Enhancement in Tomato Yield and Quality Using Biochar Amendments in Greenhouse under Salinity and Drought Stress
Abstract
1. Introduction
2. Results and Discussion
2.1. The Physical Characteristics and Yield of Tomato Fruits
2.2. The Qualitative Characteristics
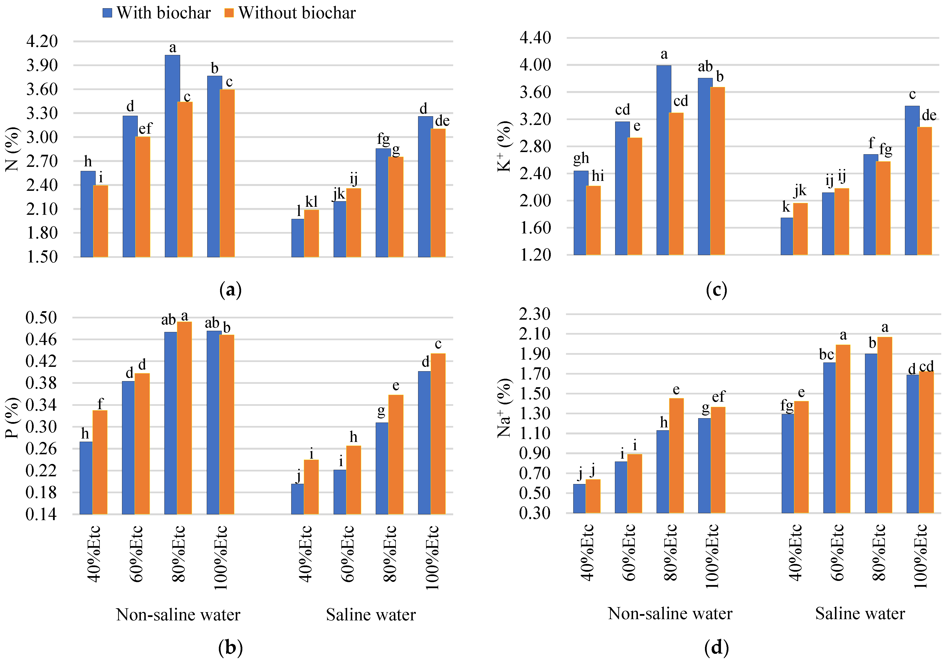
2.3. Mineral Content of Tomato Fruits
3. Materials and Methods
3.1. Experimental Site
3.2. Experimental Design
3.3. Biochar Preparation
3.4. Physicochemical Properties of Tomato Fruits
3.5. Data Analysis
4. Conclusions
Author Contributions
Funding
Data Availability Statement
Conflicts of Interest
References
- Nikolaou, G.; Neocleous, D.; Christou, A.; Polycarpou, P.; Kitta, E.; Katsoulas, N. Energy and Water Related Parameters in Tomato and Cucumber Greenhouse Crops in Semiarid Mediterranean Regions. A Review, Part I: Increasing Energy Efficiency. Horticulturae 2021, 7, 521. [Google Scholar] [CrossRef]
- Abdul-Hammed, M.; Bolarinwa, I.F.; Adebayo, L.O.; Akindele, S.L. Kinetics of the degradation of carotenoid antioxidants in tomato paste. Adv. J. Food Sci. Technol. 2016, 11, 734–741. [Google Scholar] [CrossRef]
- Patanè, C.; Tringali, S.; Sortino, O. Effects of deficit irrigation on biomass, yield, water productivity and fruit quality of processing tomato under semi-arid Mediterranean climate conditions. Sci. Hortic. 2011, 129, 590–596. [Google Scholar] [CrossRef]
- Gao, Y.; Shao, G.; Lu, J.; Zhang, K.; Wu, S.; Wang, Z. Effects of biochar application on crop water use efficiency depend on experimental conditions: A meta-analysis. Field Crops Res. 2020, 249, 107763. [Google Scholar] [CrossRef]
- Du, Y.-D.; Niu, W.-Q.; Gu, X.-B.; Zhang, Q.; Cui, B.-J.; Zhao, Y. Crop yield and water use efficiency under aerated irrigation: A meta-analysis. Agric. Water Manag. 2018, 210, 158–164. [Google Scholar] [CrossRef]
- Bañón, D.; Lorente, B.; Ortuño, M.F.; Bañón, S.; Sánchez-Blanco, M.J.; Alarcón, J.J. Effects of saline irrigation on the physiology and ornamental quality of Euphorbia Ascot Rainbow and its relationship with salinity indexes based on the bulk electrical conductivity. Sci. Hortic. 2022, 305, 111406. [Google Scholar] [CrossRef]
- Su, H.; Sun, H.; Dong, X.; Chen, P.; Zhang, X.; Tian, L.; Liu, X.; Wang, J. Did manure improve saline water irrigation threshold of winter wheat? A 3-year field investigation. Agric. Water Manag. 2021, 258, 107203. [Google Scholar] [CrossRef]
- Izadi, Y.; Moosavi, S.A.; Gharineh, M.H. Salinity affects eco-physiological aspects and biochemical compositions in chia (Salvia hispanica L.) during germination and seedling growth. Sci. Hortic. 2022, 306, 111461. [Google Scholar] [CrossRef]
- Loganathachetti, D.S.; Alhashmi, F.; Chandran, S.; Mundra, S. Irrigation water salinity structures the bacterial communities of date palm (Phoenix dactylifera)-associated bulk soil. Front. Plant Sci. 2022, 13, 944637. [Google Scholar] [CrossRef]
- Li, J.; Gao, Y.; Zhang, X.; Tian, P.; Li, J.; Tian, Y. Comprehensive comparison of different saline water irrigation strategies for tomato production: Soil properties, plant growth, fruit yield and fruit quality. Agric. Water Manag. 2019, 213, 521–533. [Google Scholar] [CrossRef]
