Essential Oil Yield, Composition, and Bioactivity of Sagebrush Species in the Bighorn Mountains
Abstract
1. Introduction
2. Results and Discussion
2.1. The 2011 Collections
2.1.1. Artemisia tridentata var. vaseyana
2.1.2. Artemisia tridentata var. tridentata
2.1.3. Artemisia tridentata var. wyomingensis
2.1.4. Artemisia cana
2.1.5. Artemisia longifolia
2.1.6. Artemisia ludoviciana ssp. ludoviciana
2.2. The 2014 Collections
2.2.1. Artemisia tridentata var. vaseyana
2.2.2. Artemisia tridentata var. wyomingensis
2.2.3. Artemisia cana var. cana
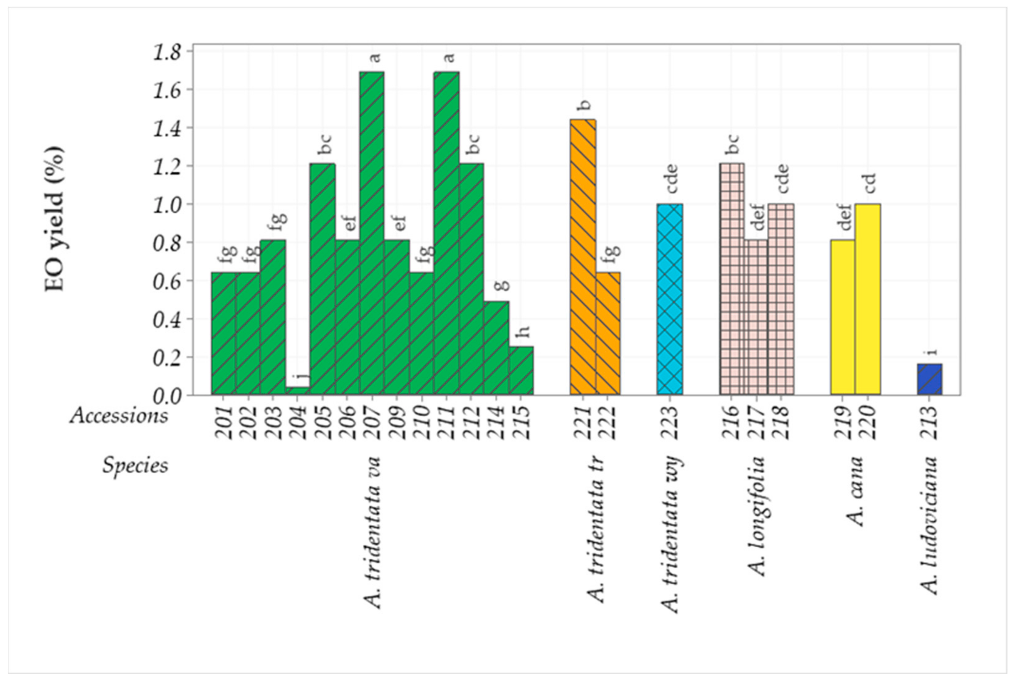
2.3. Essential Oil Yield
2.4. The Essential Oil Constituents Found in All Artemisia Species
2.5. Antioxidant Capacity of Artemisia Species and Subspecies
2.6. Antileishmanial Evaluations
2.7. Antiplasmodial Evaluations
2.8. Antimicrobial Evaluations
3. Materials and Methods
3.1. Collection of the Plant Material
3.2. Essential Oil Extraction
3.2.1. Steam Distillation
3.2.2. Hydro-Distillation
3.3. Gas Chromatography (GC) Mass Spectroscopy (MS) of the Sagebrush Species Essential Oil (EO)
3.4. Podophyllotoxin Extraction and Measurements
3.5. Antimicrobial, Antimalarial, and Antileishmanial Activity and Cytotoxicity
3.6. Antioxidant Activity of the EOs of Artemisia Species and Subspecies from This Study
3.7. Statistical Analyses of the Data
4. Conclusions
Supplementary Materials
Author Contributions
Funding
Institutional Review Board Statement
Informed Consent Statement
Data Availability Statement
Acknowledgments
Conflicts of Interest
References
- Bora, K.S.; Sharma, A. The Genus Artemisia: A Comprehensive Review. Pharm. Biol. 2011, 49, 101–109. [Google Scholar] [CrossRef] [PubMed]
- Boyle, S.A.; Reeder, D.R. Colorado Sagebrush: A Conservation Assessment and Strategy. Grand Junction: Colorado Division of Wildlife. 2005. Available online: https://cpw.state.co.us/Documents/WildlifeSpecies/Sagebrush/CHAPTER0contentsfrontmatter.pdf (accessed on 10 October 2020).
