Rhizosphere Microbiome and Phenolic Acid Exudation of the Healthy and Diseased American Ginseng Were Modulated by the Cropping History
Abstract
:1. Introduction
2. Result
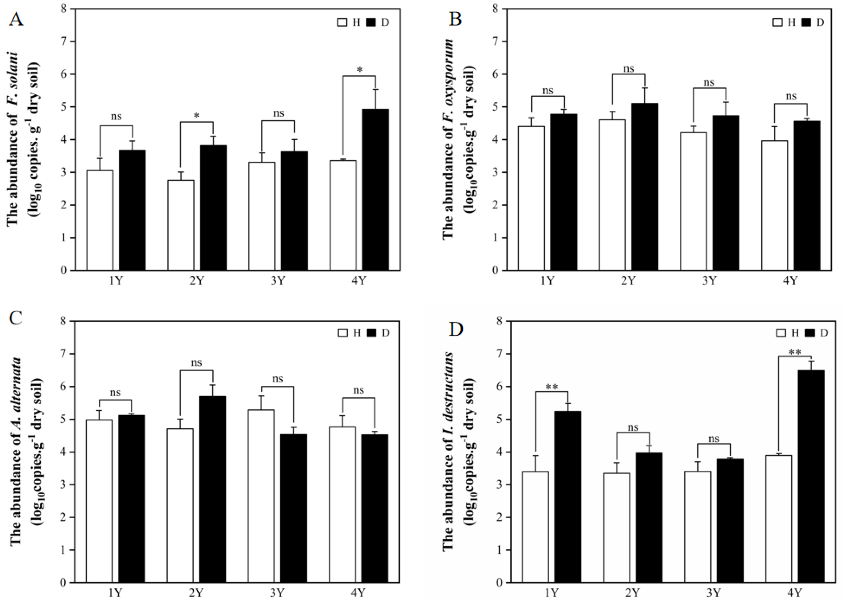
2.1. The Abundance of American Ginseng Pathogens in the Rhizosphere Soil
2.2. Phenolic Acid Content in the Rhizosphere Soil of American Ginseng
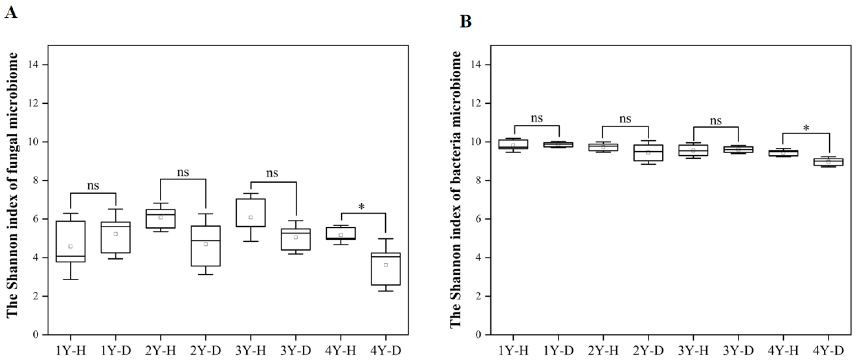
2.3. Microbial Communities in the Rhizosphere Soil of the Healthy and Diseased American Ginseng
2.4. Relationship between Phenolic Acids and Pathogens Abundance
3. Discussion
3.1. Potential Pathogens for Root Rot of American Ginseng on the Different Monocropping Years
3.2. The Changes in Phenolic Acid in the Healthy and Diseased American Ginseng during Various Consecutive Years of Monocropping
3.3. The Change in Microbial Community in the Healthy and Diseased American Ginseng during Various Consecutive Years of Monocropping
3.4. The Phenolic Acid Suppressed the Growth of Pathogen
4. Materials and Methods
4.1. Sample Collection
4.2. The Extraction and Measurement of Phenolic Acid
4.3. Soil DNA Extraction and Sequencing
4.4. The qPCR Analysis
4.5. Effects of Exogenous Phenolic Acid Concentration on Pathogen Suppression
4.6. Statistical Analysis
5. Conclusions
Supplementary Materials
Author Contributions
Funding
Data Availability Statement
Acknowledgments
Conflicts of Interest
References
- Ji, L.; Nasir, F.; Tian, L.; Chang, J.; Sun, Y.; Zhang, J.; Li, X.; Tian, C. Outbreaks of Root Rot Disease in Different Aged American Ginseng Plants Are Associated With Field Microbial Dynamics. Front. Microbiol. 2021, 12, 676880. [Google Scholar] [CrossRef] [PubMed]
- Dong, L.; Xu, J.; Zhang, L.; Yang, J.; Liao, B.; Li, X.; Chen, S. High-Throughput Sequencing Technology Reveals That Continuous Cropping of American Ginseng Results in Changes in the Microbial Community in Arable Soil. Chin. Med. 2017, 12, 18. [Google Scholar] [CrossRef] [PubMed]
- Kaur, J.; Singh, J.P. Long-Term Effects of Continuous Cropping and Different Nutrient Management Practices on the Distribution of Organic Nitrogen in Soil under Rice-Wheat System. Plant Soil Environ. 2014, 60, 63–68. [Google Scholar] [CrossRef]
- Van Wyk, D.A.B.; Adeleke, R.; Rhode, O.H.J.; Bezuidenhout, C.C.; Mienie, C. Ecological Guild and Enzyme Activities of Rhizosphere Soil Microbial Communities Associated with Bt-Maize Cultivation under Field Conditions in North West Province of South Africa. J. Basic Microbiol. 2017, 57, 781–792. [Google Scholar] [CrossRef]
- Neils, A.L.; Brisco-McCann, E.I.; Harlan, B.R.; Hausbeck, M.K. Management Strategies for Alternaria Leaf Blight on American Ginseng. Crop Prot. 2021, 139, 105302. [Google Scholar] [CrossRef]
