Identification of Maize Kernel Varieties Using LF-NMR Combined with Image Data: An Explainable Approach Based on Machine Learning
Abstract
1. Introduction
2. Materials and Methods
2.1. Material Preparation
2.2. Data Acquisition
2.2.1. Image Data Acquisition
2.2.2. LF-NMR Data Acquisition
2.3. Experimental Procedure
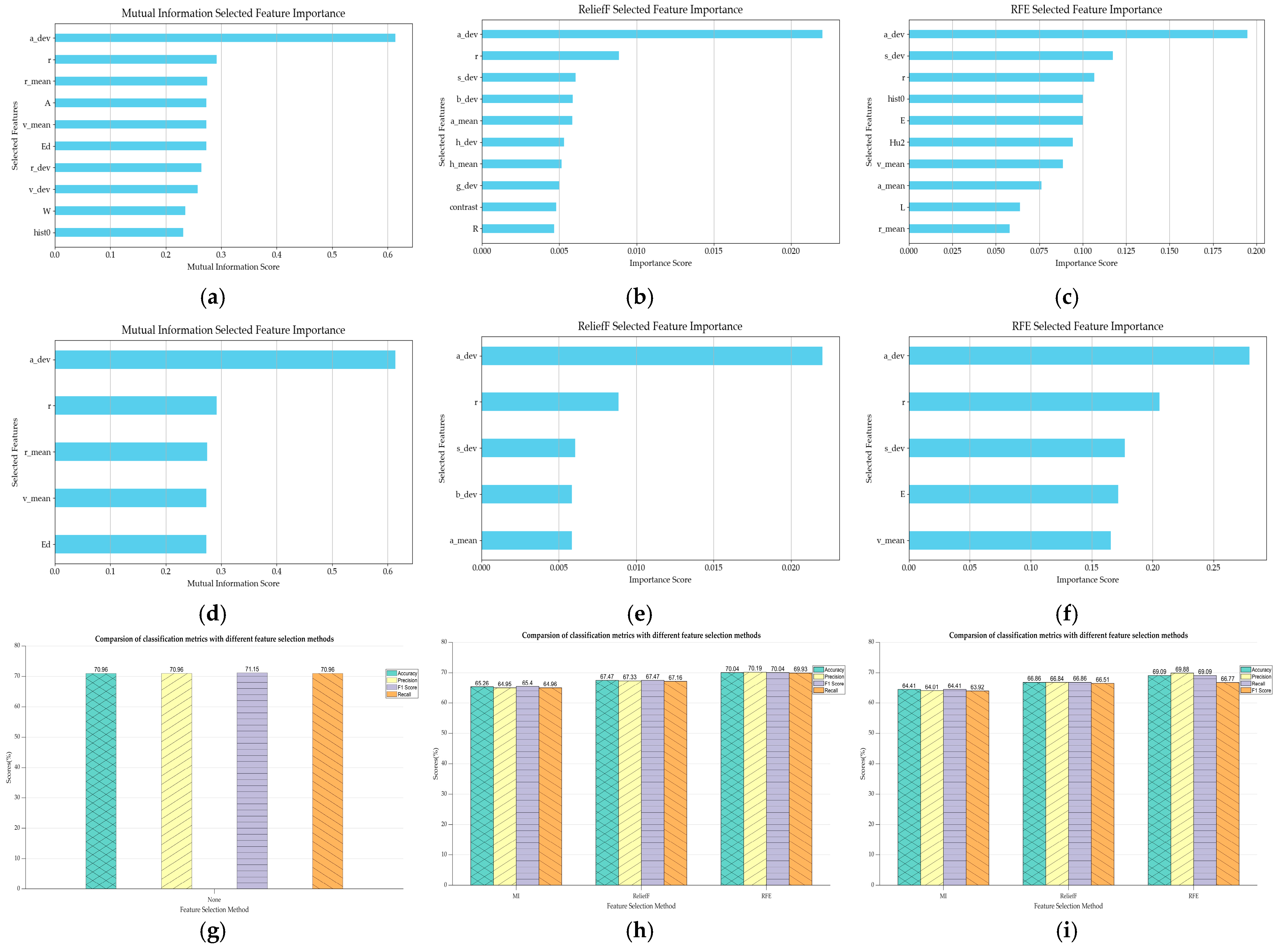
2.4. Feature Selection
2.5. Data Analysis and Modeling Methods
2.5.1. Principal Component Analysis (PCA)
2.5.2. Improved Differential Evolution Algorithm
3. Results
3.1. Feature Analysis
3.2. Results of PCA
3.3. Model Performance Evaluation
3.4. Model Interpretation
4. Discussion
5. Conclusions
Author Contributions
Funding
Data Availability Statement
Acknowledgments
Conflicts of Interest
References
- Tyczewska, A.; Woźniak, E.; Gracz, J.; Kuczyński, J.; Twardowski, T. Towards food security: Current state and future prospects of agrobiotechnology. Trends Biotechnol. 2018, 36, 1219–1229. [Google Scholar] [CrossRef] [PubMed]
- McDonald, M.F.; Copeland, L.O. Seed Production: Principles and Practices; Springer Science & Business Media: Berlin/Heidelberg, Germany, 2012. [Google Scholar]
- Huang, M.; Tang, J.; Yang, B.; Zhu, Q. Classification of maize seeds of different years based on hyperspectral imaging and model updating. Comput. Electron. Agric. 2016, 122, 139–145. [Google Scholar] [CrossRef]
- Kang, S.; Hao, X.; Du, T.; Tong, L.; Su, X.; Lu, H.; Li, X.; Huo, Z.; Li, S.; Ding, R. Improving agricultural water productivity to ensure food security in China under changing environment: From research to practice. Agric. Water Manag. 2017, 179, 5–17. [Google Scholar] [CrossRef]
- Liu, S.; Zhang, H.; Wang, Z.; Zhang, C.; Li, Y.; Wang, J. Determination of maize seed purity based on multi-step clustering. Appl. Eng. Agric. 2018, 34, 659. [Google Scholar] [CrossRef]
- Setimela, P.S.; Warburton, M.L.; Erasmus, T. DNA fingerprinting of open-pollinated maize seed lots to establish genetic purity using simple sequence repeat markers. S. Afr. J. Plant Soil 2016, 33, 141–148. [Google Scholar] [CrossRef]
- Lesiak, A.D.; Cody, R.B.; Dane, A.J.; Musah, R.A. Plant seed species identification from chemical fingerprints: A high-throughput application of direct analysis in real time mass spectrometry. Anal. Chem. 2015, 87, 8748–8757. [Google Scholar] [CrossRef] [PubMed]