- Dumroese, R.K. Sagebrush rangelands and greater sage-grouse in Northeastern California. In Northeastern California Plateaus Bioregion Science Synthesis; Dumroese, R.K., Moser, W.K., Eds.; Gen. Tech. Rep. RMRS-GTR-409; U.S. Department of Agriculture, Forest Service, Rocky Mountain Research Station: Fort Collins, CO, USA, 2020; pp. 112–130. [Google Scholar]
- Byrd, D.W.; McArthur, E.D.; Wang, H.; Graham, J.H.; Freeman, D.C. Narrow hybrid zone between two subspecies of big sagebrush, Artemisia tridentata (Asteraceae). VIII. Spatial and temporal pattern of terpenes. Biochem. Syst. Ecol. 1999, 27, 11–25. [Google Scholar] [CrossRef]
- Shultz, L.M. Artemisia. In Flora of North America: North of Mexico; Flora of North America Editorial Committee, Ed.; Oxford University Press: New York, NY, USA, 2006; Volume 19, pp. 503–534. [Google Scholar]
- Davies, K.W.; Bates, J.D.; Johnson, D.D.; Nafus, A.M. Influence of mowing Artemisia tridentata ssp. wyomingensis on winter habitat for wildlife. Environ. Manag. 2009, 44, 84–92. [Google Scholar] [CrossRef] [PubMed]
- Davis, A.J.; Phillips, M.L.; Doherty, P.F., Jr. Nest success of Gunnison sage-grouse in Colorado, USA. PLoS ONE 2015, 10, e0136310. [Google Scholar] [CrossRef]
- Dziba, L.E.; Provenza, F.D.; Villalba, J.J.; Atwood, S.B. Supplemental energy and protein increase use of sagebrush by sheep. Small Rumin. Res. 2007, 69, 203–207. [Google Scholar] [CrossRef]
- Welch, B.L.; Pederson, J.C.; Rodrigues, R.L. Selection of big sagebrush by sage grouse. Great Basin Nat. 1988, 48, 274–279. [Google Scholar]
- Oldemeyer, J.L.; Barmore, W.J.; Gilbert, D.L. Winter ecology of Bighorn sheep in Yellowstone National Park. J. Wildl. Manag. 1971, 35, 257–269. [Google Scholar] [CrossRef]
- Sheehy, D.P.; Winward, A.H. Artemisia taxa to mule deer and sheep. J. Range Manag. 1981, 34, 397–399. [Google Scholar] [CrossRef]
- Veblen, K.E.; Nehring, K.C.; McGlone, C.M.; Ritchie, M.E. Contrasting effects of different mammalian herbivores on sagebrush plant communities. PLoS ONE 2015, 10, e0118016. [Google Scholar] [CrossRef]
- Jacques, C.N.; Jenks, J.A.; Grovenburg, T.W.; Klaver, R.W. Influence of habitat and intrinsic characteristics on survival of neonatal pronghorn. PLoS ONE 2015, 10, e0144026. [Google Scholar] [CrossRef]
- Copeland, H.E.; Pocewicz, A.; Naugle, D.E.; Griffiths, T.; Keinath, D.; Evans, J.; Platt, J. Measuring the effectiveness of conservation: A novel framework to quantify the benefits of sage-grouse conservation policy and easements in Wyoming. PLoS ONE 2013, 8, e67261. [Google Scholar] [CrossRef]
- Doherty, K.; Tack, J.D.; Evans, J.S.; Naugle, D.E. Mapping breeding densities of greater sage-grouse: A tool for range-wide conservation planning. In BLM Completion Report: Interagency Agreement # L10PG00911; Bureau of Land Management: Washington, DC, USA, 2010; pp. 1–29. [Google Scholar]
- McCutcheon, A.R.; Ellis, S.M.; Hancock, R.E.W.; Towers, G.H.N. Antifungal screening of medicinal plants of British Columbian native peoples. J. Ethnopharmacol. 1994, 44, 157–169. [Google Scholar] [CrossRef]
- Turi, C.E.; Shipley, P.R.; Murch, S.J. North American Artemisia species from the subgenus Tridentatae (Sagebrush): A phytochemical, botanical and pharmacological review. Phytochemistry 2014, 98, 9–26. [Google Scholar] [CrossRef]
