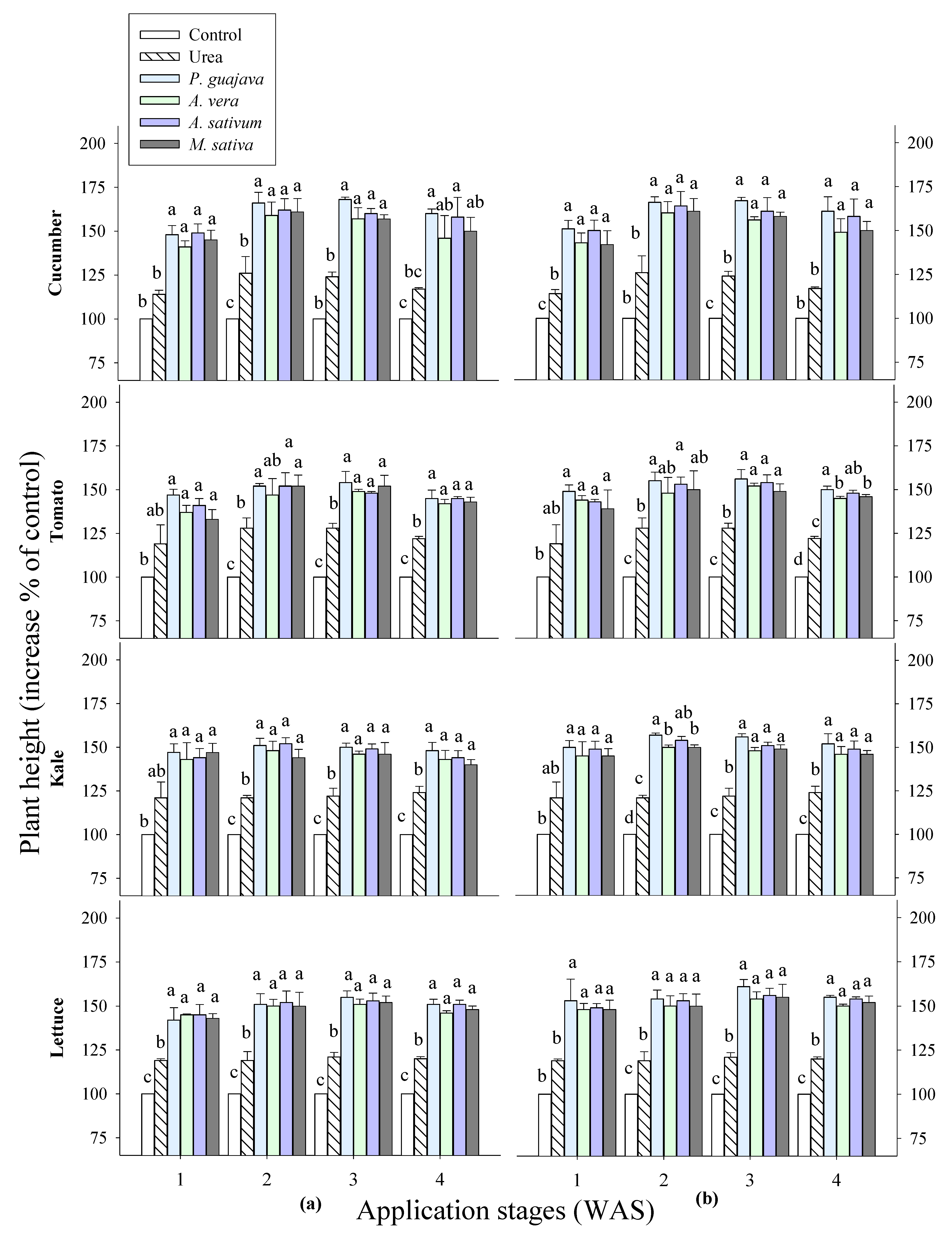
2.1. Impacts of Selected Water Extracts on Application Timing During Different Growth Phases of Vegetables
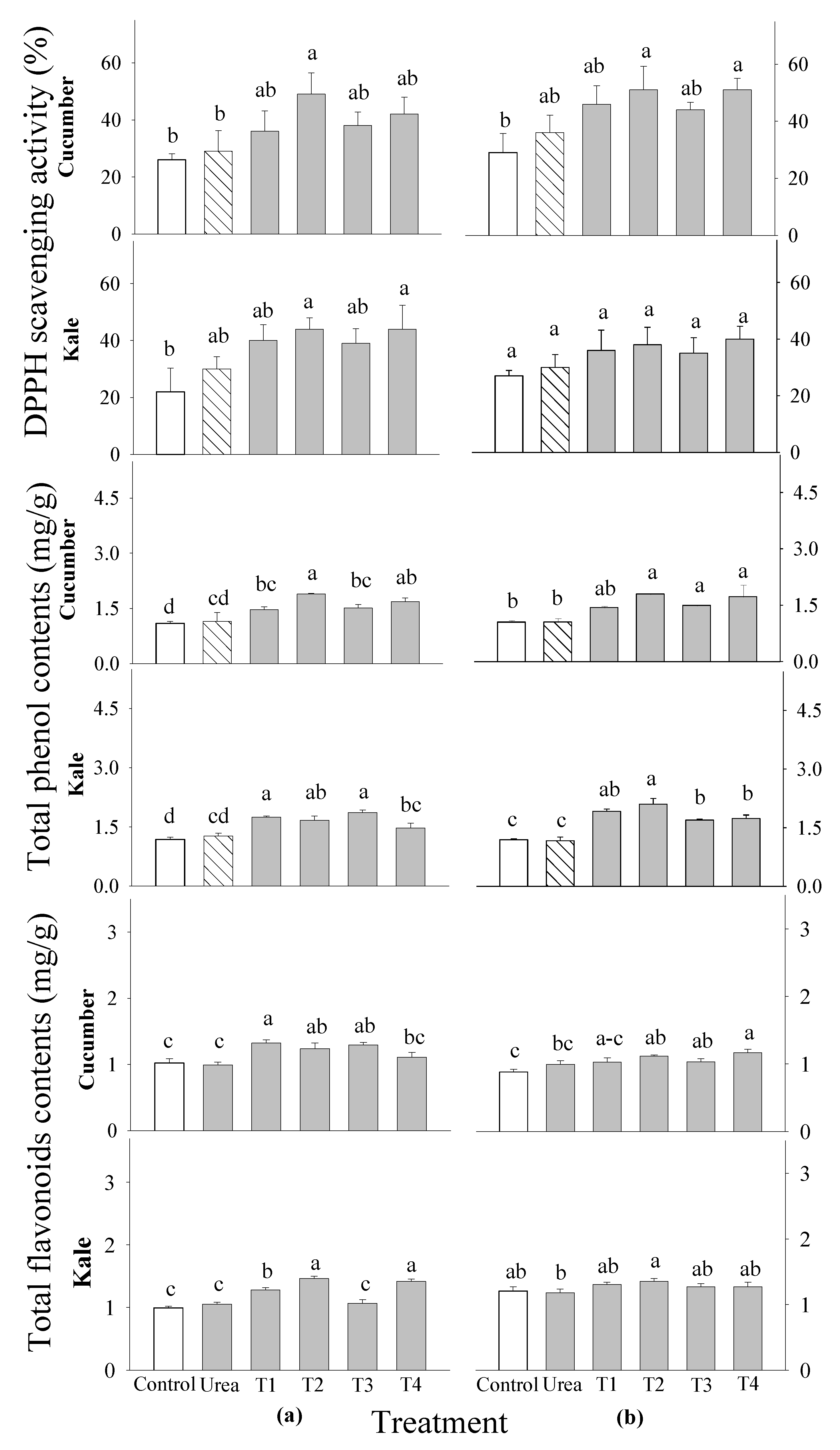
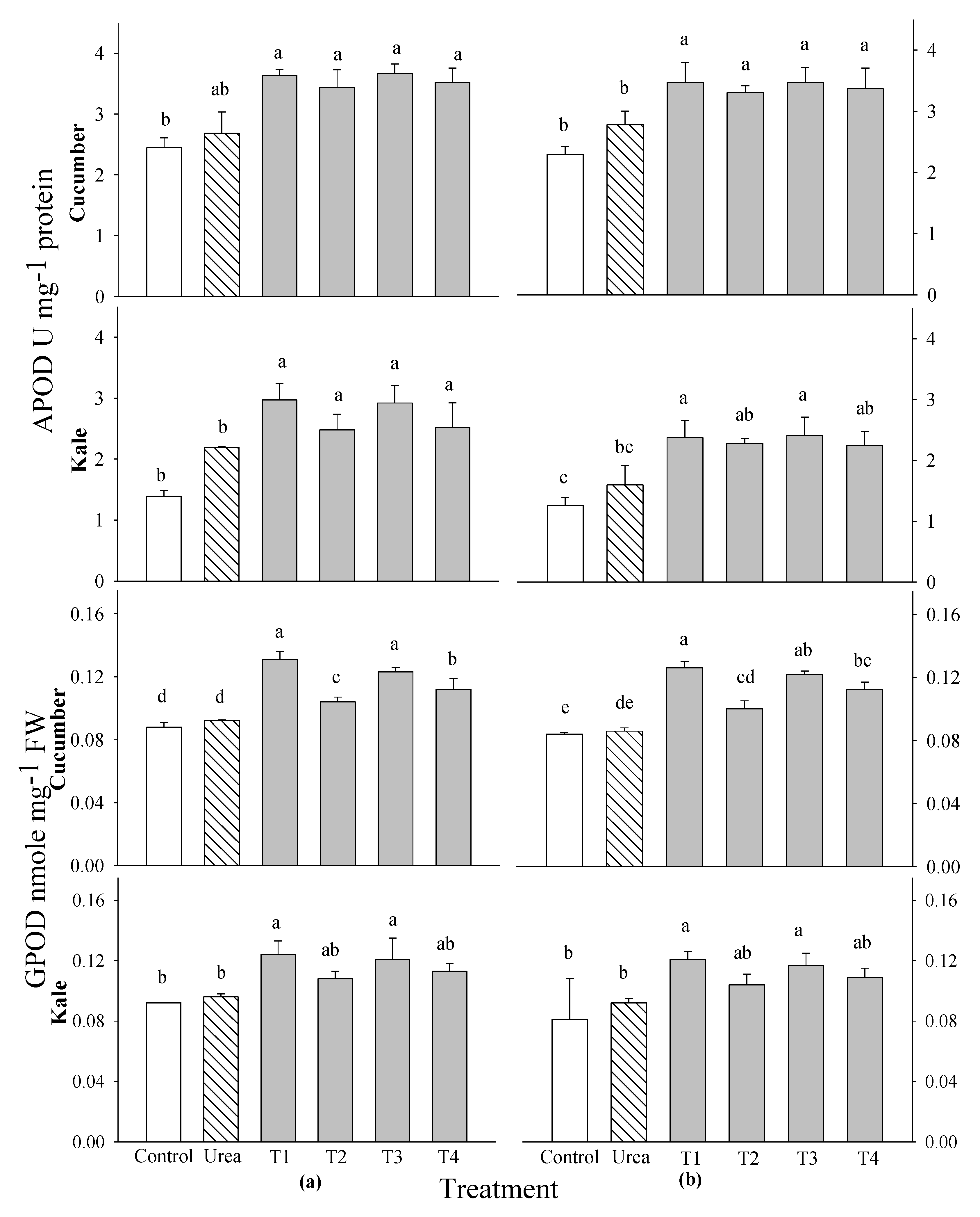
2.2. Influences of Selected Water Extracts on Secondary Metabolites Production in Vegetables
3. Discussion
4. Materials and Methods
4.1. Preparing Plant Materials and Extracts
4.2. Conditions for the Cultivation of Plants and Their Treatment
4.3. Impacts of Specific Water Extracts on Secondary Metabolite Synthesis in Vegetables
4.3.1. Determination of Quantum Yield, Total Chlorophyll and Carotenoid Contents
4.3.2. Determination of DPPH-Radical-Scavenging Activity and Total Phenol and Flavonoid Contents
4.3.3. Determination of Antioxidative Enzyme Activities
4.4. Experimental Design and Statistical Analysis
5. Conclusions
Author Contributions
Funding
Data Availability Statement
Conflicts of Interest
References
- Shikur, T.K. Effect of alfalfa (Medicago sativa) extract on yield and yield components of lettuce (Lactuca sativa), beetroot (Beta vulgaris) and pepper (Capsicum annum). World J. Agric. Res. 2015, 11, 89–93. [Google Scholar]
- Godlewska, K.; Ronga, D.; Michalak, I. Plant extracts—Importance in sustainable agriculture. Ital. J. Agron. 2021, 16, 1851. [Google Scholar] [CrossRef]
- Han, M.; Kasim, S.; Yang, Z.; Deng, X.; Saidi, N.B.; Uddin, K.; Shuib, E.M. Plant extracts as biostimulant agents: A promising strategy for managing environmental stress in sustainable agriculture. Phyton Int. J. Exp. Bot. 2024, 93, 2149–2166. [Google Scholar] [CrossRef]
- Godlewska, K.; Pacyga, P.; Michalak, I.; Biesiada, A.; Szumny, A.; Pachura, N.; Piszcz, U. Systematic investigation of the effects of seven plant extracts on the physiological parameters, yield, and nutritional quality of radish (Raphanus sativus var. sativus). Front. Plant Sci. 2021, 12, 651152. [Google Scholar] [CrossRef] [PubMed]
- Abd-El-Khair, H.; Haggag, W.M. Application of some Egyptian medicinal plant extracts against potato late and early blights. Res. J. Agric. Sci. 2007, 3, 66–175. [Google Scholar]