- Urugo, M.M.; Yohannis, E.; Teka, T.A.; Gemede, H.F.; Tola, Y.B.; Forsido, S.F.; Tessema, A.; Suraj, M.; Abdu, J. Addressing post-harvest losses through agro-processing for sustainable development in Ethiopia. J. Agric. Food Res. 2024, 18, 101316. [Google Scholar] [CrossRef]
- Xu, P.; Yang, R.; Zeng, T.; Zhang, J.; Zhang, Y.; Tan, Q. Varietal classification of maize seeds using computer vision and machine learning techniques. J. Food Process Eng. 2021, 44, e13846. [Google Scholar] [CrossRef]
- Dönmez, E. Enhancing classification capacity of CNN models with deep feature selection and fusion: A case study on maize seed classification. Data Knowl. Eng. 2022, 141, 102075. [Google Scholar] [CrossRef]
- Sabanci, K.; Aslan, M.F.; Ropelewska, E.; Unlersen, M.F. A convolutional neural network-based comparative study for pepper seed classification: Analysis of selected deep features with support vector machine. J. Food Process Eng. 2022, 45, e13955. [Google Scholar] [CrossRef]
- Guo, D.; Zhu, Q.; Huang, M.; Guo, Y.; Qin, J. Model updating for the classification of different varieties of maize seeds from different years by hyperspectral imaging coupled with a pre-labeling method. Comput. Electron. Agric. 2017, 142, 1–8. [Google Scholar] [CrossRef]
- Bi, C.; Zhang, S.; Chen, H.; Bi, X.; Liu, J.; Xie, H.; Yu, H.; Song, S.; Shi, L. Non-Destructive Classification of Maize Seeds Based on RGB and Hyperspectral Data with Improved Grey Wolf Optimization Algorithms. Agronomy 2024, 14, 645. [Google Scholar] [CrossRef]
- Ang, K.L.-M.; Seng, J.K.P. Big data and machine learning with hyperspectral information in agriculture. IEEE Access 2021, 9, 36699–36718. [Google Scholar] [CrossRef]
- Consonni, R.; Cagliani, L.R. Quality assessment of traditional food by NMR analysis. Food Control 2022, 142, 109226. [Google Scholar] [CrossRef]
- Xu, L.; Zhao, Y.; Xu, M.; Yao, Y.; Wu, N.; Du, H.; Tu, Y. Changes in physico-chemical properties, microstructure, protein structures and intermolecular force of egg yolk, plasma and granule gels during salting. Food Chem. 2019, 275, 600–609. [Google Scholar] [CrossRef] [PubMed]
- Abrami, M.; Chiarappa, G.; Farra, R.; Grassi, G.; Marizza, P.; Grassi, M. Use of low field NMR for the characterization of gels and biological tissues. ADMET DMPK 2018, 6, 34–46. [Google Scholar] [CrossRef]
- Montes, L.F.; Oliveira, E.C.; Neto, Á.C.; Menezes, S.M.; Castro, E.R.; Barbosa, L.L. Low-field NMR: A new alternative to determine the aromatic content of petroleum distillates. Fuel 2019, 239, 413–420. [Google Scholar] [CrossRef]