- Talley, S.M.; Coley, P.D.; Kursar, T.A. Antifungal leaf-surface metabolites correlate with fungal abundance in sagebrush populations. J. Chem. Ecol. 2002, 28, 2141–2168. [Google Scholar] [CrossRef]
- Lopes-Lutz, L.; Alviano, D.S.; Alviano, C.S.; Kolodziejczyk, P.P. Screening of chemical composition, antimicrobial and antioxidant activities of Artemisia essential oils. Phytochemistry 2008, 69, 1732–1738. [Google Scholar] [CrossRef]
- Jassbi, A.R.; Zamanizadehnajari, S.; Baldwin, I.T. Phytotoxic volatiles in the roots and shoots of Artemisia tridentata as detected by headspace solid-phase microextraction and gas chromatographic-mass spectrometry analysis. J. Chem. Ecol. 2010, 36, 1398–1407. [Google Scholar] [CrossRef]
- Kelsey, R.G.; Wright, W.E.; Sneva, F.; Winward, A.; Britton, C. The concentration and composition of big sagebrush essential oils from Oregon. Biochem. Syst. Ecol. 1983, 11, 353–360. [Google Scholar] [CrossRef]
- Epstein, W.W.; Gaudioso, L.A.; Brewster, G.B. Essential oil constituents of Artemisia tridentata rothrockii. The isolation and characterization of two new irregular monoterpenes. J. Org. Chem. 1984, 49, 2748–2754. [Google Scholar] [CrossRef]
- Borek, T.T.; Hochrein, J.M.; Irwin, A.N. Composition of the Essential Oils from Rocky Mountain Juniper (Juniperus scopulorum), Big Sagebrush (Artemisia tridentata), and White Sage (Salvia apiana); SAND2003-3081; Sandia National Laboratories: Albuquerque, NM, USA, 2003; pp. 1–19. [Google Scholar]
- Lopes-Lutz, D.; Mckay, T.; Kolodziejczyk, P.P. Distribution of volatiles in Artemisia cana. Pharm. Biol. 2008, 46, 373–376. [Google Scholar] [CrossRef][Green Version]
- Buttkus, H.A.; Bose, R.J.; Shearer, D.A. Terpenes in the essential oil of sagebrush (Artemisia tridentata). J. Agric. Food Chem. 1977, 25, 288–291. [Google Scholar] [CrossRef]
- Collin, G.; St-Gelais, A.; Turcotte, M.; Gagnon, H. Composition of the essential oil and of some extracts of the aerial parts of Artemisia ludoviciana var. latiloba Nutt. Am. J. Essent. Oils 2017, 5, 28–38. [Google Scholar]
- Borges, R.S.; Ortiz, B.L.S.; Pereira, A.C.; Keita, H.; Carvalho, J.C.T. Rosmarinus officinalis essential oil: A review of its phytochemistry, anti-inflammatory activity, and mechanisms of action involved. J. Ethnopharmacol. 2019, 229, 29–45. [Google Scholar] [CrossRef] [PubMed]
- Mercier, B.; Prost, J.; Prost, M. The essential oil of turpentine and its major volatile fraction α- and beta-pinenes. A review. Int. J. Occup. Med. Environ. Health 2009, 22, 331–342. [Google Scholar] [CrossRef]
- Zheljazkov, V.D.; Sikora, V.; Dincheva, I.; Kačániová, M.; Astatkie, T.; Semerdjieva, I.B.; Latkovic, D. Industrial, CBD, and wild hemp: How different are their essential oil profile and antimicrobial activity? Molecules 2020, 25, 4631. [Google Scholar] [CrossRef]
- Boukhatem, M.N.; Sudha, T.; Darwish, N.H.E.; Chader, H.; Belkadi, A.; Rajabi, M.; Houche, A.; Benkebailli, F.; Oudjida, F.; Mousa, S.A. A new eucalyptol-rich lavender (Lavandula stoechas L.) essential oil: Emerging potential for therapy against inflammation and cancer. Molecules 2020, 25, 3671. [Google Scholar] [CrossRef] [PubMed]