- Wei, T.T.; Cheng, Z.H.; Khan, M.A.; Ma, Q.; Ling, H. The inhibitive effects of garlic bulb crude extract on Fulvia fulva of tomato. Pak. J. Bot. 2011, 43, 2575–2580. [Google Scholar] [CrossRef]
- Mohamed, H.I.; Akladious, S.A. Influence of garlic extract on enzymatic and non-enzymatic antioxidants in soybean plants Glycine max grown under drought stress. Life Sci. J. 2014, 11, 46–58. [Google Scholar]
- Al-Obady, R.M. Effect of foliar application with garlic extract and Liquorice root extract and Salicylic acid on vegetative growth and flowering and flower set of tomato and under unheated houses. J. Appl. Sci. Res. 2015, 3, 11–22. [Google Scholar]
- Abd El–Hamied, S.A.; El-Amary, E.I. Improving growth and productivity of ‘pear’ trees using some natural plants extracts under north sinai conditions. J. Agric. Vet. Sci. 2015, 8, 01–09. [Google Scholar]
- Abbas, S.M.T.M.; Zaglool, M.A.; El-Ghadban, E.A.E.; El-Kareem, S.E.H.; Waly, A.A. Effect of foliar application with aloe leaf extracts (ALE) on vegetative growth, oil percentage and anatomical leaf structure of sage (Salvia officinalis L.) plant under sand soil conditions. Hortscience J. Suez Canal Univ. 2016, 5, 9–14. [Google Scholar] [CrossRef][Green Version]
- Arifin, P.F.; Nurcholis, W.; Ridwan, T.; Faiza, L.L.; Susilowidodo, R.A.; Batubara, I.; Wisastra, R. Potential utilization of guava leaves and neem seeds extraction waste as organic compost fertilizer in Temulawak (Curcuma xanthorrhiza Roxb.) cultivation. Int. J. Agron. Agric. Res. 2017, 11, 30–36. [Google Scholar]
- Harborne, J.R. Introduction to Ecological Biochemistry, 4th ed.; Academic Press; Elsevier: London, UK, 1993; pp. 1–32. [Google Scholar]
- Bernhoft, A. A brief review on bioactive compounds in plants. In Bioactive Compounds in Plants—Benefits and Risks for Man and Animals; The Norwegian Academy of Science and Letters: Oslo, Norway, 2010; pp. 11–17. [Google Scholar]