- Bao, L.; Liu, Y.; Ding, Y.; Shang, J.; Wei, Y.; Tan, Y.; Zi, F. Interactions Between Phenolic Acids and Microorganisms in Rhizospheric Soil From Continuous Cropping of Panax notoginseng. Front. Microbiol. 2022, 13, 791603. [Google Scholar] [CrossRef]
- Goodwin, P.H. The Rhizosphere Microbiome of Ginseng. Microorganisms 2022, 10, 1152. [Google Scholar] [CrossRef]
- Steinauer, K.; Thakur, M.P.; Emilia Hannula, S.; Weinhold, A.; Uthe, H.; van Dam, N.M.; Martijn Bezemer, T. Root Exudates and Rhizosphere Microbiomes Jointly Determine Temporal Shifts in Plant-soil Feedbacks. Plant Cell Environ. 2023, 46, 1885–1899. [Google Scholar] [CrossRef]
- Guan, Y.M.; Ma, Y.Y.; Zhang, L.L.; Pan, X.X.; Liu, N.; Zhang, Y.Y. Occurrence of Sclerotinia Sclerotiorum Causing Sclerotinia Root Rot on American Ginseng in Northeastern China. Plant Dis. 2022, 106, 1518. [Google Scholar] [CrossRef]
- Schmidt, J.H.; Theisgen, L.V.; Finckh, M.R.; Šišić, A. Increased Resilience of Peas Toward Root Rot Pathogens Can Be Predicted by the Nematode Metabolic Footprint. Front. Sustain. Food Syst. 2022, 6, 881520. [Google Scholar] [CrossRef]
- Wu, Z.; Hao, Z.; Zeng, Y.; Guo, L.; Huang, L.; Chen, B. Molecular Characterization of Microbial Communities in the Rhizosphere Soils and Roots of Diseased and Healthy Panax Notoginseng. Antonie Van Leeuwenhoek 2015, 108, 1059–1074. [Google Scholar] [CrossRef]
- Zhang, Y.; Xu, J.; Riera, N.; Jin, T.; Li, J.; Wang, N. Huanglongbing Impairs the Rhizosphere-to-Rhizoplane Enrichment Process of the Citrus Root-Associated Microbiome. Microbiome 2017, 5, 97. [Google Scholar] [CrossRef]
- Ahmad, T.; Farooq, S.; Mirza, D.N.; Kumar, A.; Mir, R.A.; Riyaz-Ul-Hassan, S. Insights into the Endophytic Bacterial Microbiome of Crocus Sativus: Functional Characterization Leads to Potential Agents That Enhance the Plant Growth, Productivity, and Key Metabolite Content. Microb. Ecol. 2022, 83, 669–688. [Google Scholar] [CrossRef]
- Pieterse, C.M.J.; Zamioudis, C.; Berendsen, R.L.; Weller, D.M.; Van Wees, S.C.M.; Bakker, P.A.H.M. Induced Systemic Resistance by Beneficial Microbes. Annu. Rev. Phytopathol. 2014, 52, 347–375. [Google Scholar] [CrossRef] [PubMed]
- Tan, Y.; Cui, Y.; Li, H.; Kuang, A.; Li, X.; Wei, Y.; Ji, X. Rhizospheric Soil and Root Endogenous Fungal Diversity and Composition in Response to Continuous Panax Notoginseng Cropping Practices. Microbiol. Res. 2017, 194, 10–19. [Google Scholar] [CrossRef] [PubMed]
- Dong, L.; Xu, J.; Feng, G.; Li, X.; Chen, S. Soil Bacterial and Fungal Community Dynamics in Relation to Panax Notoginseng Death Rate in a Continuous Cropping System. Sci. Rep. 2016, 6, 31802. [Google Scholar] [CrossRef]
- Tong, A.-Z.; Liu, W.; Liu, Q.; Xia, G.-Q.; Zhu, J.-Y. Diversity and Composition of the Panax Ginseng Rhizosphere Microbiome in Various Cultivation Modesand Ages. BMC Microbiol. 2021, 21, 18. [Google Scholar] [CrossRef]
