Cadmium Stabilization and Redox Transformation Mechanism in Maize Using Nanoscale Zerovalent-Iron-Enriched Biochar in Cadmium-Contaminated Soil
Abstract
:1. Introduction
2. Materials and Methods
2.1. Tea Waste Collection and Processing
2.2. Material Synthesis and Characterization
2.3. Research Site and Experimental Conditions
2.4. Pre-Harvest Analysis
2.5. Post-Harvest Analysis
2.6. Lipid Peroxidation Analysis
2.7. Enzymatic and Non-Enzymatic Analysis
2.8. Metal Uptake and Stabilization Analysis
2.9. Bioconcentration Factor (BCF) and Translocation Factor (TF)
2.10. Root/Shoot Ratio Factor (RF)
2.11. Plant Tolerance Lative Production Index Analysis
2.12. Statistical Analysis
3. Results and Discussion
3.1. Characterization
3.1.1. Brunauer–Emmett–Teller (BET) Analysis
3.1.2. Scanning Electron Microscopy (SEM) Analysis
3.1.3. Fourier-Transform Infrared (FTIR) Analysis
3.1.4. X-ray Diffraction (XRD) Analysis
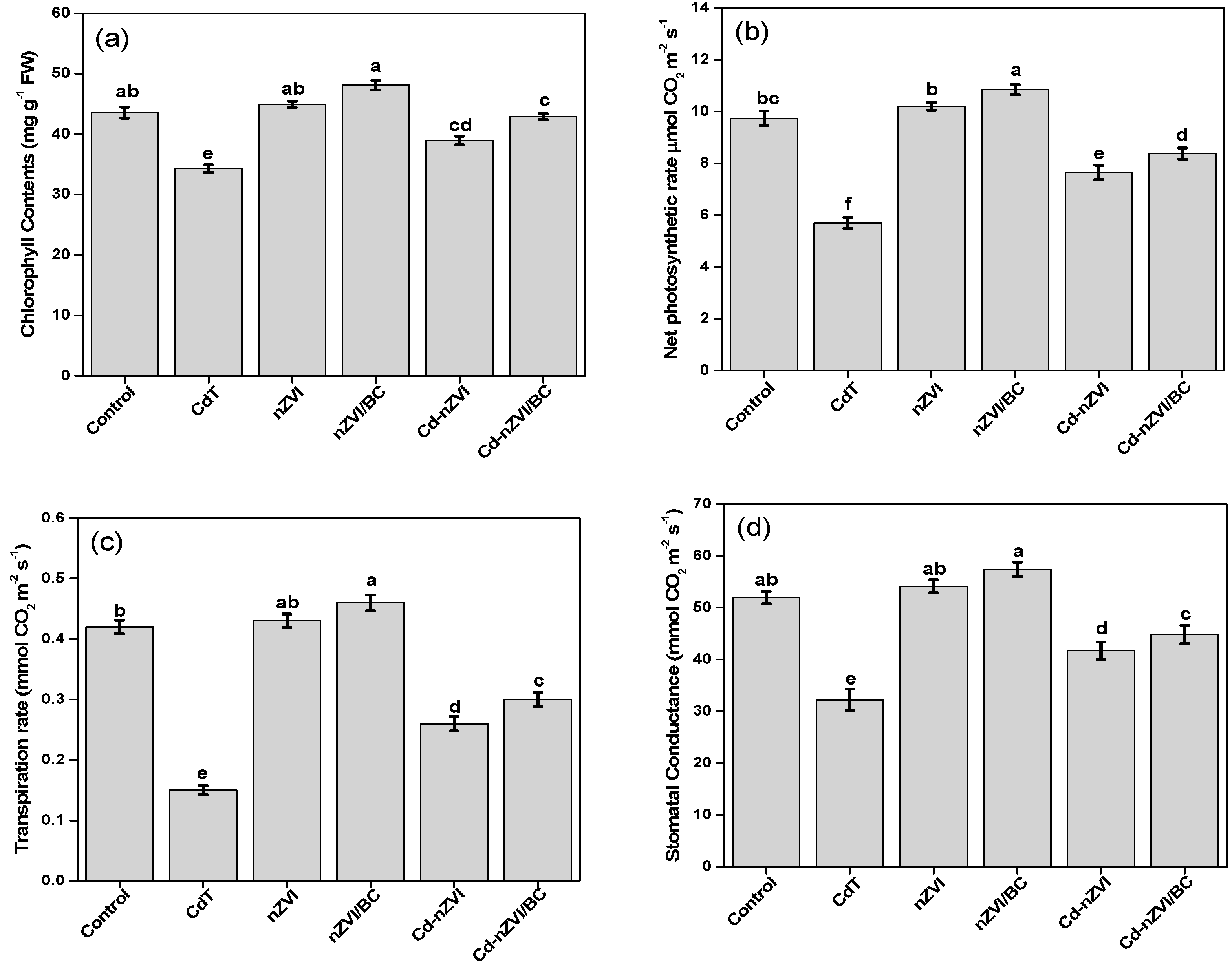
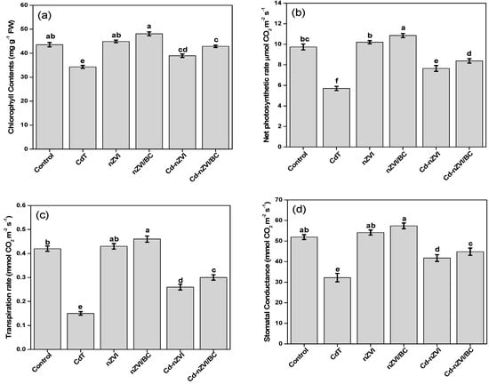
3.2. Impact on Plant Physiology
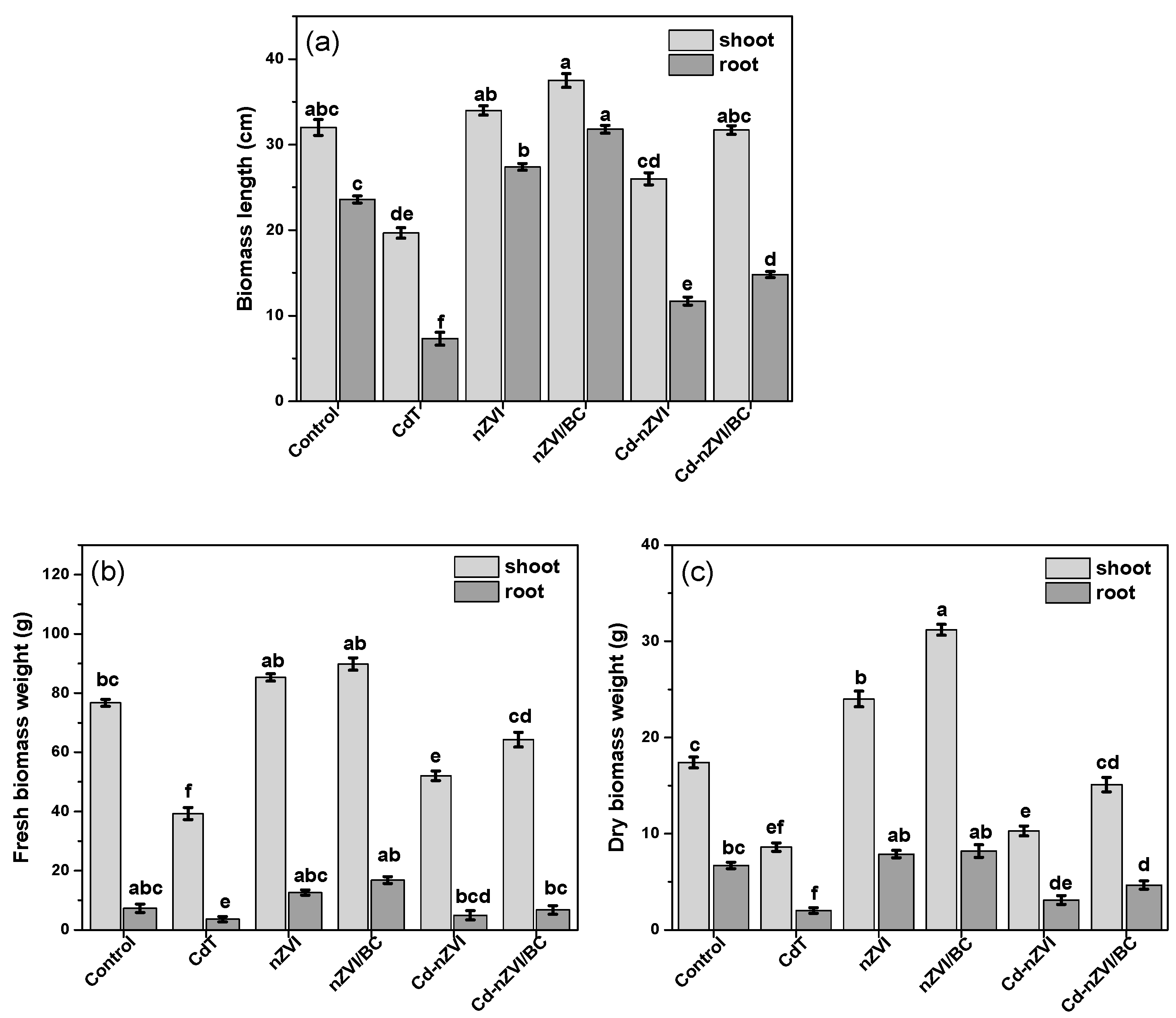
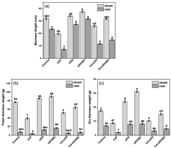
3.3. Impact on Plant Growth
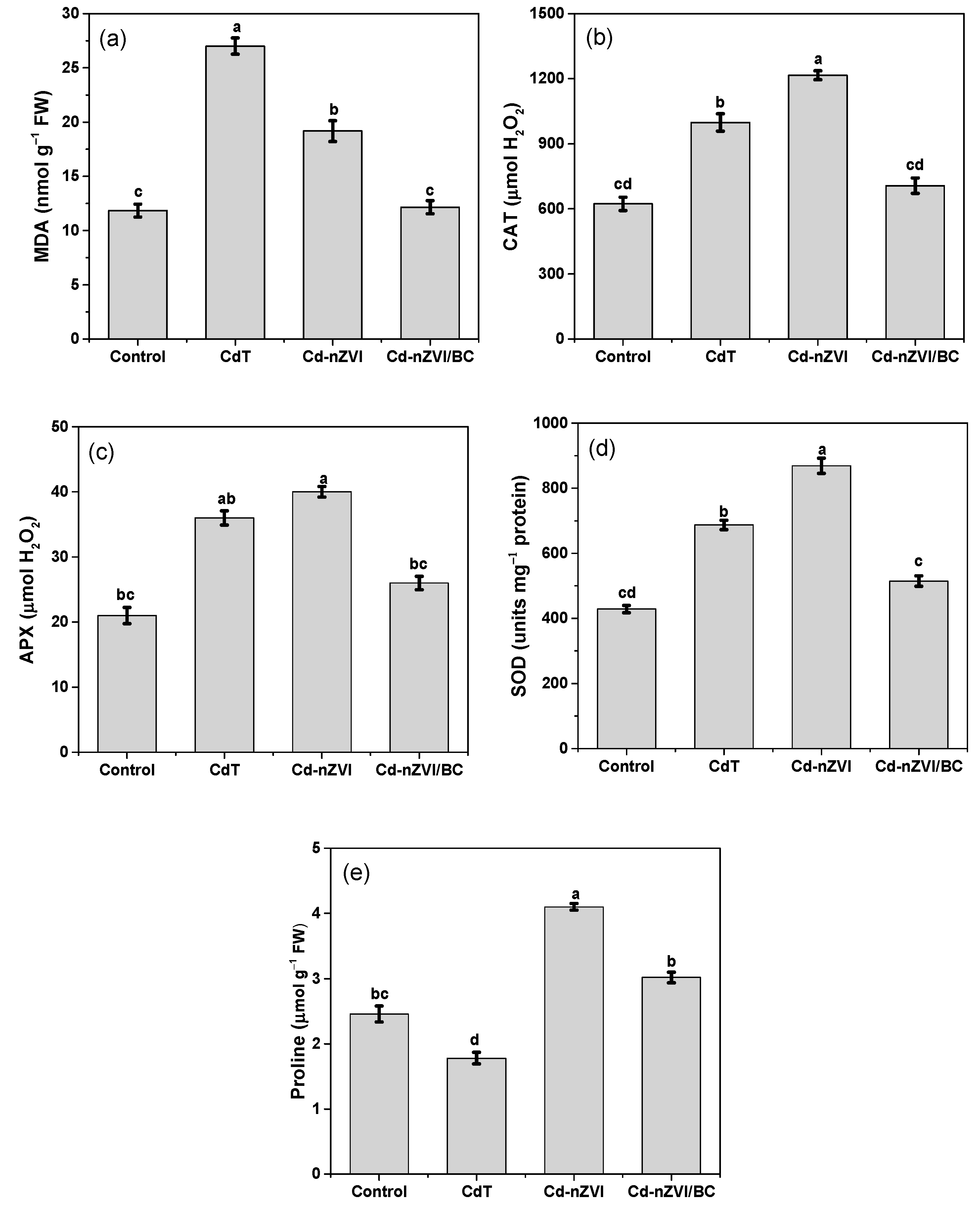
3.4. Impact on Lipid Peroxidation
3.5. Impact on Antioxidants and Proline Modulations
3.6. Impact on Cd Uptake and Stabilization Efficiency
3.7. Proposed Possible Cd Stabilization Mechanisms
3.8. Impact on Plant Tolerance and Relative Production Index
3.9. Environmental Significance and Limitations
4. Conclusions
Supplementary Materials
Author Contributions
Funding
Informed Consent Statement
Data Availability Statement
Acknowledgments
Conflicts of Interest
References
- Fay, M.; Alt, L.; Ryba, D.; Salamah, R.; Peach, R.; Papaeliou, A.; Zawadzka, S.; Weiss, A.; Patel, N.; Rahman, A.; et al. Cadmium Nephrotoxicity Is Associated with Altered MicroRNA Expression in the Rat Renal Cortex. Toxics 2018, 6, 16. [Google Scholar] [CrossRef] [PubMed] [Green Version]
- Mead, M.N. Cadmium Confusion: Do Consumers Need Protection? Environ. Health Perspect. 2010, 118, A528–A534. [Google Scholar] [CrossRef] [PubMed] [Green Version]
- Wang, B.; Du, Y. Cadmium, and Its Neurotoxic Effects. Oxid. Med. Cell. Longev. 2013, 2013, 898034. [Google Scholar] [CrossRef] [PubMed] [Green Version]
- Hoy, K.S.; Uppal, J.S.; Le, X.C. Editorial: Effect of root anatomy and apoplastic barrier development on cadmium uptake in rice. J. Environ. Sci. 2019, 79, 361–363. [Google Scholar] [CrossRef] [PubMed]