- Boukhatem, M.N.; Boumaiza, A.; Nada, H.G.; Rajabi, M.; Mousa, S.A. Eucalyptus globulus essential oil as a natural food preservative: Antioxidant, antibacterial and antifungal properties in vitro and in a real food matrix (Orangina fruit juice). Appl. Sci. 2020, 10, 5581. [Google Scholar] [CrossRef]
- Chu, S.C.; Liu, Q.R.; Liu, Z.L. Insecticidal activity and chemical composition of the essential oil of Artemisia vestita from China against Sitophilus zeamais. Biochem. Syst. Ecol. 2010, 38, 489–492. [Google Scholar] [CrossRef]
- Fidan, H.; Stefanova, G.; Kostova, I.; Stankov, S.; Damyanova, S.; Stoyanova, A.; Zheljazkov, V.D. Chemical composition and antimicrobial activity of Laurus nobilis L. essential oils from Bulgaria. Molecules 2019, 24, 804. [Google Scholar] [CrossRef]
- Stefanova, G.; Girova, T.; Gochev, V.; Stoyanova, M.; Petkova, Z.; Stoyanova, A.; Zheljazkov, V.D. Comparative study on the chemical composition of laurel (Laurus nobilis L.) leaves from Greece and Georgia and the antibacterial activity of their essential oil. Heliyon 2020, 6, e05491. [Google Scholar] [CrossRef]
- Chen, W.; Vermaak, I.; Viljoen, A. Camphor-a fumigant during the Black Death and a coveted fragrant wood in ancient Egypt and Babylon-a review. Molecules 2013, 18, 5434–5454. [Google Scholar] [CrossRef]
- Manoharan, R.K.; Lee, J.H.; Lee, J. Antibiofilm and antihyphal activities of cedar leaf essential oil, camphor, and fenchone derivatives against Candida albicans. Front. Microbiol. 2017, 8, 1476. [Google Scholar] [CrossRef]
- Garcia-Vallejo, M.C.M.I.; Sanz, J.; Bernabe, M.; Velasco-Negueruela, A. Necrodane (1, 2, 2, 3, 4-pentamethylcyclopentane) derivatives in Lavandula luisieri, new compounds to the plant kingdom. Phytochemistry 1994, 36, 43–45. [Google Scholar] [CrossRef]
- Pombal, S.; Rodrigues, C.F.; Araújo, J.P.; Rocha, P.M.; Rodilla, J.M.; Diez, D.; Granja, Á.P.; Gomes, A.C.; Silva, L.A. Antibacterial and antioxidant activity of Portuguese Lavandula luisieri (Rozeira) Rivas-Martinez and its relation with their chemical composition. Springerplus 2016, 5, 1711. [Google Scholar] [CrossRef][Green Version]
- Kashima, Y.; Miyazawa, M. Chemical composition and aroma evaluation of essential oils from Evolvulus alsinoides L. Chem. Biodivers. 2014, 11, 396–407. [Google Scholar] [CrossRef]
- Phillips, T.W.; West, J.R.; Foltz, J.L.; Silverstein, R.M.; Lanier, G.N. Aggregation pheromone of the deodar weevil, Pissodes nemorensis (Coleoptera: Curculionidae): Isolation and activity of grandisol and grandisal. J. Chem. Ecol. 1984, 10, 1417–1423. [Google Scholar] [CrossRef]
- Senatore, F.; Napolitano, F.; Arnold, N.A.; Bruno, M.; Herz, V. Composition and antimicrobial activity of the essential oil of Achillea falcata L. (Asteraceae). Flavour Fragr. J. 2005, 20, 291–294. [Google Scholar] [CrossRef]
- Pu, X.Z.; Lam, L.; Gehlken, K.; Ulappa, A.C.; Rachlow, J.L.; Forbey, J.S. Antioxidant capacity of Wyoming big sagebrush (Artemisia tridentata ssp. wyomingensis) varies spatially and is not related to the presence of a sagebrush dietary specialist. West. N. Am. Nat. 2015, 75, 78–87. [Google Scholar] [CrossRef]
