Colored Shade Nets Can Relieve Abnormal Fruit Softening and Premature Leaf Senescence of “Jumeigui” Grapes during Ripening under Greenhouse Conditions
Abstract
:1. Introduction
2. Results
2.1. Temperature and Light Transmittance
2.2. Berry Internal and External Properties
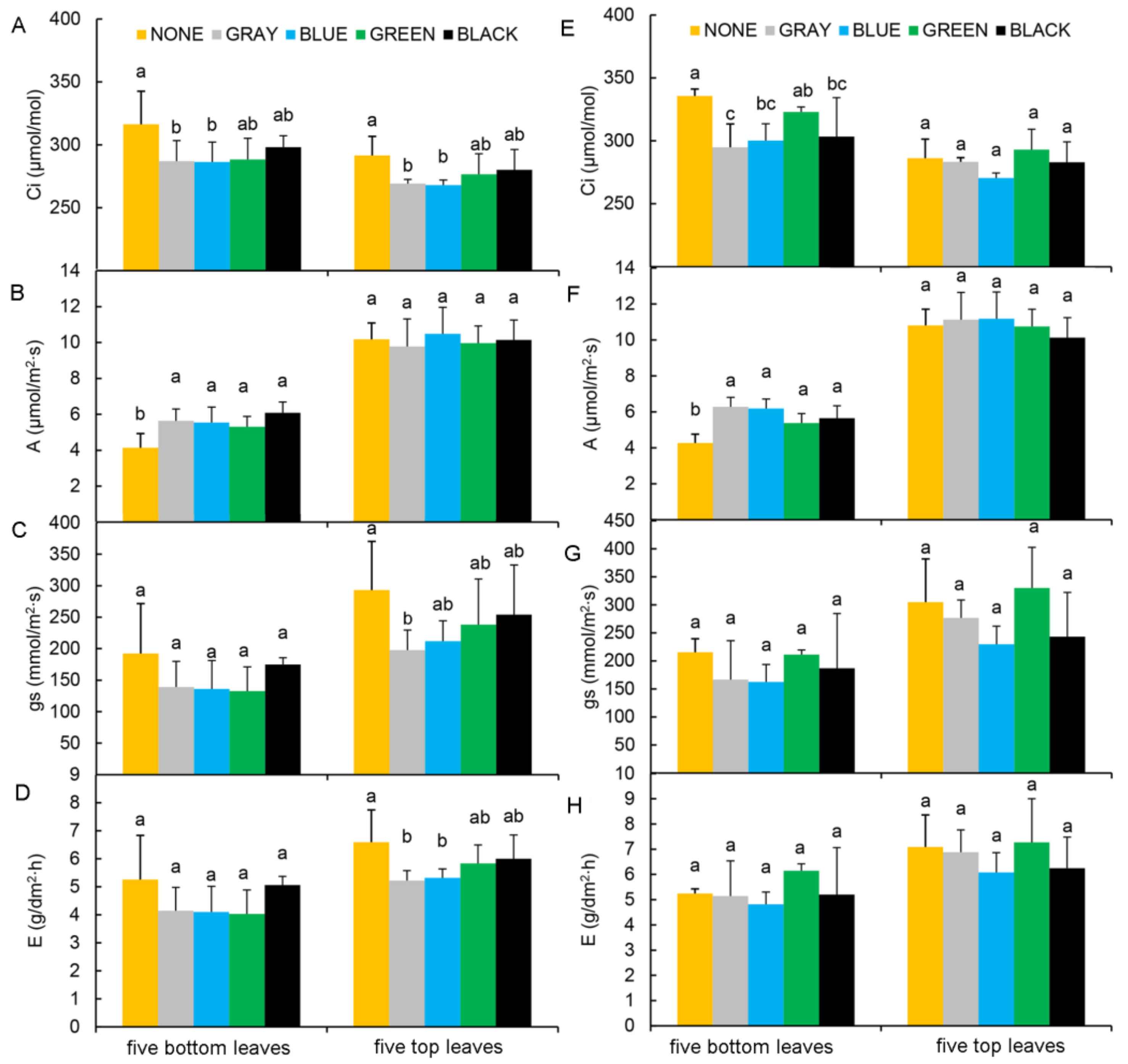
2.3. Leaf Photosynthetic Performance
3. Discussion
3.1. Shading Can Relieve Leaf Damage Due to Enhanced Photosynthesis
3.2. Shading Can Reduce Fruit Damage Due to Heat-Induced Softening, and Ensure Fruit Quality
4. Materials and Methods
4.1. Plant Material and Treatments
4.2. Spectral Analysis
4.3. Total Soluble Solids (TSS)
4.4. Fast Chlorophyll a Fluorescence Kinetic Parameters
4.5. Leaf Gas-Exchange Parameters
4.6. Sugar Analysis
4.7. Anthocyanin Content
4.8. Classification of Abnormal Softening Symptoms
4.9. Grape Texture
4.10. Berry Skin Color
4.11. Statistical Analysis
5. Conclusions
Supplementary Materials
Author Contributions
Funding
Data Availability Statement
Acknowledgments
Conflicts of Interest
Abbreviations
References
- Hale, C.R.; Buttrose, M.S. Effect of temperature on ontogeny of berries of Vitis vinifera L. cv. Cabernet Sauvignon. J. Am. Soc. Hortic. Sci. 1974, 99, 390–394. [Google Scholar]
- Zha, Q.; Xi, X.; Jiang, A.; Tian, Y.H. High temperature affects photosynthetic and molecular processes in field-cultivated Vitis vinifera L. × Vitis labrusca L. Photochem. Photobiol. 2016, 92, 446–454. [Google Scholar] [CrossRef] [PubMed]
- Reynolds, A.G.; Pool, R.M.; Mattick, L.R. Influence of cluster exposure on fruit composition and wine quality of Seyval blanc grapes. Vitis 1986, 25, 85–95. [Google Scholar]
- Xi, X.; Zha, Q.; He, Y.; Jiang, A. Influence of cluster thinning and girdling on aroma composition in ‘Jumeigui’ table grape. Sci. Rep. 2020, 10, 6877. [Google Scholar] [CrossRef] [Green Version]
- Xiao, Z.; Liao, S.; Rogiers, S.; Sadras, V.; Tyerman, S. Effect of water stress and elevated temperature on hypoxia and cell death in the mesocarp of Shiraz berries. Aust. J. Grape Wine Res. 2018, 24, 487–497. [Google Scholar] [CrossRef]
- Cogato, A.; Wu, L.; Jewan, S.Y.Y.; Meggio, F.; Marinello, F.; Sozzi, M.; Pagay, V. Evaluating the spectral and physiological responses of grapevines (Vitis vinifera L.) to heat and water stresses under different vineyard cooling and irrigation strategies. Agronomy 2021, 11, 1940. [Google Scholar] [CrossRef]