- Ashraf, I.; Ahmad, F.; Sharif, A.; Altaf, A.R.; Teng, H. Heavy metals assessment in water, soil, vegetables and their associated health risks via consumption of vegetables, District Kasur, Pakistan. SN Appl. Sci. 2021, 3, 552. [Google Scholar] [CrossRef]
- WHO. Evaluation of Certain Food Additives and Contaminants: Thirty-Third Report of the Joint FAO/WHO Expert Committee on Food Additives (Meeting Held in Geneva from 21 to 30 March 1988); World Health Organization Technical Report Series 776; World Health Organization: Geneva, Switzerland, 1989; pp. 1–64. [Google Scholar]
- Kim, K.; Melough, M.; Vance, T.; Noh, H.; Koo, S.; Chun, O. Dietary Cadmium Intake and Sources in the US. Nutrients 2018, 11, 2. [Google Scholar] [CrossRef] [Green Version]
- Zulfiqar, U.; Ayub, A.; Hussain, S.; Waraich, E.A.; El-Esawi, M.A.; Ishfaq, M.; Ahmad, M.; Ali, N.; Maqsood, M.F. Cadmium Toxicity in Plants: Recent Progress on Morpho-physiological Effects and Remediation Strategies. J. Soil Sci. Plant Nutr. 2021, 22, 212–269. [Google Scholar] [CrossRef]
- Rizwan, M.; Ali, S.; Abbas, T.; Zia-ur-Rehman, M.; Hannan, F.; Keller, C.; Al-Wabel, M.I.; Ok, Y.S. Cadmium minimization in wheat: A critical review. Ecotoxicol. Environ. Saf. 2016, 130, 43–53. [Google Scholar] [CrossRef]
- Haider, F.U.; Coulter, J.A.; Cheema, S.A.; Farooq, M.; Wu, J.; Zhang, R.; Shuaijie, G.; Liqun, C. Co-application of biochar and microorganisms improves soybean performance and remediate cadmium-contaminated soil. Ecotoxicol. Environ. Saf. 2021, 214, 112112. [Google Scholar] [CrossRef]
- Tahir, M.; Khan, M.B.; Shahid, M.; Ahmad, I.; Khalid, U.; Akram, M.; Dawood, A.; Kamran, M. Metal-tolerant Pantoea sp. WP-5 and organic manures enhanced root exudation and phytostabilization of cadmium in the rhizosphere of maize. Environ. Sci. Pollut. Res. 2021, 29, 6026–6039. [Google Scholar] [CrossRef]
- Rizwan, M.; Ali, S.; Zia ur Rehman, M.; Adrees, M.; Arshad, M.; Qayyum, M.F.; Ali, L.; Hussain, A.; Chatha, S.A.S.; Imran, M. Alleviation of cadmium accumulation in maize (Zea mays L.) by foliar spray of zinc oxide nanoparticles and biochar to contaminated soil. Environ. Pollut. 2019, 248, 358–367. [Google Scholar] [CrossRef] [PubMed]
- Wu, J.; Li, Z.; Huang, D.; Liu, X.; Tang, C.; Parikh, S.J.; Xu, J. A novel calcium-based magnetic biochar is effective in stabilization of arsenic and cadmium co-contamination in aerobic soils. J. Hazard. Mater. 2020, 387, 122010. [Google Scholar] [CrossRef]
- Hussain, A.; Ali, S.; Rizwan, M.; Zia ur Rehman, M.; Javed, M.R.; Imran, M.; Chatha, S.A.S.; Nazir, R. Zinc oxide nanoparticles alter the wheat physiological response and reduce the cadmium uptake by plants. Environ. Pollut. 2018, 242, 1518–1526. [Google Scholar] [CrossRef] [PubMed]