- Hegab, M.M.; Khodary, S.E.A.; Hammouda, O.; Ghareib, H.R. Autotoxicity of chard and its allelopathic potentiality on germination and some metabolic activities associated with growth of wheat seedlings. Afr. J. Biotechnol. 2008, 7, 884–892. [Google Scholar]
- Ghareib, H.R.; Abdelhamed, M.S.; Ibrahim, O.H. Antioxidative effects of the acetone fraction and vanillic acid from Chenopodium murale on tomato plants. Weed Biol. Manag. 2010, 10, 64–72. [Google Scholar] [CrossRef]
- Rice, E.L. Allelopathy, 2nd ed.; Academic Press: Orlando, FL, USA, 1984; p. 422. [Google Scholar]
- Balderas-Hernández, V.E.; Alvarado-Rodríguez, M.; Fraire-Velázquez, S. Conserved versatile master regulators in signaling pathways in response to stress in plants. AoB Plants 2013, 5, plt033. [Google Scholar] [CrossRef] [PubMed]
- Noctor, G.; Mhamdi, A.; Chaouch, S.; Han, Y.; Neukermans, J.; Marquez-Garcia, B.; Queval, G.; Foyer, C.H. Glutathione in plants: An integrated overview. Plant Cell Environ. 2012, 35, 454–484. [Google Scholar] [CrossRef]
- Shah, J.; Zeier, J. Long-distance communication and signal amplification in systemic acquired resistance. Front. Plant Sci. 2013, 4, 30. [Google Scholar] [CrossRef]
- Muhammad, A.; Cheng, Z.; Sikandar, H.; Husain, A.; Muhammad, I.G.; Liu, T. Foliar spraying of aqueous garlic bulb extract stimulates growth and antioxidant enzyme activity in eggplant (Solanum melongena L.). J. Integr. Agric. 2019, 18, 1001–1013. [Google Scholar]
- Mady, A. Effect of Certain Medicinal Plant Extracts on Growth, Yield and Metabolism of Some Medicinal Aromatic and Plants. Master’s Thesis, Botany and Microbiology Department, Faculty of Science, Al-Azhar University, Cairo, Egypt, 2009. [Google Scholar]
- Fan, D.; Hodges, D.M.; Zhang, J.; Kirby, C.W.; Ji, X.; Locke, S.J.; Critchley, A.T.; Prithiviraj, B. Commercial extract of the brown seaweed Ascophyllum nodosum enhances phenolic antioxidant content of spinach (Spinacia oleracea L.) which protects Caenorhabditis elegans against oxidative and thermal stress. Food Chem. 2011, 124, 195–202. [Google Scholar]
