Effects of Diverse Crop Rotation Sequences on Rice Growth, Yield, and Soil Properties: A Field Study in Gewu Station
Abstract
1. Introduction
2. Materials and Methods
2.1. Experimental Site
2.2. Experimental Design and Crop Rotation Sequence
2.3. Crop Management
2.3.1. Tillage and Residue Management
2.3.2. Planting
2.3.3. Fertilization
2.3.4. Fertilization and Water Management
2.4. Measurements
2.4.1. Crop Growth and Yield
2.4.2. Soil Sampling and Analysis
2.5. Experimental Timeline
2.6. Efficiency Calculation of the Rotations
- B(rotation) = Biomass from a specific rotation sequence (S2 to S6);
- B(control) = Biomass from the control rotation (S1: rice–wheat).
2.7. Statistical Analysis
3. Results
3.1. Effects of Crop Rotation on Rice Growth Parameters
3.2. Impact of Rotation Sequences on Rice Yield Components and Overall Yield
3.3. Biomass Accumulation in Different Rotation Systems
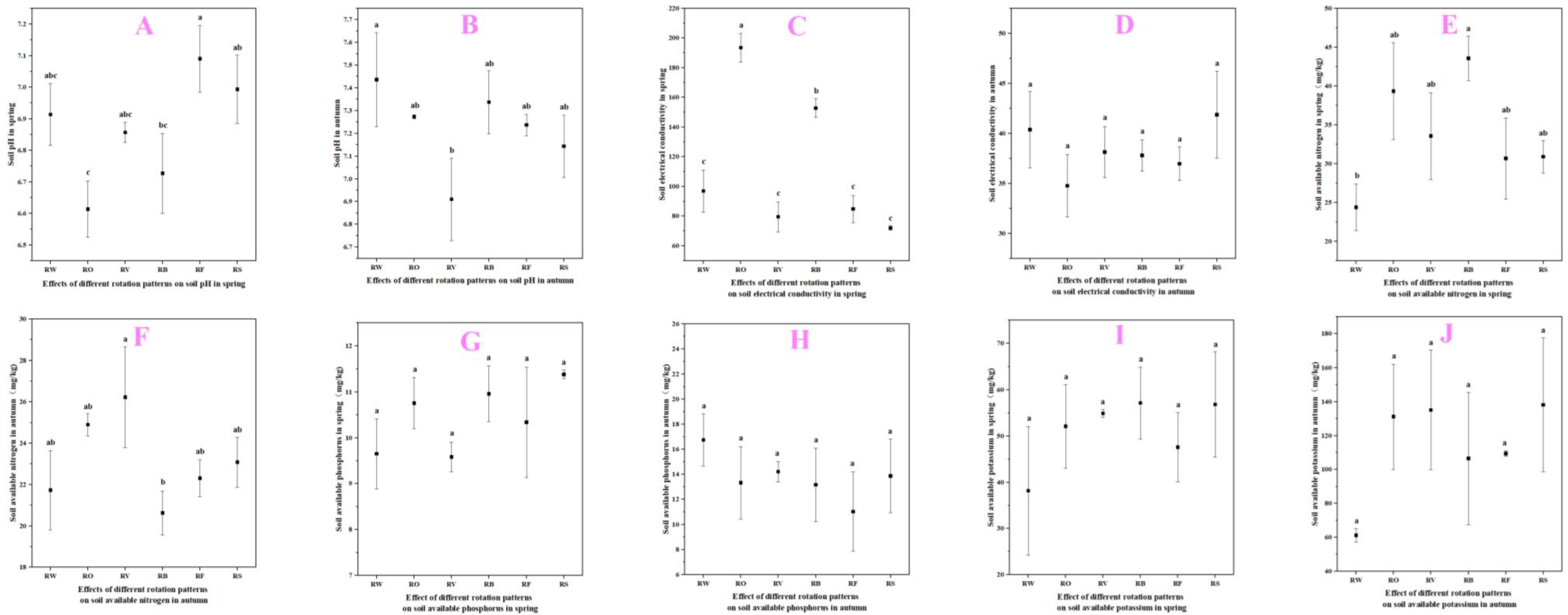
3.4. Soil Property Changes Under Different Rotation Sequences
4. Discussion
4.1. Enhanced Rice Growth, Yield, and Biomass Production in Diversified Rotations
4.2. Improvements in Soil Nutrients and Nutrient Dynamics
4.3. Implications for Sustainable Rice Production and Future Research
5. Conclusions
Author Contributions
Funding
Data Availability Statement
Conflicts of Interest
References
- Fitzgerald, M.A.; McCouch, S.R.; Hall, R.D. Not just a grain of rice: The quest for quality. Trends Plant Sci. 2009, 14, 133–139. [Google Scholar] [CrossRef] [PubMed]
- Khush, G.S. What it will take to feed 5.0 billion rice consumers in 2030. Plant Mol. Biol. 2005, 59, 1–6. [Google Scholar] [CrossRef] [PubMed]
- Cassman, K.G.; De Datta, S.K.; Olk, D.C.; Alcantara, J.; Samson, M.; Descalsota, J.; Dizon, M. Yield decline and the nitrogen economy of long-term experiments on continuous, irrigated rice systems in the tropics. Soil Manag. Exp. Basis Sustain. Environ. Q. 1995, 67, 181–222. [Google Scholar]
- Nishimura, S.; Yonemura, S.; Sawamoto, T.; Shirato, Y.; Akiyama, H.; Sudo, S.; Yagi, K. Effect of land use change from paddy rice cultivation to upland crop cultivation on soil carbon budget of a cropland in Japan. Agric. Ecosyst. Environ. 2007, 125, 9–20. [Google Scholar] [CrossRef]
- Wang, B.; Yuan, J.; Zhang, J.; Shen, Z.; Zhang, M.; Li, R.; Shen, Q. Effects of novel bioorganic fertilizer produced by Bacillus amyloliquefaciens W19 on antagonism of Fusarium wilt of banana. Biol. Fertil. Soils 2015, 51, 613–623. [Google Scholar] [CrossRef]
- Zhang, W.; Jiang, F.; Ou, J. Global pesticide consumption and pollution: With China as a focus. Proc. Int. Acad. Ecol. Environ. Sci. 2018, 1, 125–144. [Google Scholar]
- Pandey, S.; Bhandari, H.; Ding, S.; Prapertchob, P.; Sharan, R.; Naik, D.; Sastri, A. Coping with drought in rice farming in Asia: Insights from a cross-country comparative study. Agric. Econ. 2007, 37, 213–224. [Google Scholar] [CrossRef]