- Hussain, A.; Rizwan, M.; Ali, Q.; Ali, S. Seed priming with silicon nanoparticles improved the biomass and yield while reduced the oxidative stress and cadmium concentration in wheat grains. Environ. Sci. Pollut. Res. 2019, 26, 7579–7588. [Google Scholar] [CrossRef] [PubMed]
- Pereira, A.S.; Dorneles, A.O.S.; Bernardy, K.; Sasso, V.M.; Bernardy, D.; Possebom, G.; Rossato, L.V.; Dressler, V.L.; Tabaldi, L.A. Selenium and silicon reduce cadmium uptake and mitigate cadmium toxicity in Pfaffia glomerata (Spreng.) Pedersen plants by activation antioxidant enzyme system. Environ. Sci. Pollut. Res. 2018, 25, 18548–18558. [Google Scholar] [CrossRef] [PubMed]
- Matin, N.H.; Jalali, M.; Buss, W. Synergistic immobilization of potentially toxic elements (PTEs) by biochar and nanoparticles in alkaline soil. Chemosphere 2020, 241, 124932. [Google Scholar] [CrossRef]
- Lin, J.; He, F.; Su, B.; Sun, M.; Owens, G.; Chen, Z. The stabilizing mechanism of cadmium in contaminated soil using green synthesized iron oxide nanoparticles under long-term incubation. J. Hazard. Mater. 2019, 379, 120832. [Google Scholar] [CrossRef]
- You, L.; Li, W.; Xu, W.; Zhang, C.; Hu, X. Effects of nanometer magnesium hydroxide on soil cadmium form under different cadmium levels. Asia-Pacific J. Chem. Eng. 2021, 17, e2665. [Google Scholar] [CrossRef]
- Huang, D.; Yang, Y.; Deng, R.; Gong, X.; Zhou, W.; Chen, S.; Li, B.; Wang, G. Remediation of Cd-Contaminated Soil by Modified Nanoscale Zero-Valent Iron: Role of Plant Root Exudates and Inner Mechanisms. Int. J. Environ. Res. Public Health 2021, 18, 5887. [Google Scholar] [CrossRef]
- Li, Z.; Sun, Y.; Yang, Y.; Han, Y.; Wang, T.; Chen, J.; Tsang, D.C.W. Biochar-supported nanoscale zero-valent iron as an efficient catalyst for organic degradation in groundwater. J. Hazard. Mater. 2020, 383, 121240. [Google Scholar] [CrossRef]
- Guha, T.; Barman, S.; Mukherjee, A.; Kundu, R. Nano-scale zero valent iron modulates Fe/Cd transporters and immobilizes soil Cd for production of Cd free rice. Chemosphere 2020, 260, 127533. [Google Scholar] [CrossRef] [PubMed]
- Wang, Y.; Chen, S.; Deng, C.; Shi, X.; Cota-Ruiz, K.; White, J.C.; Zhao, L.; Gardea-Torresdey, J.L. Metabolomic analysis reveals dose-dependent alteration of maize (Zea mays L.) metabolites and mineral nutrient profiles upon exposure to zerovalent iron nanoparticles. NanoImpact 2021, 23, 100336. [Google Scholar] [CrossRef]