- Tang, M.; Zhang, T.; Ma, Y.; Hao, D.; Yang, X.; Li, Y. Experimental study on fracture effect on the multiphase flow in ultra-low permeability sandstone based on LF-NMR. Geoenergy Sci. Eng. 2023, 222, 211399. [Google Scholar] [CrossRef]
- Wang, L.; Li, X.; Shen, J.; Li, J.; Wang, W. Aging characterizations of modified asphalt binders based on low field nuclear magnetic resonance (LF-NMR). Materials 2022, 15, 8224. [Google Scholar] [CrossRef]
- Sun, Z. Study on water absorption of cement-based materials containing water repellent by using low-field nuclear magnetic resonance. J. Phys. Conf. Ser. 2024, 2825, 012041. [Google Scholar]
- Marcone, M.F.; Wang, S.; Albabish, W.; Nie, S.; Somnarain, D.; Hill, A. Diverse food-based applications of nuclear magnetic resonance (NMR) technology. Food Res. Int. 2013, 51, 729–747. [Google Scholar] [CrossRef]
- Zhang, Q.; Saleh, A.S.M.; Shen, Q. Discrimination of Edible Vegetable Oil Adulteration with Used Frying Oil by Low Field Nuclear Magnetic Resonance. Food Bioprocess Technol. 2012, 6, 2562–2570. [Google Scholar] [CrossRef]
- Huang, Z.M.; Xin, J.X.; Sun, S.S.; Li, Y.; Wei, D.X.; Zhu, J.; Wang, X.L.; Wang, J.; Yao, Y.F. Rapid Identification of Adulteration in Edible Vegetable Oils Based on Low-Field Nuclear Magnetic Resonance Relaxation Fingerprints. Foods 2021, 10, 3068. [Google Scholar] [CrossRef] [PubMed]
- Miaw, C.S.W.; Santos, P.M.; Silva, A.R.C.S.; Gozzi, A.; Guimarães, N.C.C.; Callao, M.P.; Ruisánchez, I.; Sena, M.M.; de Souza, S.V.C. Comparison of Different Multivariate Classification Methods for the Detection of Adulterations in Grape Nectars by Using Low-Field Nuclear Magnetic Resonance. Food Anal. Methods 2019, 13, 108–118. [Google Scholar] [CrossRef]
- Shao, X.; Li, Y. Classification and Prediction by LF NMR. Food Bioprocess Technol. 2010, 5, 1817–1823. [Google Scholar] [CrossRef]
- Fu, Y.; Wang, Y.; Lin, W.; Deng, Y.; Sun, H.; Yu, Y.; Lan, Y.; Cai, H.; Sun, Q. A novel non-destructive detection of deteriorative dried longan fruits using machine learning algorithms based on low field nuclear magnetic resonance. J. Food Meas. Charact. 2021, 16, 652–661. [Google Scholar] [CrossRef]
- Zhao, S.; Zhao, M.; Qi, L.; Li, D.; Wang, X.; Li, Z.; Hu, M.; Fan, K. Detection of Ginkgo biloba seed defects based on feature adaptive learning and nuclear magnetic resonance technology. J. Plant Dis. Prot. 2024, 131, 2111–2124. [Google Scholar] [CrossRef]
