Unveiling the Pharmacognostic Potential of Peucedanum ostruthium (L.) W.D.J. Koch: A Comparative Study of Rhizome and Leaf Essential Oils
Abstract
1. Introduction
2. Results
2.1. Micromorphological Analyses
2.2. Phytochemical Analyses
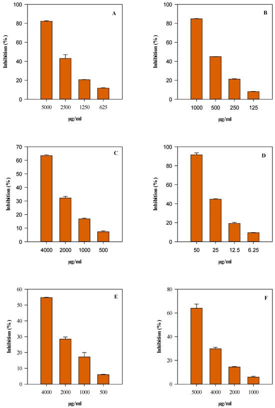
2.3. Biological Properties
3. Discussion
4. Materials and Methods
4.1. Plant Material
4.2. Micromorphological and Anatomical Investigation
4.3. Essential Oil Isolation
4.4. Phytochemical Characterization
4.5. Antioxidant and Anti-Inflammatory Assays
4.5.1. DPPH Radical Scavenging Assay
4.5.2. Trolox Equivalent Antioxidant Capacity (TEAC) Assay
4.5.3. Ferric-Reducing Antioxidant Power (FRAP) Assay
4.5.4. Oxygen Radical Absorbance Capacity (ORAC) Assay
4.5.5. Bovine Serum Albumin (BSA) Denaturation Assay
4.5.6. Protease Inhibition Assay
4.6. Antimicrobial Activity
4.7. Statistical Analysis
5. Conclusions
Author Contributions
Funding
Data Availability Statement
Acknowledgments
Conflicts of Interest
References
- Pignatti, S. Flora d’Italia; Edagricole: Bologna, Italy, 2017. [Google Scholar]
- Tutin, T.G.; Heywood, V.H.; Burges, N.A.; Moore, D.M.; Valentine, D.H.; Walters, S.M.; Webb, D.A. Flora Europaea; Cambridge University Press: Cambridge, UK, 1993. [Google Scholar]
- De Viribus Herbarum. Available online: https://archive.org/details/deviribusherbaru00mace/page/64/mode/2up (accessed on 30 December 2024).
- Brioschi, C.A. Botanical and Ethnobotanical Studies in Peucedanum ostruthium (Apiaceae) from the Upper Saastal: Variability of Morphology and Coumarin Components, and Use as a Medicinal Plant; Institute of Systematic and Evolutionary Botany, University of Zürich: Zürich, Switzerland, 2020. [Google Scholar]
- Waldbauer, K. Erstellung der Monographien „Safran” und „Meisterwurz” für das Österreichische Arzneibuch. Master’s Thesis, University of Vienna, Vienna, Austria, 2011. [Google Scholar]
- Coulter, J.M.; Rose, J.N. Monograph of the North American Umbelliferae. In Systematic and Geographic Botany and Aboriginal Uses of Plants; Contributions from the United States National Herbarium; Government Printing Office: Washington, DC, USA, 1900; pp. 9–256. [Google Scholar]
- Madaus, G. Lehrbuch der Biologischen Heilmittel; Georg Thieme-Verlag: Leipzig, Germany, 1938. [Google Scholar]
- Rando, M.T.; Servettaz, O. Ricerche sull’uso delle piante medicinali in Val Rendena: Researches on the Usage of Medicinal Plants in Val Rendena. Webbia 1979, 33, 511–529. [Google Scholar] [CrossRef]
- Christanell, A.; Vogl-Lukasser, B.; Vogl, C.R.; Gütler, M. The Cultural Significance of Wild-Gathered Plant Species in Kartitsch (Eastern Tyrol, Austria) and the Influence of Socioeconomic Changes on Local Gathering Practices. In Ethnobotany in the New Europe: People, Health and Wild Plant Resources; Pardo-de-Santayana, M., Pieroni, A., Puri, R.K., Eds.; Berghahn Books: New York, NY, USA, 2010; pp. 51–75. [Google Scholar]