- Lee, C.; Yeon Kim, J.; Il Lee, W.; Nelson, K.L.; Yoon, J.; Sedlak, D.L. Bactericidal Effect of Zero-Valent Iron Nanoparticles on Escherichia coli. Environ. Sci. Technol. 2008, 42, 4927–4933. [Google Scholar] [CrossRef] [PubMed] [Green Version]
- Yang, D.; Yang, S.; Wang, L.; Xu, J.; Liu, X. Performance of biochar-supported nanoscale zero-valent iron for cadmium and arsenic co-contaminated soil remediation: Insights on availability, bioaccumulation and health risk. Environ. Pollut. 2021, 290, 118054. [Google Scholar] [CrossRef]
- Liu, X.; Yang, L.; Zhao, H.; Wang, W. Pyrolytic production of zerovalent iron nanoparticles supported on rice husk-derived biochar: Simple, in situ synthesis and use for remediation of Cr(VI)-polluted soils. Sci. Total Environ. 2020, 708, 134479. [Google Scholar] [CrossRef] [PubMed]
- Qian, W.; Liang, J.Y.; Zhang, W.X.; Huang, S.T.; Diao, Z.H. A porous biochar supported nanoscale zero-valent iron material highly efficient for the simultaneous remediation of cadmium and lead contaminated soil. J. Environ. Sci. 2022, 113, 231–241. [Google Scholar] [CrossRef]
- Li, X.; Qin, Y.; Jia, Y.; Li, Y.; Zhao, Y.; Pan, Y.; Sun, J. Preparation and application of Fe/biochar (Fe-BC) catalysts in wastewater treatment: A review. Chemosphere 2021, 274, 129766. [Google Scholar] [CrossRef]
- Yang, P.; Guo, D.; Chen, Z.; Cui, B.; Xiao, B.; Liu, S.; Hu, M. Removal of Cr (VI) from aqueous solution using magnetic biochar synthesized by a single step method. J. Dispers. Sci. Technol. 2017, 38, 1665–1674. [Google Scholar] [CrossRef]
- Altaf, A.R.; Teng, H.; Zheng, M.; Ashraf, I.; Arsalan, M.; Rehman, A.U.; Gang, L.; Pengjie, W.; Yongqiang, R.; Xiaoyu, L. One-step synthesis of renewable magnetic tea-biochar derived from waste tea leaves for the removal of Hg0 from coal-syngas. J. Environ. Chem. Eng. 2021, 9, 105313. [Google Scholar] [CrossRef]
- Altaf, A.R.; Adewuyi, Y.G.; Teng, H.; Gang, L.; Abid, F. Elemental mercury (Hg0) removal from coal syngas using magnetic tea-biochar: Experimental and theoretical insights. J. Environ. Sci. 2022, 122, 150–161. [Google Scholar] [CrossRef]
- Altaf, A.R.; Teng, H.; Gang, L.; Adewuyi, Y.G.; Zheng, M. Effect of Sonochemical Treatment on Thermal Stability, Elemental Mercury (Hg0) Removal, and Regenerable Performance of Magnetic Tea Biochar. ACS Omega 2021, 6, 23913–23923. [Google Scholar] [CrossRef] [PubMed]
- Ravikumar, K.V.G.; Kumar, D.; Rajeshwari, A.; Madhu, G.M.; Mrudula, P.; Chandrasekaran, N.; Mukherjee, A. A comparative study with biologically and chemically synthesized nZVI: Applications in Cr (VI) removal and ecotoxicity assessment using indigenous microorganisms from chromium-contaminated site. Environ. Sci. Pollut. Res. 2016, 23, 2613–2627. [Google Scholar] [CrossRef] [PubMed]
