Linkages between Plant Community Composition and Soil Microbial Diversity in Masson Pine Forests
Abstract
1. Introduction
2. Results
2.1. Description of Plant Community, Soil Physicochemical Properties, Bacteria and Fungi
2.2. Main Drivers of Soil Microbial Composition and Diversity
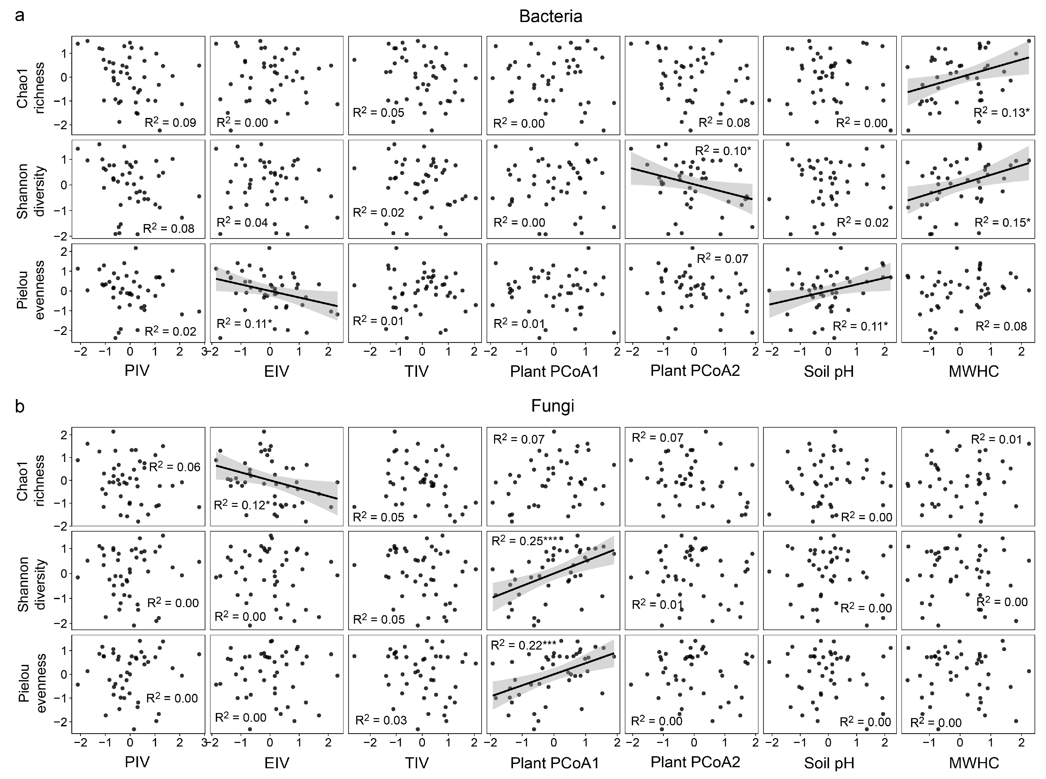
2.3. Relationship between Environmental Factors and Soil Microbial Diversity
2.4. Linkages of Microbial Composition and Functional Groups with Environmental Factors
3. Discussion
3.1. Soil Microbial Communities Are Mainly Associated with Woody Plant Composition Rather Than Diversity
3.2. Linkages between Plant Community Composition and Soil Microbial Diversity
3.3. Linkages between Plant Community Composition and Microbial Functional Groups
4. Material and Methods
4.1. Study Area
4.2. Plant Community Investigation
4.3. Dominance of Plant Functional Groups
4.4. Soil Sampling and Physicochemical Analyses
4.5. DNA Extraction and Sequencing
4.6. Bioinformatics
4.7. Statistical Analyses
5. Conclusions
Supplementary Materials
Author Contributions
Funding
Institutional Review Board Statement
Informed Consent Statement
Data Availability Statement
Acknowledgments
Conflicts of Interest
References
- Delgado-Baquerizo, M.; Reich, P.B.; Trivedi, C.; Eldridge, D.J.; Abades, S.; Alfaro, F.D.; Bastida, F.; Berhe, A.A.; Cutler, N.A.; Gallardo, A.; et al. Multiple Elements of Soil Biodiversity Drive Ecosystem Functions across Biomes. Nat. Ecol. Evol. 2020, 4, 210–220. [Google Scholar] [CrossRef] [PubMed]
- Van Der Heijden, M.G.A.; Bardgett, R.D.; Van Straalen, N.M. The Unseen Majority: Soil Microbes as Drivers of Plant Diversity and Productivity in Terrestrial Ecosystems. Ecol. Lett. 2008, 11, 296–310. [Google Scholar] [CrossRef] [PubMed]
- Shang, R.; Li, S.; Huang, X.; Liu, W.; Lang, X.; Su, J. Effects of Soil Properties and Plant Diversity on Soil Microbial Community Composition and Diversity during Secondary Succession. Forests 2021, 12, 805. [Google Scholar] [CrossRef]
- Zhou, Z.; Wang, C.; Jiang, L.; Luo, Y. Trends in Soil Microbial Communities during Secondary Succession. Soil Biol. Biochem. 2017, 115, 92–99. [Google Scholar] [CrossRef]
- Yu, M.; Xu, X.; Ding, P. Economic Loss versus Ecological Gain: The Outbreaks of Invaded Pinewood Nematode in China. Biol. Invasions 2011, 13, 1283–1290. [Google Scholar] [CrossRef]
- Fu, L.; Lei, X.; Hu, Z.; Zeng, W.; Tang, S.; Marshall, P.; Cao, L.; Song, X.; Yu, L.; Liang, J. Integrating Regional Climate Change into Allometric Equations for Estimating Tree Aboveground Biomass of Masson Pine in China. Ann. For. Sci. 2017, 74, 42. [Google Scholar] [CrossRef]