- Puértolas, J.; Benito, L.F.; Peñuelas, J.L. Effects of nursery shading on seedling quality and post-planting performance in two Mediterranean species with contrasting shade tolerance. New For. 2009, 38, 295. [Google Scholar] [CrossRef]
- Shahak, Y.; Gussakovsky, E.E.; Cohen, Y.; Lurie, S.; Stern, R.; Kfir, S.; Greenblat-Avron, Y. Colournets: A new approach for light manipulation in fruit trees. Acta Hortic. 2004, 636, 609–616. [Google Scholar] [CrossRef]
- Martinez-Luscher, J.; Chen, C.C.L.; Brillante, L.; Kurtural, S.K. Partial solar radiation exclusion with color shade nets reduces the degradation of organic acids and flavonoids of grape berry (Vitis vinifera L.). J. Agric. Food Chem. 2017, 65, 10693–10702. [Google Scholar] [CrossRef]
- Carvalho, L.C.; Coito, J.L.; Gonçalves, E.F.; Chaves, M.M.; Amâncio, S. Differential physiological response of the grapevine varieties Touriga Nacional and Trincadeira to combined heat, drought and light stresses. Plant Biol. 2016, 18, 101–111. [Google Scholar] [CrossRef]
- Warren, J.W.; Hand, D.W.; Hannah, A. Light interception and photosynthetic efficiency in some glasshouse crops. J. Exp. Bot. 1992, 43, 363–373. [Google Scholar]
- Smart, R.E.; Smith, S.M.; Winchester, R.V. Light quality and quantity effects on fruit ripening for cabernet sauvignon. Am. J. Enol. Vitic. 1988, 39, 250–258. [Google Scholar]
- Hewer, M.J.; Brunette, M. Climate change impact assessment on grape and wine for Ontario, Canada’s appellations of origin. Reg. Environ. Chang. 2020, 20, 86. [Google Scholar] [CrossRef]
- Schultz, H. Climate change and viticulture: A European perspective on climatology, carbon dioxide and UV-B effects. Aust. J. Grape Wine Res. 2000, 6, 2–12. [Google Scholar] [CrossRef]
- Caroline, L.J.; Saidi, M.; Opiyo, A. Effect of colored agro-net covers on insect pest control and yield of tomato (Solanum lycopersicon Mill). J. Agric. Sci. 2017, 9, 283–293. [Google Scholar]
- Fang, S.; Lang, T.; Han, T.; Cai, M.; Cao, S.; Peng, L.; Liu, B.; Zhong, Y.; Yakovlev, A.N.; Korepanov, V.I. A novel efficient single-phase dual-emission phosphor with high resemblance to the photosynthetic spectrum of chlorophyll A and B. J. Mater. Chem. 2020, 8, 6245–6253. [Google Scholar] [CrossRef]
- Terashima, I.; Fujita, T.; Inoue, T.; Chow, W.S.; Oguchi, R. Green light drives leaf photosynthesis more efficiently than red light in strong white light: Revisiting the enigmatic question of why leaves are green. Plant Cell Physiol. 2009, 50, 684–697. [Google Scholar] [CrossRef] [Green Version]