- Grabowski, M. „Meisterwurz und Aderlass”: Anwendung und Wandel des Ethnoveterinärmedizinischen Wissens im Großen Walsertal/Vorarlberg unter Hervorhebung der Pflanzlichen Hausmittel und des Religiösen Brauchtums. Ph.D. Thesis, University of Vienna, Vienna, Austria, 2010. [Google Scholar]
- de Vahl, E.; Mattalia, G.; Svanberg, I. “Cow Healers Use It for Both Horses and Cattle”: The Rise and Fall of the Ethnoveterinary Use of Peucedanum ostruthium (L.) Koch (Fam. Apiaceae) in Sweden. Plants 2023, 12, 116. [Google Scholar] [CrossRef] [PubMed]
- Adams, M.; Berset, C.; Kessler, M.; Hamburger, M. Medicinal Herbs for the Treatment of Rheumatic Disorders—A Survey of European Herbals from the 16th and 17th Century. J. Ethnopharmacol. 2009, 121, 343–359. [Google Scholar] [CrossRef] [PubMed]
- Adams, M.; Alther, W.; Kessler, M.; Kluge, M.; Hamburger, M. Malaria in the Renaissance: Remedies from European Herbals from the 16th and 17th Century. J. Ethnopharmacol. 2011, 133, 278–288. [Google Scholar] [CrossRef]
- Vitalini, S.; Puricelli, C.; Mikerezi, I.; Iriti, M. Plants, People and Traditions: Ethnobotanical Survey in the Lombard Stelvio National Park and Neighbouring Areas (Central Alps, Italy). J. Ethnopharmacol. 2015, 173, 435–458. [Google Scholar] [CrossRef] [PubMed]
- Danna, C.; Poggio, L.; Smeriglio, A.; Mariotti, M.; Cornara, L. Ethnomedicinal and Ethnobotanical Survey in the Aosta Valley Side of the Gran Paradiso National Park (Western Alps, Italy). Plants 2022, 11, 170. [Google Scholar] [CrossRef]
- Petelka, J.; Plagg, B.; Säumel, I.; Zerbe, S. Traditional Medicinal Plants in South Tyrol (Northern Italy, Southern Alps): Biodiversity and Use. J. Ethnobiol. Ethnomed. 2020, 16, 74. [Google Scholar] [CrossRef]
- Abbet, C.; Mayor, R.; Roguet, D.; Spichiger, R.; Hamburger, M.; Potterat, O. Ethnobotanical Survey on Wild Alpine Food Plants in Lower and Central Valais (Switzerland). J. Ethnopharmacol. 2014, 151, 624–634. [Google Scholar] [CrossRef]
- Wegmann, U. Ethnobotanik im Prättigau: Medizinalpflanzen–Nutzung und Wissen. Master’s Thesis, University of Zürich, Zürich, Switzerland, 2013. [Google Scholar]
- Dal Cero, M. Swiss Medicinal Flora: A Result of Knowledge Transmission over the Last Two Millennia. Master’s Thesis, University of Zürich, Zürich, Switzerland, 2016. [Google Scholar]
- Stucki, K.; Dal Cero, M.; Vogl, C.R.; Ivemeyer, S.; Meier, B.; Maeschli, A.; Hamburger, M.; Walkenhorst, M. Ethnoveterinary Contemporary Knowledge of Farmers in Pre-Alpine and Alpine Regions of the Swiss Cantons of Bern and Lucerne Compared to Ancient and Recent Literature—Is There a Tradition? J. Ethnopharmacol. 2019, 234, 225–244. [Google Scholar] [CrossRef]