- Li, J.; Chen, J.; He, P.; Chen, D.; Dai, X.; Jin, Q.; Su, X. The optimal irrigation water salinity and salt component for high-yield and good-quality of tomato in Ningxia. Agric. Water Manag. 2022, 274, 107940. [Google Scholar] [CrossRef]
- Li, X.; Kang, Y.; Wan, S.; Chen, X.; Xu, J. Effect of drip-irrigation with saline water on Chinese rose (Rosa chinensis) during reclamation of very heavy coastal saline soil in a field trial. Sci. Hortic. 2015, 186, 163–171. [Google Scholar] [CrossRef]
- Song, J.; Zhang, H.; Chang, F.; Yu, R.; Wang, J.; Wang, X.; Li, Y. If the combination of straw interlayer and irrigation water reduction maintained sunflower yield by boosting soil fertility and improving bacterial community in arid and saline areas. Agric. Water Manag. 2022, 262, 107424. [Google Scholar] [CrossRef]
- Han, X.; Kang, Y.; Wan, S.; Li, X. Effect of salinity on oleic sunflower (Helianthus annuus Linn.) under drip irrigation in arid area of Northwest China. Agric. Water Manag. 2022, 259, 107267. [Google Scholar] [CrossRef]
- Ors, S.; Suarez, D.L. Spinach biomass yield and physiological response to interactive salinity and water stress. Agric. Water Manag. 2017, 190, 31–41. [Google Scholar] [CrossRef]
- Sahin, U.; Ekinci, M.; Ors, S.; Turan, M.; Yildiz, S.; Yildirim, E. Effects of individual and combined effects of salinity and drought on physiological, nutritional and biochemical properties of cabbage (Brassica oleracea var. capitata). Sci. Hortic. 2018, 240, 196–204. [Google Scholar] [CrossRef]
- Caliskan, O.; Radusiene, J.; Temizel, K.E.; Staunis, Z.; Cirak, C.; Kurt, D.; Odabas, M.S. The effects of salt and drought stress on phenolic accumulation in greenhouse-grown Hypericum pruinatum. Ital. J. Agron. 2017, 12. [Google Scholar] [CrossRef]
- Gao, Y.; Shao, G.; Cui, J.; Lu, J.; Tian, L.; Song, E.; Zeng, Z. Effects of Drought Hardening and Saline Water Irrigation on the Growth, Yield, and Quality of Tomato. Agronomy 2023, 13, 2351. [Google Scholar] [CrossRef]
- Obadi, A.; AlHarbi, A.; Abdel-Razzak, H.; Al-Omran, A. Biochar and compost as soil amendments: Effect on sweet pepper (Capsicum annuum L.) growth under partial root zone drying irrigation. Arab. J. Geosci. 2020, 13, 1–12. [Google Scholar] [CrossRef]
- Oni, B.A.; Oziegbe, O.; Olawole, O.O. Significance of biochar application to the environment and economy. Ann. Agric. Sci. 2019, 64, 222–236. [Google Scholar] [CrossRef]
- Lehmann, J.; Joseph, S. Biochar for Environmental Management: Science, Technology and Implementation; Routledge: London, UK, 2015. [Google Scholar]
- Obadi, A.; Alharbi, A.; Alomran, A.; Alghamdi, A.G.; Louki, I.; Alkhasha, A. Effect of Biochar Application on Morpho-Physiological Traits, Yield, and Water Use Efficiency of Tomato Crop under Water Quality and Drought Stress. Plants 2023, 12, 2355. [Google Scholar] [CrossRef] [PubMed]
- Guo, L.; Yu, H.; Kharbach, M.; Zhang, W.; Wang, J.; Niu, W. Biochar improves soil-tomato plant, tomato production, and economic benefits under reduced nitrogen application in northwestern China. Plants 2021, 10, 759. [Google Scholar] [CrossRef] [PubMed]