- Ortalli, M.; Varani, S.; Rosso, C.; Quintavalla, A.; Lombardo, M.; Trombini, C. Evaluation of synthetic substituted 1, 2-dioxanes as novel agents against human leishmaniasis. Eur. J. Med. Chem. 2019, 170, 126–140. [Google Scholar] [CrossRef]
- Saryazdi, A.K.P.; Ghaffarifar, F.; Dalimi, A.; Dayer, M.S. In-vitro and in-vivo comparative effects of the spring and autumn-harvested Artemisia aucheri Bioss extracts on Leishmania major. J. Enthopharmacol. 2020, 257, 112910. [Google Scholar] [CrossRef]
- Azizi, K.; Shahidi-Hakak, F.; Asgari, Q.; Hatam, G.R.; Fakoorziba, M.R.; Miri, R.; Moemenbellah-Fard, M.D. In vitro efficacy of ethanolic extract of Artemisia absinthium (Asteraceae) against Leishmania major L. using cell sensitivity and flow cytometry assays. J. Parasit. Dis. 2016, 40, 735–740. [Google Scholar] [CrossRef]
- Monzote, L.; Piñón, A.; Scull, R.; Setzer, W.N. Chemistry and leishmanicidal activity of the essential oil from Artemisia absinthium from Cuba. Nat. Prod. Commun. 2014, 9, 1799–1804. [Google Scholar] [CrossRef] [PubMed]
- Cannon, J.B.; Cantrell, C.L.; Astatkie, T.; Zheljazkov, V.D. Modification of yield and composition of essential oils by distillation time. Ind. Crops Prod. 2013, 41, 214–220. [Google Scholar] [CrossRef]
- Zheljazkov, V.D.; Cantrell, C.L.; Astatkie, T.; Hristov, A. Yield, content, and composition of peppermint and spearmints as a function of harvesting time and drying. J. Agric. Food Chem. 2010, 58, 11400–11407. [Google Scholar] [CrossRef] [PubMed]
- Zheljazkov, V.D.; Astatkie, T.; O’Brocki, B.; Jeliazkova, E. Essential oil composition and yield of anise from different distillation times. HortScience 2013, 48, 1393–1396. [Google Scholar] [CrossRef]
- Canel, C.; Dayan, F.E.; Ganzera, M.; Khan, I.A.; Rimando, A.; Burandt, C.L., Jr.; Moraes, R.M. High yield of podophyllotoxin from leaves of Podophyllum peltatum by in situ conversion of podophyllotoxin 4-O-β-D-glucopyranoside. Planta Med. 2001, 67, 97–99. [Google Scholar] [CrossRef]
- Cantrell, C.L.; Zheljazkov, V.D.; Osbrink, W.A.; Castro, A.; Maddox, V.; Craker, L.E.; Astatkie, T. Podophyllotoxin and essential oil profile of Juniperus and related species. Ind. Crops Prod. 2013, 43, 668–676. [Google Scholar] [CrossRef]
- Huang, D.; Ou, B.; Hampsch-Woodill, M.; Flanagan, J.; Demmer, E.K. Development and validation of oxygen radical absorbance capacity assay for lipophilic antioxidants using randomly methylate B-cylodextrin as the solubility enhancer. J. Agric. Food Chem. 2002, 50, 1815–1821. [Google Scholar] [CrossRef]
- Huang, D.; Ou, B.; Hampsch-Woodill, M.; Flanagan, J.; Prior, R. High-throughput assay of oxygen radical absorbance capacity (ORAC) using a multichannel liquid handling system coupled with a microplate fluorescence reader in 96-well format. J. Agric. Food Chem. 2002, 50, 4437–4444. [Google Scholar] [CrossRef]
- SAS Institute Inc. SAS/STAT®9.4 User’s Guide; SAS Institute Inc.: Cary, NC, USA, 2014. [Google Scholar]
- Montgomery, D.C. Design and Analysis of Experiments, 10th ed.; Wiley: New York, NY, USA, 2020. [Google Scholar]

| Accession | Latin Name | Collection Date | Elevation, m | GPS Coordinates |
|---|---|---|---|---|
| 201 | A. tridentata Nutt. var. vaseyana (Rydb.) Boivin | 24 August 2011 | 2383 | − |
| 202 | A. tridentata Nutt. var. vaseyana (Rydb.) Boivin | 24 August 2011 | 2406 | 44.8048, −107.5413 |