- Wu, Y.; Qiu, T.; Shen, Z.L.; Wu, Y.Y.; Lu, D.; He, J.W. Effects of shading on leaf physiology and morphology in the ‘Yinhong’ grape plants. Rev. Brasil. Fruticul. 2018, 40, e-037. [Google Scholar] [CrossRef] [Green Version]
- Zha, Q.; Xi, X.; He, Y.; Jiang, A. Water limitation mitigates high-temperature stress injuries in grapevine cultivars through changes in photosystem II efficiency and antioxidant enzyme pathways. Acta Physiol. Plant. 2019, 41, 83. [Google Scholar] [CrossRef]
- Greer, D.H.; Weston, C. Heat stress affects flowering, berry growth, sugar accumulation and photosynthesis of Vitis vinifera cv. Semillon grapevines grown in a controlled environment. Funct. Plant Biol. 2010, 37, 206–214. [Google Scholar] [CrossRef]
- Matus, J.T.; Loyola, R.; Vega, A.; Peña-Neira, A.; Bordeu, E.; Arce-Johnson, P.; Alcalde, J.A. Post-veraison sunlight exposure induces MYB-mediated transcriptional regulation of anthocyanin and flavonol synthesis in berry skins of Vitis vinifera. J. Exp. Bot. 2009, 60, 853–867. [Google Scholar] [CrossRef] [PubMed] [Green Version]
- Li, J.; Li, X.; Zhang, Y.; Zheng, Z.; Qu, Z.; Liu, M.; Zhu, S.; Liu, S.; Wang, M.; Qu, L. Identification and thermal stability of purple-fleshed sweet potato anthocyanins in aqueous solutions with various pH values and fruit juices. Food Chem. 2013, 136, 1429–1434. [Google Scholar] [CrossRef] [PubMed]
- Mori, K.; Sugaya, S.; Gemma, H. Decreased anthocyanin biosynthesis in grape berries grown under elevated night temperature condition. Sci. Hortic. 2005, 105, 319–330. [Google Scholar] [CrossRef]
- Yamane, T.; Jeong, S.T.; Goto-Yamamoto, N.; Koshita, Y.; Kobayashi, S. Effects of temperature on anthocyanin biosynthesis in grape berry skins. Am. J. Enol. Vitic. 2006, 57, 54–59. [Google Scholar]
- Bastías, R.M.; Manfrini, L.; Grappadelli, L.C. Exploring the potential use of photo-selective nets for fruit growth regulation in apple. Chil. J. Agric. Res. 2012, 72, 224. [Google Scholar] [CrossRef]
- Nissim-Levi, A.; Lilach, F.; David, H.; Rinat, O.; Izhak, F.; Sima, K.; Oren-Shamir, M. Light scattering shade net increases branching and flowering in ornamental pot plants. J. Hortic. Sci. Biotechnol. 2008, 83, 9–14. [Google Scholar]