- Faloye, O.; Alatise, M.; Ajayi, A.; Ewulo, B. Effects of biochar and inorganic fertiliser applications on growth, yield and water use efficiency of maize under deficit irrigation. Agric. Water Manag. 2019, 217, 165–178. [Google Scholar] [CrossRef]
- Hannachi, S.; Signore, A.; Mechi, L. Alleviation of Associated Drought and Salinity Stress’ Detrimental Impacts on an Eggplant Cultivar (‘Bonica F1’) by Adding Biochar. Plants 2023, 12, 1399. [Google Scholar] [CrossRef] [PubMed]
- Hazman, M.Y.; El-Sayed, M.E.; Kabil, F.F.; Helmy, N.A.; Almas, L.; McFarland, M.; Shams El Din, A.; Burian, S. Effect of biochar application to fertile soil on tomato crop production under Saline irrigation regime. Agronomy 2022, 12, 1596. [Google Scholar] [CrossRef]
- Chaganti, V.N.; Crohn, D.M. Evaluating the relative contribution of physiochemical and biological factors in ameliorating a saline–sodic soil amended with composts and biochar and leached with reclaimed water. Geoderma 2015, 259, 45–55. [Google Scholar] [CrossRef]
- Obia, A.; Mulder, J.; Martinsen, V.; Cornelissen, G.; Børresen, T. In situ effects of biochar on aggregation, water retention and porosity in light-textured tropical soils. Soil Tillage Res. 2016, 155, 35–44. [Google Scholar] [CrossRef]
- Liu, Q.; Meki, K.; Zheng, H.; Yuan, Y.; Shao, M.; Luo, X.; Li, X.; Jiang, Z.; Li, F.; Xing, B. Biochar application in remediating salt-affected soil to achieve carbon neutrality and abate climate change. Biochar 2023, 5, 45. [Google Scholar] [CrossRef]
- Alghamdi, A.G.; Aly, A.A.; Al-Omran, A.M.; Louki, I.I.; Alkhasha, A. Tomato Yield Responses to Deficit Irrigation and Partial Root Zone Drying Methods Using Biochar: A Greenhouse Experiment in a Loamy Sand Soil Using Fresh and Saline Irrigation Water. Water 2023, 15, 2797. [Google Scholar] [CrossRef]
- Al-Omran, A.M.; Mousa, M.A.; Alghamdi, A.G.; Alkhasha, A. Impact of Nanoparticles from Ball-Milled Date Palm Biochar on the Hydro-Physical Characteristics of Sandy Soils. Appl. Sci. 2023, 13, 7781. [Google Scholar] [CrossRef]
- Drake, J.A.; Cavagnaro, T.R.; Cunningham, S.C.; Jackson, W.R.; Patti, A.F. Does biochar improve establishment of tree seedlings in saline sodic soils? Land Degrad. Dev. 2016, 27, 52–59. [Google Scholar] [CrossRef]
- Kanthle, A.K.; Lenka, N.K.; Lenka, S.; Tedia, K. Biochar impact on nitrate leaching as influenced by native soil organic carbon in an Inceptisol of central India. Soil Tillage Res. 2016, 157, 65–72. [Google Scholar] [CrossRef]
- Dokoohaki, H.; Miguez, F.E.; Laird, D.; Horton, R.; Basso, A.S. Assessing the biochar effects on selected physical properties of a sandy soil: An analytical approach. Commun. Soil Sci. Plant Anal. 2017, 48, 1387–1398. [Google Scholar] [CrossRef]
- Dahlawi, S.; Naeem, A.; Rengel, Z.; Naidu, R. Biochar application for the remediation of salt-affected soils: Challenges and opportunities. Sci. Total Environ. 2018, 625, 320–335. [Google Scholar]
- Zheng, H.; Wang, X.; Chen, L.; Wang, Z.; Xia, Y.; Zhang, Y.; Wang, H.; Luo, X.; Xing, B. Enhanced growth of halophyte plants in biochar-amended coastal soil: Roles of nutrient availability and rhizosphere microbial modulation. Plant Cell Environ. 2018, 41, 517–532. [Google Scholar] [CrossRef] [PubMed]