| 203 | A. tridentata Nutt. var. vaseyana (Rydb.) Boivin | 24 August 2011 | 2559 | 44.8126, −107.6095 |
| 204 | A. tridentata Nutt. var. vaseyana (Rydb.) Boivin | 24 August 2011 | 2377 | 44.7888, −107.9297 |
| 205 | A. tridentata Nutt. var. vaseyana (Rydb.) Boivin | 26 August 2011 | 2980 | 44.749, −107.7471 |
| 206 | A. tridentata Nutt. var. vaseyana (Rydb.) Boivin | 26 August 2011 | 2825 | 44.7588, −107.7556 |
| 207 | A. tridentata Nutt. var. vaseyana (Rydb.) Boivin | 26 August 2011 | 1907 | 44.7822, −107.968 |
| 209 | A. tridentata Nutt. var. vaseyana (Rydb.) Boivin | 23 September 2011 | 2253 | 44.3156, −106.9416 |
| 210 | A. tridentata Nutt. var. vaseyana (Rydb.) Boivin | 23 September 2011 | 2396 | 44.2512, −106.9562 |
| 211 | A. tridentata Nutt. var. vaseyana (Rydb.) Boivin | 23 September 2011 | 2423 | 44.1571, −107.2517 |
| 212 | A. tridentata Nutt. var. vaseyana (Rydb.) Boivin | 23 September 2011 | 2221 | 44.1325, −107.2526 |
| 213 | A. ludoviciana Nutt. ssp. ludoviciana | 26 September 2011 | 1643 | 44.6327, −107.0786 |
| 214 | A. tridentata Nutt. var. vaseyana (Rydb.) Boivin | 26 September 2011 | 2157 | 44.619, −107.1014 |
| 215 | A. tridentata Nutt. var. vaseyana (Rydb.) Boivin | 26 September 2011 | 2164 | 44.6186, −107.1102 |
| 216 | A. longifolia Nutt. | 27 September 2011 | 1166 | 44.8117, −106.9116 |
| 217 | A. longifolia Nutt. | 27 September 2011 | 1147 | 44.8354, −106.8735 |
| 218 | A. longifolia Nutt. | 27 September 2011 | 1149 | 44.8376, −106.8404 |
| 219 | A. cana Pursh var. cana | 27 September 2011 | 1292 | 44.8233, −107.2269 |
| 220 | A. cana Pursh var. cana | 27 September 2011 | 1333 | 44.826, −107.236 |
| 221 | A. tridentata Nutt. var. tridentata | 30 September 2011 | 2299 | 44.569, −107.5337 |
| 222 | A. tridentata Nutt. var. tridentata | 30 September 2011 | 2141 | 44.5742, −107.5666 |
| 223 | A. tridentata Nutt. var. wyomingensis (Beetle and Young) Welsh | 30 September 2011 | 1453 | 44.0279, −107.5646 |
| 250 | Artemisia ssp. | 28 October 2014 | 1166 | 44.8318, −106.8314 |
| 251 | A. tridentata Nutt. var. wyomingensis (Beetle and Young) Welsh | 28 October 2014 | 1192 | 44.8318, −106.8338 |
| 252 | A. cana Pursh var. cana | 28 October 2014 | 1128 | 44.8376, −106.8403 |
| 253 | A. cana Pursh var. cana | 28 October 2014 | 1126 | 44.8433, −106.8407 |
| 254 | A. cana Pursh var. cana | 28 October 2014 | 1136 | 44.8462, −106.8395 |
| 255 | A. cana Pursh var. cana | 29 October 2014 | 1118 | 44.8925, −107.0287 |
| 256 | A. cana Pursh var. cana | 29 October 2014 | 1119 | 44.8886, −107.0293 |
| 257 | A. cana Pursh var. cana | 29 October 2014 | 1130 | 44.8887, −107.0327 |
| 258 | A. cana Pursh var. cana | 29 October 2014 | 1105 | 44.8967, −107.0289 |
| 259 | A. tridentata Nutt. var. vaseyana (Rydb.) Boivin | 30 October 2014 | 2172 | 44.618, −107.1121 |
| 260 | A. tridentata Nutt. var. wyomingensis (Beetle and Young) Welsh | 30 October 2014 | 2524 | 44.7161, −107.4587 |
| 261 | A. tridentata Nutt. var. vaseyana (Rydb.) Boivin | 30 October 2014 | 2300 | 44.5691, −107.5338 |
| 262 | A. tridentata Nutt. var. vaseyana (Rydb.) Boivin | 30 October 2014 | 2895 | 44.6653, −107.5451 |
| Species | Accession | Alpha-Pinene | Camphene | Eucalyptol | Camphor |