- Yao, X.; Yu, K.; Deng, Y.; Zeng, Q.; Lai, Z.; Liu, J. Spatial Distribution of Soil Organic Carbon Stocks in Masson Pine (Pinus massoniana) Forests in Subtropical China. Catena 2019, 178, 189–198. [Google Scholar] [CrossRef]
- Phillips, R.P.; Brzostek, E.; Midgley, M.G. The Mycorrhizal-Associated Nutrient Economy: A New Framework for Predicting Carbon-Nutrient Couplings in Temperate Forests. New Phytol. 2013, 199, 41–51. [Google Scholar] [CrossRef]
- Han, W.; Wang, G.; Liu, J.; Ni, J. Effects of Vegetation Type, Season, and Soil Properties on Soil Microbial Community in Subtropical Forests. Appl. Soil Ecol. 2021, 158, 103813. [Google Scholar] [CrossRef]
- Prescott, C.E.; Grayston, S.J. Tree Species Influence on Microbial Communities in Litter and Soil: Current Knowledge and Research Needs. For. Ecol. Manag. 2013, 309, 19–27. [Google Scholar] [CrossRef]
- Urbanová, M.; Šnajdr, J.; Baldrian, P. Composition of Fungal and Bacterial Communities in Forest Litter and Soil Is Largely Determined by Dominant Trees. Soil Biol. Biochem. 2015, 84, 53–64. [Google Scholar] [CrossRef]
- Lange, M.; Eisenhauer, N.; Sierra, C.A.; Bessler, H.; Engels, C.; Griffiths, R.I.; Mellado-Vázquez, P.G.; Malik, A.A.; Roy, J.; Scheu, S.; et al. Plant Diversity Increases Soil Microbial Activity and Soil Carbon Storage. Nat. Commun. 2015, 6, 6707. [Google Scholar] [CrossRef] [PubMed]
- Millard, P.; Singh, B.K. Does Grassland Vegetation Drive Soil Microbial Diversity? Nutr. Cycl. Agroecosyst. 2010, 88, 147–158. [Google Scholar] [CrossRef]
- Yang, T.; Adams, J.M.; Shi, Y.; He, J.S.; Jing, X.; Chen, L.; Tedersoo, L.; Chu, H. Soil Fungal Diversity in Natural Grasslands of the Tibetan Plateau: Associations with Plant Diversity and Productivity. New Phytol. 2017, 215, 756–765. [Google Scholar] [CrossRef]
- Tomao, A.; Antonio Bonet, J.; Castaño, C.; de-Miguel, S. How Does Forest Management Affect Fungal Diversity and Community Composition? Current Knowledge and Future Perspectives for the Conservation of Forest Fungi. For. Ecol. Manag. 2020, 457, 117678. [Google Scholar] [CrossRef]
- Zhong, Z.; Wang, X.; Zhang, X.; Zhang, W.; Xu, Y.; Ren, C.; Han, X.; Yang, G. Edaphic Factors but Not Plant Characteristics Mainly Alter Soil Microbial Properties along a Restoration Chronosequence of Pinus tabulaeformis Stands on Mt. Ziwuling, China. For. Ecol. Manag. 2019, 453, 117625. [Google Scholar] [CrossRef]
- Berg, G.; Smalla, K. Plant Species and Soil Type Cooperatively Shape the Structure and Function of Microbial Communities in the Rhizosphere. FEMS Microbiol. Ecol. 2009, 68, 1–13. [Google Scholar] [CrossRef]