- Shahak, Y.; Gal, E.; Offi, Y.; Ben-Yakir, D. Photoselective shade netting integrated with greenhouse technologies for improved performance of vegetable and ornamental crops. In Proceedings of the International Workshop on Greenhouse Environmental Control and Crop Production in Semi-Arid Regions, Tucson, AZ, USA, 20–24 October 2008; Volume 797, pp. 75–80. [Google Scholar]
- Stamps, R.H. Use of colored shade netting in horticulture. HortScience 2009, 44, 239–241. [Google Scholar] [CrossRef]
- Ghiglieno, I.; Mattivi, F.; Cola, G.; Trionfini, D.; Perenzoni, D.; Simonetto, A.; Gilioli, G.; Valenti, L. The effects of leaf removal and artificial shading on the composition of Chardonnay and Pinot noir grapes. OENO One 2020, 54, 761–777. [Google Scholar] [CrossRef]
- Martin, D.; Grose, C.; Fedrizzi, B.; Stuart, L.; Albright, A.; McLachlan, A. Grape cluster microclimate influences the aroma composition of Sauvignon blanc wine. Food Chem. 2016, 210, 640–647. [Google Scholar] [CrossRef]
- Xie, J.; Yu, J.; Chen, B.; Feng, Z.; Li, J.; Zhao, C.; Lyu, J.; Hu, L.; Gan, Y.; Siddique, K.H.M. Facility cultivation systems “shè shī nóng yè”: A Chinese model for the planet. Adv. Agron. 2017, 145, 2–42. [Google Scholar]
- Carbonneau, A. La surface foliaire exposée potentielle. Guide pour sa mesure. Prog. Agric. Vitic. 1995, 112, 204–212. [Google Scholar]
- Zha, Q.; Xi, X.; He, Y.; Jiang, A. Bagging affecting sugar and anthocyanin metabolism in the ripening period of grape berries. Not. Bot. Horti Agrobot. Cluj-Napoca 2019, 47, 1194–1205. [Google Scholar] [CrossRef] [Green Version]
- Zhang, Z.; Wu, P.; Zhang, W.; Yang, Z.; Liu, H.; Ahammed, G.J.; Cui, J. Calcium is involved in exogenous NO-induced enhancement of photosynthesis in cucumber (Cucumis sativus L.) seedlings under low temperature. Sci. Hortic. 2020, 261, 108953. [Google Scholar] [CrossRef]
- Giusti, M.; Wrolstad, R. Characterization and measurement of anthocyanins by UV-visible spectroscopy. In Current Protocols in Food Analytical Chemistry; Wrolstad, R., Schwartz, S., Eds.; John Wiley & Sons Inc.: New York, NY, USA, 2001; pp. F1.2.1–F1.2.13. [Google Scholar]
- Lee, J.; Durst, R.W.; Wrolstad, R.E. Determination of total monomeric anthocyanin pigment content of fruit juices, beverages, natural colorants, and wines by the pH differential method: Collaborative study. J. AOAC Int. 2005, 88, 1269–1278. [Google Scholar] [CrossRef] [PubMed] [Green Version]
- Lijavetzky, D.; Carbonell-Bejerano, P.; Grimplet, J.; Bravo, G.; Flores, P.; Fenoll, J.; Hellín, P.; Oliveros, J.C.; Martínez-Zapater, J.M. Berry flesh and skin ripening features in Vitis vinifera as assessed by transcriptional profiling. PLoS ONE 2012, 7, e39547. [Google Scholar] [CrossRef]