- IPCC. Climate Change 2013: The Physical Science Basis. Contribution of Working Group I to the Fifth Assessment Report of the Intergovernmental Panel on Climate Change; Cambridge University Press: Cambridge, UK; New York, NY, USA, 2013. [Google Scholar]
- Ray, D.K.; Mueller, N.D.; West, P.C.; Foley, J.A. Yield trends are insufficient to double global crop production by 2050. PLoS ONE 2013, 8, e66428. [Google Scholar] [CrossRef]
- Li, Y.; Feng, X.; Huai, Y.; Hassan, M.U.; Cui, Z.; Ning, P. Enhancing crop productivity and resilience by promoting soil organic carbon and moisture in wheat and maize rotation. Agric. Ecosyst. Environ. 2024, 368, 109021. [Google Scholar] [CrossRef]
- McDaniel, M.D.; Tiemann, L.K.; Grandy, A.S. Does agricultural crop diversity enhance soil microbial biomass and organic matter dynamics? A meta-analysis. Ecol. Appl. 2014, 24, 560–570. [Google Scholar] [CrossRef]
- Yadav, R.L.; Dwivedi, B.S.; Prasad, K.; Tomar, O.K.; Shurpali, N.J.; Pandey, P.S. Yield trends, and changes in soil organic-C and available NPK in a long-term rice–wheat system under integrated use of manures and fertilisers. Field Crops Res. 2017, 68, 219–246. [Google Scholar] [CrossRef]
- Zhu, Y.; Chen, H.; Fan, J.; Wang, Y.; Li, Y.; Chen, J.; Mundt, C.C. Genetic diversity and disease control in rice. Nature 2000, 406, 718–722. [Google Scholar] [CrossRef] [PubMed]
- Chauhan, B.S.; Singh, V.P.; Kumar, A.; Johnson, D.E. Relations of rice seeding rates to crop and weed growth in aerobic rice. Field Crops Res. 2011, 121, 105–115. [Google Scholar] [CrossRef]
- Bowles, T.M.; Mooshammer, M.; Socolar, Y.; Calderón, F.; Cavigelli, M.A.; Culman, S.W.; Grandy, A.S. Long-term evidence shows that crop-rotation diversification increases agricultural resilience to adverse growing conditions in North America. One Earth 2020, 2, 284–293. [Google Scholar] [CrossRef]
- Maraseni, T.N.; Deo, R.C.; Qu, J.; Gentle, P.; Neupane, P.R. An international comparison of rice consumption behaviours and greenhouse gas emissions from rice production. J. Clean. Prod. 2018, 172, 2288–2300. [Google Scholar] [CrossRef]
- Kumar, N.; Hazra, K.K.; Nath, C.P.; Praharaj, C.S.; Singh, U. Grain legumes for resource conservation and agricultural sustainability in South Asia. In Legumes for Soil Health and Sustainable Management; Meena, R.S., Das, A., Yadav, G.S., Lal, R., Eds.; Springer: Singapore, 2018; pp. 77–107. [Google Scholar]
- Wrb, I.W.G. World Reference Base for soil resources 2014: International soil classification system for naming soils and creating legends for soil maps. World Soil Resour. Rep. 2014, 106, 12–21. [Google Scholar]
- Cui, J.; Liu, C.; Li, Z.; Wang, L.; Chen, X.; Ye, Z.; Fang, C. Long-term changes in topsoil chemical properties under centuries of cultivation after reclamation of coastal wetlands in the Yangtze Estuary, China. Soil Tillage Res. 2012, 123, 50–60. [Google Scholar] [CrossRef]
- Yang, R.; Qi, Y.; Yang, L.; Chen, T.; Deng, A.; Zhang, J.; Song, Z.; Ge, B. Rotation regimes lead to significant differences in soil macrofaunal biodiversity and trophic structure with the changed soil properties in a rice-based double cropping system. Geoderma 2022, 405, 115424. [Google Scholar] [CrossRef]