- Chen, L.; Xiang, W.; Wu, H.; Ouyang, S.; Zhou, B.; Zeng, Y.; Chen, Y.; Kuzyakov, Y. Tree Species Identity Surpasses Richness in Affecting Soil Microbial Richness and Community Composition in Subtropical Forests. Soil Biol. Biochem. 2019, 130, 113–121. [Google Scholar] [CrossRef]
- Fierer, N.; Jackson, R.B. The Diversity and Biogeography of Soil Bacterial Communities. Proc. Natl. Acad. Sci. USA 2006, 103, 626–631. [Google Scholar] [CrossRef]
- Siles, J.A.; Margesin, R. Abundance and Diversity of Bacterial, Archaeal, and Fungal Communities Along an Altitudinal Gradient in Alpine Forest Soils: What Are the Driving Factors? Microb. Ecol. 2016, 72, 207–220. [Google Scholar] [CrossRef]
- Colin, Y.; Goberna, M.; Verdú, M.; Navarro-Cano, J.A. Successional Trajectories of Soil Bacterial Communities in Mine Tailings: The Role of Plant Functional Traits. J. Environ. Manag. 2019, 241, 284–292. [Google Scholar] [CrossRef] [PubMed]
- Tedersoo, L.; Bahram, M.; Cajthaml, T.; Põlme, S.; Hiiesalu, I.; Anslan, S.; Harend, H.; Buegger, F.; Pritsch, K.; Koricheva, J.; et al. Tree Diversity and Species Identity Effects on Soil Fungi, Protists and Animals Are Context Dependent. ISME J. 2016, 10, 346–362. [Google Scholar] [CrossRef] [PubMed]
- Yates, C.F.; Guo, J.; Bell, T.H.; Fleishman, S.M.; Bock, H.W.; Trexler, R.V.; Eissenstat, D.M.; Centinari, M. Tree-induced Alterations to Soil Properties and Rhizoplane-associated Bacteria Following 23 Years in a Common Garden. Plant Soil 2021, 461, 591–602. [Google Scholar] [CrossRef]
- Wardle, D.A. The Influence of Biotic Interactions on Soil Biodiversity. Ecol. Lett. 2006, 9, 870–886. [Google Scholar] [CrossRef] [PubMed]
- Lauber, C.L.; Strickland, M.S.; Bradford, M.A.; Fierer, N. The Influence of Soil Properties on the Structure of Bacterial and Fungal Communities across Land-Use Types. Soil Biol. Biochem. 2008, 40, 2407–2415. [Google Scholar] [CrossRef]
- Kivlin, S.N.; Hawkes, C.V. Spatial and Temporal Turnover of Soil Microbial Communities Is Not Linked to Function in a Primary Tropical Forest. Ecology 2020, 101, e02985. [Google Scholar] [CrossRef]
- Adamo, I.; Castaño, C.; Bonet, J.A.; Colinas, C.; Martínez de Aragón, J.; Alday, J.G. Soil Physico-Chemical Properties Have a Greater Effect on Soil Fungi than Host Species in Mediterranean Pure and Mixed Pine Forests. Soil Biol. Biochem. 2021, 160, 108320. [Google Scholar] [CrossRef]
- Hobbie, S.E. Contrasting Effects of Substrate and Fertilizer Nitrogen on the Early Stages of Litter Decomposition. Ecosystems 2005, 8, 644–656. [Google Scholar] [CrossRef]