- Song, P.; Yue, X.; Gu, Y.; Yang, T. Assessment of maize seed vigor under saline-alkali and drought stress based on low field nuclear magnetic resonance. Biosyst. Eng. 2022, 220, 135–145. [Google Scholar] [CrossRef]
- Ribeiro, R.d.O.R.; Mársico, E.T.; Carneiro, C.d.S.; Monteiro, M.L.G.; Conte Júnior, C.A.; Mano, S.; de Jesus, E.F.O. Classification of Brazilian honeys by physical and chemical analytical methods and low field nuclear magnetic resonance (LF 1H NMR). LWT—Food Sci. Technol. 2014, 55, 90–95. [Google Scholar] [CrossRef]
- Bi, C.; Tian, Q.; Chen, H.; Meng, X.; Wang, H.; Liu, W.; Jiang, J. Optimizing a Multi-Layer Perceptron Based on an Improved Gray Wolf Algorithm to Identify Plant Diseases. Mathematics 2023, 11, 3312. [Google Scholar] [CrossRef]
- Vishwarupe, V.; Joshi, P.M.; Mathias, N.; Maheshwari, S.; Mhaisalkar, S.; Pawar, V. Explainable AI and interpretable machine learning: A case study in perspective. Procedia Comput. Sci. 2022, 204, 869–876. [Google Scholar] [CrossRef]
- Charytanowicz, M. Explainable Ensemble Machine Learning for Wheat Grain Identification. In Proceedings of the 2023 IEEE International Conference on Data Mining Workshops (ICDMW), Shanghai, China, 1–4 December 2023; pp. 903–911. [Google Scholar]
- Shamsuddin, D.; Danilevicz, M.F.; Al-Mamun, H.A.; Bennamoun, M.; Edwards, D. Multimodal Deep Learning Integration of Image, Weather, and Phenotypic Data Under Temporal Effects for Early Prediction of Maize Yield. Remote Sens. 2024, 16, 4043. [Google Scholar] [CrossRef]
- Chi, J.; Bu, X.; Zhang, X.; Wang, L.; Zhang, N. Insights into Cottonseed Cultivar Identification Using Raman Spectroscopy and Explainable Machine Learning. Agriculture 2023, 13, 768. [Google Scholar] [CrossRef]
- Gupta, P.; Rustam, F.; Kanwal, K.; Aljedaani, W.; Alfarhood, S.; Safran, M.; Ashraf, I. Detecting thyroid disease using optimized machine learning model based on differential evolution. Int. J. Comput. Intell. Syst. 2024, 17, 3. [Google Scholar] [CrossRef]
- Shao, C.; Cheng, F.; Mao, S.; Hu, J. Vehicle Intelligent Classification Based on Big Multimodal Data Analysis and Sparrow Search Optimization. Big Data 2022, 10, 547–558. [Google Scholar] [CrossRef] [PubMed]
- Tian, L.; Shang, C.; Li, M.; Wang, Y. Research on Classification of Water Stress State of Plant Electrical Signals Based on PSO-SVM. IEEE Access 2023, 11, 125021–125032. [Google Scholar] [CrossRef]
- Li, W.; Peng, Y.; Peng, K. Diabetes prediction model based on GA-XGBoost and stacking ensemble algorithm. PLoS ONE 2024, 19, e0311222. [Google Scholar] [CrossRef]