- Zhang, S.; Jiang, Q.; Liu, X.; Liu, L.; Ding, W. Plant Growth Promoting Rhizobacteria Alleviate Aluminum Toxicity and Ginger Bacterial Wilt in Acidic Continuous Cropping Soil. Front. Microbiol. 2020, 11, 569512. [Google Scholar] [CrossRef] [PubMed]
- Wang, R.; Zhang, H.; Sun, L.; Qi, G.; Chen, S.; Zhao, X. Microbial Community Composition Is Related to Soil Biological and Chemical Properties and Bacterial Wilt Outbreak. Sci. Rep. 2017, 7, 343. [Google Scholar] [CrossRef] [PubMed]
- Zhou, X.; Zhang, J.; Pan, D.; Ge, X.; Jin, X.; Chen, S.; Wu, F. P-Coumaric Can Alter the Composition of Cucumber Rhizosphere Microbial Communities and Induce Negative Plant-Microbial Interactions. Biol. Fertil. Soils 2018, 54, 363–372. [Google Scholar] [CrossRef]
- Su, L.; Zhang, L.; Nie, D.; Kuramae, E.E.; Shen, B.; Shen, Q. Bacterial Tomato Pathogen Ralstonia Solanacearum Invasion Modulates Rhizosphere Compounds and Facilitates the Cascade Effect of Fungal Pathogen Fusarium Solani. Microorganisms 2020, 8, 806. [Google Scholar] [CrossRef]
- Zhao, Y.-M.; Cheng, Y.-X.; Ma, Y.-N.; Chen, C.-J.; Xu, F.-R.; Dong, X. Role of Phenolic Acids from the Rhizosphere Soils of Panax Notoginseng as a Double-Edge Sword in the Occurrence of Root-Rot Disease. Molecules 2018, 23, 819. [Google Scholar] [CrossRef] [PubMed]
- He, C.N.; Gao, W.W.; Yang, J.X.; Bi, W.; Zhang, X.S.; Zhao, Y.J. Identification of Autotoxic Compounds from Fibrous Roots of Panax quinquefolium L. Plant Soil 2009, 318, 63–72. [Google Scholar] [CrossRef]
- An, S.; Wei, Y.; Li, H.; Zhao, Z.; Hu, J.; Philp, J.; Ryder, M.; Toh, R.; Li, J.; Zhou, Y.; et al. Long-Term Monocultures of American Ginseng Change the Rhizosphere Microbiome by Reducing Phenolic Acids in Soil. Agriculture 2022, 12, 640. [Google Scholar] [CrossRef]
- DesRochers, N.; Walsh, J.P.; Renaud, J.B.; Seifert, K.A.; Yeung, K.K.-C.; Sumarah, M.W. Metabolomic Profiling of Fungal Pathogens Responsible for Root Rot in American Ginseng. Metabolites 2020, 10, 35. [Google Scholar] [CrossRef]
- Zhou, X.; Luo, C.; Li, K.; Zhu, D.; Jiang, L.; Wu, L.; Li, Y.; He, X.; Du, Y. First Report of Fusarium Striatum Causing Root Rot Disease of Panax Notoginseng in Yunnan, China. Phyton 2022, 91, 13–20. [Google Scholar] [CrossRef]
- Chehri, K.; Ghasempour, H.R.; Karimi, N. Molecular Phylogenetic and Pathogenetic Characterization of Fusarium Solani Species Complex (FSSC), the Cause of Dry Rot on Potato in Iran. Microb. Pathog. 2014, 67, 14–19. [Google Scholar] [CrossRef]
- Li, T.; Kim, J.-H.; Jung, B.; Ji, S.; Seo, M.W.; Han, Y.K.; Lee, S.W.; Bae, Y.S.; Choi, H.-G.; Lee, S.-H.; et al. Transcriptome Analyses of the Ginseng Root Rot Pathogens Cylindrocarpon Destructans and Fusarium Solani to Identify Radicicol Resistance Mechanisms. J. Ginseng Res. 2020, 44, 161–167. [Google Scholar] [CrossRef]