- Levy-Booth, D.J.; Prescott, C.E.; Grayston, S.J. Microbial Functional Genes Involved in Nitrogen Fixation, Nitrification and Denitrification in Forest Ecosystems. Soil Biol. Biochem. 2014, 75, 11–25. [Google Scholar] [CrossRef]
- Zhuang, Y.; Xu, Y.; Yang, M.; Zhao, H.; Ye, X. Impacts of Japanese Larch Invasion on Soil Bacterial Communities of the Giant Panda Habitat in the Qinling Mountains. Microorganisms 2022, 10, 1807. [Google Scholar] [CrossRef]
- Fernandez, C.W.; Kennedy, P.G. Revisiting the “Gadgil Effect”: Do Interguild Fungal Interactions Control Carbon Cycling in Forest Soils? New Phytol. 2016, 209, 1382–1394. [Google Scholar] [CrossRef] [PubMed]
- Liu, X.; Burslem, D.F.R.P.; Taylor, J.D.; Taylor, A.F.S.; Khoo, E.; Majalap-Lee, N.; Helgason, T.; Johnson, D. Partitioning of Soil Phosphorus among Arbuscular and Ectomycorrhizal Trees in Tropical and Subtropical Forests. Ecol. Lett. 2018, 21, 713–723. [Google Scholar] [CrossRef] [PubMed]
- Zeng, J.Y.; Vuong, T.M.D.; Zhang, B.W.; Chen, Y.Z.; Zhang, G.C.; Bi, B. An Investigation into Whether Effect of Tree Species on Soil Microbial Community Is Related with Deciduous Property or Leaf Shape. Catena 2020, 195, 104699. [Google Scholar] [CrossRef]
- Fierer, N. Embracing the Unknown: Disentangling the Complexities of the Soil Microbiome. Nat. Rev. Microbiol. 2017, 15, 579–590. [Google Scholar] [CrossRef]
- Chen, C.; Chen, H.Y.H.; Chen, X.; Huang, Z. Meta-Analysis Shows Positive Effects of Plant Diversity on Microbial Biomass and Respiration. Nat. Commun. 2019, 10, 1332. [Google Scholar] [CrossRef]
- Carney, K.M.; Matson, P.A. The Influence of Tropical Plant Diversity and Composition on Soil Microbial Communities. Microb. Ecol. 2006, 52, 226–238. [Google Scholar] [CrossRef]
- Qiang, W.; He, L.; Zhang, Y.; Liu, B.; Liu, Y.; Liu, Q.; Pang, X. Aboveground Vegetation and Soil Physicochemical Properties Jointly Drive the Shift of Soil Microbial Community during Subalpine Secondary Succession in Southwest China. Catena 2021, 202, 105251. [Google Scholar] [CrossRef]
- Baldrian, P. Forest Microbiome: Diversity, Complexity and Dynamics. FEMS Microbiol. Rev. 2017, 41, 109–130. [Google Scholar] [CrossRef]
- Cholewińska, O.; Keczyński, A.; Kusińska, B.; Jaroszewicz, B. Species Identity of Large Trees Affects the Composition and the Spatial Structure of Adjacent Trees. Forests 2021, 12, 1162. [Google Scholar] [CrossRef]
- Augusto, L.; Ranger, J.; Binkley, D.; Rothe, A. Impact of Several Common Tree Species of European Temperate Forests on Soil Fertility. Ann. For. Sci. 2002, 59, 233–253. [Google Scholar] [CrossRef]
- Horodecki, P.; Jagodziński, A.M. Tree Species Effects on Litter Decomposition in Pure Stands on Afforested Post-Mining Sites. For. Ecol. Manag. 2017, 406, 1–11. [Google Scholar] [CrossRef]