- Zeeshan, M.; Ahmad, W.; Hussain, F.; Ahamd, W.; Numan, M.; Shah, M.; Ahmad, I. Phytostabalization of the heavy metals in the soil with biochar applications, the impact on chlorophyll, carotene, soil fertility and tomato crop yield. J. Clean. Prod. 2020, 255, 120318. [Google Scholar] [CrossRef]
- Guo, L.; Yu, H.; Niu, W.; Kharbach, M. Biochar promotes nitrogen transformation and tomato yield by regulating nitrogen-related microorganisms in tomato cultivation soil. Agronomy 2021, 11, 381. [Google Scholar] [CrossRef]
- Akhtar, S.S.; Li, G.; Andersen, M.N.; Liu, F. Biochar enhances yield and quality of tomato under reduced irrigation. Agric. Water Manag. 2014, 138, 37–44. [Google Scholar] [CrossRef]
- Almaroai, Y.A.; Eissa, M.A. Effect of biochar on yield and quality of tomato grown on a metal-contaminated soil. Sci. Hortic. 2020, 265, 109210. [Google Scholar] [CrossRef]
- Wu, Z.; Fan, Y.; Qiu, Y.; Hao, X.; Li, S.; Kang, S. Response of yield and quality of greenhouse tomatoes to water and salt stresses and biochar addition in Northwest China. Agric. Water Manag. 2022, 270, 107736. [Google Scholar] [CrossRef]
- Yang, A.; Akhtar, S.S.; Li, L.; Fu, Q.; Li, Q.; Naeem, M.A.; He, X.; Zhang, Z.; Jacobsen, S.-E. Biochar mitigates combined effects of drought and salinity stress in quinoa. Agronomy 2020, 10, 912. [Google Scholar] [CrossRef]
- Al-Selwey, W.; Alsadon, A.; Al-Doss, A.; Solieman, T.; Dewir, Y.; Ibrahim, A. Effect of deficit irrigation on total yield, fruit physical characteristics and nutritional value in four drought tolerant tomato (Solanum lycopersicum L.) genotypes. J. Agric. Sci. Technol. 2021, 23, 1105–1118. [Google Scholar]
- Sivakumar, R.; Srividhya, S. Impact of drought on flowering, yield and quality parameters in diverse genotypes of tomato (Solanum lycopersicum L.). Adv. Hortic. Sci. 2016, 30, 3–11. [Google Scholar]
- Farooq, H.; Bashir, M.A.; Khalofah, A.; Khan, K.A.; Ramzan, M.; Hussain, A.; Wu, L.; Simunek, L.; Aziz, I.; Samdani, M.S. Interactive effects of saline water irrigation and nitrogen fertilization on tomato growth and yield. Fresenius Environ. Bull. 2021, 30, 3557–3564. [Google Scholar]
- Al-Harbi, A.R.; Al-Omran, A.M.; Alenazi, M.M.; Wahb-Allah, M.A. Salinity and Deficit Irrigation Influence Tomato Growth, Yield and Water Use Efficiency at Different Developmental Stages. Int. J. Agric. Biol. 2015, 17, 241–250. [Google Scholar]
- Angon, P.B.; Tahjib-Ul-Arif, M.; Samin, S.I.; Habiba, U.; Hossain, M.A.; Brestic, M. How do plants respond to combined drought and salinity stress?—A systematic review. Plants 2022, 11, 2884. [Google Scholar] [CrossRef] [PubMed]
- Usman, A.R.A.; Al-Wabel, M.I.; Abdulaziz, A.-H.; Mahmoud, W.-A.; El-Naggar, A.H.; Ahmad, M.; Abdulelah, A.-F.; Abdulrasoul, A.-O. Conocarpus biochar induces changes in soil nutrient availability and tomato growth under saline irrigation. Pedosphere 2016, 26, 27–38. [Google Scholar] [CrossRef]
- Zhang, W.; Wei, J.; Guo, L.; Fang, H.; Liu, X.; Liang, K.; Niu, W.; Liu, F.; Siddique, K.H. Effects of two biochar types on mitigating drought and salt stress in tomato seedlings. Agronomy 2023, 13, 1039. [Google Scholar] [CrossRef]