- Altaf, A.R.; Teng, H.; Saleem, M.; Ahmad, H.R.; Adil, M.; Shahzad, K. Associative interplay of Pseudomonas gessardii BLP141 and pressmud ameliorated growth, physiology, yield, and Pb-toxicity in sunflower. Bioremediat. J. 2020, 25, 178–188. [Google Scholar] [CrossRef]
- Zhao, H.; Guan, J.; Liang, Q.; Zhang, X.; Hu, H.; Zhang, J. Effects of cadmium stress on growth and physiological characteristics of sassafras seedlings. Sci. Rep. 2021, 11, 9913. [Google Scholar] [CrossRef]
- Giannakoula, A.; Moustakas, M.; Mylona, P.; Papadakis, I.; Yupsanis, T. Aluminum tolerance in maize is correlated with increased levels of mineral nutrients, carbohydrates and proline, and decreased levels of lipid peroxidation and Al accumulation. J. Plant Physiol. 2008, 165, 385–396. [Google Scholar] [CrossRef]
- Aebi, H. Catalase in vitro. Methods Enzymol. 1984, 105, 121–126. [Google Scholar]
- Nakano, Y.; Asada, K. Hydrogen peroxide is scavenged by ascorbate-specific peroxidase in spinach chloroplasts. Plant Cell Physiol. 1981, 22, 867–880. [Google Scholar]
- Elavarthi, S.; Martin, B. Spectrophotometric Assays for Antioxidant Enzymes in Plants. In Plant Stress Tolerance; Springer: Berlin/Heidelberg, Germany, 2010; pp. 273–280. [Google Scholar]
- Bates, L.S.; Waldren, R.P.; Teare, I.D. Rapid determination of free proline for water-stress studies. Plant Soil 1973, 39, 205–207. [Google Scholar] [CrossRef]
- Bashir, A.; Rizwan, M.; Zia ur Rehman, M.; Zubair, M.; Riaz, M.; Qayyum, M.F.; Alharby, H.F.; Bamagoos, A.A.; Ali, S. Application of co-composted farm manure and biochar increased the wheat growth and decreased cadmium accumulation in plants under different water regimes. Chemosphere 2020, 246, 125809. [Google Scholar] [CrossRef]
- Shabaan, M.; Asghar, H.N.; Akhtar, M.J.; Ali, Q.; Ejaz, M. Role of plant growth promoting rhizobacteria in the alleviation of lead toxicity to Pisum sativum L. Int. J. Phytoremediat. 2020, 23, 837–845. [Google Scholar] [CrossRef]
- Li, Z.; Zhuang, T.; Dong, J.; Wang, L.; Xia, J.; Wang, H.; Cui, X.; Wang, Z. Sonochemical fabrication of inorganic nanoparticles for applications in catalysis. Ultrason. Sonochem. 2021, 71, 105384. [Google Scholar] [CrossRef] [PubMed]
- Mandal, S.; Pu, S.; Shangguan, L.; Liu, S.; Ma, H.; Adhikari, S.; Hou, D. Synergistic construction of green tea biochar supported nZVI for immobilization of lead in soil: A mechanistic investigation. Environ. Int. 2020, 135, 105374. [Google Scholar] [CrossRef] [PubMed]