- Harris, D.; Tripathi, R.S.; Joshi, A. On-farm seed priming to improve crop establishment and yield in dry direct-seeded rice. In Direct Seeding: Research Strategies and Opportunities; Pandey, S., Mortimer, M., Wade, L., Tuong, T.P., Lopes, K., Hardy, B., Eds.; International Research Institute: Manila, Philippines, 2002; pp. 231–240. [Google Scholar]
- Yasmeen, A.; Basra, S.M.A.; Wahid, A.; Nouman, W.; Rehman, H. Exploring the potential of Moringa oleifera leaf extract (MLE) as a seed priming agent in improving wheat performance. Turk. J Bot. 2013, 37, 512–520. [Google Scholar] [CrossRef]
- Nautiyal, P.; Lal, S.; Singh, C.P. Effect of shoot pruning severity and plant spacing on leaf nutrient status and yield of guava cv. Pant Prabhat. Int. J. Basic Appl. Agric. Res. 2016, 14, 288–294. [Google Scholar]
- Hanafy, M.S.; Saadawy, F.M.; Milad, S.M.N.; Ali, R.M. Effect of some natural extracts on growth and chemical constituents of Schefflera arboricola plants. J. Hortic. Sci. Ornam. Plants 2012, 4, 26–33. [Google Scholar]
- Sikandar, H.; Ahmad, H.; Ali, M.; Kashif, H.; Khan, M.A.; Cheng, Z.; Smith, F.M.A.; Gilles, J.K.; Hamilton, P. Aqueous garlic extract as a plant biostimulant enhances physiology, improves crop quality and metabolite abundance, and primes the defense responses of receiver plants. Appl. Sci. 2018, 8, 15. [Google Scholar]
- Hussain, W.A. Effect of Spraying Garlic Extract, Licorice and Urea in the Characteristics of Flowering Growth of Cucumis sativus L. and the Yield of Cucumber Plant. Master’s Thesis, College of Agriculture, University of Baghdad, Baghdad, Iraq, 2002. [Google Scholar]
- Ei, E.; Park, H.H.; Kuk, Y.I. Effects of plant extracts on growth promotion, antioxidant enzymes and secondary metabolites in rice (Oryza sativa) plants. Plants 2024, 13, 2727. [Google Scholar] [CrossRef] [PubMed]
- Coruzzi, G.; Last, R. Amino acids. In Biochemistry and Molecular Biology of Plants; Buchanan, B., Gruissem, R.J., Eds.; American Society of Plant Physiologists: Rockville, MD, USA, 2000; pp. 358–410. [Google Scholar]