- Erazo, J.G.; Palacios, S.A.; Pastor, N.; Giordano, F.D.; Rovera, M.; Reynoso, M.M.; Venisse, J.S.; Torres, A.M. Biocontrol Mechanisms of Trichoderma Harzianum ITEM 3636 against Peanut Brown Root Rot Caused by Fusarium Solani RC 386. Biol. Control 2021, 164, 104774. [Google Scholar] [CrossRef]
- Wang, B.; Xia, Q.; Li, Y.; Zhao, J.; Yang, S.; Wei, F.; Huang, X.; Zhang, J.; Cai, Z. Root Rot-Infected Sanqi Ginseng Rhizosphere Harbors Dynamically Pathogenic Microbiotas Driven by the Shift of Phenolic Acids. Plant Soil 2021, 465, 385–402. [Google Scholar] [CrossRef]
- Mi, C.; Yang, R.; Rao, J.; Yang, S.; Wei, F.; Li, O.; Hu, X. Unveiling of Dominant Fungal Pathogens Associated With Rusty Root Rot of Panax Notoginseng Based on Multiple Methods. Plant Dis. 2017, 101, 2046–2052. [Google Scholar] [CrossRef] [PubMed]
- Zhao, Q.; Chen, L.; Dong, K.; Dong, Y.; Xiao, J. Cinnamic Acid Inhibited Growth of Faba Bean and Promoted the Incidence of Fusarium Wilt. Plants 2018, 7, 84. [Google Scholar] [CrossRef] [PubMed]
- Lin, Y.; Li, D.; Zhou, C.; Wu, Y.; Miao, P.; Dong, Q.; Zhu, S.; Pan, C. Application of Insecticides on Peppermint (Mentha × Piperita L.) Induces Lignin Accumulation in Leaves by Consuming Phenolic Acids and Thus Potentially Deteriorates Quality. J. Plant Physiol. 2022, 279, 153836. [Google Scholar] [CrossRef] [PubMed]
- Mandal, S.M.; Chakraborty, D.; Dey, S. Phenolic Acids Act as Signaling Molecules in Plant-Microbe Symbioses. Plant Signal. Behav. 2010, 5, 359–368. [Google Scholar] [CrossRef]
- Hellinger, J.; Kim, H.; Ralph, J.; Karlen, S.D. P -Coumaroylation of Lignin Occurs Outside of Commelinid Monocots in the Eudicot Genus Morus (Mulberry). Plant Physiol. 2023, 191, 854–861. [Google Scholar] [CrossRef]
- Islam, M.T.; Lee, B.-R.; Das, P.R.; La, V.H.; Jung, H.; Kim, T.-H. Characterization of P-Coumaric Acid-Induced Soluble and Cell Wall-Bound Phenolic Metabolites in Relation to Disease Resistance to Xanthomonas Campestris Pv. Campestris in Chinese Cabbage. Plant Physiol. Biochem. 2018, 125, 172–177. [Google Scholar] [CrossRef]
- Wei, F.; Feng, H.; Zhang, D.; Feng, Z.; Zhao, L.; Zhang, Y.; Deakin, G.; Peng, J.; Zhu, H.; Xu, X. Composition of Rhizosphere Microbial Communities Associated With Healthy and Verticillium Wilt Diseased Cotton Plants. Front. Microbiol. 2021, 12, 618169. [Google Scholar] [CrossRef]
- Lin, T.; Li, L.; Gu, X.; Owusu, A.M.; Li, S.; Han, S.; Cao, G.; Zhu, T.; Li, S. Seasonal Variations in the Composition and Diversity of Rhizosphere Soil Microbiome of Bamboo Plants as Infected by Soil-Borne Pathogen and Screening of Associated Antagonistic Strains. Ind. Crops Prod. 2023, 197, 116641. [Google Scholar] [CrossRef]