|---|---|---|---|---|---|
| A. tridentata va | 201 | 3.8 def | 8.5 de | 1.1 i | 31.9 bcde |
| A. tridentata va | 202 | 1.9 ef | 6.7 e | 2.4 i | 27.3 de |
| A. tridentata va | 203 | 0.9 f | 0.1 g | 0.8 i | 0.3 h |
| A. tridentata va | 204 | 2.9 def | |||
| A. tridentata va | 207 | 1.6 ef | 8.4 de | 14.8 e | 29.3 cde |
| A. tridentata va | 209 | 29.0 b | 2.9 fg | 12.3 g | 1.8 gh |
| A. tridentata va | 210 | 35.5 a | 2.2 g | 12.8 fg | 0.6 h |
| A. tridentata va | 211 | 5.3 d | 13.8 b | 17.9 d | 44.8 a |
| A. tridentata va | 212 | 5.6 d | 13.6 bc | 14.1 ef | 45.4 a |
| A. tridentata va | 214 | 1.3 ef | 6.5 e | 9.7 h | 13.5 fg |
| A. tridentata va | 215 | 23.5 c | 2.1 g | 2.5 i | 3.2 gh |
| A. tridentata tr | 221 | 3.2 def | 10.5 cd | 13.6 efg | 43.2 ab |
| A. tridentata tr | 222 | 4.3 de | 21.5 a | 21.2 c | 41.3 ab |
| A. tridentata wy | 223 | 1.1 ef | 6.6 e | 12.5 fg | 21.6 ef |
| A. tridentata wy | 216 | 2.8 def | 5.8 ef | 30.8 a | 24.2 def |
| A. longifolia | 217 | 2.8 def | 7.0 e | 24.6 b | 27.7 de |
| A. longifolia | 218 | 3.2 def | 6.9 e | 25.5 b | 43.4 ab |
| A. longifolia | 219 | 2.7 def | 7.4 de | 15.3 e | 35.2 abcd |
| A. cana | 220 | 3.2 def | 6.6 e | 20.5 c | 40.6 abc |
| A. cana | 213 | 1.9 ef | 13.3 bc | 17.9 d | 46.2 a |
| Variable | |
|---|---|
| EO yield | 0.073 |
| antioxidant activity | 6.71 |
| α-pinene | 0.949 |
| camphene | 1.02 |
| eucalyptol | 0.601 |
| camphor | 3.66 |
| trans-α-necrodol-acetate | 2.06 |
| fragranol | 2.43 |
| grandisol | 3.10 |
| piperitenone/citronellyl acetate | 1.04 |
| borneol | 0.154 |
| trans-pinocarveol | 1.14 |
| cis-arbusculone | 0.158 |
| pinocarvone | 0.420 |
| 4-terpineol | 0.048 |
| Myrtenol | 0.123 |
| santolina triene | 0.304 |
| borneol/lavandulol | 0.070 |
| arthole | 1.09 |
| gamma-terpinene | 0.063 |
| α-santoline alcohol | 0.319 |
| chrysanthemyl alcohol | 1.06 |
| beta-pinene | 0.956 |
| chrysanthenone | 4.17 |
| Species | Accession Number | Trans-α-Necrodol-Acetate | Fragranol | Grandisol | Cis-Arbusculone | Trans-Pinocarveol | Chrysanthenone |
|---|---|---|---|---|---|---|---|
| A. tridentata va | 201 | 5.7 e | 5.7 c | 6.5 d | 21.61 a | ||
| A. tridentata va | 202 | 13.5 d | 12.4 bc | 17.6 c | 1.21 b | ||
| A. tridentata va | 203 | 25.9 c | 20.3 a | 36.2 a | |||
| A. tridentata va | 205 | 34.8 b | 14.9 ab | 31.1 ab | |||
| A. tridentata va | 206 | 45.1 a | 15.0 ab | 26.2 bc | |||
| A. tridentata va | 207 | 11.86 ab | |||||
| A. tridentata va | 209 | 3.1 a | 24.8 a | ||||
| A. tridentata va | 210 | 2.3 b | 20.9 b | ||||
| A. tridentata va | 214 | 8.2 de | |||||
| A. tridentata va | 215 | 4.8 e | 6.0 c |
| Species | Accession Number | Borneol | Pinocarvone | 4-Terpineol | Santolina Triene | Arthole |
|---|---|---|---|---|---|---|
| A. tridentata va | 209 | 5.3 b | 1.3 e | |||
| A. tridentata va | 210 | 6.9 a | 1.4 de | |||
| A. tridentata va | 211 | 1.0 c | 1.1 f | |||
| A. tridentata va | 212 | 1.2 c | 0.9 g | |||
| A. tridentata va | 214 | 8.1 a | 2.5 cde | 13.0 b | ||
| A. tridentata va | 215 | 1.9 c | 1.8 de | 10.3 c | ||
| A. tridentata tr | 221 | 1.7 e | 3.8 f | |||
| A. tridentata wy | 223 | 20.1 a | ||||
| A. longifolia | 216 | 2.3 c | 2.5 a | 2.7 cd | 9.7 cd | |
| A. longifolia | 217 | 2.4 bc | 1.7 c | 6.8 a | 6.8 e | |