- Wang, J.; Lu, W.; Tong, Y.; Yang, Q. Leaf morphology, photosynthetic performance, chlorophyll fluorescence, stomatal development of lettuce (Lactuca sativa L.) exposed to different ratios of red light to blue light. Front. Plant Sci. 2016, 7, 250. [Google Scholar] [CrossRef]
- Slattery, R.A.; VanLoocke, A.; Bernacchi, C.J.; Zhu, X.G.; Ort, D.R. Photosynthesis, light use efficiency, and yield of reduced-chlorophyll soybean mutants in field conditions. Front. Plant Sci. 2017, 8, 1–19. [Google Scholar] [CrossRef]
- Zhou, Y.L.; Cheng, Z.H.; Meng, H.W.; Gao, H.C. Allelopathy of garlic root aqueous extracts and root exudates. J. Northwest A F Univ. (Nat. Sci. Ed.) 2007, 35, 87–92. (In Chinese) [Google Scholar]
- Chai, L.Y.; Mubarak, H.; Yong, W.; Tang, C.J.; Mirza, N. Growth, photosynthesis, and defense mechanism of antimony (Sb)-contaminated Boehmeria nivea L. Environ. Sci. Pollut. Res. Int. 2016, 23, 7470–7481. [Google Scholar] [CrossRef]
- Khan, M.; Daud, M.K.; Basharat, A.; Khan, M.J.; Ullah, A.; Muhammad, N.; Rehman, Z.; Zhu, S. Alleviation of lead-induced physiological, metabolic, and ultra-morphological changes in leaves of upland cotton through glutathione. Environ. Sci. Pollut. Res. Int. 2016, 23, 8431–8440. [Google Scholar] [CrossRef]
- Siddique, M.A.B.; Ismail, B.S. Allelopathic effects of Fimbristylis miliacea on the physiological activities of five Malaysian rice varieties. Aust. J. Crop. Sci. 2013, 7, 2062–2067. [Google Scholar]
- Yuyan, A.; Qi, L.; Wang, M. ALA pretreatment improves the waterlogging tolerance of fig plants. PLoS ONE 2016, 11, e0147202. [Google Scholar]
- Joo, S.J.; Lee, G.J. Effects of organic liquid fertilizer fertigation on growth and fruit quality of hot pepper. Korean J. Org. Agric. 2010, 18, 63–74. [Google Scholar]
- Akullo, J.O.; Kiage-Mokua, B.N.; Nakimbugwe, D.; Ng’ang’a, J.; Kinyuru, J. Phytochemical profile and antioxidant activity of various solvent extracts of two varieties of ginger and garlic. Heliyon 2023, 9, e18806. [Google Scholar] [CrossRef]