- Bardhan, S.; Jose, S.; Jenkins, M.A.; Webster, C.R.; Udawatta, R.P.; Stehn, S.E. Microbial Community Diversity and Composition across a Gradient of Soil Acidity in Spruce-Fir Forests of the Southern Appalachian Mountains. Appl. Soil Ecol. 2012, 61, 60–68. [Google Scholar] [CrossRef]
- Lyu, Q.; Luo, Y.; Dong, Y.; Xiang, Y.; Zhao, K.; Chen, G.; Chen, Y.; Fan, C.; Li, X. Effects of Forest Gaps on the Structure and Diversity of Soil Bacterial Communities in Weeping Cypress Forest Plantations. Front. Microbiol. 2022, 13, 882949. [Google Scholar] [CrossRef] [PubMed]
- Štursová, M.; Šnajdr, J.; Koukol, O.; Tláskal, V.; Cajthaml, T.; Baldrian, P. Long-Term Decomposition of Litter in the Montane Forest and the Definition of Fungal Traits in the Successional Space. Fungal Ecol. 2020, 46, 100193. [Google Scholar] [CrossRef]
- Marañón-Jiménez, S.; Radujković, D.; Verbruggen, E.; Grau, O.; Cuntz, M.; Peñuelas, J.; Richter, A.; Schrumpf, M.; Rebmann, C. Shifts in the Abundances of Saprotrophic and Ectomycorrhizal Fungi With Altered Leaf Litter Inputs. Front. Plant Sci. 2021, 12, 682142. [Google Scholar] [CrossRef]
- Lindahl, B.; Stenlid, J.; Finlay, R. Effects of Resource Availability on Mycelial Interactions and 32P Transfer between a Saprotrophic and an Ectomycorrhizal Fungus in Soil Microcosms. FEMS Microbiol. Ecol. 2001, 38, 43–52. [Google Scholar] [CrossRef]
- Gadgil, R.L.; Gadgil, P.D. Mycorrhiza and Litter Decomposition. Nature 1971, 233, 133. [Google Scholar] [CrossRef]
- Gadgil, R.L.; Gadgil, P.D. Suppression of Litter Decomposition by Mycorrhizal Roots of Pinus radiata. N. Z. J. For. Sci. 1975, 5, 33–41. [Google Scholar]
- Laliberté, E.; Lambers, H.; Burgess, T.I.; Wright, S.J. Phosphorus Limitation, Soil-Borne Pathogens and the Coexistence of Plant Species in Hyperdiverse Forests and Shrublands. New Phytol. 2015, 206, 507–521. [Google Scholar] [CrossRef]
- Cao, H.; Du, Y.; Gao, G.; Rao, L.; Ding, G.; Zhang, Y. Afforestation with Pinus sylvestris Var. Mongolica remodelled Soil Bacterial Community and Potential Metabolic Function in the Horqin Desert. Glob. Ecol. Conserv. 2021, 29, e01716. [Google Scholar] [CrossRef]
- Malik, A.A.; Swenson, T.; Weihe, C.; Morrison, E.W.; Martiny, J.B.H.; Brodie, E.L.; Northen, T.R.; Allison, S.D. Drought and Plant Litter Chemistry Alter Microbial Gene Expression and Metabolite Production. ISME J. 2020, 14, 2236–2247. [Google Scholar] [CrossRef] [PubMed]
- National Forest Inventory Forest Resources in China—The 9th National Forest Inventory; National Forestry and Grassland Administration: Beijing, China, 2019; p. 2255.