- Li, H.; Mei, X.; Wang, J.; Huang, F.; Hao, W.; Li, B. Drip fertigation significantly increased crop yield, water productivity and nitrogen use efficiency with respect to traditional irrigation and fertilization practices: A meta-analysis in China. Agric. Water Manag. 2021, 244, 106534. [Google Scholar] [CrossRef]
- Qaswar, M.; Li, D.C.; Huang, J.; Han, T.F.; Ahmed, W.; Sehrish AL, I.; Tauqeer, A. Dynamics of organic carbon and nitrogen in deep soil profile and crop yields under long-term fertilization in wheat-maize cropping system. J. Integr. Agric. 2022, 21, 826–839. [Google Scholar] [CrossRef]
- Nuruzzaman, M.; Lambers, H.; Bolland, M.D.; Veneklaas, E.J. Phosphorus uptake by grain legumes and subsequently grown wheat at different levels of residual phosphorus fertiliser. Aust. J. Agric. Res. 2005, 56, 1041–1047. [Google Scholar] [CrossRef]
- Liu, X.; Liu, J.; Xing, B.; Herbert, S.J.; Meng, K.; Han, X.; Zhang, X. Effects of long-term continuous cropping, tillage, and fertilization on soil organic carbon and nitrogen in Chinese Mollisols. Commun. Soil Sci. Plant Anal. 2019, 50, 1123–1135. [Google Scholar]
- Borase, D.N.; Murugeasan, S.; Nath, C.P.; Kumar, A.; Singh, R.; Jat, M.L.; Yadav, G.S. Long-term impact of grain legumes and nutrient management practices on soil microbial activity and biochemical properties. Arch. Agron. Soil Sci. 2021, 67, 2015–2032. [Google Scholar] [CrossRef]
- Thakuria, D.; Talukdar, N.C.; Goswami, C.; Hazarika, S.; Boro, R.C.; Khan, M.R. Evaluation of rice–legume–rice cropping system on grain yield, nutrient uptake, nitrogen fixation, and chemical, physical, and biological properties of soil. Biol. Fertil. Soils 2009, 45, 237–251. [Google Scholar] [CrossRef]
- Hobley, E.U.; Honermeier, B.; Don, A.; Gocke, M.I.; Amelung, W.; Kögel-Knabner, I. Decoupling of subsoil carbon and nitrogen dynamics after long-term crop rotation and fertilization. Agric. Ecosyst. Environ. 2018, 265, 363–373. [Google Scholar] [CrossRef]
- Bello, S.K.; Shobayo, A.B.; Ibrahim, M.M.; Abdulrahman, M.D.; Sakariyahu, O.R.; Adebisi, M.A. Biological nitrogen fixation contributes to soil productivity in tropical agroecologies. Niger. J. Soil Sci. 2021, 31, 1–14. [Google Scholar]
- Ghosh, P.K.; Hazra, K.K.; Venkatesh, M.S.; Praharaj, C.S.; Kumar, N.; Nath, C.P. Grain legume inclusion in cereal–cereal rotation increased base crop productivity in the long run. Exp. Agric. 2020, 56, 142–158. [Google Scholar] [CrossRef]
- Liu, C.; Plaza-Bonilla, D.; Coulter, J.A.; Zhang, S.; Assefa, Y.; Gan, Y.; Li, L. Diversifying crop rotations enhances agroecosystem services and resilience. Adv. Agron. 2022, 173, 299–335. [Google Scholar]
- Dong, L.; Li, X.; Huang, L.; Gao, Y.; Zhong, L.; Zheng, Y.; Zuo, Y. Lauric acid in crown daisy root exudate potently regulates root-knot nematode chemotaxis and disrupts Mi-flp-18 expression to block infection. J. Exp. Bot. 2014, 65, 131–141. [Google Scholar] [CrossRef]