- Amiri, M.E.; Fallahi, E.; Parseh, S. Application of ethephon and ABA at 40% veraison advance maturity and quality of ‘Beidaneh Ghermez’ grape. In Proceedings of the XI International Symposium on Plant Bioregulators in Fruit Production, Bologna, Italy, 20–24 September 2009; Volume 884, pp. 371–377. [Google Scholar]





| Temperature (°C) | GRAY | GREEN | BLUE | BLACK |
|---|---|---|---|---|
| ∆min | 1.2 | 0.4 | 0.7 | 0.8 |
| ∆max | 7 | 6.1 | 6.1 | 7.6 |
| Wavelength Range (nm) | GRAY | GREEN | BLUE | BLACK |
|---|---|---|---|---|
| 300–800 | 46.2 | 40.00 | 57.3 | 17.1 |
| 430–450 | 46.1 | 30.82 | 63.0 | 14.1 |
| 640–660 | 46.4 | 28.84 | 48.9 | 16.6 |
| Treatment | Softening Index (%) | |
|---|---|---|
| PQ | ZH | |
| NONE | 73.33 | 72 |
| GRAY | 26.67 | 43.33 |
| BLUE | 23.33 | 42.67 |
| GREEN | 31.33 | 59.33 |
| BLACK | 26 | 35.33 |
Publisher’s Note: MDPI stays neutral with regard to jurisdictional claims in published maps and institutional affiliations. |
© 2022 by the authors. Licensee MDPI, Basel, Switzerland. This article is an open access article distributed under the terms and conditions of the Creative Commons Attribution (CC BY) license (https://creativecommons.org/licenses/by/4.0/).
Share and Cite
Zha, Q.; Yin, X.; Xi, X.; Jiang, A. Colored Shade Nets Can Relieve Abnormal Fruit Softening and Premature Leaf Senescence of “Jumeigui” Grapes during Ripening under Greenhouse Conditions. Plants 2022, 11, 1227. https://doi.org/10.3390/plants11091227
Zha Q, Yin X, Xi X, Jiang A. Colored Shade Nets Can Relieve Abnormal Fruit Softening and Premature Leaf Senescence of “Jumeigui” Grapes during Ripening under Greenhouse Conditions. Plants. 2022; 11(9):1227. https://doi.org/10.3390/plants11091227
Chicago/Turabian StyleZha, Qian, Xiangjing Yin, Xiaojun Xi, and Aili Jiang. 2022. "Colored Shade Nets Can Relieve Abnormal Fruit Softening and Premature Leaf Senescence of “Jumeigui” Grapes during Ripening under Greenhouse Conditions" Plants 11, no. 9: 1227. https://doi.org/10.3390/plants11091227
APA StyleZha, Q., Yin, X., Xi, X., & Jiang, A. (2022). Colored Shade Nets Can Relieve Abnormal Fruit Softening and Premature Leaf Senescence of “Jumeigui” Grapes during Ripening under Greenhouse Conditions. Plants, 11(9), 1227. https://doi.org/10.3390/plants11091227