- Dang, P.; Vu, N.H.; Shen, Z.; Liu, J.; Zhao, F.; Zhu, H.; Yu, X.; Zhao, Z. Changes in Soil Fungal Communities and Vegetation Following Afforestation with Pinus tabulaeformis on the Loess Plateau. Ecosphere 2018, 9, e02401. [Google Scholar] [CrossRef]
- Guo, J.; Jiang, H.; Bian, H.; He, C.; Gao, Y. Effects of Hydrologic Mediation and Plantation of Carex schmidtii Meinsh on Peatland Restoration in China’s Changbai Mountain Region. Ecol. Eng. 2016, 96, 187–193. [Google Scholar] [CrossRef]
- Curtis, J.T. The Vegetation of Wisconsin. An Ordination of Plant Communities; University Wisconsin Press: Madison, WI, USA, 1959. [Google Scholar]
- Wang, B.; Qiu, Y.L. Phylogenetic Distribution and Evolution of Mycorrhizas in Land Plants. Mycorrhiza 2006, 16, 299–363. [Google Scholar] [CrossRef] [PubMed]
- Soudzilovskaia, N.A.; Vaessen, S.; Barcelo, M.; He, J.; Rahimlou, S.; Abarenkov, K.; Brundrett, M.C.; Gomes, S.I.F.; Merckx, V.; Tedersoo, L. FungalRoot: Global Online Database of Plant Mycorrhizal Associations. New Phytol. 2020, 227, 955–966. [Google Scholar] [CrossRef] [PubMed]
- Keller, A.B.; Phillips, R.P. Leaf Litter Decay Rates Differ between Mycorrhizal Groups in Temperate, but Not Tropical, Forests. New Phytol. 2019, 222, 556–564. [Google Scholar] [CrossRef] [PubMed]
- Forestry Industry Standards of China. Determination of Forest Soil Water-Related Physical Properties (LY/T 1215-1999); Chinese Academy of Forestry Sciences: Beijing, China, 1999. [Google Scholar]
- Bray, R.H.; Kurtz, L.T. Determination of Total Organic and Available Forms of Phosphorus in Soils. Soil Sci. 1945, 59, 39–46. [Google Scholar] [CrossRef]
- Hong, C.; Si, Y.; Xing, Y.; Li, Y. Illumina MiSeq Sequencing Investigation on the Contrasting Soil Bacterial Community Structures in Different Iron Mining Areas. Environ. Sci. Pollut. Res. 2015, 22, 10788–10799. [Google Scholar] [CrossRef]
- Wang, X.; Fang, L.; Beiyuan, J.; Cui, Y.; Peng, Q.; Zhu, S.; Wang, M.; Zhang, X. Improvement of Alfalfa Resistance against Cd Stress through Rhizobia and Arbuscular Mycorrhiza Fungi Co-Inoculation in Cd-Contaminated Soil. Environ. Pollut. 2021, 277, 116758. [Google Scholar] [CrossRef]
- Orgiazzi, A.; Lumini, E.; Nilsson, R.H.; Girlanda, M.; Vizzini, A.; Bonfante, P.; Bianciotto, V. Unravelling Soil Fungal Communities from Different Mediterranean Land-Use Backgrounds. PLoS ONE 2012, 7, e34847. [Google Scholar] [CrossRef]