- Kuiters, A.T. Effects of phenolic acids on germination and early growth of herbaceous woodland plants. J. Chem. Ecol. 1989, 15, 468–478. [Google Scholar] [CrossRef]
- Jang, S.J.; Park, H.H.; Kuk, Y.I. Application of various extracts enhances the growth and yield of cucumber (Cucumis sativus L.) without compromising the biochemical content. J. Agron. 2021, 11, 505. [Google Scholar] [CrossRef]
- Aryal, S.; Baniya, M.K.; Danekhu, K.; Kunwar, P.; Gurung, R.; Koirala, N. Total phenolic content, flavonoid content, and antioxidant potential of wild vegetables from Western Nepal. J. Plants 2019, 8, 96. [Google Scholar] [CrossRef]
- Hayat, S.; Cheng, Z.; Ahmad, H.; Ali, M.; Chen, X.; Wang, M. garlic, from remedy to stimulant: Evaluation of antifungal potential reveals diversity in phytoalexin allicin content among garlic cultivars; allicin containing aqueous garlic extracts trigger antioxidants in cucumber. Front. Plant Sci. 2016, 7, 1235. [Google Scholar] [CrossRef]
- Das, K.; Roychoudhury, A. Reactive oxygen species (ROS) and response of antioxidants as ROS-scavengers during environmental stress in plants. Front. Environ. Sci. 2014, 2, 53. [Google Scholar] [CrossRef]
- Banerjee, S.K.; Mukherjee, P.K.; Maulik, S.K. Garlic as an antioxidant: The good, the bad and the ugly. Phytother. Res. 2003, 17, 97–106. [Google Scholar] [CrossRef]
- Bhat, R.; Sulochana, S. Antioxidant activity of flavonoids and phenolic compounds in Allium sativum (garlic) extracts. Food Chem. Toxicol. 2009, 47, 1950–1957. [Google Scholar]
- Siddhuraju, P.; Becker, K. Antioxidant properties of various solvent extracts of total phenolic compounds from different varieites of Psidium guajava leaves. Food Chem. 2002, 79, 77–86. [Google Scholar]
- Park, H.; Kim, B.; Kang, Y.; Kim, W. Study on chemical composition and biological activity of Psidium gaujava leaf extracts. Curr. Issues Mol. Biol. 2024, 46, 2133–2143. [Google Scholar] [CrossRef]
- Colla, G.; Rouphael, Y.; Cardarelli, M. Humic substances and plant biostimulants in sustainable agriculture. Agron. Sustain. Dev. 2015, 35, 403–420. [Google Scholar]