- Zhang, S.; Ren, T.; Cong, W.F.; Fang, Y.; Zhu, J.; Zhao, J.; Lu, J. Oilseed rape-rice rotation with recommended fertilization and straw returning enhances soil organic carbon sequestration through influencing macroaggregates and molecular complexity. Agric. Ecosyst. Environ. 2024, 367, 108960. [Google Scholar] [CrossRef]





| Crop | Seeding Rate (kg/ha) | Row Spacing (m) | Plant Spacing (m) |
|---|---|---|---|
| Rice | 112.5 | 0.25 | - |
| Wheat | 150 | 0.25–0.30 | - |
| Barley | 187.5 | 0.25–0.30 | - |
| Rape | - | 0.50 | 0.20 |
| Faba bean | 120–150 | 0.40 | 0.25 |
| Hairy vetch | 60 | 0.40–0.50 | - |
| Crop | Basal Fertilizer | Tillering | Jointing | Heading | ||
|---|---|---|---|---|---|---|
| Urea (m2) | Ca(H2PO4)2 | K2SO4 | Urea | Urea | Urea | |
| Rice | 0.83 | 1.92 | 0.50 | - | 1.98 | 0.44 |
| Wheat | 0.84 | 2.31 | 0.60 | 0.984 | 0.336 | - |
| Barley | 0.84 | 2.31 | 0.60 | 0.984 | 0.336 | - |
| Rape | 0.70 | 2.31 | 0.60 | 0.60 | 0.60 | - |
| Faba bean | 0.60 | 1.92 | 0.50 | - | - | - |
| Hairy vetch | 0.60 | 1.92 | 0.50 | - | - | - |
| Rotation | Spring Crop Biomass Efficiency (%) | Rice Plant Biomass Efficiency (%) |
|---|---|---|
| Rice–Wheat (S1) | - | - |
| Rice–Rape (S2) | 16.67% | 15.00% |
| Rice–Hairy Vetch (S3) | 25.00% | 20.00% |
| Rice–Barley (S4) | 8.33% | 5.00% |
| Rice–Faba Bean (S5) | 33.33% | 30.00% |
| Rice–Winter Fallow (S6) | −8.33% | −10.00% |
Disclaimer/Publisher’s Note: The statements, opinions and data contained in all publications are solely those of the individual author(s) and contributor(s) and not of MDPI and/or the editor(s). MDPI and/or the editor(s) disclaim responsibility for any injury to people or property resulting from any ideas, methods, instructions or products referred to in the content. |
© 2024 by the authors. Licensee MDPI, Basel, Switzerland. This article is an open access article distributed under the terms and conditions of the Creative Commons Attribution (CC BY) license (https://creativecommons.org/licenses/by/4.0/).
Share and Cite
Yang, R.; Shen, Y.; Kong, X.; Ge, B.; Sun, X.; Cao, M. Effects of Diverse Crop Rotation Sequences on Rice Growth, Yield, and Soil Properties: A Field Study in Gewu Station. Plants 2024, 13, 3273. https://doi.org/10.3390/plants13233273
Yang R, Shen Y, Kong X, Ge B, Sun X, Cao M. Effects of Diverse Crop Rotation Sequences on Rice Growth, Yield, and Soil Properties: A Field Study in Gewu Station. Plants. 2024; 13(23):3273. https://doi.org/10.3390/plants13233273
Chicago/Turabian StyleYang, Ruiping, Yu Shen, Xiangyi Kong, Baoming Ge, Xiaoping Sun, and Mingchang Cao. 2024. "Effects of Diverse Crop Rotation Sequences on Rice Growth, Yield, and Soil Properties: A Field Study in Gewu Station" Plants 13, no. 23: 3273. https://doi.org/10.3390/plants13233273
APA StyleYang, R., Shen, Y., Kong, X., Ge, B., Sun, X., & Cao, M. (2024). Effects of Diverse Crop Rotation Sequences on Rice Growth, Yield, and Soil Properties: A Field Study in Gewu Station. Plants, 13(23), 3273. https://doi.org/10.3390/plants13233273