- Li, Y.; He, F.; Guo, Q.; Feng, Z.; Zhang, M.; Ji, C.; Xue, Q.; Lai, H. Compositional and Functional Comparison on the Rhizosphere Microbial Community between Healthy and Sclerotium Rolfsii-Infected Monkshood (Aconitum Carmichaelii) Revealed the Biocontrol Potential of Healthy Monkshood Rhizosphere Microorganisms. Biol. Control 2022, 165, 104790. [Google Scholar] [CrossRef]
- Zhang, M.; Jia, J.; Lu, H.; Feng, M.; Yang, W. Functional Diversity of Soil Microbial Communities in Response to Supplementing 50% of the Mineral N Fertilizer with Organic Fertilizer in an Oat Field. J. Integr. Agric. 2021, 20, 2255–2264. [Google Scholar] [CrossRef]
- Wutzler, T.; Reichstein, M. Priming and Substrate Quality Interactions in Soil Organic Matter Models. Biogeosciences 2013, 10, 2089–2103. [Google Scholar] [CrossRef]
- Olivain, C.; Humbert, C.; Nahalkova, J.; Fatehi, J.; L’Haridon, F.; Alabouvette, C. Colonization of Tomato Root by Pathogenic and Nonpathogenic Fusarium Oxysporum Strains Inoculated Together and Separately into the Soil. Appl. Environ. Microbiol. 2006, 72, 1523–1531. [Google Scholar] [CrossRef] [PubMed]
- Gao, Z.; Han, M.; Hu, Y.; Li, Z.; Liu, C.; Wang, X.; Tian, Q.; Jiao, W.; Hu, J.; Liu, L.; et al. Effects of Continuous Cropping of Sweet Potato on the Fungal Community Structure in Rhizospheric Soil. Front. Microbiol. 2019, 10, 2269. [Google Scholar] [CrossRef] [PubMed]
- Harman, G.E.; Howell, C.R.; Viterbo, A.; Chet, I.; Lorito, M. Trichoderma Species—Opportunistic, Avirulent Plant Symbionts. Nat. Rev. Microbiol. 2004, 2, 43–56. [Google Scholar] [CrossRef]
- López, A.C.; Giorgio, E.M.; Vereschuk, M.L.; Zapata, P.D.; Luna, M.F.; Alvarenga, A.E. Ilex Paraguariensis Hosts Root-Trichoderma Spp. with Plant-Growth-Promoting Traits: Characterization as Biological Control Agents and Biofertilizers. Curr. Microbiol. 2023, 80, 120. [Google Scholar] [CrossRef] [PubMed]
- Gardes, M.; Bruns, T.D. ITS Primers with Enhanced Specificity for Basidiomycetes—Application to the Identification of Mycorrhizae and Rusts. Mol. Ecol. 1993, 2, 113–118. [Google Scholar] [CrossRef] [PubMed]
- Wang, H.; Tang, W.; Mao, Y.; Ma, S.; Chen, X.; Shen, X.; Yin, C.; Mao, Z. Isolation of Trichoderma Virens 6PS-2 and Its Effects on Fusarium Proliferatum f. Sp. Malus Domestica MR5 Related to Apple Replant Disease (ARD) in China. Hortic. Plant J. 2022, in press, S246801412200111X. [Google Scholar] [CrossRef]
- Ren, L.; Huo, H.; Zhang, F.; Hao, W.; Xiao, L.; Dong, C.; Xu, G. The Components of Rice and Watermelon Root Exudates and Their Effects on Pathogenic Fungus and Watermelon Defense. Plant Signal. Behav. 2016, 11, e1187357. [Google Scholar] [CrossRef]