- Blok, C.; Van der Salm, C.; Hofland-Zijlstra, J.; Streminska, M.; Eveleens, B.; Regelink, I.; Fryda, L.; Visser, R. Biochar for horticultural rooting media improvement: Evaluation of biochar from gasification and slow pyrolysis. Agronomy 2017, 7, 6. [Google Scholar] [CrossRef]
- Agbna, G.H.; Dongli, S.; Zhipeng, L.; Elshaikh, N.A.; Guangcheng, S.; Timm, L.C. Effects of deficit irrigation and biochar addition on the growth, yield, and quality of tomato. Sci. Hortic. 2017, 222, 90–101. [Google Scholar] [CrossRef]
- Hou, J.; Zhang, J.; Liu, X.; Ma, Y.; Wei, Z.; Wan, H.; Liu, F. Effect of biochar addition and reduced irrigation regimes on growth, physiology and water use efficiency of cotton plants under salt stress. Ind. Crops Prod. 2023, 198, 116702. [Google Scholar] [CrossRef]
- Colimba-Limaico, J.E.; Zubelzu-Minguez, S.; Rodríguez-Sinobas, L. Optimal Irrigation Scheduling for Greenhouse Tomato Crop (Solanum Lycopersicum L.) in Ecuador. Agronomy 2022, 12, 1020. [Google Scholar] [CrossRef]
- Liu, H.; Li, H.; Ning, H.; Zhang, X.; Li, S.; Pang, J.; Wang, G.; Sun, J. Optimizing irrigation frequency and amount to balance yield, fruit quality and water use efficiency of greenhouse tomato. Agric. Water Manag. 2019, 226, 105787. [Google Scholar] [CrossRef]
- Lipan, L.; Issa-Issa, H.; Moriana, A.; Zurita, N.M.; Galindo, A.; Martín-Palomo, M.J.; Andreu, L.; Carbonell-Barrachina, Á.A.; Hernández, F.; Corell, M. Scheduling regulated deficit irrigation with leaf water potential of cherry tomato in greenhouse and its effect on fruit quality. Agriculture 2021, 11, 669. [Google Scholar] [CrossRef]
- Zhang, X.; Tang, H.; Du, H.; Bao, Z.; Shi, Q. Sugar metabolic and N-glycosylated profiles unveil the regulatory mechanism of tomato quality under salt stress. Environ. Exp. Bot. 2020, 177, 104145. [Google Scholar] [CrossRef]
- Alshami, A.K.; El-Shafei, A.; Al-Omran, A.M.; Alghamdi, A.G.; Louki, I.; Alkhasha, A. Responses of Tomato Crop and Water Productivity to Deficit Irrigation Strategies and Salinity Stress in Greenhouse. Agronomy 2023, 13, 3016. [Google Scholar] [CrossRef]
- Keabetswe, L.; Shao, G.C.; Cui, J.; Lu, J.; Stimela, T. A combination of biochar and regulated deficit irrigation improves tomato fruit quality: A comprehensive quality analysis. Folia Hortic. 2019, 31, 181–193. [Google Scholar] [CrossRef]
- Zhang, C.; Li, X.; Yan, H.; Ullah, I.; Zuo, Z.; Li, L.; Yu, J. Effects of irrigation quantity and biochar on soil physical properties, growth characteristics, yield and quality of greenhouse tomato. Agric. Water Manag. 2020, 241, 106263. [Google Scholar] [CrossRef]
- Yang, H.; Du, T.; Mao, X.; Ding, R.; Shukla, M.K. A comprehensive method of evaluating the impact of drought and salt stress on tomato growth and fruit quality based on EPIC growth model. Agric. Water Manag. 2019, 213, 116–127. [Google Scholar] [CrossRef]
- Wu, Y.; Yan, S.; Fan, J.; Zhang, F.; Xiang, Y.; Zheng, J.; Guo, J. Responses of growth, fruit yield, quality and water productivity of greenhouse tomato to deficit drip irrigation. Sci. Hortic. 2021, 275, 109710. [Google Scholar] [CrossRef]
- Mitchell, J.; Shennan, C.; Grattan, S.; May, D. Tomato fruit yields and quality under water deficit and salinity. J. Am. Soc. Hortic. Sci. 1991, 116, 215–221. [Google Scholar] [CrossRef]