- Grasser, S.; Schunko, C.; Vogl, C.R. Gathering “Tea”—From Necessity to Connectedness with Nature. Local Knowledge About Wild Plant Gathering in the Biosphere Reserve Grosses Walsertal (Austria). J. Ethnobiol. Ethnomed. 2012, 8, 31. [Google Scholar] [CrossRef]
- Vitalini, S.; Palmioli, A.; Orlando, F.; Scarì, G.; Airoldi, C.; De Noni, I.; Bocchi, S.; Iriti, M. Phytotoxicity, Nematicidal Activity and Chemical Constituents of Peucedanum ostruthium (L.) W.D.J.Koch (Apiaceae). Ind. Crops Prod. 2021, 166, 113499. [Google Scholar] [CrossRef]
- Danna, C.; Bazzicalupo, M.; Ingegneri, M.; Smeriglio, A.; Trombetta, D.; Burlando, B.; Cornara, L. Anti-Inflammatory and Wound Healing Properties of Leaf and Rhizome Extracts from the Medicinal Plant Peucedanum ostruthium (L.) W.D.J.Koch. Molecules 2022, 27, 4271. [Google Scholar] [CrossRef]
- Lammel, C.; Zwirchmayr, J.; Seigner, J.; Rollinger, J.M.; de Martin, R. Peucedanum ostruthium Inhibits E-Selectin and VCAM-1 Expression in Endothelial Cells Through Interference with NF-κB Signaling. Biomolecules 2020, 10, 1215. [Google Scholar] [CrossRef] [PubMed]
- McCardell, J.H.; Héritier, J.; Simonnet, X.; Carlen, C.P. Peucedanum ostruthium (L.) Koch: Morphological and Phytochemical Variability of Twelve Accessions from the Swiss Alpine Region. Julius-Kühn-Archiv 2016, 453, 121–123. [Google Scholar]
- Nani, M.; Leone, A.; Bom, V.P.; Buszinski, A.F.; Oliveira de Souza, R.; Pinheiro, V.A.; Danapoulos, P.; Swikidisa, R.; Marquele-Oliveira, F.; Frade, M.A.C.; et al. Evaluation and Comparison of Wound Healing Properties of an Ointment (AlpaWash) Containing Brazilian Micronized Propolis and Peucedanum ostruthium Leaf Extract in Skin Ulcer in Rats. Int. J. Pharm. Compd. 2018, 22, 154–163. [Google Scholar]
- Palmioli, A.; Bertuzzi, S.; De Luigi, A.; Colombo, L.; La Ferla, B.; Salmona, M.; De Noni, I.; Airoldi, C. BioNMR-Based Identification of Natural Anti-Aβ Compounds in Peucedanum ostruthium. Bioorg. Chem. 2019, 83, 76–86. [Google Scholar] [CrossRef] [PubMed]
- Schinkovitz, A.; Gibbons, S.; Stavri, M.; Cocksedge, M.J.; Bucar, F. Ostruthin: An Antimycobacterial Coumarin from the Roots of Peucedanum ostruthium. Planta Med. 2003, 69, 369–371. [Google Scholar] [CrossRef]
- Šimunović, K.; Solnier, J.; Alperth, F.; Kunert, O.; Smole Možina, S.; Bucar, F. Efflux Pump Inhibition and Resistance Modulation in Mycobacterium smegmatis by Peucedanum ostruthium and Its Coumarins. Antibiotics 2021, 10, 1075. [Google Scholar] [CrossRef]
- Urbain, A.; Marston, A.; Hostettmann, K. Coumarins from Peucedanum ostruthium as Inhibitors of Acetylcholinesterase. Pharm. Biol. 2005, 43, 647–650. [Google Scholar] [CrossRef]