- Yuan, F.; Zhang, C. lan Alleviating Effect of Phenol Compounds on Cucumber Fusarium Wilt and Mechanism. Agric. Sci. China 2003, 6, 60–65. [Google Scholar]
- Wu, H.-S.; Raza, W.; Fan, J.-Q.; Sun, Y.-G.; Bao, W.; Shen, Q.-R. Cinnamic Acid Inhibits Growth but Stimulates Production of Pathogenesis Factors by in Vitro Cultures of Fusarium Oxysporum f.Sp. Niveum. J. Agric. Food Chem. 2008, 56, 1316–1321. [Google Scholar] [CrossRef]
- Meng, L.; Xia, Z.; Lv, J.; Liu, G.; Tan, Y.; Li, Q. Extraction and GC-MS Analysis of Phenolic Acids in Rhizosphere Soil of Pinellia Ternate. J. Radiat. Res. Appl. Sci. 2022, 15, 40–45. [Google Scholar] [CrossRef]
- Rahman, M.; Punja, Z.K. Biochemistry of Ginseng Root Tissues Affected by Rusty Root Symptoms. Plant Physiol. Biochem. 2005, 43, 1103–1114. [Google Scholar] [CrossRef]
- Das, S.; Sultana, K.W.; Chandra, I. Adventitious Rhizogenesis in Basilicum Polystachyon (L.) Moench Callus and HPLC Analysis of Phenolic Acids. Acta Physiol. Plant 2021, 43, 146. [Google Scholar] [CrossRef]
- Bolyen, E.; Rideout, J.R.; Dillon, M.R.; Bokulich, N.A.; Abnet, C.; Al-Ghalith, G.A.; Alexander, H.; Alm, E.J.; Arumugam, M.; Asnicar, F.; et al. QIIME 2: Reproducible, Interactive, Scalable, and Extensible Microbiome Data Science. PeerJ Preprints 2018, e27295v1. [Google Scholar] [CrossRef] [PubMed]
- Callahan, B.J.; McMurdie, P.J.; Rosen, M.J.; Han, A.W.; Johnson, A.J.A.; Holmes, S.P. DADA2: High-Resolution Sample Inference from Illumina Amplicon Data. Nat. Methods 2016, 13, 581–583. [Google Scholar] [CrossRef] [PubMed]
- Kõljalg, U.; Larsson, K.-H.; Abarenkov, K.; Nilsson, R.H.; Alexander, I.J.; Eberhardt, U.; Erland, S.; Høiland, K.; Kjøller, R.; Larsson, E.; et al. UNITE: A Database Providing Web-Based Methods for the Molecular Identification of Ectomycorrhizal Fungi. New Phytol. 2005, 166, 1063–1068. [Google Scholar] [CrossRef]
- DeSantis, T.Z.; Hugenholtz, P.; Larsen, N.; Rojas, M.; Brodie, E.L.; Keller, K.; Huber, T.; Dalevi, D.; Hu, P.; Andersen, G.L. Greengenes, a Chimera-Checked 16S RRNA Gene Database and Workbench Compatible with ARB. Appl. Environ. Microbiol. 2006, 72, 5069–5072. [Google Scholar] [CrossRef]
- Lievens, B.; Brouwer, M.; Vanachter, A.C.R.C.; Levesque, C.A.; Cammue, B.P.A.; Thomma, B.P.H.J. Quantitative Assessment of Phytopathogenic Fungi in Various Substrates Using a DNA Macroarray. Environ. Microbiol. 2005, 7, 1698–1710. [Google Scholar] [CrossRef]
- Pavón, M.Á.; González, I.; Rojas, M.; Pegels, N.; Martín, R.; García, T. PCR Detection of Alternaria Spp. in Processed Foods, Based on the Internal Transcribed Spacer Genetic Marker. J. Food Prot. 2011, 74, 240–247. [Google Scholar] [CrossRef]