- Gong, X.; Huang, D.; Liu, Y.; Zeng, G.; Wang, R.; Wan, J.; Zhang, C.; Cheng, M.; Qin, X.; Xue, W. Stabilized Nanoscale Zerovalent Iron Mediated Cadmium Accumulation and Oxidative Damage of Boehmeria nivea (L.) Gaudich Cultivated in Cadmium Contaminated Sediments. Environ. Sci. Technol. 2017, 51, 11308–11316. [Google Scholar] [CrossRef] [PubMed]
- Abedi, T.; Mojiri, A. Cadmium Uptake by Wheat (Triticum aestivum L.): An Overview. Plants 2020, 9, 500. [Google Scholar] [CrossRef] [PubMed] [Green Version]
- Wu, P.; Li, L.; Wang, J. Effects of Fe-loaded biochar on the bioavailability of Arsenic and cadmium to lettuce growing in a mining contaminated soil. Environ. Technol. 2021, 42, 2145–2153. [Google Scholar] [CrossRef] [PubMed]
- Ismael, M.A.; Elyamine, A.M.; Moussa, M.G.; Cai, M.; Zhao, X.; Hu, C. Cadmium in plants: Uptake, toxicity, and its interactions with selenium fertilizers. Metallomics 2019, 11, 255–277. [Google Scholar] [CrossRef]
- Gallego, S.M.; Benavides, M.P. Cadmium-Induced Oxidative and Nitrosative Stress in Plants. In Cadmium Toxicity and Tolerance in Plants: From Physiology to Remediation; Hasanuzzaman, M., Prasad, M.N.V., Fujita, M., Eds.; Academic Press: Cambridge, MA, USA, 2019; pp. 233–274. ISBN 9780128148648. [Google Scholar]
- Tang, Y.; Xie, Y.; Sun, G.; Tan, H.; Lin, L.; Li, H.; Liao, M.; Wang, Z.; Lv, X.; Liang, D.; et al. Cadmium-accumulator straw application alleviates cadmium stress of lettuce (Lactuca sativa) by promoting photosynthetic activity and antioxidative enzyme activities. Environ. Sci. Pollut. Res. 2018, 25, 30671–30679. [Google Scholar] [CrossRef] [PubMed]
- Anjum, S.A.; Tanveer, M.; Hussain, S.; Bao, M.; Wang, L.; Khan, I.; Ullah, E.; Tung, S.A.; Samad, R.A.; Shahzad, B. Cadmium toxicity in Maize (Zea mays L.): Consequences on antioxidative systems, reactive oxygen species and cadmium accumulation. Environ. Sci. Pollut. Res. 2015, 22, 17022–17030. [Google Scholar] [CrossRef]
- Huang, D.; Hu, C.; Zeng, G.; Cheng, M.; Xu, P.; Gong, X.; Wang, R.; Xue, W. Combination of Fenton processes and biotreatment for wastewater treatment and soil remediation. Sci. Total Environ. 2017, 574, 1599–1610. [Google Scholar] [CrossRef]
- Rehman, S.; Chattha, M.U.; Khan, I.; Mahmood, A.; Hassan, M.U.; Al-Huqail, A.A.; Salem, M.Z.M.; Ali, H.M.; Hano, C.; El-Esawi, M.A. Exogenously Applied Trehalose Augments Cadmium Stress Tolerance and Yield of Mung Bean (Vigna radiata L.) Grown in Soil and Hydroponic Systems through Reducing Cd Uptake and Enhancing Photosynthetic Efficiency and Antioxidant Defense Systems. Plants 2022, 11, 822. [Google Scholar] [CrossRef]