- Vogl, S.; Zehl, M.; Picker, P.; Urban, E.; Wawrosch, C.; Reznicek, G.; Saukel, J.; Kopp, B. Identification and Quantification of Coumarins in Peucedanum ostruthium (L.) Koch by HPLC-DAD and HPLC-DAD-MS. J. Agric. Food Chem. 2011, 59, 4371–4377. [Google Scholar] [CrossRef]
- Vogl, S.; Picker, P.; Mihaly-Bison, J.; Fakhrudin, N.; Atanasov, A.G.; Heiss, E.H.; Wawrosch, C.; Reznicek, G.; Dirsch, V.M.; Saukel, J.; et al. Ethnopharmacological In Vitro Studies on Austria’s Folk Medicine—An Unexplored Lore. In Vitro Anti-Inflammatory Activities of 71 Austrian Traditional Herbal Drugs. J. Ethnopharmacol. 2013, 149, 750–771. [Google Scholar] [CrossRef] [PubMed]
- Zimecki, M.; Artym, J.; Cisowski, W.; Mazol, I.; Włodarczyk, M.; Gleńsk, M. Immunomodulatory and Anti-Inflammatory Activity of Selected Osthole Derivatives. Z. Naturforsch. C 2009, 64, 361–368. [Google Scholar] [CrossRef] [PubMed]
- Zwirchmayr, J.; Grienke, U.; Hummelbrunner, S.; Seigner, J.; de Martin, R.; Dirsch, V.M.; Rollinger, J.M. A Biochemometric Approach for the Identification of In Vitro Anti-Inflammatory Constituents in Masterwort. Biomolecules 2020, 10, 679. [Google Scholar] [CrossRef] [PubMed]
- Rauwald, H.W.; Brehm, O.; Odenthal, K.P. Screening of Nine Vasoactive Medicinal Plants for Their Possible Calcium Antagonistic Activity. Strategy of Selection and Isolation for the Active Principles of Olea europaea and Peucedanum ostruthium. Phytother. Res. 1994, 8, 135–140. [Google Scholar] [CrossRef]
- Zimmermann, S.; Thomi, S.; Kaiser, M.; Hamburger, M.; Adams, M. Screening and HPLC-Based Activity Profiling for New Antiprotozoal Leads from European Plants. Sci. Pharm. 2012, 80, 205–213. [Google Scholar] [CrossRef]
- Khalid, S.A.; Farouk, A.; Geary, T.G.; Jensen, J.B. Potential Antimalarial Candidates from African Plants: An In Vitro Approach Using Plasmodium falciparum. J. Ethnopharmacol. 1986, 15, 201–209. [Google Scholar] [CrossRef]
- Joa, H.; Vogl, S.; Atanasov, A.G.; Zehl, M.; Nakel, T.; Fakhrudin, N.; Heiss, E.H.; Picker, P.; Urban, E.; Wawrosch, C.; et al. Identification of Ostruthin from Peucedanum ostruthium Rhizomes as an Inhibitor of Vascular Smooth Muscle Cell Proliferation. J. Nat. Prod. 2011, 74, 1513–1516. [Google Scholar] [CrossRef]
- Gökay, O.; Kühner, D.; Los, M.; Götz, F.; Bertsche, U.; Albert, K. An Efficient Approach for the Isolation, Identification and Evaluation of Antimicrobial Plant Components on an Analytical Scale, Demonstrated by the Example of Radix imperatoriae. Anal. Bioanal. Chem. 2010, 398, 2039–2047. [Google Scholar] [CrossRef]
- Hadaček, F.; Müller, C.; Werner, A.; Greger, H.; Proksch, P. Analysis, Isolation and Insecticidal Activity of Linear Furanocoumarins and Other Coumarin Derivatives from Peucedanum (Apiaceae: Apioideae). J. Chem. Ecol. 1994, 20, 2035–2054. [Google Scholar] [CrossRef]