- Rouphael, Y.; Colla, G. Nutrient management in soilless culture. Hortic. Rev. 2016, 43, 183–246. [Google Scholar]
- Jackson, M.L.; McNaughton, R.L. The role of urea in plant nutrition and growth. Fertil. Res. 2017, 3, 25–30. [Google Scholar]
- Khan, W.; Mehmood, A.; Uddin, M. Influence of biostimulants on plant growth, photosynthesis, and yield. Front. Plant Sci. 2019, 10, 1305. [Google Scholar]
- Zodape, S.T.; Mukherjee, S.; Reddy, M.P.; Chaudhary, D.R. Effect of Kappaphycus alvarezii extract on grain quality, yield, and some yield components of wheat. J. Plant Nutr. 2011, 34, 2097–2105. [Google Scholar]
- Jang, S.J.; Kuk, Y.I. Growth promotion effects of plant extracts on various leafy vegetable crops. Hortic. Sci. Technol. 2019, 37, 322–336. [Google Scholar] [CrossRef]
- Park, H.H. Increasement of Growth and Secondary Metabolites in Chicory (Cichorium intybus L.) Plants by Extraction and Application Methods of Agricultural By-Products. Master’s Thesis, Sunchon National University, Suncheon-si, Republic of Korea, 2021; p. 56. (In Korean). [Google Scholar]
- Mahmood, S.K.; Abdulla, S.M.; Hassan, K.I.; Mahmood, A.B. Effect of some processing methods on the physiochemical properties of black mulberry. Euphrates J. Agric. Sci. 2024, 16, 440–451. [Google Scholar]
- Giannopolitis, C.N.; Ries, S.K. Superoxide dismutase. 1. Occurrence in higher plants. Plant Physiol. 1977, 59, 309–314. [Google Scholar] [CrossRef]
- Chowdhury, S.R.; Choudhuri, M.A. Hydrogen peroxide metabolism as an index of water stress tolerance in jute. Physiol. Plant. 1985, 65, 476–489. [Google Scholar] [CrossRef]
- Zhang, J.; Cui, S.; Li, J.; Kirkham, M.B. Protoplasmic factors, antioxidant responses, and chilling resistance in maize. Plant Physiol. Biochem. 1995, 33, 567–575. [Google Scholar]
- Chance, B.; Maehly, A.C. Assay of catalases and peroxidases. Methods Enzymol. 1995, 2, 764–775. [Google Scholar]
- Fu, J.; Huang, B. Involvement of antioxidants and lipid peroxidation in the adaptation of two cool-season grasses to localized drought stress. Environ. Exp. Bot. 2001, 45, 105–114. [Google Scholar] [CrossRef]