- Saleem, M.; Asghar, H.N.; Zahir, Z.A.; Shahid, M. Impact of lead tolerant plant growth promoting rhizobacteria on growth, physiology, antioxidant activities, yield and lead content in sunflower in lead contaminated soil. Chemosphere 2018, 195, 606–614. [Google Scholar] [CrossRef] [PubMed]
- Sun, T.; Xu, Y.; Sun, Y.; Wang, L.; Liang, X.; Zheng, S. Cd immobilization and soil quality under Fe–modified biochar in weakly alkaline soil. Chemosphere 2021, 280, 130606. [Google Scholar] [CrossRef] [PubMed]
- Chen, Z.; Pei, J.; Wei, Z.; Ruan, X.; Hua, Y.; Xu, W.; Zhang, C.; Liu, T.; Guo, Y. A novel maize biochar-based compound fertilizer for immobilizing cadmium and improving soil quality and maize growth. Environ. Pollut. 2021, 277, 116455. [Google Scholar] [CrossRef] [PubMed]
- Li, Z.; Wang, L.; Meng, J.; Liu, X.; Xu, J.; Wang, F.; Brookes, P. Zeolite-supported nanoscale zero-valent iron: New findings on simultaneous adsorption of Cd(II), Pb(II), and As(III) in aqueous solution and soil. J. Hazard. Mater. 2018, 344, 1–11. [Google Scholar] [CrossRef]
- Joseph, S.; Cowie, A.L.; Van Zwieten, L.; Bolan, N.; Budai, A.; Buss, W.; Cayuela, M.L.; Graber, E.R.; Ippolito, J.A.; Kuzyakov, Y.; et al. How biochar works, and when it doesn’t: A review of mechanisms controlling soil and plant responses to biochar. GCB Bioenergy 2021, 13, 1731–1764. [Google Scholar] [CrossRef]
- Aihemaiti, A.; Jiang, J.; Blaney, L.; Zou, Q.; Gao, Y.; Meng, Y.; Yang, M.; Xu, Y. The detoxification effect of liquid digestate on vanadium toxicity to seed germination and seedling growth of dog’s tail grass. J. Hazard. Mater. 2019, 369, 456–464. [Google Scholar] [CrossRef]









| Proximate Analysis (%) | Ultimate Analysis (%) | |||||||
|---|---|---|---|---|---|---|---|---|
| Ash | Volatile Matter | Moisture Contents | Fixed Carbon | C | H | O | N | S |
| 5.21 | 78.43 | 1.86 | 14.37 | 63.70 | 4.69 | 33.26 | 4.532 | 0.36 |
| pH | EC (dS m−1) | OM % | CEC Cmolc kg−1 | SS % | Textural Class | Sand % | Silt % | Clay % | N mg kg−1 | P mg kg−1 | K mg kg−1 | Cd mg kg−1 |
|---|---|---|---|---|---|---|---|---|---|---|---|---|
| 7.67 | 3.6 | 0.66 | 1.31 | 38 | Sandy clay loam | 49.1 | 29.3 | 21.5 | 0.07 | 6.82 | 129 | ND |
| Treatments | Description |
|---|---|
| Control | With no amendment or contamination |
| CdT | Cadmium contamination level 100 mg/kg |
| nZVI | nZVI application 1% |
| nZVI/BC | nZVI/BC application 1% |
| Cd–nZVI | 100 mg/kg Cd and 1% nZVI |