- Hiermann, A.; Schantl, D. Antiphlogistic and Antipyretic Activity of Peucedanum ostruthium. Planta Med. 1998, 64, 400–403. [Google Scholar] [CrossRef]
- Hiermann, A.; Schantl, D.; Schubert-Zsilavecz, M.; Reiner, J. Coumarins from Peucedanum ostruthium. Phytochemistry 1996, 43, 881–883. [Google Scholar] [CrossRef]
- Hörhammer, L.; Wagner, H.; Heydweiller, D. Hesperidin aus dem Rhizom von Peucedanum ostruthium. Phytochemistry 1969, 8, 1605. [Google Scholar] [CrossRef]
- Jarząb, A.; Grabarska, A.; Skalicka-Woźniak, K.; Stepulak, A. Pharmacological Features of Osthole. Postepy Hyg. Med. Dosw. 2017, 71, 411–421. [Google Scholar] [CrossRef]
- Sarkhail, P. Traditional Uses, Phytochemistry and Pharmacological Properties of the Genus Peucedanum: A Review. J. Ethnopharmacol. 2014, 156, 235–270. [Google Scholar] [CrossRef]
- Carron, C.; Simonnet, X.; McCardell, J.H.; Héritier, J.; Carlen, C. Sélection d’un Écotype d’impératoire (Peucedanum ostruthium (L.) W.D.J. Koch). Rev. Suisse Agric. 2020, 52, 96–103. [Google Scholar]
- Cisowski, W.; Sawicka, U.; Mardarowicz, M.; Asztemborska, M.; Luczkiewicz, M. Essential Oil from Herb and Rhizome of Peucedanum ostruthium (L. Koch.) ex DC. Z. Naturforsch. C 2001, 56, 930–932. [Google Scholar] [CrossRef] [PubMed]
- Garzoli, S.; Iriti, M.; Vitalini, S. Chemical Composition, Antiradical and Phytotoxic Activity of the Essential Oil from Peucedanum ostruthium W.D.J.Koch Leaves. J. Phytomol. Pharmacol. 2022, 1, 88–95. [Google Scholar] [CrossRef]
- Stešević, D.; Božović, M.; Tadić, V.; Rančić, D.; Stevanović, Z.D. Plant-Part Anatomy Related Composition of Essential Oils and Phenolic Compounds in Chaerophyllum coloratum, a Balkan Endemic Species. Flora 2016, 220, 37–51. [Google Scholar] [CrossRef]
- Talamond, P.; Verdeil, J.L.; Conéjéro, G. Secondary Metabolite Localization by Autofluorescence in Living Plant Cells. Molecules 2015, 20, 5024–5037. [Google Scholar] [CrossRef]
- García-Plazaola, J.I.; Fernández-Marín, B.; Duke, S.O.; Hernández, A.; López-Arbeloa, F.; Becerril, J.M. Autofluorescence: Biological Functions and Technical Applications. Plant Sci. 2015, 236, 136–145. [Google Scholar] [CrossRef]
- Brundrett, M.C.; Kendrick, B.; Peterson, C.A. Efficient Lipid Staining in Plant Material with Sudan Red 7B or Fluoral Yellow 088 in Polyethylene Glycol-Glycerol. Biotech. Histochem. 1991, 66, 111–116. [Google Scholar] [CrossRef] [PubMed]
- Copetta, A.; Bazzicalupo, M.; Cassetti, A.; Marchioni, I.; Mascarello, C.; Cornara, L.; Pistelli, L.; Ruffoni, B. Plant Production and Leaf Anatomy of Mertensia maritima (L.) Gray: Comparison of In Vitro Culture Methods to Improve Acclimatization. Horticulturae 2021, 7, 111. [Google Scholar] [CrossRef]