- Bolger, A.M.; Lohse, M.; Usadel, B. Trimmomatic: A Flexible Trimmer for Illumina Sequence Data. Bioinformatics 2014, 30, 2114–2120. [Google Scholar] [CrossRef] [PubMed]
- Martin, M. Cutadapt Removes Adapter Sequences from High-Throughput Sequencing Reads. EMBnet J. 2011, 17, 10–12. [Google Scholar] [CrossRef]
- Bolyen, E.; Rideout, J.R.; Dillon, M.R.; Bokulich, N.A.; Abnet, C.C.; Al-Ghalith, G.A.; Alexander, H.; Alm, E.J.; Arumugam, M.; Asnicar, F.; et al. Author Correction: Reproducible, Interactive, Scalable and Extensible Microbiome Data Science Using QIIME 2. Nat. Biotechnol. 2019, 37, 852–857. [Google Scholar] [CrossRef] [PubMed]
- Callahan, B.J.; McMurdie, P.J.; Rosen, M.J.; Han, A.W.; Amy Jo, A.; Johnson, S.P.H. DADA2: High-Resolution Sample Inference from Illumina Amplicon Data. Nat. Methods 2016, 13, 581–583. [Google Scholar] [CrossRef]
- Bokulich, N.A.; Subramanian, S.; Faith, J.J.; Gevers, D.; Gordon, J.I.; Knight, R.; Mills, D.A.; Caporaso, J.G. Quality-Filtering Vastly Improves Diversity Estimates from Illumina Amplicon Sequencing. Nat. Methods 2013, 10, 57–59. [Google Scholar] [CrossRef] [PubMed]
- Quast, C.; Pruesse, E.; Yilmaz, P.; Gerken, J.; Schweer, T.; Yarza, P.; Peplies, J.; Glöckner, F.O. The SILVA Ribosomal RNA Gene Database Project: Improved Data Processing and Web-Based Tools. Nucleic Acids Res. 2013, 41, 590–596. [Google Scholar] [CrossRef]
- Kõljalg, U.; Nilsson, R.H.; Abarenkov, K.; Tedersoo, L.; Taylor, A.F.S.; Bahram, M.; Bates, S.T.; Bruns, T.D.; Bengtsson-Palme, J.; Callaghan, T.M.; et al. Towards a Unified Paradigm for Sequence-Based Identification of Fungi. Mol. Ecol. 2013, 22, 5271–5277. [Google Scholar] [CrossRef] [PubMed]
- Douglas, G.M.; Maffei, V.J.; Zaneveld, J.R.; Yurgel, S.N.; Brown, J.R.; Taylor, C.M.; Huttenhower, C.; Langille, M.G. PICRUSt2 for Prediction of Metagenome Functions. Nat. Biotechnol. 2020, 38, 685–688. [Google Scholar] [CrossRef]
- Põlme, S.; Abarenkov, K.; Henrik Nilsson, R.; Lindahl, B.D.; Clemmensen, K.E.; Kauserud, H.; Nguyen, N.; Kjøller, R.; Bates, S.T.; Baldrian, P.; et al. FungalTraits: A User-friendly Traits Database of Fungi and Fungus-like Stramenopiles. Fungal Divers. 2020, 105, 1–16. [Google Scholar] [CrossRef]
- Oksanen, A.J.; Blanchet, F.G.; Friendly, M.; Kindt, R.; Legendre, P.; Mcglinn, D.; Minchin, P.R.; Hara, R.B.O.; Simpson, G.L.; Solymos, P.; et al. Package ‘ Vegan’. 2020. Available online: https://link.springer.com/article/10.1007/s13225-020-00466-2 (accessed on 15 October 2021).