- Chen, G.; Asada, K. Ascorbate peroxidase in tea leaves: Occurrence of two isozymes and the differences in their enzymatic and molecular properties. Plant Cell Physiol. 1989, 30, 987–998. [Google Scholar]







Disclaimer/Publisher’s Note: The statements, opinions and data contained in all publications are solely those of the individual author(s) and contributor(s) and not of MDPI and/or the editor(s). MDPI and/or the editor(s) disclaim responsibility for any injury to people or property resulting from any ideas, methods, instructions or products referred to in the content. |
© 2025 by the authors. Licensee MDPI, Basel, Switzerland. This article is an open access article distributed under the terms and conditions of the Creative Commons Attribution (CC BY) license (https://creativecommons.org/licenses/by/4.0/).
Share and Cite
Ei, E.; Park, H.H.; Kuk, Y.I. Growth Promotion and Secondary Metabolites of Vegetables by Spraying Soil with Psidium guajava, Aloe vera, Allium sativum and Medicago sativa Extracts at Various Stages of Growth. Plants 2025, 14, 237. https://doi.org/10.3390/plants14020237
Ei E, Park HH, Kuk YI. Growth Promotion and Secondary Metabolites of Vegetables by Spraying Soil with Psidium guajava, Aloe vera, Allium sativum and Medicago sativa Extracts at Various Stages of Growth. Plants. 2025; 14(2):237. https://doi.org/10.3390/plants14020237
Chicago/Turabian StyleEi, Ei, Hyun Hwa Park, and Yong In Kuk. 2025. "Growth Promotion and Secondary Metabolites of Vegetables by Spraying Soil with Psidium guajava, Aloe vera, Allium sativum and Medicago sativa Extracts at Various Stages of Growth" Plants 14, no. 2: 237. https://doi.org/10.3390/plants14020237
APA StyleEi, E., Park, H. H., & Kuk, Y. I. (2025). Growth Promotion and Secondary Metabolites of Vegetables by Spraying Soil with Psidium guajava, Aloe vera, Allium sativum and Medicago sativa Extracts at Various Stages of Growth. Plants, 14(2), 237. https://doi.org/10.3390/plants14020237