- Della Rocca, G.; Papini, A.; Posarelli, I.; Barberini, S.; Tani, C.; Danti, R.; Moricca, S. Ultrastructure of Terpene and Polyphenol Synthesis in the Bark of Cupressus sempervirens after Seiridium cardinale Infection. Front. Microbiol. 2022, 13, 886331. [Google Scholar] [CrossRef] [PubMed]
- Giuliani, C.; Pieraccini, G.; Santilli, C.; Tani, C.; Bottoni, M.; Schiff, S.; Fico, G.; Papini, A.; Falsini, S. Anatomical Investigation and GC-MS Analysis of “Coco de Mer”, Lodoicea maldivica (J.F. Gmel.) Pers. (Arecaceae). Chem. Biodivers. 2020, 17, e2000271. [Google Scholar] [CrossRef]
- Chieco, C.; Rotondi, A.; Morrone, L.; Rapparini, F.; Baraldi, R. An Ethanol-Based Fixation Method for Anatomical and Micro-Morphological Characterization of Leaves of Various Tree Species. Biotech. Histochem. 2013, 88, 109–119. [Google Scholar] [CrossRef]
- Conseil_de_l’Europe. Pharmacopée Européenne/Publiée Sous la Direction du Conseil de l’Europe (Accord Partiel) Selon la Convention sur l’Élaboration d’une Pharmacopée Européenne; Conseil de l’Europe: Strasbourg, France, 1996. [Google Scholar]
- Smeriglio, A.; Alloisio, S.; Barbieri, R.; Ingegneri, M.; Malaspina, P.; Burlando, B.; Cornara, L.; Trombetta, D. The Essential Oil of Citrus lumia Risso and Poit. ‘Pyriformis’ Shows Promising Antioxidant, Anti-Inflammatory, and Neuromodulatory Effects. Int. J. Mol. Sci. 2023, 24, 5534. [Google Scholar] [CrossRef]
- Adams, R.P. Identification of Essential Oil Components by Gas Chromatography/Mass Spectroscopy, 4th ed.; Allured Publishing Corporation: Carol Stream, IL, USA, 2007. [Google Scholar]
- Smeriglio, A.; Trombetta, D.; Cornara, L.; Malaspina, P.; Ingegneri, M.; Di Gristina, E.; Bajona, E.; Polito, F.; De Feo, V. Pharmacognostic Study of the Leaves of Ptilostemon greuteri Raimondo & Domina, a Rare Sicilian Paleoendemic Species. Plants 2025, 14, 370. [Google Scholar] [CrossRef]
- CLSI M100-S22; Performance Standards for Antimicrobial Susceptibility Testing; Twentieth Informational Supplement. Clinical and Laboratory Standards Institute: Wayne, PA, USA, 2012.
- CLSI M27-A3; Reference Method for Broth Dilution Antifungal Susceptibility Testing of Yeasts; Approved Standard. Clinical and Laboratory Standards Institute: Wayne, PA, USA, 2008.





| Compound | REO | LEO | KI a | Identification b |
|---|---|---|---|---|
| Octane, 2-methyl | 0.08 ± 0.00 | − | 925 | 1, 2 |
| β-Thujene | 0.97 ± 0.03 | − | 930 | 1, 2 |
| α-Pinene | 6.24 ± 0.08 | − | 939 | 1, 2, 3 |
| Camphene | 0.18 ± 0.01 | − | 954 | 1, 2, 3 |
| Dehydrosabinene | 0.06 ± 0.00 | − | 962 | 1, 2 |
| Sabinene | 19.77 ± 0.42 | − | 975 | 1, 2, 3 |
| β-Pinene | 1.00 ± 0.03 | − | 979 | 1, 2, 3 |
| β-Myrcene | 1.63 ± 0.02 | − | 990 | 1, 2, 3 |