- Ud Din, M.M.; Khan, M.I.; Azam, M.; Ali, M.H.; Qadri, R.; Naveed, M.; Nasir, A. Effect of biochar and compost addition on mitigating salinity stress and improving fruit quality of tomato. Agronomy 2023, 13, 2197. [Google Scholar] [CrossRef]
- Atilgan, A.; Rolbiecki, R.; Saltuk, B.; Jagosz, B.; Arslan, F.; Erdal, I.; Aktas, H. Deficit Irrigation Stabilizes Fruit Yield and Alters Leaf Macro and Micronutrient Concentration in Tomato Cultivation in Greenhouses: A Case Study in Turkey. Agronomy 2022, 12, 2950. [Google Scholar] [CrossRef]
- Balasubramaniam, T.; Shen, G.; Esmaeili, N.; Zhang, H. Plants’ Response Mechanisms to Salinity Stress. Plants 2023, 12, 2253. [Google Scholar] [CrossRef] [PubMed]
- Zhang, M.; Liang, X.; Wang, L.; Cao, Y.; Song, W.; Shi, J.; Lai, J.; Jiang, C. A HAK family Na+ transporter confers natural variation of salt tolerance in maize. Nat. Plants 2019, 5, 1297–1308. [Google Scholar] [CrossRef] [PubMed]
- Novak, J.M.; Busscher, W.J.; Watts, D.W.; Amonette, J.E.; Ippolito, J.A.; Lima, I.M.; Gaskin, J.; Das, K.; Steiner, C.; Ahmedna, M. Biochars impact on soil-moisture storage in an ultisol and two aridisols. Soil Sci. 2012, 177, 310–320. [Google Scholar] [CrossRef]
- Sparks, D.L.; Page, A.L.; Helmke, P.A.; Loeppert, R.H. Methods of Soil Analysis, Part 3: Chemical Methods; John Wiley & Sons: Hoboken, NJ, USA, 2020; Volume 14. [Google Scholar]
- Maiti, S. Handbook of Methods in Environmental Studies, 1: Water and Wastewater Analysis; ABD Publishers: Jaipur, India, 2004. [Google Scholar]
- Allen, R.G.; Pereira, L.S.; Raes, D.; Smith, M. Crop Evapotranspiration-Guidelines for Computing Crop Water Requirements-FAO Irrigation and Drainage Paper 56; FAO: Rome, Italy, 1998; Volume 300, p. D05109. [Google Scholar]
- Usman, A.R.; Abduljabbar, A.; Vithanage, M.; Ok, Y.S.; Ahmad, M.; Ahmad, M.; Elfaki, J.; Abdulazeem, S.S.; Al-Wabel, M.I. Biochar production from date palm waste: Charring temperature induced changes in composition and surface chemistry. J. Anal. Appl. Pyrolysis 2015, 115, 392–400. [Google Scholar] [CrossRef]
- ASTM D1762-84; Standard Methods for Chemical Analysis of Wood Charcoal. ASTM: Philadelphia, PA, USA, 1989.
- AOAC—Association of Official Agricultural Chemists. Official Method of Analysis, 12th ed.; Association of Official Agricultural Chemistry: Washington, DC, USA, 2000. [Google Scholar]
- Estefan, G. Methods of Soil, Plant, and Water Analysis: A Manual for the West Asia and North Africa Region; ICARDA: Beirut, Lebanon, 2013. [Google Scholar]
- Davidson, J.; Mathieson, J.; Boyne, A. The use of automation in determining nitrogen by the Kjeldahl method, with final calculations by computer. Analyst 1970, 95, 181–193. [Google Scholar] [CrossRef]
- Kacar, B.; Inal, A. Plant analysis. Nobel publication no: 1241. Appl. Sci. 2008, 63, 879. [Google Scholar]
- Chapman, H.; Pratt, P. Methods of Analysis for Soils, Plants and Waters; Division of Agricultural Sciences; University of California: Berkeley, CA, USA, 1961; pp. 169–176. [Google Scholar]
- IBM Corp. Released 2019. IBM SPSS Statistics for Windows, Version 26.0; IBM Corp: Armonk, NY, USA.