| A. longifolia | 218 | 2.4 bc | 2.2 b | 3.1 bc | 3.2 f | |
| A. cana | 219 | 2.3 c | 1.5 d | 3.5 b | 9.0 d | |
| A. cana | 220 | 2.6 b | 2.1 b | 3.7 b | 6.2 e | |
| A. ludoviciana | 213 | 4.6 a | 1.3 e | 2.2 de |
| Species | Accession Number | Gamma- Terpinene | Alpha- Santoline Alcohol | Chrysanthemyl Alcohol | Beta-Pinene |
|---|---|---|---|---|---|
| A. tridentata va | 204 | 7.23 a | |||
| A. tridentata va | 214 | 1.0 e | 3.7 d | 11.37 a | |
| A. tridentata va | 215 | 2.2 b | 5.9 c | 4.44 b | |
| A. tridentata tr | 222 | 2.21 b | |||
| A. longifolia | 216 | 1.5 d | 7.6 b | ||
| A. longifolia | 217 | 2.5 a | 6.0 c | ||
| A. longifolia | 218 | 1.5 d | |||
| A. cana | 219 | 1.8 c | 11.3 a | ||
| A. cana | 220 | 1.7 cd |
| Species (Accession Numbers) | Constituent | Mean (%) |
|---|---|---|
| A. tridentata Nutt. var. vaseyana (201, 202, 203) | Piperitenone/citronellyl acetate | 4.13 |
| A. tridentata Nutt. var. vaseyana (209) | Artemisyl acetae | 2.88 |
| A. tridentata Nutt. var. vaseyana (209, 210) | Myrtenol | 1.2 |
| A. tridentata Nutt. var. vaseyana (211, 212) | Borneol/Lavandulol | 1.9 |
| A. tridentata Nutt. var. vaseyana (215) | Trans-arbusculone | 1.88 |
| A. tridentata Nutt. var. vaseyana (214, 215) | Piperitenone/Citronellyl acetate | 7.26 |
| A. tridentata Nutt. var. vaseyana (204) | Sabinene | 12.32 |
| A. tridentata Nutt. var. vaseyana (204) | Alpha-phellendrene | 16.86 |
| A. tridentata Nutt. var. vaseyana (204) | Para-cymene | 31.83 |
| A. tridentata Nutt. var. vaseyana (204) | Trans-ocimene | 0.94 |
| Species | Accession Number | Antioxidant Activity |
|---|---|---|
| A. tridentata Nutt. var. vaseyana | 207 | 63.1 ab |
| A. tridentata Nutt. var. tridentata | 221 | 60.5 b |
| A. tridentata Nutt. var. wyomingensis | 223 | 80.5 a |
| A. longifolia | 216 | 73.4 ab |
| A. cana | 220 | 71.5 ab |
Publisher’s Note: MDPI stays neutral with regard to jurisdictional claims in published maps and institutional affiliations. |
© 2022 by the authors. Licensee MDPI, Basel, Switzerland. This article is an open access article distributed under the terms and conditions of the Creative Commons Attribution (CC BY) license (https://creativecommons.org/licenses/by/4.0/).
Share and Cite
Zheljazkov, V.D.; Cantrell, C.L.; Jeliazkova, E.A.; Astatkie, T.; Schlegel, V. Essential Oil Yield, Composition, and Bioactivity of Sagebrush Species in the Bighorn Mountains. Plants 2022, 11, 1228. https://doi.org/10.3390/plants11091228
Zheljazkov VD, Cantrell CL, Jeliazkova EA, Astatkie T, Schlegel V. Essential Oil Yield, Composition, and Bioactivity of Sagebrush Species in the Bighorn Mountains. Plants. 2022; 11(9):1228. https://doi.org/10.3390/plants11091228
Chicago/Turabian StyleZheljazkov, Valtcho D., Charles L. Cantrell, Ekaterina A. Jeliazkova, Tess Astatkie, and Vicki Schlegel. 2022. "Essential Oil Yield, Composition, and Bioactivity of Sagebrush Species in the Bighorn Mountains" Plants 11, no. 9: 1228. https://doi.org/10.3390/plants11091228
APA StyleZheljazkov, V. D., Cantrell, C. L., Jeliazkova, E. A., Astatkie, T., & Schlegel, V. (2022). Essential Oil Yield, Composition, and Bioactivity of Sagebrush Species in the Bighorn Mountains. Plants, 11(9), 1228. https://doi.org/10.3390/plants11091228