| α-Phellandrene | 12.02 ± 0.33 | − | 1002 | 1, 2, 3 |
| Pseudolimonen | 0.30 ± 0.01 | − | 1004 | 1, 2 |
| 3-Carene | 0.22 ± 0.01 | − | 1008 | 1, 2, 3 |
| α-Terpinene | 0.73 ± 0.02 | − | 1017 | 1, 2, 3 |
| o-Cymene | 4.65 ± 0.11 | − | 1026 | 1, 2, 3 |
| D-limonene | 29.13 ± 0.52 | 2.71 ± 0.12 | 1029 | 1, 2, 3 |
| cis-β-Ocimene | 0.29 ± 0.01 | − | 1037 | 1, 2 |
| trans-β-Ocimene | 0.43 ± 0.02 | 1.16 ± 0.02 | 1050 | 1, 2 |
| γ-Terpinen | 1.87 ± 0.03 | − | 1059 | 1, 2, 3 |
| Terpinolen | 0.63 ± 0.02 | − | 1086 | 1, 2, 3 |
| o-Cymenene | 0.04 ± 0.00 | − | 1089 | 1, 2 |
| 6-Camphenone | 0.40 ± 0.01 | − | 1096 | 1, 2 |
| Terpinen-4-ol | 5.66 ± 0.12 | − | 1177 | 1, 2, 3 |
| trans-Piperitol | 0.28 ± 0.01 | − | 1208 | 1, 2 |
| cis-Sabinene hydrate | 0.50 ± 0.01 | − | 1221 | 1, 2, 3 |
| m-Cumenol | 1.09 ± 0.03 | − | 1224 | 1, 2 |
| (3E,5Z)-1,3,5-Undecatriene | 0.19 ± 0.01 | − | 1230 | 1, 2 |
| O-Methylthymol | 0.12 ± 0.00 | − | 1235 | 1, 2 |
| 2-Butenoic acid, 2-methyl,4 methylpenthyl ester, (E) | 0.68 ± 0.02 | − | 1265 | 1, 2 |
| δ-EIemene | 0.36 ± 0.01 | − | 1338 | 1, 2 |
| β-Bourbonene | − | 0.72 ± 0.02 | 1388 | 1, 2 |
| β-Elemene | 0.35 ± 0.01 | 0.29 ± 0.01 | 1390 | 1, 2, 3 |
| α-Bergamotene | 0.16 ± 0.00 | 1.50 ± 0.03 | 1412 | 1, 2 |
| β-Caryophyllene | − | 21.78 ± 0.85 | 1419 | 1, 2, 3 |
| β-Copaene | − | 1.81 ± 0.02 | 1421 | 1, 2 |
| Panaginsene | 0.17 ± 0.00 | − | 1425 | 1, 2 |
| β-Calarene | 0.16 ± 0.00 | − | 1433 | 1, 2 |
| γ-Elemene | 0.43 ± 0.01 | − | 1436 | 1, 2 |
| α-Caryophyllene (Humulene) | − | 13.95 ± 0.03 | 1438 | 1, 2, 3 |
| Aromandendrene | 0.46 ± 0.02 | 1.75 ± 0.02 | 1441 | 1, 2 |
| cis-Muurola-4(15),5-diene | − | 3.43 ± 0.01 | 1450 | 1, 2 |
| trans-Muurola-3,5-diene | − | 0.46 ± 0.02 | 1453 | 1, 2 |
| γ-Gurjunene | 0.19 ± 0.01 | − | 1477 | 1, 2 |
| γ-Muurolene | 0.09 ± 0.00 | − | 1479 | 1, 2 |
| Germacrene D | − | 10.43 ± 0.27 | 1481 | 1, 2 |
| β-Selinene | 1.03 ± 0.02 | 14.09 ± 0.38 | 1491 | 1, 2 |
| α-Selinene | − | 6.89 ± 0.23 | 1498 | 1, 2, 3 |
| Dihydro-β-agarofuran | 1.24 ± 0.02 | − | 1499 | 1, 2 |
| Bicylogermacrene | 1.67 ± 0.03 | − | 1500 | 1, 2 |
| α-Farnesene | − | 2.36 ± 0.05 | 1505 | 1, 2 |
| cis-Methyl eugenol | 0.39 ± 0.01 | − | 1508 | 1, 2 |
| δ-Guaiene | 0.17 ± 0.00 | − | 1509 | 1, 2 |
| Eremophilene | 0.94 ± 0.03 | − | 1510 | 1, 2 |
| γ-Cadinene | 0.11 ± 0.00 | − | 1513 | 1, 2 |
| δ-Amorphene | 0.38 ± 0.02 | − | 1515 | 1, 2 |
| Kessane | 1.28 ± 0.03 | − | 1530 | 1, 2 |
| α-Cadinene | − | 1.70 ± 0.03 | 1538 | 1, 2 |
| Spathulenol | 0.72 ± 0.02 | 6.71 ± 0.22 | 1578 | 1, 2, 3 |
| Isospathulenol | 0.54 ± 0.03 | − | 1580 | 1, 2 |
| Caryophyllene oxide | − | 3.59 ± 0.11 | 1583 | 1, 2, 3 |
| Muurola-4,10(14)-dien-1-β-ol | − | 4.68 ± 0.14 | 1631 | 1, 2 |
| Total | 100 | 100 | ||