- Midi, H.; Sarkar, S.K.; Rana, S. Collinearity Diagnostics of Binary Logistic Regression Model. J. Interdiscip. Math. 2010, 13, 253–267. [Google Scholar] [CrossRef]
- Zuur, A.F.; Ieno, E.N.; Elphick, C.S. A Protocol for Data Exploration to Avoid Common Statistical Problems. Methods Ecol. Evol. 2010, 1, 3–14. [Google Scholar] [CrossRef]
- Breiman, L. A Data Mining Based System for Transaction Fraud Detection. Mach. Learn. 2001, 45, 5–32. [Google Scholar] [CrossRef]





| Parameters | Chun’an | Suichang | Taishun |
|---|---|---|---|
| Latitude (N) | 29°29′26″–29°33′51″ | 28°35′34″–28°37′11″ | 27°33′48″–27°40′36″ |
| Longitude (E) | 118°41′22″–118°59′09″ | 118°56′08″–119°28′02″ | 119°41′56″–119°46′55″ |
| Altitude (m a.s.l.) | 112–257 | 228–641 | 221–602 |
| PIV | 0.19–0.37 | 0.19–0.43 | 0.10–0.55 |
| EIV | 0.63–0.94 | 0.47–0.95 | 0.83–0.95 |
| TIV | 0.26–0.47 | 0.53–0.85 | 0.39–0.71 |
| Plant species richness | 7.4–17.0 | 6.0–21.0 | 7.2–18.6 |
| Plant Shannon diversity | 1.5–2.2 | 1.2–2.6 | 1.4–2.5 |
| Soil MWHC (g kg−1) | 291–672 | 326–525 | 347–726 |
| Soil pH | 4.1–5.1 | 4.2–5.1 | 4.2–5.0 |
| Soil C (mg g−1) | 15.2–42.6 | 23.8–39.1 | 23.8–61.7 |
| Soil N (mg g−1) | 1.2–3.0 | 1.5–2.8 | 1.6–3.7 |
| Soil P (mg g−1) | 0.13–0.40 | 0.10–0.28 | 0.13–0.27 |
| C/N ratio | 11.9–16.5 | 12.8–17.3 | 14.4–18.1 |
Disclaimer/Publisher’s Note: The statements, opinions and data contained in all publications are solely those of the individual author(s) and contributor(s) and not of MDPI and/or the editor(s). MDPI and/or the editor(s) disclaim responsibility for any injury to people or property resulting from any ideas, methods, instructions or products referred to in the content. |
© 2023 by the authors. Licensee MDPI, Basel, Switzerland. This article is an open access article distributed under the terms and conditions of the Creative Commons Attribution (CC BY) license (https://creativecommons.org/licenses/by/4.0/).
Share and Cite
Guo, J.; Wei, B.; Liu, J.; Eissenstat, D.M.; Yu, S.; Gong, X.; Wu, J.; He, X.; Yu, M. Linkages between Plant Community Composition and Soil Microbial Diversity in Masson Pine Forests. Plants 2023, 12, 1750. https://doi.org/10.3390/plants12091750
Guo J, Wei B, Liu J, Eissenstat DM, Yu S, Gong X, Wu J, He X, Yu M. Linkages between Plant Community Composition and Soil Microbial Diversity in Masson Pine Forests. Plants. 2023; 12(9):1750. https://doi.org/10.3390/plants12091750
Chicago/Turabian StyleGuo, Jing, Boliang Wei, Jinliang Liu, David M. Eissenstat, Shuisheng Yu, Xiaofei Gong, Jianguo Wu, Xiaoyong He, and Mingjian Yu. 2023. "Linkages between Plant Community Composition and Soil Microbial Diversity in Masson Pine Forests" Plants 12, no. 9: 1750. https://doi.org/10.3390/plants12091750
APA StyleGuo, J., Wei, B., Liu, J., Eissenstat, D. M., Yu, S., Gong, X., Wu, J., He, X., & Yu, M. (2023). Linkages between Plant Community Composition and Soil Microbial Diversity in Masson Pine Forests. Plants, 12(9), 1750. https://doi.org/10.3390/plants12091750