- Steel, R.G.D.; Torrie, J.H. Principles and Procedures of Statistics; McGraw Hill, Inc. Book Co.: New York, NY, USA, 1960. [Google Scholar]






| Treatments | Fruit Length (mm) | Fruit Diameter (mm) | Fruit Flesh Thickness (mm) | Fruit Firmness (N) | FFW (g) | FDW (g) | Yield kg/Plant |
|---|---|---|---|---|---|---|---|
| Salinity | |||||||
| S 0.9 ds m−1 | 63.34 a | 71.89 a | 8.50 a | 6.17 a | 175.69 a | 9.46 a | 6.97 a |
| S 2.3 ds m−1 | 58.55 b | 63.48 b | 6.56 b | 6.14 a | 132.54 b | 7.95 b | 5.95 b |
| Irrigation Levels (% of ETc) | |||||||
| 100 | 68.59 a | 77.08 a | 9.51 a | 6.60 b | 189.37 a | 9.73 a | 7.54 a |
| 80 | 63.46 b | 71.90 b | 8.21 b | 7.68 a | 176.04 b | 9.48 b | 6.69 b |
| 60 | 58.66 c | 63.90 c | 6.76 c | 5.61 c | 140.12 c | 8.25 c | 6.20 c |
| 40 | 53.08 d | 57.86 d | 5.64 d | 4.73 d | 110.92 d | 7.36 d | 5.40 d |
| Biochar | |||||||
| BC0% | 58.98 b | 66.62 b | 7.34 b | 5.90 b | 151.10 b | 8.60 b | 6.37 b |
| BC5% | 62.91 a | 68.75 a | 7.27 a | 6.41 a | 157.13 a | 8.82 a | 6.54 a |
| Salinity | Irrigation Levels (% of ETc) | Biochar (%) | Fruit Length (mm) | Fruit Diameter (mm) | Fruit Flesh Thickness (mm) | Fruit Firmness (N) | FFW (g) | FDW (g) |
|---|---|---|---|---|---|---|---|---|
| S 0.9 ds m−1 | 100 | BC0% | 66.34 c | 78.54 bc | 9.76 b | 5.97 fg | 198.83 bc | 9.60 de |
| BC5% | 74.91 a | 81.44 a | 10.73 a | 6.64 d | 212.82 a | 10.16 a–c | ||
| 80 | BC0% | 61.37 de | 73.47 d | 8.56 cd | 7.01 c | 192.14 c | 10.24 ab | |
| BC5% | 72.41 a | 80.61 ab | 10.25 ab | 7.94 a | 206.84 ab | 10.39 a | ||
| 60 | BC0% | 60.60 e | 66.56 f | 7.63 e | 5.73 gh | 155.40 f | 8.73 f | |
| BC5% | 62.12 de | 70.01 e | 8.25 d | 6.12 ef | 173.83 de | 9.75 cd | ||
| 40 | BC0% | 52.26 g | 60.47 h | 6.09 g | 4.71 k | 123.92 h | 8.13 g | |
| BC5% | 56.70 f | 64.01 g | 6.75 f | 5.26 ij | 141.74 g | 8.67 f | ||
| S 2.3 ds m−1 | 100 | BC0% | 63.99 cd | 72.12 de | 8.49 d | 6.36 de | 168.36 e | 9.23 e |
| BC5% | 69.11 b | 76.23 c | 9.06 c | 7.44 b | 177.45 d | 9.95 b–d | ||
| 80 | BC0% | 60.49 e | 66.26 f | 7.19 of | 7.73 ab | 154.97 f | 8.60 f | |
| BC5% | 59.55 e | 67.26 fg | 6.86 f | 8.05 a | 150.23 f | 8.71 f | ||
| 60 | BC0% | 55.95 f | 60.40 h | 5.86 g | 5.10 j | 121.09 h | 7.60 h | |
| BC5% | 55.99 f | 58.64 h | 5.30 h | 5.50 hi | 110.17 i | 6.90 i | ||
| 40 | BC0% | 50.88 g | 55.17 i | 5.14 h | 4.60 kl | 94.09 j | 6.63 i | |
| BC5% | 52.46 g | 51.79 j | 4.58 i | 4.34 l | 83.94 k | 6.00 j |
| Treatments | V.C (mg 100 g−1 FW) | TA (%) | TSS (%) | TS (%) |
|---|---|---|---|---|
| Salinity | ||||
| S 0.9 ds m−1 | 25.85 b | 0.461 b | 5.64 b | 4.25 b |
| S 2.3 ds m−1 | 29.08 a | 0.540 a | 6.55 a | 5.01 a |
| Irrigation Levels (% of ETc) | ||||
| 100 | 22.61 d | 0.422 d | 4.69 d | 3.84 d |
| 80 | 30.10 b | 0.468 c | 6.83 b | 4.57 c |
| 60 | 31.32 a | 0.529 b | 7.29 a | 5.34 a |
| 40 | 25.84 c | 0.583 a | 5.57 c | 4.78 b |
| Biochar | ||||
| BC0% | 27.00 b | 0.487 b | 5.90 b | 4.43 b |
| BC5% | 27.93 a | 0.515 a | 6.28 a | 4.84 a |
| Treatments | N (%) | P (%) | K (%) | Na+ (%) |
|---|---|---|---|---|
| Salinity | ||||