- Sudha, R.; Maheswari, K.M.U. Automatic lung cancer detection using hybrid particle snake swarm optimization with optimized mask RCNN. Multimed. Tools Appl. 2024, 83, 76807–76831. [Google Scholar] [CrossRef]
- Abdi, H.; Williams, L.J. Principal component analysis. Wiley Interdiscip. Rev. Comput. Stat. 2010, 2, 433–459. [Google Scholar] [CrossRef]
- Hsu, C.-W.; Lin, C.-J. A comparison of methods for multiclass support vector machines. IEEE Trans. Neural Netw. 2002, 13, 415–425. [Google Scholar] [PubMed]
- Zhang, F.; Deb, C.; Lee, S.E.; Yang, J.; Shah, K.W. Time series forecasting for building energy consumption using weighted Support Vector Regression with differential evolution optimization technique. Energy Build. 2016, 126, 94–103. [Google Scholar] [CrossRef]
- Zhang, L.; Xie, Y.; Luan, X.; Zhang, X. Multi-source heterogeneous data fusion. In Proceedings of the 2018 International Conference on Artificial Intelligence and Big Data (ICAIBD), Chengdu, China, 26–28 May 2018; pp. 47–51. [Google Scholar]
- Mirjalili, S.; Mirjalili, S.M.; Lewis, A. Grey wolf optimizer. Adv. Eng. Softw. 2014, 69, 46–61. [Google Scholar] [CrossRef]
- Eberhart, R.; Kennedy, J. Particle swarm optimization. In Proceedings of the IEEE International Conference on Neural Networks, Perth, WA, Australia, 27 November–1 December 1995; pp. 1942–1948. [Google Scholar]
- Xue, J.; Shen, B. A novel swarm intelligence optimization approach: Sparrow search algorithm. Syst. Sci. Control Eng. 2020, 8, 22–34. [Google Scholar] [CrossRef]
- Kamal, T.; Cheng, S.; Khan, I.A.; Nawab, K.; Zhang, T.; Song, Y.; Wang, S.; Nadeem, M.; Riaz, M.; Khan, M.A.U. Potential uses of LF-NMR and MRI in the study of water dynamics and quality measurement of fruits and vegetables. J. Food Process. Preserv. 2019, 43, e14202. [Google Scholar] [CrossRef]
- Sivakumar, R.; Lee, N.Y. Recent progress in smartphone-based techniques for food safety and the detection of heavy metal ions in environmental water. Chemosphere 2021, 275, 130096. [Google Scholar] [CrossRef]
- Qiao, S.; Tian, Y.; Wang, Q.; Song, S.; Song, P. Nondestructive detection of decayed blueberry based on information fusion of hyperspectral imaging (HSI) and low-field nuclear magnetic resonance (LF-NMR). Comput. Electron. Agric. 2021, 184, 106100. [Google Scholar]













| Model | Swarm Intelligence | Without Optimization (%) | With Optimization (%) | Ref. |
|---|---|---|---|---|
| AdaBoost | DE | 91.00 | 98.80 | Gupta et al. [36] |