- Durairaj, K.; Velmurugan, P.; Park, J.-H.; Chang, W.-S.; Park, Y.-J.; Senthilkumar, P.; Choi, K.-M.; Lee, J.-H.; Oh, B.-T. An Investigation of Biocontrol Activity Pseudomonas and Bacillus Strains against Panax Ginseng Root Rot Fungal Phytopathogens. Biol. Control. 2018, 125, 138–146. [Google Scholar] [CrossRef]
- Luo, Y.; Tian, P. Growth and Characteristics of Two Different Epichloë Sinensis Strains Under Different Cultures. Front. Microbiol. 2021, 12, 726935. [Google Scholar] [CrossRef] [PubMed]
- Vázquez-Baeza, Y.; Pirrung, M.; Gonzalez, A.; Knight, R. EMPeror: A Tool for Visualizing High-Throughput Microbial Community Data. GigaSci 2013, 2, 16. [Google Scholar] [CrossRef] [PubMed]
- Rohart, F.; Gautier, B.; Singh, A.; Lê Cao, K.-A. MixOmics: An R Package for ‘omics Feature Selection and Multiple Data Integration. PLoS Comput. Biol. 2017, 13, e1005752. [Google Scholar] [CrossRef] [PubMed]
- Luo, C.; Wang, Z.; Wang, S.; Zhang, J.; Yu, J. Locating Facial Landmarks Using Probabilistic Random Forest. IEEE Signal Process. Lett. 2015, 22, 2324–2328. [Google Scholar] [CrossRef]






Disclaimer/Publisher’s Note: The statements, opinions and data contained in all publications are solely those of the individual author(s) and contributor(s) and not of MDPI and/or the editor(s). MDPI and/or the editor(s) disclaim responsibility for any injury to people or property resulting from any ideas, methods, instructions or products referred to in the content. |
© 2023 by the authors. Licensee MDPI, Basel, Switzerland. This article is an open access article distributed under the terms and conditions of the Creative Commons Attribution (CC BY) license (https://creativecommons.org/licenses/by/4.0/).
Share and Cite
Zhang, J.; Wei, Y.; Li, H.; Hu, J.; Zhao, Z.; Wu, Y.; Yang, H.; Li, J.; Zhou, Y. Rhizosphere Microbiome and Phenolic Acid Exudation of the Healthy and Diseased American Ginseng Were Modulated by the Cropping History. Plants 2023, 12, 2993. https://doi.org/10.3390/plants12162993
Zhang J, Wei Y, Li H, Hu J, Zhao Z, Wu Y, Yang H, Li J, Zhou Y. Rhizosphere Microbiome and Phenolic Acid Exudation of the Healthy and Diseased American Ginseng Were Modulated by the Cropping History. Plants. 2023; 12(16):2993. https://doi.org/10.3390/plants12162993
Chicago/Turabian StyleZhang, Jiahui, Yanli Wei, Hongmei Li, Jindong Hu, Zhongjuan Zhao, Yuanzheng Wu, Han Yang, Jishun Li, and Yi Zhou. 2023. "Rhizosphere Microbiome and Phenolic Acid Exudation of the Healthy and Diseased American Ginseng Were Modulated by the Cropping History" Plants 12, no. 16: 2993. https://doi.org/10.3390/plants12162993
APA StyleZhang, J., Wei, Y., Li, H., Hu, J., Zhao, Z., Wu, Y., Yang, H., Li, J., & Zhou, Y. (2023). Rhizosphere Microbiome and Phenolic Acid Exudation of the Healthy and Diseased American Ginseng Were Modulated by the Cropping History. Plants, 12(16), 2993. https://doi.org/10.3390/plants12162993