| Monoterpene hydrocarbons | 80.08 | 3.87 | ||
| Oxygenated monoterpenes | 5.94 | - | ||
| Sesquiterpene hydrocarbons | 6.67 | 81.15 | ||
| Oxygenated sesquiterpenes | 2.54 | 14.98 | ||
| Others | 4.77 | 0 |
| Test | REO mg/mL | LEO mg/mL | RS a µg/mL |
|---|---|---|---|
| Trolox equivalent antioxidant capacity (TEAC) | 2.98 (2.47–3.59) | 1.03 (0.82–1.31) § | 4.41 (1.87–10.37) * |
| Ferric-reducing antioxidant power (FRAP) | 0.47 (0.41–0.54) | 0.21 (0.17–0.25) § | 3.66 (1.63–8.24) * |
| Oxygen radical absorbance capacity (ORAC) | 0.02 (0.01–0.06) | 0.008 (0.002–0.01) | 0.58 (0.16–2.21) * |
| 2,2-Diphenyl-1-picrylhydrazyl (DPPH) | 2.42 (1.29–4.53) | 0.61 (0.53–0.72) § | 9.44 (4.07–21.93) * |
| BSA denaturation assay (ADA) | 3.98 (3.06–5.16) | 0.92 (0.72–1.16) § | 20.84 (9.68–44.85) * |
| Protease inhibitory activity (PIA) | 4.91 (1.98–8.21) | 0.50 (0.25–1.02) § | 27.34 (15.41–48.52) * |
Disclaimer/Publisher’s Note: The statements, opinions and data contained in all publications are solely those of the individual author(s) and contributor(s) and not of MDPI and/or the editor(s). MDPI and/or the editor(s) disclaim responsibility for any injury to people or property resulting from any ideas, methods, instructions or products referred to in the content. |
© 2025 by the authors. Licensee MDPI, Basel, Switzerland. This article is an open access article distributed under the terms and conditions of the Creative Commons Attribution (CC BY) license (https://creativecommons.org/licenses/by/4.0/).
Share and Cite
Danna, C.; Mainetti, A.; Belaid, S.; La Camera, E.; Trombetta, D.; Cornara, L.; Smeriglio, A. Unveiling the Pharmacognostic Potential of Peucedanum ostruthium (L.) W.D.J. Koch: A Comparative Study of Rhizome and Leaf Essential Oils. Plants 2025, 14, 2047. https://doi.org/10.3390/plants14132047
Danna C, Mainetti A, Belaid S, La Camera E, Trombetta D, Cornara L, Smeriglio A. Unveiling the Pharmacognostic Potential of Peucedanum ostruthium (L.) W.D.J. Koch: A Comparative Study of Rhizome and Leaf Essential Oils. Plants. 2025; 14(13):2047. https://doi.org/10.3390/plants14132047
Chicago/Turabian StyleDanna, Cristina, Andrea Mainetti, Souda Belaid, Erminia La Camera, Domenico Trombetta, Laura Cornara, and Antonella Smeriglio. 2025. "Unveiling the Pharmacognostic Potential of Peucedanum ostruthium (L.) W.D.J. Koch: A Comparative Study of Rhizome and Leaf Essential Oils" Plants 14, no. 13: 2047. https://doi.org/10.3390/plants14132047
APA StyleDanna, C., Mainetti, A., Belaid, S., La Camera, E., Trombetta, D., Cornara, L., & Smeriglio, A. (2025). Unveiling the Pharmacognostic Potential of Peucedanum ostruthium (L.) W.D.J. Koch: A Comparative Study of Rhizome and Leaf Essential Oils. Plants, 14(13), 2047. https://doi.org/10.3390/plants14132047