| ELM | SSA | 84.70 | 96.70 | Shao et al. [37] |
| SVM | PSO | 90.83 | 94.32 | Tian et al. [38] |
| XGBoost | GA | 93.25 | 94.82 | Li et al. [39] |
| MASK-RCNN | PSO + SSO | 95.7 | 97.67 | Sudha et al. [40] |
| Variety | Crude Protein Content (%) | Crude Fat Content (%) | Crude Starch (%) | Lysine Content (%) |
|---|---|---|---|---|
| JD436 | 10.65 | 3.57 | 76.39 | 0.26 |
| JD50 | 9.51 | 4.31 | 72.6 | 0.32 |
| JD505 | 9.59 | 4.70 | 73.27 | 0.30 |
| JD83 | 10.92 | 3.66 | 73.62 | 0.30 |
| JD209 | 10.02 | 4.55 | 68.50 | - |
| JD407 | 10.03 | 3.23 | 76.6 | 0.26 |
| JD27 | 8.46 | 4.06 | 75.23 | 0.27 |
| JD626 | 8.66 | 3.99 | 75.62 | 0.27 |
| JD953 | 8.81 | 3.67 | 77.33 | 0.25 |
| ZD958 | 8.47 | 3.92 | 73.42 | 0.37 |
| LY9915 | 10.58 | 4.99 | 73.30 | 0.29 |
| Input: Population size NP, Number of generations G_max, Initial mutation factor F_base, Initial crossover rate CR_base, Diversity adjustment parameters F, CR, Maximum diversity D_max. |
|
1: Initialize population P(t) with NP individuals 2: Initialize base mutation factor F_base and crossover rate CR_base 3: for t = 1 to G_max do 4: Calculate current diversity D_Current of population P(t) 5: 6: Adjust F and CR based on convergence indicator c_t: 7: F_(t+1) = dynamic adjustment based on c_t and D_Current 8: CR_(t+1) = dynamic adjustment based on c_t and D_Current 9: for each individual i in P(t) do 10: Select mutation strategy based on optimization stage: 11: v_i^(t+1) = mutation using selected strategy 12: 13: Perform crossover to generate trial vector U_i 14: Select the better between U_i and X_i to form new population 15: end for 16: 17: Update and monitor the best solution 18: end for 19: 20: Return the best solution found |
| Variety | Max Signal | T2 Value | Time of Max Curvature | Signal at Max Curvature | Cut-Off Time | Fast Ratio | Medium Ratio | Slow Ratio | T2 Mean | T2 Std |
|---|---|---|---|---|---|---|---|---|---|---|
| JD209 | 76,705.667 ± 32.226 | 102.949 ± 0.732 | 0.6 ± 0.0 | 54,524.433 ± 68.615 | 477.347 ± 2.673 | 0.35 6 ± 0.002 | 0.412 ± 0.000 | 0.232 ± 0.001 | 0.043 ± 0.001 | 3.388 ± 0.011 |
| JD27 | 77,147.600 ± 34.574 | 102.685 ± 0.513 | 0.6 ± 0.0 | 54,069.833 ± 92.314 | 477.80 6 ± 2.431 | 0.357 ± 0.001 | 0.413 ± 0.002 | 0.230 ± 0.001 | 0.043 ± 0.001 | 3.371 ± 0.008 |
| JD407 | 71,997.300 ± 52.692 | 106.168 ± 0.704 | 0.6 ± 0.0 | 49,657.800 ± 99.009 | 458.180 ± 2.513 | 0.345 ± 0.001 | 0.408 ± 0.001 | 0.247 ± 0.001 | 0.045 ± 0.001 | 3.507 ± 0.010 |