| Cd–nZVI/BC | 100 mg/kg Cd and 1% nZVI/BC |
| Samples | SBET (m2/g) | Pore Volume (cm3/g) | Average Pore Width (nm) | |||
|---|---|---|---|---|---|---|
| VT | Vmic | Vmeso | V% (Vmeso/VT) | |||
| nZVI | 141.42 | 0.491 | 0.253 | 0.374 | 77% | 2.19 |
| nZVI/BC | 196.28 | 0.703 | 0.173 | 0.648 | 92% | 1.42 |
| Treatments | Root (mg/kg per Pot) | Shoot (mg/kg per Pot) | Soil (mg/kg per Pot) | TF (mg/kg per Pot) | BCF Root (mg/kg per Pot) | BCF Shoot (mg/kg per Pot) |
|---|---|---|---|---|---|---|
| CdT | 159.5 ± 3.13 a | 87.8 ± 0.78 a | 43.1 ± 1.46 a | 0.55 ± 0.52 a | 3.7 ± 0.93 a | 2.03 ± 0.89 a |
| Cd–nZVI | 91.2 ± 1.36 b | 39.1 ± 0.7 b | 29.8 ± 0.68 b | 0.42 ± 0.14 a | 3.06 ± 0.32 b | 1.31 ± 0.77 b |
| Cd–nZVI/BC | 54 ± 1.48 c | 13.66 ± 0.9 c | 18.7 ± 0.54 b | 0.25 ± 0.46 b | 2.88 ± 0.11 c | 0.73 ± 0.32 c |
Publisher’s Note: MDPI stays neutral with regard to jurisdictional claims in published maps and institutional affiliations. |
© 2022 by the authors. Licensee MDPI, Basel, Switzerland. This article is an open access article distributed under the terms and conditions of the Creative Commons Attribution (CC BY) license (https://creativecommons.org/licenses/by/4.0/).
Share and Cite
Razzaq, S.; Zhou, B.; Zia-ur-Rehman, M.; Aamer Maqsood, M.; Hussain, S.; Bakhsh, G.; Zhang, Z.; Yang, Q.; Altaf, A.R. Cadmium Stabilization and Redox Transformation Mechanism in Maize Using Nanoscale Zerovalent-Iron-Enriched Biochar in Cadmium-Contaminated Soil. Plants 2022, 11, 1074. https://doi.org/10.3390/plants11081074
Razzaq S, Zhou B, Zia-ur-Rehman M, Aamer Maqsood M, Hussain S, Bakhsh G, Zhang Z, Yang Q, Altaf AR. Cadmium Stabilization and Redox Transformation Mechanism in Maize Using Nanoscale Zerovalent-Iron-Enriched Biochar in Cadmium-Contaminated Soil. Plants. 2022; 11(8):1074. https://doi.org/10.3390/plants11081074
Chicago/Turabian StyleRazzaq, Sehar, Beibei Zhou, Muhammad Zia-ur-Rehman, Muhammad Aamer Maqsood, Saddam Hussain, Ghous Bakhsh, Zhenshi Zhang, Qiang Yang, and Adnan Raza Altaf. 2022. "Cadmium Stabilization and Redox Transformation Mechanism in Maize Using Nanoscale Zerovalent-Iron-Enriched Biochar in Cadmium-Contaminated Soil" Plants 11, no. 8: 1074. https://doi.org/10.3390/plants11081074
APA StyleRazzaq, S., Zhou, B., Zia-ur-Rehman, M., Aamer Maqsood, M., Hussain, S., Bakhsh, G., Zhang, Z., Yang, Q., & Altaf, A. R. (2022). Cadmium Stabilization and Redox Transformation Mechanism in Maize Using Nanoscale Zerovalent-Iron-Enriched Biochar in Cadmium-Contaminated Soil. Plants, 11(8), 1074. https://doi.org/10.3390/plants11081074