| S 0.9 ds m−1 | 3.26 a | 0.412 a | 3.19 a | 1.02 b |
| S 2.3 ds m−1 | 2.57 b | 0.303 b | 2.47 b | 1.74 a |
| Irrigation Levels (%ETc) | ||||
| 100 | 3.43 a | 0.445 a | 3.49 a | 1.51 b |
| 80 | 3.27 b | 0.408 b | 3.14 b | 1.64 a |
| 60 | 2.71 c | 0.317 c | 2.60 c | 1.38 c |
| 40 | 2.26 d | 0.260 d | 2.09 d | 0.99 d |
| Biochar | ||||
| BC0% | 2.84 b | 0.373 a | 2.74 b | 1.44 a |
| BC5% | 2.99 a | 0.341 b | 2.92 a | 1.31 b |
| Parameters | Moisture (%) | Resident Material (%) | SA m2 g−1 | OM % | Ash % | pH | EC dS m−1 | N % | P % | K % | C % | H % | Na % | C/N Ratio |
|---|---|---|---|---|---|---|---|---|---|---|---|---|---|---|
| biochar | 3.53 | 47.90 | 237.80 | 30.33 | 25.70 | 8.82 | 3.71 | 0.24 | 0.22 | 0.88 | 60 | 3.44 | 5.63 | 250:1 |
| Cations (meql−1) | Anions (meql−1) | |||||||||||||
| Irrigation Water | Ca2+ | Mg2+ | K+ | Na+ | CO32− | Cl− | HCO3− | |||||||
| Fresh | 2.78 | 7.21 | 0.93 | 3.19 | 2.54 | 0.13 | 4.70 | 0.00 | 7.93 | 2.32 | ||||
| Saline | 13.32 | 7.52 | 2.30 | 2.80 | 2.20 | 0.29 | 21.04 | 0.00 | 21.29 | 2.86 | ||||
| Chemical properties of soil | 2.02 | 7.27 | 2.46 | 10.92 | 2.25 | 5.10 | 3.80 | 0.00 | 4.50 | 18.3 | ||||
| Soil Type | Sand (%) | Silt (%) | Clay (%) | Soil texture | ||||||||||
| 80 | 13 | 7 | Loamy sand | |||||||||||
Disclaimer/Publisher’s Note: The statements, opinions and data contained in all publications are solely those of the individual author(s) and contributor(s) and not of MDPI and/or the editor(s). MDPI and/or the editor(s) disclaim responsibility for any injury to people or property resulting from any ideas, methods, instructions or products referred to in the content. |
© 2024 by the authors. Licensee MDPI, Basel, Switzerland. This article is an open access article distributed under the terms and conditions of the Creative Commons Attribution (CC BY) license (https://creativecommons.org/licenses/by/4.0/).
Share and Cite
Obadi, A.; Alharbi, A.; Alomran, A.; Alghamdi, A.G.; Louki, I.; Alkhasha, A.; Alqardaeai, T. Enhancement in Tomato Yield and Quality Using Biochar Amendments in Greenhouse under Salinity and Drought Stress. Plants 2024, 13, 1634. https://doi.org/10.3390/plants13121634
Obadi A, Alharbi A, Alomran A, Alghamdi AG, Louki I, Alkhasha A, Alqardaeai T. Enhancement in Tomato Yield and Quality Using Biochar Amendments in Greenhouse under Salinity and Drought Stress. Plants. 2024; 13(12):1634. https://doi.org/10.3390/plants13121634
Chicago/Turabian StyleObadi, Abdullah, Abdulaziz Alharbi, Abdulrasoul Alomran, Abdulaziz G. Alghamdi, Ibrahim Louki, Arafat Alkhasha, and Thabit Alqardaeai. 2024. "Enhancement in Tomato Yield and Quality Using Biochar Amendments in Greenhouse under Salinity and Drought Stress" Plants 13, no. 12: 1634. https://doi.org/10.3390/plants13121634
APA StyleObadi, A., Alharbi, A., Alomran, A., Alghamdi, A. G., Louki, I., Alkhasha, A., & Alqardaeai, T. (2024). Enhancement in Tomato Yield and Quality Using Biochar Amendments in Greenhouse under Salinity and Drought Stress. Plants, 13(12), 1634. https://doi.org/10.3390/plants13121634