| JD436 | 63,854.300 ± 75.879 | 116.304 ± 0.891 | 0.6 ± 0.0 | 42,004.433 ± 122.864 | 522.460 ± 3.735 | 0.332 ± 0.002 | 0.413 ± 0.003 | 0.255 ± 0.002 | 0.04 6 ± 0.001 | 3.560 ± 0.012 |
| JD50 | 76,939.967 ± 56.369 | 106.620 ± 0.805 | 0.6 ± 0.0 | 54,828.867 ± 112.201 | 503.913 ± 3.355 | 0.349 ± 0.002 | 0.413 ± 0.002 | 0.238 ± 0.001 | 0.042 ± 0.002 | 3.435 ± 0.011 |
| JD505 | 77,511.633 ± 52.642 | 111.208 ± 0.871 | 0.6 ± 0.0 | 54,910.600 ± 103.264 | 510.927 ± 3.518 | 0.340 ± 0.002 | 0.411 ± 0.003 | 0.249 ± 0.002 | 0.04 6 ± 0.002 | 3.517 ± 0.012 |
| JD626 | 76,564.633 ± 680.551 | 106.677 ± 0.793 | 0.6 ± 0.0 | 53,943.533 ± 510.497 | 493.167 ± 3.251 | 0.350 ± 0.002 | 0.413 ± 0.001 | 0.238 ± 0.002 | 0.044 ± 0.002 | 3.435 ± 0.012 |
| JD83 | 79,038.033 ± 78.160 | 110.852 ± 0.974 | 0.6 ± 0.0 | 57,131.967 ± 121.908 | 529.487 ± 4.144 | 0.343 ± 0.002 | 0.415 ± 0.001 | 0.242 ± 0.002 | 0.045 ± 0.002 | 3.461 ± 0.014 |
| JD953 | 75,687.700 ± 52.365 | 112.292 ± 0.889 | 0.6 ± 0.0 | 53,230.867 ± 109.357 | 516.640 ± 3.589 | 0.339 ± 0.002 | 0.413 ± 0.002 | 0.248 ± 0.002 | 0.04 6 ± 0.002 | 3.512 ± 0.012 |
| LY9915 | 68,638.200 ± 49.359 | 117.512 ± 0.826 | 0.6 ± 0.0 | 46,792.267 ± 85.680 | 561.973 ± 3.623 | 0.332 ± 0.001 | 0.414 ± 0.002 | 0.254 ± 0.001 | 0.04 6 ± 0.001 | 3.558 ± 0.011 |
| ZD958 | 63,720.533 ± 61.114 | 104.125 ± 0.405 | 0.6 ± 0.0 | 41,668.567 ± 84.462 | 485.087 ± 2.035 | 0.35 6 ± 0.001 | 0.415 ± 0.002 | 0.229 ± 0.001 | 0.043 ± 0.001 | 3.362 ± 0.007 |
| Model | Accuracy Mean (%) | Accuracy Std (%) | F1 Score Mean (%) | F1 Score Std (%) | Precision Mean (%) | Precision Std (%) | Recall Mean (%) | Recall Std (%) |
|---|---|---|---|---|---|---|---|---|
| 3000-feature | 87.58 | 3.76 | 87.63 | 3.54 | 90.24 | 2.78 | 87.58 | 3.76 |
| 10-feature | 83.03 | 3.54 | 81.88 | 4.41 | 86.26 | 2.51 | 83.03 | 3.54 |
| Model | Accuracy Mean (%) | Accuracy Std (%) | F1 Score Mean (%) | F1 Score Std (%) | Precision Mean (%) | Precision Std (%) | Recall Mean (%) | Recall Std (%) |
|---|---|---|---|---|---|---|---|---|
| OAA-SVM | 89.39 | 3.95 | 89.53 | 4.18 | 92.44 | 2.47 | 89.39 | 3.95 |
| Logistic Regression | 87.88 | 4.18 | 88.26 | 4.27 | 91.54 | 3.21 | 87.88 | 4.18 |
| Random Forest | 86.67 | 3.37 | 86.83 | 3.66 | 89.63 | 3.94 | 86.67 | 3.37 |
| K-Nearest Neighbors | 82.42 | 3.26 | 82.44 | 3.13 | 85.64 | 2.65 | 82.42 | 3.26 |
| MLP Classifier | 88.48 | 3.4 | 88.81 | 3.17 | 91.03 | 2.47 | 88.48 | 3.4 |
| XGBoost | 88.79 | 1.82 | 89.11 | 1.45 | 91.39 | 1.01 | 88.79 | 1.82 |
| Set | JD209 | JD27 | JD407 | JD436 | JD50 | JD505 | JD626 | JD83 | JD953 | LY9915 | ZD958 | Cross-Validation Accuracy (%) |
|---|---|---|---|---|---|---|---|---|---|---|---|---|
| Training sets (n = 264) | 24 | 24 | 24 | 24 | 24 | 24 | 24 | 24 | 24 | 24 | 24 | / |
| Verification sets (n = 66) | 6 | 6 | 6 | 6 | 6 | 6 | 6 | 6 | 6 | 6 | 6 | / |
| Only image | 31 | 36 | 25 | 36 | 33 | 34 | 39 | 11 | 24 | 24 | 37 | 69.09 ± 3.66 |
| Only LF-NMR | 21 | 31 | 30 | 30 | 29 | 41 | 22 | 35 | 29 | 32 | 30 | 83.03 ± 3.54 |
| Image + LF-NMR | 29 | 33 | 30 | 30 | 37 | 37 | 23 | 31 | 20 | 30 | 30 | 89.39 ± 3.95 |
| DE-OAA-SVM | 28 | 33 | 30 | 30 | 32 | 32 | 29 | 29 | 27 | 30 | 30 | 93.94 ± 3.46 |
| HDE-OAA-SVM | 30 | 32 | 30 | 30 | 29 | 30 | 33 | 30 | 27 | 29 | 30 | 96.36 ± 2.45 |
Disclaimer/Publisher’s Note: The statements, opinions and data contained in all publications are solely those of the individual author(s) and contributor(s) and not of MDPI and/or the editor(s). MDPI and/or the editor(s) disclaim responsibility for any injury to people or property resulting from any ideas, methods, instructions or products referred to in the content. |
© 2024 by the authors. Licensee MDPI, Basel, Switzerland. This article is an open access article distributed under the terms and conditions of the Creative Commons Attribution (CC BY) license (https://creativecommons.org/licenses/by/4.0/).
Share and Cite
Bi, C.; Bi, X.; Liu, J.; Chen, H.; Wang, M.; Yu, H.; Song, S. Identification of Maize Kernel Varieties Using LF-NMR Combined with Image Data: An Explainable Approach Based on Machine Learning. Plants 2025, 14, 37. https://doi.org/10.3390/plants14010037
Bi C, Bi X, Liu J, Chen H, Wang M, Yu H, Song S. Identification of Maize Kernel Varieties Using LF-NMR Combined with Image Data: An Explainable Approach Based on Machine Learning. Plants. 2025; 14(1):37. https://doi.org/10.3390/plants14010037
Chicago/Turabian StyleBi, Chunguang, Xinhua Bi, Jinjing Liu, He Chen, Mohan Wang, Helong Yu, and Shaozhong Song. 2025. "Identification of Maize Kernel Varieties Using LF-NMR Combined with Image Data: An Explainable Approach Based on Machine Learning" Plants 14, no. 1: 37. https://doi.org/10.3390/plants14010037
APA StyleBi, C., Bi, X., Liu, J., Chen, H., Wang, M., Yu, H., & Song, S. (2025). Identification of Maize Kernel Varieties Using LF-NMR Combined with Image Data: An Explainable Approach Based on Machine Learning. Plants, 14(1), 37. https://doi.org/10.3390/plants14010037

